Interest in Humans: Comparisons between Riding School Lesson Equids and Assisted-Intervention Equids
Abstract
Simple Summary
Abstract
1. Introduction
2. Materials and Methods
2.1. Ethical Statement
2.2. Subjects
2.3. Experimental Test
2.4. Data Analyses
2.5. Statistical Analyses
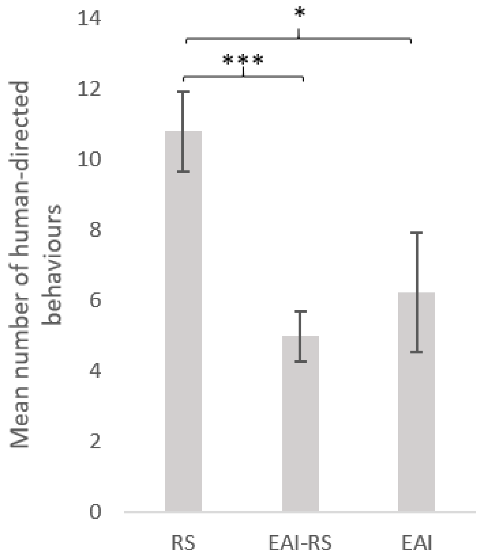
3. Results
4. Discussion
4.1. The Valence of Horses’ Behaviours towards Humans
4.2. On the Meaning of Unresponsiveness
4.3. Housing and Feeding Conditions
4.4. Individual Behavioural Characteristics
4.5. EAI as a Working Activity
5. Conclusions
Author Contributions
Funding
Institutional Review Board Statement
Informed Consent Statement
Data Availability Statement
Acknowledgments
Conflicts of Interest
References
- Jegatheesan, B.; Beetz, A.; Choi, G.; Dudzik, C.; Fine, A.; Garcia, R.M.; Johnson, R.; Ormerod, E.; Winkle, E.; Yamazaki, K. The IAHAIO Definitions for Animal Assisted Intervention and Guidelines for Wellness of Animals Involved in AAI. In Handbook on Animal-Assisted Therapy; Elsevier: Amsterdam, The Netherlands, 2019; pp. 499–504. ISBN 978-0-12-815395-6. [Google Scholar]
- Fine, A.H. Handbook on Animal-Assisted Therapy: Foundations and Guidelines for Animal-Assisted Interventions, 4th ed.; Elsevier Science: Amsterdam, The Netherlands, 2015; ISBN 978-0-12-801292-5. [Google Scholar]
- Philippe-Peyroutet, C.; Grandgeorge, M. Animal-Assisted Interventions for Children with Autism Spectrum Disorders: A Survey of French Facilities. People Anim. Int. J. Res. Pract. 2017, 1, 8. [Google Scholar]
- Borgi, M.; Loliva, D.; Cerino, S.; Chiarotti, F.; Venerosi, A.; Bramini, M.; Nonnis, E.; Marcelli, M.; Vinti, C.; Santis, C.; et al. Effectiveness of a Standardized Equine-Assisted Therapy Program for Children with Autism Spectrum Disorder. J. Autism Dev. Disord. 2016, 46, 1–9. [Google Scholar] [CrossRef] [PubMed]
- Kendall, E.; Maujean, A.; Pepping, C.A.; Downes, M.; Lakhani, A.; Byrne, J.; Macfarlane, K. A Systematic Review of the Efficacy of Equine-Assisted Interventions on Psychological Outcomes. Eur. J. Psychother. Couns. 2015, 17, 57–79. [Google Scholar] [CrossRef]
- Srinivasan, S.; Dt, C.; An, B. Effects of Equine Therapy on Individuals with Autism Spectrum Disorder: A Systematic Review. Rev. J. Autism Dev. Disord. 2018, 5, 156–175. [Google Scholar] [CrossRef]
- Kendall, E.; Maujean, A.; Pepping, C.A.; Wright, J.J. Hypotheses about the Psychological Benefits of Horses. Explore 2014, 10, 81–87. [Google Scholar] [CrossRef] [PubMed][Green Version]
- Kieson, E.; Abramson, C.I. Equines as Tools vs. Partners: A Critical Look at the Uses and Beliefs Surrounding Horses in Equine Therapies and Argument for Mechanical Horses. J. Vet. Behav. 2016, 15, 94–95. [Google Scholar] [CrossRef]
- McGreevy, P.D.; Oddie, C.; Burton, F.L.; McLean, A.N. The Horse–Human Dyad: Can We Align Horse Training and Handling Activities with the Equid Social Ethogram? Vet. J. 2009, 181, 12–18. [Google Scholar] [CrossRef] [PubMed]
- De Santis, M.; Contalbrigo, L.; Borgi, M.; Cirulli, F.; Luzi, F.; Redaelli, V.; Stefani, A.; Toson, M.; Odore, R.; Vercelli, C.; et al. Equine Assisted Interventions (EAIs): Methodological Considerations for Stress Assessment in Horses. Vet. Sci. 2017, 4, 44. [Google Scholar] [CrossRef]
- Grandgeorge, M.; Hausberger, M. La médiation équine. Qu’en pensent les scientifiques? In Choix, Éducation et Bien-Être des Chevaux de Médiation; IFCE: Geneva, Switzerland, 2018; pp. 161–181. ISBN 978-2-915250-63-3. [Google Scholar]
- Wensley, S.P. Animal Welfare and the Human–Animal Bond: Considerations for Veterinary Faculty, Students, and Practitioners. J. Vet. Med. Educ. 2008, 35, 532–539. [Google Scholar] [CrossRef]
- Lesimple, C.; Poissonnet, A.; Hausberger, M. How to Keep Your Horse Safe? An Epidemiological Study about Management Practices. Appl. Anim. Behav. Sci. 2016, 181, 105–114. [Google Scholar] [CrossRef]
- Raabymagle, P.; Ladewig, J. Lying Behavior in Horses in Relation to Box Size. J. Equine Vet. Sci. 2006, 26, 11–17. [Google Scholar] [CrossRef]
- Mills, D.S.; Riezebos, M. The Role of the Image of a Conspecific in the Regulation of Stereotypic Head Movements in the Horse. Appl. Anim. Behav. Sci. 2005, 91, 155–165. [Google Scholar] [CrossRef]
- Luthersson, N.; Nielsen, K.H.; Harris, P.; Parkin, T.D.H. Risk Factors Associated with Equine Gastric Ulceration Syndrome (EGUS) in 201 Horses in Denmark. Equine Vet. J. 2009, 41, 625–630. [Google Scholar] [CrossRef] [PubMed]
- Benhajali, H.; Richard-Yris, M.-A.; Ezzaouïa, M.; Charfi, F.; Hausberger, M. Foraging Opportunity: A Crucial Criterion for Horse Welfare? Animal 2009, 3, 1308–1312. [Google Scholar] [CrossRef]
- Hausberger, M.; Gautier, E.; Biquand, V.; Lunel, C.; Jégo, P. Could Work Be a Source of Behavioural Disorders? A Study in Horses. PLoS ONE 2009, 4, e7625. [Google Scholar] [CrossRef] [PubMed]
- Hall, C.; Goodwin, D.; Heleski, C.; Randle, H.; Waran, N. Is There Evidence of Learned Helplessness in Horses? J. Appl. Anim. Welf. Sci. 2008, 11, 249–266. [Google Scholar] [CrossRef]
- Greve, L.; Dyson, S. The Horse–Saddle–Rider Interaction. Vet. J. 2013, 195, 275–281. [Google Scholar] [CrossRef]
- Lesimple, C.; Fureix, C.; Menguy, H.; Hausberger, M. Human Direct Actions May Alter Animal Welfare, a Study on Horses (Equus caballus). PLoS ONE 2010, 5, e10257. [Google Scholar] [CrossRef]
- Clayton, H.M.; Nauwelaerts, S. Effect of Blindfolding on Centre of Pressure Variables in Healthy Horses during Quiet Standing. Vet. J. 2014, 199, 365–369. [Google Scholar] [CrossRef] [PubMed]
- Cook, W.R. Pathophysiology of Bit Control in the Horse. J. Equine Vet. Sci. 1999, 19, 196–204. [Google Scholar] [CrossRef]
- Jeffcott, L.B.; Holmes, M.A.; Townsend, H.G.G. Validity of Saddle Pressure Measurements Using Force-Sensing Array Technology—Preliminary Studies. Vet. J. 1999, 158, 113–119. [Google Scholar] [CrossRef]
- Lesimple, C.; Fureix, C.; Aube, L.; Hausberger, M. Detecting and Measuring Back Disorders in Nonverbal Individuals: The Example of Domestic Horses. Anim. Behav. Cogn. 2016, 3, 159–179. [Google Scholar] [CrossRef]
- Fureix, C.; Menguy, H.; Hausberger, M. Partners with Bad Temper: Reject or Cure? A Study of Chronic Pain and Aggression in Horses. PLoS ONE 2010, 5, e12434. [Google Scholar] [CrossRef]
- Stomp, M.; d’Ingeo, S.; Henry, S.; Lesimple, C.; Cousillas, H.; Hausberger, M. EEG Individual Power Profiles Correlate with Tension along Spine in Horses. PLoS ONE 2020, 15, e0243970. [Google Scholar] [CrossRef] [PubMed]
- Burn, C.C.; Dennison, T.L.; Whay, H.R. Relationships between Behaviour and Health in Working Horses, Donkeys, and Mules in Developing Countries. Appl. Anim. Behav. Sci. 2010, 126, 109–118. [Google Scholar] [CrossRef]
- Fureix, C.; Jego, P.; Henry, S.; Lansade, L.; Hausberger, M. Towards an Ethological Animal Model of Depression? A Study on Horses. PLoS ONE 2012, 7, e39280. [Google Scholar] [CrossRef] [PubMed]
- Popescu, S.; Diugan, E.-A. The Relationship Between Behavioral and Other Welfare Indicators of Working Horses. J. Equine Vet. Sci. 2013, 33, 1–12. [Google Scholar] [CrossRef]
- Rochais, C.; Sébilleau, M.; Menoret, M.; Oger, M.; Henry, S.; Hausberger, M.; Cousillas, H. Attentional State and Brain Processes: State-Dependent Lateralization of EEG Profiles in Horses. Sci. Rep. 2018, 8, 10153. [Google Scholar] [CrossRef] [PubMed]
- Losonci, Z.; Berry, J.; Paddison, J. Do Stabled Horses Show More Undesirable Behaviors during Handling than Field-Kept Ones? J. Vet. Behav. 2016, 15, 93. [Google Scholar] [CrossRef]
- Lansade, L.; Valenchon, M.; Foury, A.; Neveux, C.; Cole, S.W.; Layé, S.; Cardinaud, B.; Lévy, F.; Moisan, M.-P. Behavioral and Transcriptomic Fingerprints of an Enriched Environment in Horses (Equus caballus). PLoS ONE 2014, 9, e114384. [Google Scholar] [CrossRef]
- Lansade, L.; Bouissou, M.-F. Reactivity to Humans: A Temperament Trait of Horses Which Is Stable across Time and Situations. Appl. Anim. Behav. Sci. 2008, 114, 492–508. [Google Scholar] [CrossRef]
- McCann, J.S.; Heird, J.C.; Bell, R.W.; Lutherer, L.O. Normal and More Highly Reactive Horses. I. Heart Rate, Respiration Rate and Behavioral Observations. Appl. Anim. Behav. Sci. 1988, 19, 201–214. [Google Scholar] [CrossRef]
- Visser, E.K.; van Reenen, C.G.; Hopster, H.; Schilder, M.B.H.; Knaap, J.H.; Barneveld, A.; Blokhuis, H.J. Quantifying Aspects of Young Horses’ Temperament: Consistency of Behavioural Variables. Appl. Anim. Behav. Sci. 2001, 74, 241–258. [Google Scholar] [CrossRef]
- Visser, E.K.; van Reenen, C.G.; van der Werf, J.T.N.; Schilder, M.B.H.; Knaap, J.H.; Barneveld, A.; Blokhuis, H.J. Heart Rate and Heart Rate Variability during a Novel Object Test and a Handling Test in Young Horses. Physiol. Behav. 2002, 76, 289–296. [Google Scholar] [CrossRef]
- Visser, E.K.; Reenen, C.G.V.; Rundgren, M.; Zetterqvist, M.; Morgan, K.; Blokhuis, H.J. Responses of Horses in Behavioural Tests Correlate with Temperament Assessed by Riders. Equine Vet. J. 2003, 35, 176–183. [Google Scholar] [CrossRef] [PubMed]
- Hausberger, M.; Muller, C. A Brief Note on Some Possible Factors Involved in the Reactions of Horses to Humans. Appl. Anim. Behav. Sci. 2002, 76, 339–344. [Google Scholar] [CrossRef]
- Henriksson, J.; Sauveroche, M.; Roth, L.S.V. Effects of Size and Personality on Social Learning and Human-Directed Behaviour in Horses (Equus caballus). Anim. Cogn. 2019, 22, 1001–1011. [Google Scholar] [CrossRef]
- Henry, S.; Briefer, S.; Richard-Yris, M.-A.; Hausberger, M. Are 6-Month-Old Foals Sensitive to Dam’s Influence? Dev. Psychobiol. 2007, 49, 514–521. [Google Scholar] [CrossRef] [PubMed]
- Houpt, K.; Kusunose, R. Genetics of Behaviour. In The Genetics of the Horse; CABI: Wallingford, UK, 2000; ISBN 978-0-85199-925-8. [Google Scholar]
- Schrimpf, A.; Single, M.-S.; Nawroth, C. Social Referencing in the Domestic Horse. Animals 2020, 10, 164. [Google Scholar] [CrossRef]
- Hausberger, M.; Roche, H.; Henry, S.; Visser, E.K. A Review of the Human–Horse Relationship. Appl. Anim. Behav. Sci. 2008, 109, 1–24. [Google Scholar] [CrossRef]
- Fureix, C.; Jego, P.; Sankey, C.; Hausberger, M. How Horses (Equus caballus) See the World: Humans as Significant “Objects. ” Anim. Cogn. 2009, 12, 643–654. [Google Scholar] [CrossRef]
- Sankey, C.; Richard-Yris, M.-A.; Henry, S.; Fureix, C.; Nassur, F.; Hausberger, M. Reinforcement as a Mediator of the Perception of Humans by Horses (Equus caballus). Anim. Cogn. 2010, 13, 753–764. [Google Scholar] [CrossRef]
- Smith, A.V.; Wilson, C.; McComb, K.; Proops, L. Domestic Horses (Equus caballus) Prefer to Approach Humans Displaying a Submissive Body Posture Rather than a Dominant Body Posture. Anim. Cogn. 2018, 21, 307–312. [Google Scholar] [CrossRef]
- Merkies, K.; McKechnie, M.J.; Zakrajsek, E. Behavioural and Physiological Responses of Therapy Horses to Mentally Traumatized Humans. Appl. Anim. Behav. Sci. 2018, 205, 61–67. [Google Scholar] [CrossRef]
- Merkies, K.; Sievers, A.; Zakrajsek, E.; MacGregor, H.; Bergeron, R.; von Borstel, U.K. Preliminary Results Suggest an Influence of Psychological and Physiological Stress in Humans on Horse Heart Rate and Behavior. J. Vet. Behav. 2014, 9, 242–247. [Google Scholar] [CrossRef]
- Anderson, M.K.; Friend, T.H.; Evans, J.W.; Bushong, D.M. Behavioral Assessment of Horses in Therapeutic Riding Programs. Appl. Anim. Behav. Sci. 1999, 63, 11–24. [Google Scholar] [CrossRef]
- Pluta, M.; Kędzierski, W. Emotional Responses of Horses to Patients Requiring Therapy. Soc. Anim. 2018, 26, 426–436. [Google Scholar] [CrossRef]
- Fazio, E.; Medica, P.; Cravana, C.; Ferlazzo, A. Hypothalamic-Pituitary-Adrenal Axis Responses of Horses to Therapeutic Riding Program: Effects of Different Riders. Physiol. Behav. 2013, 118, 138–143. [Google Scholar] [CrossRef]
- Grandgeorge, M.; Dubois, E.; Alavi, Z.; Bourreau, Y.; Hausberger, M. Do Animals Perceive Human Developmental Disabilities? Guinea Pigs’ Behaviour with Children with Autism Spectrum Disorders and Children with Typical Development. A Pilot Study. Animals 2019, 9, 522. [Google Scholar] [CrossRef] [PubMed]
- Johnson, R.A.; Johnson, P.J.; Megarani, D.V.; Patel, S.D.; Yaglom, H.D.; Osterlind, S.; Grindler, K.; Vogelweid, C.M.; Parker, T.M.; Pascua, C.K.; et al. Horses Working in Therapeutic Riding Programs: Cortisol, Adrenocorticotropic Hormone, Glucose, and Behavior Stress Indicators. J. Equine Vet. Sci. 2017, 57, 77–85. [Google Scholar] [CrossRef]
- Kaiser, L.; Heleski, C.R.; Siegford, J.; Smith, K.A. Stress-Related Behaviors among Horses Used in a Therapeutic Riding Program. J. Am. Vet. Med. Assoc. 2006, 228, 39–45. [Google Scholar] [CrossRef]
- Diugan, E.A.; Spinu, M.; Popescu, S. Human-Animal Relationship Assessment in Horses (Equus caballus) with Different Uses. Bull. Univ. Agric. Sci. Vet. Med. Cluj-Napoca Vet. Med. 2014, 71, 441–444. [Google Scholar] [CrossRef][Green Version]
- Pritchard, J.C.; Lindberg, A.C.; Main, D.C.J.; Whay, H.R. Assessment of the Welfare of Working Horses, Mules and Donkeys, Using Health and Behaviour Parameters. Prev. Vet. Med. 2005, 69, 265–283. [Google Scholar] [CrossRef]
- Ali, A.B.A.; El Sayed, M.A.; Matoock, M.Y.; Fouad, M.A.; Heleski, C.R. A Welfare Assessment Scoring System for Working Equids—A Method for Identifying at Risk Populations and for Monitoring Progress of Welfare Enhancement Strategies (Trialed in Egypt). Appl. Anim. Behav. Sci. 2016, 176, 52–62. [Google Scholar] [CrossRef]
- Popescu, S.; Diugan, E.A. The Relationship between the Welfare Quality and Stress Index in Working and Breeding Horses. Res. Vet. Sci. 2017, 115, 442–450. [Google Scholar] [CrossRef]
- Hausberger, M.; Stomp, M.; Sankey, C.; Brajon, S.; Lunel, C.; Henry, S. Mutual Interactions between Cognition and Welfare: The Horse as an Animal Model. Neurosci. Biobehav. Rev. 2019. [CrossRef] [PubMed]
- Sankey, C.; Richard-Yris, M.-A.; Leroy, H.; Henry, S.; Hausberger, M. Positive Interactions Lead to Lasting Positive Memories in Horses, Equus caballus. Anim. Behav. 2010, 79, 869–875. [Google Scholar] [CrossRef]
- Nimer, J.; Lundahl, B. Animal-Assisted Therapy: A Meta-Analysis. Anthrozoös 2015, 20, 225–238. [Google Scholar] [CrossRef]
- Fureix, C.; Gorecka-Bruzda, A.; Gautier, E.; Hausberger, M. Cooccurrence of Yawning and Stereotypic Behaviour in Horses (Equus caballus). ISRN Zool. 2011, 2011, 1–10. [Google Scholar] [CrossRef]
- Altmann, J. Observational Study of Behavior: Sampling Methods. Behaviour 1974, 49, 227–267. [Google Scholar] [CrossRef]
- Team, R.C. R: A Language and Environment for Statistical Computing; R Foundation Statistical Computing: Vienna, Austria, 2018; Available online: https://www.R-project.org (accessed on 22 August 2021).
- Gonzalez-Estrada, E.; Villasenor-Alva, J.A. Tests of Fit for Some Probability Distributions. R Package Version 2017, 1, 4. [Google Scholar]
- Gardner, W.; Mulvey, E.P.; Shaw, E.C. Regression Analyses of Counts and Rates: Poisson, Overdispersed Poisson, and Negative Binomial Models. Psychol. Bull. 1995, 118, 392–404. [Google Scholar] [CrossRef] [PubMed]
- Burnham, K.P.; Anderson, D.R. Multimodel Inference: Understanding AIC and BIC in Model Selection. Sociol. Methods Res. 2004. [CrossRef]
- Barton, K. Package ‘Mumin’. Version 2020, 1, 439. [Google Scholar]
- Hervé, M. RVAideMemoire: Testing and Plotting Procedures for Biostatistics. R Package Version 2019, 0.9, 72. [Google Scholar]
- Hausberger, M.; Lerch, N.; Guilbaud, E.; Stomp, M.; Grandgeorge, M.; Henry, S.; Lesimple, C. On-Farm Welfare Assessment of Horses: The Risks of Putting the Cart before the Horse. Animals 2020, 10, 371. [Google Scholar] [CrossRef]
- Henry, S.; Fureix, C.; Rowberry, R.; Bateson, M.; Hausberger, M. Do Horses with Poor Welfare Show ‘Pessimistic’ Cognitive Biases? Sci. Nat. 2017, 104, 8. [Google Scholar] [CrossRef] [PubMed]
- Stomp, M.; Leroux, M.; Cellier, M.; Henry, S.; Lemasson, A.; Hausberger, M. An Unexpected Acoustic Indicator of Positive Emotions in Horses. PLoS ONE 2018, 13, e0197898. [Google Scholar] [CrossRef]
- Hausberger, M.; Fureix, C.; Lesimple, C. Detecting Horses’ Sickness: In Search of Visible Signs. Appl. Anim. Behav. Sci. 2016, 175, 41–49. [Google Scholar] [CrossRef]
- Dalla Costa, E.; Minero, M.; Lebelt, D.; Stucke, D.; Canali, E.; Leach, M.C. Development of the Horse Grimace Scale (HGS) as a Pain Assessment Tool in Horses Undergoing Routine Castration. PLoS ONE 2014, 9, e92281. [Google Scholar] [CrossRef]
- Dalla Costa, E.; Dai, F.; Lebelt, D.; Scholz, P.; Barbieri, S.; Canali, E.; Minero, M. Initial Outcomes of a Harmonized Approach to Collect Welfare Data in Sport and Leisure Horses. Animal 2017, 11, 254–260. [Google Scholar] [CrossRef]
- Popescu, S.; Diugan, E.A.; Spinu, M. The Interrelations of Good Welfare Indicators Assessed in Working Horses and Their Relationships with the Type of Work. Res. Vet. Sci. 2014, 96, 406–414. [Google Scholar] [CrossRef]
- Henry, S.; Hemery, D.; Richard, M.-A.; Hausberger, M. Human–Mare Relationships and Behaviour of Foals toward Humans. Appl. Anim. Behav. Sci. 2005, 93, 341–362. [Google Scholar] [CrossRef]
- Rochais, C.; Sébilleau, M.; Houdebine, M.; Bec, P.; Hausberger, M.; Henry, S. A Novel Test for Evaluating Horses’ Spontaneous Visual Attention Is Predictive of Attention in Operant Learning Tasks. Sci. Nat. 2017, 104, 1–6. [Google Scholar] [CrossRef]
- Heleski, C.R.; Shelle, A.C.; Nielsen, B.D.; Zanella, A.J. Influence of Housing on Weanling Horse Behavior and Subsequent Welfare. Appl. Anim. Behav. Sci. 2002, 78, 291–302. [Google Scholar] [CrossRef]
- Bachmann, I.; Audigé, L.; Stauffacher, M. Risk Factors Associated with Behavioural Disorders of Crib-Biting, Weaving and Box-Walking in Swiss Horses. Equine Vet. J. 2003, 35, 158–163. [Google Scholar] [CrossRef] [PubMed]
- McGreevy, P.D.; Cripps, P.J.; French, N.P.; Green, L.E.; Nicol, C.J. Management Factors Associated with Stereotypic and Redirected Behaviour in the Thoroughbred Horse. Equine Vet. J. 1995, 27, 86–91. [Google Scholar] [CrossRef] [PubMed]
- Søndergaard, E.; Halekoh, U. Young Horses’ Reactions to Humans in Relation to Handling and Social Environment. Appl. Anim. Behav. Sci. 2003, 84, 265–280. [Google Scholar] [CrossRef]
- Søndergaard, E.; Ladewig, J. Group Housing Exerts a Positive Effect on the Behaviour of Young Horses during Training. Appl. Anim. Behav. Sci. 2004, 87, 105–118. [Google Scholar] [CrossRef]
- Visser, E.K.; Ellis, A.D.; Van Reenen, C.G. The Effect of Two Different Housing Conditions on the Welfare of Young Horses Stabled for the First Time. Appl. Anim. Behav. Sci. 2008, 114, 521–533. [Google Scholar] [CrossRef]
- Rivera, E.; Benjamin, S.; Nielsen, B.; Shelle, J.; Zanella, A.J. Behavioral and Physiological Responses of Horses to Initial Training: The Comparison between Pastured versus Stalled Horses. Appl. Anim. Behav. Sci. 2002, 78, 235–252. [Google Scholar] [CrossRef]
- Tinker, M.K.; White, N.A.; Lessard, P.; Thatcher, C.D.; Pelzer, K.D.; Davis, B.; Carmel, D.K. Prospective Study of Equine Colic Incidence and Mortality. Equine Vet. J. 1997, 29, 448–453. [Google Scholar] [CrossRef]
- Murray, M.J.; Schusser, G.F.; Pipers, F.S.; Gross, S.J. Factors Associated with Gastric Lesions in Thoroughbred Racehorses. Equine Vet. J. 1996, 28, 368–374. [Google Scholar] [CrossRef]
- Fureix, C.; Bourjade, M.; Henry, S.; Sankey, C.; Hausberger, M. Exploring Aggression Regulation in Managed Groups of Horses Equus caballus. Appl. Anim. Behav. Sci. 2012, 138, 216–228. [Google Scholar] [CrossRef]
- Górecka-Bruzda, A.; Jastrzębska, E.; Sosnowska, Z.; Jaworski, Z.; Jezierski, T.; Chruszczewski, M.H. Reactivity to Humans and Fearfulness Tests: Field Validation in Polish Cold Blood Horses. Appl. Anim. Behav. Sci. 2011, 133, 207–215. [Google Scholar] [CrossRef]
- Maros, K.; Gácsi, M.; Miklósi, Á. Comprehension of Human Pointing Gestures in Horses (Equus caballus). Anim. Cogn. 2008, 11, 457–466. [Google Scholar] [CrossRef] [PubMed]
- Popescu, S.; Borda, C.; Oros, D.; Sandru, D.C.; Spinu, M.; Giupina, R.; Diugan, E. Human-Animal Relationship: A Comparative Study in Working and Breeding Horses. Bull. Univ. Agric. Sci. Vet. Med. Cluj-Napoca Vet. Med. 2016, 73, 301. [Google Scholar] [CrossRef][Green Version]
- Wulf, M.; Aurich, J.; May, A.-C.; Aurich, C. Sex Differences in the Response of Yearling Horses to Handling by Unfamiliar Humans. J. Vet. Behav. 2013, 8, 238–244. [Google Scholar] [CrossRef]
- Snorrason, S.; Sigurjónsdóttir, H.; Thórhallsdóttir, A.; van Dierendonck, M. Social Relationships in a Group of Horses without a Mature Stallion. Behaviour 2003, 140, 783–804. [Google Scholar] [CrossRef]
- VanDierendonck, M.C.; de Vries, H.; Schilder, M.B.H.; Colenbrander, B.; Þorhallsdóttir, A.G.; Sigurjónsdóttir, H. Interventions in Social Behaviour in a Herd of Mares and Geldings. Appl. Anim. Behav. Sci. 2009, 116, 67–73. [Google Scholar] [CrossRef]
- Waring, G.H. Horse Behavior, 2nd ed.; Noyes Publishing: Norwich, NY, USA, 2003; ISBN 978-0-8155-1484-8. [Google Scholar]
- Boy, V.; Duncan, P. Time-Budgets of Camargue Horses I. Developmental Changes in the Time-Budgets of Foals. Behaviour 1979, 71, 187–201. [Google Scholar] [CrossRef]
- Christie, J.L.; Hewson, C.J.; Riley, C.B.; McNiven, M.A.; Dohoo, I.R.; Bate, L.A. Management Factors Affecting Stereotypies and Body Condition Score in Nonracing Horses in Prince Edward Island. Can. Vet. J. 2006, 47, 136–143. [Google Scholar]
- Hausberger, M.; Muller, C.; Lunel, C. Does Work Affect Personality? A Study in Horses. PLoS ONE 2011, 6, e14659. [Google Scholar] [CrossRef] [PubMed]
- Mills, D.S.; Alston, R.D.; Rogers, V.; Longford, N.T. Factors Associated with the Prevalence of Stereotypic Behaviour amongst Thoroughbred Horses Passing through Auctioneer Sales. Appl. Anim. Behav. Sci. 2002, 78, 115–124. [Google Scholar] [CrossRef]
- Peham, C.; Hofmann, A.; Molsner, J.; Borkenhagen, B.; Kuhnke, S.; Baltacis, A. Forces Acting on the Horses Back and the Stability of the Rider in Sitting and Rising Trot—A Comparison. Pferdeheilkunde Equine Med. 2008, 24, 337–342. [Google Scholar] [CrossRef][Green Version]
- Greve, L.; Dyson, S.J. The Interrelationship of Lameness, Saddle Slip and Back Shape in the General Sports Horse Population: Saddle Slip and Lameness. Equine Vet. J. 2014, 46, 687–694. [Google Scholar] [CrossRef] [PubMed]
- Mackechnie-Guire, R.; Mackechnie-Guire, E.; Fisher, M.; Mathie, H.; Bush, R.; Pfau, T.; Weller, R. Relationship Between Saddle and Rider Kinematics, Horse Locomotion, and Thoracolumbar Pressures in Sound Horses. J. Equine Vet. Sci. 2018, 69, 43–52. [Google Scholar] [CrossRef]
- Minero, M.; Zucca, D.; Canali, E. A Note on Reaction to Novel Stimulus and Restraint by Therapeutic Riding Horses. Appl. Anim. Behav. Sci. 2006, 97, 335–342. [Google Scholar] [CrossRef]





| Centre | Country | Date | Number of Equids According to | Mean Age (Years) ±SE | |||||||
|---|---|---|---|---|---|---|---|---|---|---|---|
| Total | Activity | Sex | Type | ||||||||
| EAI | EAI-RS | RS | Mares | Geldings | Horses | Ponies | |||||
| Centre1 | France | 03/2010 | 9 | 0 | 4 | 5 | 6 | 3 | 1 | 8 | 14.4 ± 0.4 |
| Centre2 | France | 01/2010 | 6 | 0 | 0 | 6 | 2 | 4 | 2 | 4 | 11.0 ± 1.6 |
| Centre3 | France | 09/2010 | 11 | 0 | 0 | 11 | 3 | 8 | 7 | 4 | 14.7 ± 1.5 |
| Centre4 | France | 04/2010 | 10 | 0 | 7 | 3 | 6 | 4 | 5 | 5 | 14.6 ± 1.6 |
| Centre5 | France | 11/2009 & 09/2010 | 18 | 0 | 0 | 18 | 10 | 8 | 10 | 8 | 14.1 ± 1.4 |
| Centre6 | Italy | 11/2017 | 9 | 9 | 0 | 0 | 5 | 4 | 9 | 0 | 21.6 ± 2.2 |
| Centre7 | Italy | 11/2017 | 2 | 0 | 2 | 0 | 2 | 0 | 0 | 2 | 19.0 ± 1 |
| Centre8 | Italy | 12/2017 | 7 | 0 | 7 | 0 | 3 | 4 | 1 | 6 | 14.3 ± 1.5 |
| Centre9 | Italy | 11/2017 | 6 | 2 | 0 | 4 | 6 | 0 | 2 | 4 | 21.3 ± 1.3 |
| Centre10 | France | 01/2019 | 34 | 0 | 0 | 34 | 18 | 16 | 15 | 19 | 11.9 ± 0.8 |
| Centre11 | France | 02/2019 | 27 | 2 | 17 | 8 | 20 | 7 | 15 | 12 | 13.2 ± 1.2 |
| Centre12 | Ireland | 04/2019 | 33 | 4 | 23 | 6 | 12 | 21 | 14 | 19 | 14.8 ± 0.8 |
| All centres | 172 | 17 | 60 | 95 | 93 | 79 | 81 | 91 | 14.3 ± 0.4 | ||
| Behaviours | Description | |
|---|---|---|
| Positive (ears forwards and towards the experimenter) | Gazes | Equid uses its binocular vision field to look at the experimenter for at least 1 second. |
| Approaching | Equid walks towards the experimenter, with ears and gaze oriented towards the experimenter. | |
| Sniffing | Equid sniffs the experimenter. | |
| Licking | Equid sticks out its tongue and contacts the experimenter. | |
| Nibbling | With jaws closed, the upper lip moves upwards and downwards over the experimenter, typically without dental contact with the object. | |
| Invasive contacts | Biting clothes | Equid takes part of the experimenter’s clothes into its mouth with its teeth and pulls them. |
| Head rubbing | Equid rubs its head on the experimenter. | |
| Pushing with head | Equid pushes the experimenter with its head. | |
| Jostling | Equid jostles the experimenter with its body. | |
| Negative (ears backwards) | Threatening gazes | Equid looks at the experimenter. |
| Threatening approaches | Equid approaches threateningly. | |
| Threatening sniffs | Equid sniffs the experimenter. | |
| Threatening nibbles | With jaws closed, moves its upper lip upwards and downwards over the experimenter, typically without dental contact with the object. | |
| Threatening to bite | Equid looks at the experimenter with ears laid back and showing its teeth. | |
| Threatening to kick | Equid points its rump towards the experimenter and can lift a leg towards the experimenter but without making contact. | |
| Kicking | Equid kicks the experimenter. | |
| Moving away | Equid moves away from the experimenter. | |
| Turning its back | Equid turns its back to the experimenter. | |
| Others (ears asymmetrical or sidewards) | Other gazes | Equid’s neck is oriented towards the experimenter, and it uses its binocular vision to look at the experimenter for at least 1 second. |
| Approaching | Equid walks towards the experimenter, with gaze oriented towards the experimenter. | |
| Sniffing | Equid sniffs the experimenter. | |
| Nibbling | With jaws closed, moves its upper lip upwards and downwards over the experimenter, typically without dental contact with the object. | |
Publisher’s Note: MDPI stays neutral with regard to jurisdictional claims in published maps and institutional affiliations. |
© 2021 by the authors. Licensee MDPI, Basel, Switzerland. This article is an open access article distributed under the terms and conditions of the Creative Commons Attribution (CC BY) license (https://creativecommons.org/licenses/by/4.0/).
Share and Cite
Lerch, N.; Cirulli, F.; Rochais, C.; Lesimple, C.; Guilbaud, E.; Contalbrigo, L.; Borgi, M.; Grandgeorge, M.; Hausberger, M. Interest in Humans: Comparisons between Riding School Lesson Equids and Assisted-Intervention Equids. Animals 2021, 11, 2533. https://doi.org/10.3390/ani11092533
Lerch N, Cirulli F, Rochais C, Lesimple C, Guilbaud E, Contalbrigo L, Borgi M, Grandgeorge M, Hausberger M. Interest in Humans: Comparisons between Riding School Lesson Equids and Assisted-Intervention Equids. Animals. 2021; 11(9):2533. https://doi.org/10.3390/ani11092533
Chicago/Turabian StyleLerch, Noémie, Francesca Cirulli, Céline Rochais, Clémence Lesimple, Estelle Guilbaud, Laura Contalbrigo, Marta Borgi, Marine Grandgeorge, and Martine Hausberger. 2021. "Interest in Humans: Comparisons between Riding School Lesson Equids and Assisted-Intervention Equids" Animals 11, no. 9: 2533. https://doi.org/10.3390/ani11092533
APA StyleLerch, N., Cirulli, F., Rochais, C., Lesimple, C., Guilbaud, E., Contalbrigo, L., Borgi, M., Grandgeorge, M., & Hausberger, M. (2021). Interest in Humans: Comparisons between Riding School Lesson Equids and Assisted-Intervention Equids. Animals, 11(9), 2533. https://doi.org/10.3390/ani11092533

