Objective Assessment of Chronic Pain in Horses Using the Horse Chronic Pain Scale (HCPS): A Scale-Construction Study
Abstract
Simple Summary
Abstract
1. Introduction
2. Materials and Methods
3. Results
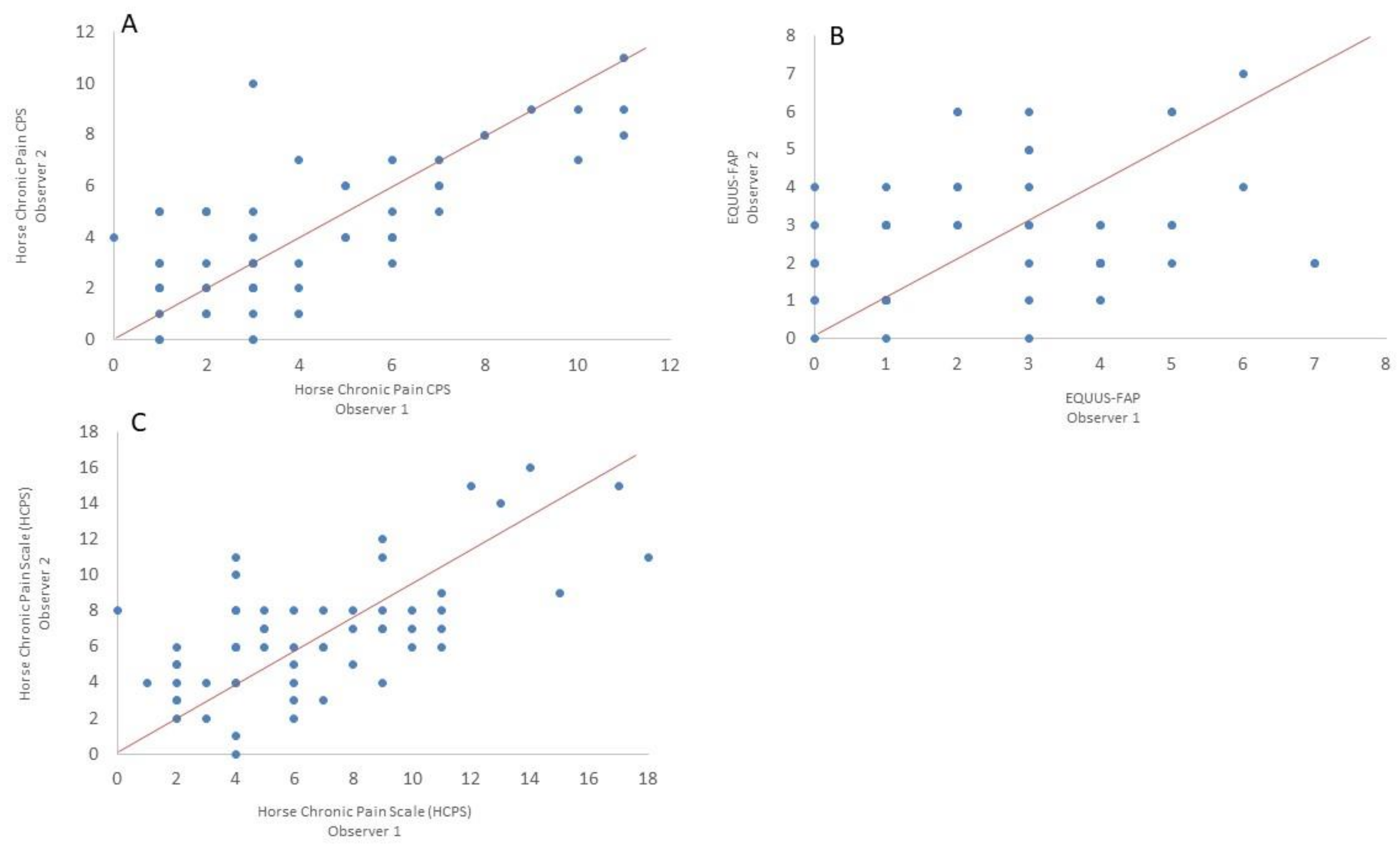
3.1. Inter-Observer Reliability
3.2. Differences Between Horses with Chronic Pain and Healthy Control Animals
3.3. Seasonal Variation
4. Discussion
5. Conclusions
Supplementary Materials
Author Contributions
Funding
Institutional Review Board Statement
Informed Consent Statement
Data Availability Statement
Acknowledgments
Conflicts of Interest
References
- Parker, R.A.; Yeates, J.W. Assessment of quality of life in equine patients. Equine Vet. J. 2012, 44, 244–249. [Google Scholar] [CrossRef] [PubMed]
- McGowan, C.M.; Ireland, J.L. Welfare, quality of life and euthanasia of aged horses. Vet. Clin. Equine 2016, 32, 355–367. [Google Scholar] [CrossRef] [PubMed]
- Fox, M.W. Determining animals Quality of Life: Veterinary criteria and assessment. Arch. Vet. Sci. Med. 2019, 2, 1–7. [Google Scholar] [CrossRef]
- Dalla Costa, E.; Dai, F.; Lebelt, D.; Scholz, P.; Barbieri, S.; Canali, E.; Zanella, A.J.; Minero, M. Welfare assessment of horses: The AWIN approach. Anim. Welf. 2016, 25, 481–488. [Google Scholar] [CrossRef]
- Czycholl, I.; Klingbeil, P.; Krieter, J. Interobserver reliability of the animal welfare indicators welfare assessment protocol for horses. J. Equine Vet. Sci. 2019, 75, 112–121. [Google Scholar] [CrossRef] [PubMed]
- Dalla Costa, E.; Minero, M.; Lebelt, D.; Stucke, D.; Canali, E.; Leach, M.C. Development of the Horse Grimace Scale (HGS) as a pain assessment tool in horses undergoing routine castration. PLoS ONE 2014, 9, e92281. [Google Scholar] [CrossRef]
- Gleerup, K.B.; Lindegaard, C. Recognition and quantification of pain in horses: A tutorial review. Equine Vet. Educ. 2016, 28, 47–57. [Google Scholar] [CrossRef]
- De Grauw, J.C.; van Loon, J.P.A.M. Systematic pain assessment in horses. Vet. J. 2016, 209, 14–22. [Google Scholar] [CrossRef]
- Van Loon, J.P.A.M.; Van Dierendonck, M.C. Objective pain assessment in horses (2014–2018). Vet. J. 2018, 242, 1–7. [Google Scholar] [CrossRef]
- Taffarel, M.O.; Luna, S.P.; de Oliveira, F.A.; Cardoso, G.S.; Alonso, J.M.; Pantoia, J.C.; Brondani, J.T.; Love, E.; Taylor, P.; White, K.; et al. Refinement and partial validation of the UNESP-Botucatu multidimensional composite pain scale for assessing postoperative pain in horses. BMC Vet. Res. 2015, 11, 83. [Google Scholar] [CrossRef]
- Dyson, S.; Berger, J.; Ellis, A.D.; Mullard, J. Development of an ethogram for a pain scoring system in ridden horses and its application to determine the presence of musculoskeletal pain. J. Vet. Behavor. 2018, 23, 47–57. [Google Scholar] [CrossRef]
- Dyson, S.; Bondi, J.; Routh, D.; Pollard, T.; Preston, C.; McConnell, J.; Kydd, H. An investigation of behavior during tacking-up and mounting in ridden sports and leisure horses. Equine Vet. Educ. 2021. [Google Scholar] [CrossRef]
- Van Dierendonck, M.C.; Burden, F.A.; Rickards, K.; van Loon, J.P.A.M. Monitoring Acute Pain in Donkeys with the Equine Utrecht University Scale for Donkeys Composite Pain Assessment (EQUUS-DONKEY-COMPASS) and the Equine Utrecht University Scale for Donkey Facial Assessment of Pain (EQUUS-DONKEY-FAP). Animals 2020, 10, 354. [Google Scholar] [CrossRef]
- Van Loon, J.P.A.M.; de Grauw, J.C.; Burden, F.; Vos, K.J.; Bardelmeijer, L.H.; Rickards, K. Objective assessment of chronic pain in donkeys using the donkey chronic pain scale (DCPS): A scale-construction study. Vet. J. 2021, 267, 105580. [Google Scholar] [CrossRef]
- Merksey, H.; Bogduk, N. Classification of Chronic Pain, 2nd ed.; IASP Press: Seattle, WA, USA, 1994. [Google Scholar]
- Lavand’homme, P. The progression from acute to chronic pain. Curr. Opin. Anesthesiol. 2011, 24, 545–550. [Google Scholar] [CrossRef]
- Van Loon, J.P.A.M.; van Dierendonck, M.C. Monitoring acute equine visceral pain with the Equine Utrecht University Scale for Composite Pain Assessment (EQUUS-COMPASS) and the Equine Utrecht University Scale for Facial Assessment of Pain (EQUUS-FAP): S scale-construction study. Vet. J. 2015, 206, 356–364. [Google Scholar] [CrossRef]
- Koo, T.K.; Li, M.Y. A guideline of selecting and reporting intraclass correlation coefficients for reliability research. J. Chiropr. Med. 2016, 15, 155–163. [Google Scholar] [CrossRef]
- Torcivia, C.; McDonnell, S. In-person caretaker visits disrupt ongoing discomfort behavior in hospitalized equine orthopedic surgical patients. Animals 2020, 10, 210. [Google Scholar] [CrossRef]
- Gleerup, K.B.; Forkman, B.; Lindegaard, C.; Andersen, P.H. An equine pain face. Vet. Anaesth. Analg. 2015, 42, 103–114. [Google Scholar] [CrossRef]
- Dalla Costa, E.; Bracci, D.; Daia, F.; Lebelt, D.; Minero, M. Do Different Emotional States Affect the Horse Grimace Scale Score? A Pilot Study. J. Equine Vet. Sci. 2017, 54, 114–117. [Google Scholar] [CrossRef]
- Lundblad, J.; Rashid, M.; Rhodin, M.; Haubro Andersen, P. Effect of transportation and social isolation on facial expressions of healthy horses. PLoS ONE 2021, 16, e0241532. [Google Scholar] [CrossRef]
- Shutty, M.S.; Cundiff, G.; DeGood, D.E. Pain complaint and the weather: Weather sensitivity and symptom complaints in chronic pain patients. Pain 1992, 49, 199–204. [Google Scholar] [CrossRef]
- Jamison, R.N.; Slater, M.A. Weather changes and pain: Perceived influence of local climate on pain complaint in chronic pain patients. Pain 1995, 61, 309–315. [Google Scholar] [CrossRef]
- Hielm-Björkman, A.K.; Rita, H.; Tulamo, R.M. Psychometric testing of the Helsinki chronic pain index by completion of a questionnaire in Finnish by owners of dogs with chronic sings of pain caused by osteoarthritis. Am. J. Vet. Res. 2009, 70, 727–734. [Google Scholar] [CrossRef]
- Stadig, S.; Lascelles, B.D.X.; Nyman, G.; Bergh, A. Evaluation and comparison of pain questionnaires for clinical screening of osteoarthritis in cats. Vet. Rec. 2019, 185, 757. [Google Scholar] [CrossRef]
- Varricchio, C.G.; Estwing Ferrans, C. Quality of life assessments in clinical practice. Semin. Oncol. Nurs. 2010, 26, 12–17. [Google Scholar] [CrossRef]
- Bruns, D.; Disorbio, J.M.; Hanks, R. Chronic nonmalignant pain and violent behavior. Curr. Pain Headache Rep. 2003, 7, 127–132. [Google Scholar] [CrossRef] [PubMed]
- Fureix, C.; Menguy, H.; Hausberger, M. Partners with bad temper: Reject or cure? A study of chronic pain and aggression in horses. PLoS ONE 2010, 5, e12434. [Google Scholar] [CrossRef] [PubMed]
- Dalla Costa, E.; Stucke, D.; Dai, F.; Minero, M.; Leach, M.C.; Lebelt, D. Using the Horse Grimace Scale (HGS) to Assess Pain Associated with Acute Laminitis in Horses (Equus caballus). Animals 2016, 6, 47. [Google Scholar] [CrossRef] [PubMed]



| Patients | Controls | |
|---|---|---|
| Total number | 26 | 27 |
| Mares | 15 | 14 |
| Geldings | 11 | 13 |
| Warmbloods | 17 | 9 |
| Thoroughbreds | 2 | 0 |
| Draft Horses | 5 | 8 |
| Ponies | 2 | 9 |
| Trotters | 0 | 1 |
| Mean age (S.D.) | 28.2 (2.8) | 27.2 (3.4) |
| 1. General Appearance | Score | 8. Body Condition Score (BCS, Scale 1–5, Derived from Brooke Hospital) | |
| Alert and/or is interacting with mate/group | 0 | Normal BCS (3/5) | 0 |
| Mildly depressed and/or restless and/or decreased interaction with group mate/group | 1 | Increased or decreased BCS (2/5 or 4/5) | 1 |
| Moderately depressed and/or aggressive or no reaction mate/group | 2 | ||
| Severely depressed (not responding to very clear and obvious signals like movement or sound) | 3 | Severely increased or decreased BCS (1/5 or 5/5) | 3 |
| 2. Body posture | Score | 9. Muscles (epaxial, gluteal, hamstring and cervical muscles) | Score |
| Quietly standing and/or one hind leg resting | 0 | Symmetric muscles, no muscle loss | 0 |
| Slightly tucked up abdomen | 1 | Mild muscle loss | 1 |
| Extremely tucked up abdomen and/or hunched back and/or stretching limbs/body and/or mild muscle tremors | 2 | Moderate muscle loss | 2 |
| Extremely tucked up abdomen and/or hunched back and/or stretching limbs/body and extreme muscle tremors | 3 | Obvious (a)symmetric muscle loss | 3 |
| 3. Weight distribution | Score | 10. Reaction to observer(s) | Score |
| Normal weight distribution (including resting a hindlimb) | 0 | Reaction to observer(s) and ear movements towards observer | 0 |
| Less weight on one leg and/or body displaced slightly backwards | 1 | Mild decreased reaction or ear movements to observer(s) | 1 |
| Less weight on one leg, with only the tip on the ground | 2 | Moderate decreased reaction or ear movements to observer(s) | 2 |
| One leg obviously lifted and/or body obviously displaced backwards | 3 | No reaction or ear movements to observer(s) | 3 |
| 4. Weight shifting of front and hind limbs | Score | 11. Pressure sores on skin | Score |
| Not seen | 0 | No pressure sores on skin | 0 |
| Mild weight shifting, | 1 | Mild pressure sores on skin | 1 |
| Moderate weight shifting | 2 | Moderate pressure sores on skin | 2 |
| Severe weight shifting | 3 | Severe pressure sores on skin | 3 |
| 5. Head carriage | Score | 12. Pain reaction to palpation of the back | Score |
| Ear base above withers or eats/drinks (from the ground) | 0 | No reaction to deep palpation | 0 |
| Ear base at level of the withers | 1 | Mild reaction to superficial palpation | 1 |
| Ear base below the withers | 2 | Moderate reaction to superficial palpation | 2 |
| Nose to the ground (not eating) | 3 | Severe reaction to superficial palpation (ears backward, tends to bite) | 3 |
| 6. Eating (present food) | Score | 13. Pain reaction to standardised flexion of front and hind limbs (performed by picking up the limb and bringing it gently to flexion of fetlock, carpal/tarsal joints and knee or shoulder/elbow joints.) | Score |
| Interested and eats normally or fast | 0 | No reaction to standardised flexion of limbs | 0 |
| Reluctant to take food, but eats normally | 1 | Mild reaction to standardised flexion of limbs | 1 |
| Reluctant to take food and drops the food | 2 | Moderate reaction to standardised flexion of limbs | 2 |
| Not interested in food | 3 | Severe reaction to standardised flexion of limbs | 3 |
| 7. Changes in behaviour to partner/group | Score | 14. Carrot/apple test | Score |
| Horse is in the group | 0 | Normal biting and eating of carrot/apple | 0 |
| Horse is not in the group, but with his/her mate | 1 | ||
| Reluctant to or difficulties with eating carrot/apple | 2 | ||
| Partner/group leaves or has left patient (excluding herd behaviour) | 3 | Does not want to eat the carrot/apple | 3 |
| 15. Movement | Score | ||
| No reluctance to move and normal gait | 0 | ||
| Mildly abnormal gait (1 or 2 out of 5 lameness AAEP scale *) and/or stiff walk, not reluctant | 1 | ||
| Reluctance to walk when motivated and/or severely abnormal gait (3 to 5 out of 5 lameness AAEP scale) | 2 | ||
| Does not want to walk or is lying down | 3 | ||
| Total Composite Pain Score | /45 | ||
| Facial Expression | Description | Score |
|---|---|---|
| Head | Normal movement Less/no or more/exaggerated movement | 0 2 |
| Eyelids | Opened More opened eyes or tightening of eyelids with partial closure Obviously more opened eyes (possibly with a rim of the upper eyelid) or obvious tightening of eyelids with (near) complete closure | 0 1 2 |
| Focus | Focused on environment Less focused on environment Not focused on environment | 0 1 2 |
| Nostrils | Relaxed A bit more opened, nostrils lifted, wrinkles seen Obviously more opened, nostril flaring, possibly audible breathing | 0 1 2 |
| Corners mouth/lips | Relaxed Lifted | 0 2 |
| Muscle tone head | No fasciculations Mild fasciculations Obvious fasciculations | 0 1 2 |
| Flehming/yawning/smacking of the lips | Not seen Seen | 0 2 |
| Teeth grinding and/or moaning | Absent Present | 0 2 |
| Ear response to auditory stimulus (clicking sound) | Clear response with both ears or ear closest to source Delayed/reduced response to sounds No response to sounds and / or abnormal ear position | 0 1 2 |
| Total | /24 |
Publisher’s Note: MDPI stays neutral with regard to jurisdictional claims in published maps and institutional affiliations. |
© 2021 by the authors. Licensee MDPI, Basel, Switzerland. This article is an open access article distributed under the terms and conditions of the Creative Commons Attribution (CC BY) license (https://creativecommons.org/licenses/by/4.0/).
Share and Cite
van Loon, J.P.A.M.; Macri, L. Objective Assessment of Chronic Pain in Horses Using the Horse Chronic Pain Scale (HCPS): A Scale-Construction Study. Animals 2021, 11, 1826. https://doi.org/10.3390/ani11061826
van Loon JPAM, Macri L. Objective Assessment of Chronic Pain in Horses Using the Horse Chronic Pain Scale (HCPS): A Scale-Construction Study. Animals. 2021; 11(6):1826. https://doi.org/10.3390/ani11061826
Chicago/Turabian Stylevan Loon, Johannes P. A. M., and Lucia Macri. 2021. "Objective Assessment of Chronic Pain in Horses Using the Horse Chronic Pain Scale (HCPS): A Scale-Construction Study" Animals 11, no. 6: 1826. https://doi.org/10.3390/ani11061826
APA Stylevan Loon, J. P. A. M., & Macri, L. (2021). Objective Assessment of Chronic Pain in Horses Using the Horse Chronic Pain Scale (HCPS): A Scale-Construction Study. Animals, 11(6), 1826. https://doi.org/10.3390/ani11061826

