Selection of Urbanized Areas by Magpie Pica pica in a Medium Size City in Poland
Abstract
Simple Summary
Abstract
1. Introduction
2. Materials and Methods
2.1. Field Study
2.2. Data Collection
2.3. Statistical Analysis
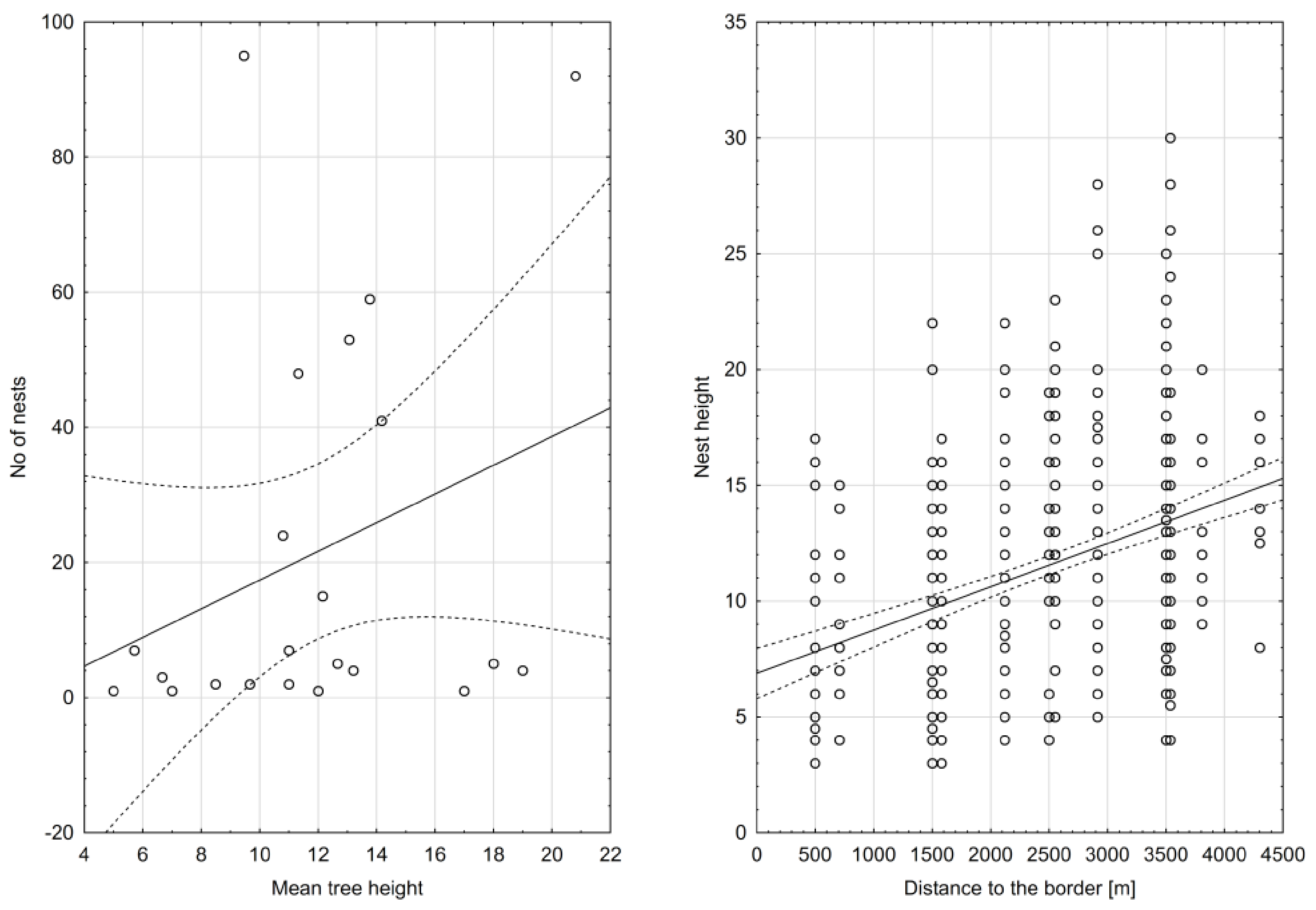
3. Results
4. Discussion
5. Conclusions
Author Contributions
Funding
Institutional Review Board Statement
Data Availability Statement
Acknowledgments
Conflicts of Interest
Appendix A. The Proportion of Particular Habitat Types in Gorzów Wlkp
| Land Use | Urban Atlas Code | Area [ha] | % |
| Green urban areas | 14100 | 394.0 | 4.6% |
| Sports and leisure facilities | 14200 | 419.1 | 4.9% |
| Arable land (annual crops) | 21000 | 1978.9 | 23.1% |
| Pastures | 23000 | 1792.5 | 20.9% |
| Forests | 31000 | 679.6 | 7.9% |
| Herbaceous vegetation associations | 32000 | 381.3 | 4.4% |
| Wetlands | 40000 | 9.3 | 0.1% |
| Water | 50000 | 126.4 | 1.5% |
| Continuous Urban Fabric | 11100 | 455.5 | 5.3% |
| Discontinuous Dense Urban Fabric | 11210 | 687.0 | 8.0% |
| Discontinuous Medium Density Urban Fabric | 11220 | 90.0 | 1.0% |
| Discontinuous Low Density Urban Fabric | 11230 | 4..2 | 0.0% |
| Discontinuous very low density urban fabric | 11240 | 51.0 | 0.6% |
| Isolated Structures | 11300 | 51.6 | 0.6% |
| Industrial, commercial, public, military and private units | 12100 | 903.6 | 10.5% |
| Fast transit roads and associated land | 12210 | 28.4 | 0.3% |
| Other roads and associated land | 12220 | 314.9 | 3.7% |
| Railways and associated land | 12230 | 63.7 | 0.7% |
| Mineral extraction and dump sites | 13100 | 60.6 | 0.7% |
| Construction sites | 13300 | 68.7 | 0.8% |
| Land without current use | 13400 | 11.7 | 0.1% |
| Total: | 8572.1 | 100.0% |
Appendix B. Genera or Species of Trees and Shrubs Used by Magpies for Nest Building in Gorzów Wlkp. in 2014
| Tree Species | Microhabitat | Additional Description of the Environment | Mean Tree Height; Maximum; Minimum; Standard Deviation | Mean Nest Height Location; Maximum; Minimum; Standard Deviation | |||||||||
| Single Tree | Tree Cluster 2-3 | Tree Cluster 4-10 | Tree Cluster > 10 | Row of Trees | Unclassfied | Park | Allotment Gardens | Cementary | Near Open Water | Unclassified | |||
| Acer sp. 11.2% | 14 | 10 | 5 | 5 | 13 | 6 | 9 | 3 | 1 | 40 | 13.1; 21.0; 5.0; 4.1 | 11.9; 4.0; 19.0; 3.6 | |
| Aesculus sp. 0.8% | 2 | 1 | 1 | 1 | 1 | 2 | 13.2; 15.0; 10.0; 2.5 | 10.7; 9.0; 13.0; 2.1 | |||||
| Alnus sp. 1.1% | 0 | 4 | 1 | 1 | 4 | 12.7; 15.0; 10.0; 2.6 | 10.0; 7.0; 12.0; 2.3 | ||||||
| Betula sp. 12.5% | 15 | 12 | 15 | 15 | 2 | 1 | 1 | 2 | 1 | 54 | 13.8; 20.0; 5.0; 3.9 | 11.4; 4.0; 20.0; 3.5 | |
| Carpinus sp. 0.8% | 1 | 1 | 1 | 1 | 1 | 3 | 19.0; 20.0; 17.0; 1.7 | 16.8; 14.0; 19.0; 2.2 | |||||
| Corylus sp. 0.2% | 0 | 1 | 1 | 5.0; 5.0; 5.0; - | 4.0; 4.0; 4.0; - | ||||||||
| Crataegus sp.0.2% | 1 | 1 | 12.0; 12.0; 12.0; - | 10.0; 10.0; 10.0; - | |||||||||
| Fraxinus sp. 0.2% | 0 | 1 | 1 | 7.0; 7.0; 7.0; - | 4.0; 4.0; 4.0; - | ||||||||
| Juglans sp. 0.4% | 1 | 1 | 2 | 11.0; 11.0; 11.0; - | 9.0; 9.0; 9.0; - | ||||||||
| Larix sp. 1.5% | 3 | 2 | 1 | 1 | 7 | 11.0; 14.0; 8.0; 2.8 | 9.8; 7.0; 13.0; 2.2 | ||||||
| Malus sp. 0.6% | 1 | 1 | 1 | 1 | 2 | 6.7; 8.0; 5.0; 1.5 | 5.3; 4.0; 6.0; 1.2 | ||||||
| Picea sp. 20.1% | 19 | 20 | 39 | 15 | 2 | 1 | 22 | 1 | 71 | 9.5; 18.0; 5.0; 3.2 | 8.1; 4.0; 15.0; 2.5 | ||
| Pinus sp. 0.4% | 0 | 2 | 1 | 1 | 9.7; 12.0; 5.0; 4.0 | 8.3; 4.5; 11.0; 3.5 | |||||||
| Platanus sp. 0.2% | 0 | 1 | 1 | 17.0; 17.0; 17.0; - | 16.0; 16.0; 16.0; - | ||||||||
| Populus sp. 19.5% | 22 | 17 | 2 | 1 | 47 | 3 | 1 | 3 | 4 | 84 | 20.8; 33.0; 10.0; 5.0 | 17.3; 8.0; 30.0; 4.2 | |
| Prunus sp. 1.5% | 1 | 2 | 1 | 3 | 3 | 4 | 5.7; 7.0; 4.0; 1.1 | 4.3; 3.0; 6.0; 1.1 | |||||
| Pyrus sp. 0.4% | 0 | 1 | 1 | 2 | 8.5; 13.0; 4.0; 6.4 | 7.5; 4.0; 11.0; 4.9 | |||||||
| Quercus sp. 1.1% | 2 | 1 | 2 | 5 | 18.0; 27.0; 11.0; 8.2 | 14.8; 10.0; 22.0; 5.4 | |||||||
| Robinia sp. 8.7% | 5 | 9 | 3 | 9 | 9 | 6 | 6 | 2 | 1 | 32 | 14.2; 22.0; 5.0; 4.1 | 12.5; 4.0; 20.0; 3.8 | |
| Salix sp. 10.2% | 16 | 9 | 13 | 2 | 8 | 2 | 6 | 40 | 11.3; 19.0; 4.0; 3.7 | 9.3; 3.0; 17.0; 3.4 | |||
| Tilia sp. 3.2% | 4 | 1 | 1 | 7 | 2 | 1 | 1 | 13 | 12.2; 16.0; 8.0; 2.2 | 10.7; 4.0; 15.0; 2.7 | |||
| Unmarked 5.1% | 9 | 4 | 2 | 4 | 3 | 2 | 2 | 7 | 1 | 14 | 10.8; 19.0; 5.0; 3.5 | 9.8; 4.0; 16.0; 3.1 | |
| Total [%] | 116 [24.6] | 85 [18.0] | 95 [20.1] | 23 [4.9] | 124 [26.3] | 29 [6.1] | 23 [4.9] | 42 [8.9] | 8 [1.7] | 15 [3.2] | 384 [81.4] | 13.4; 33.0; 4.0; 5.5 | 11.5; 30.0; 3.0; 4.8 |
References
- Chylarecki, P.; Chodkiewicz, T.; Neubauer, G.; Sikora, A.; Meissner, W.; Woźniak, B.; Wylegała, P.; Ławicki, Ł.; Marchowski, D.; Betleja, J.; et al. Trendy Liczebności Ptaków w Polsce; GIOŚ: Warszawa, Poland, 2018; p. 471. (In Polish) [Google Scholar]
- Jerzak, L. Sroka Pica pica w Polsce—przegląd badań. In Corvids of Poland; Jerzak, L., Kavanagh, B.P., Tryjanowski, P., Eds.; Bogucki Wyd. Nauk.: Poznań, Poland, 2005; pp. 35–51. (In Polish) [Google Scholar]
- Dulisz, B. Spatial structure, nest location, and densities of the Magpie Pica pica in two types of urban development in the city of Olsztyn (NE Poland). In Corvids of Poland; Jerzak, L., Kavanagh, B.P., Tryjanowski, P., Eds.; Bogucki Wyd. Nauk.: Poznań, Poland, 2005; pp. 267–286. [Google Scholar]
- Kasprzykowski, Z.; Olton, M. Gniazdowanie sroki Pica pica w środowisku miejskim oraz w krajobrazie rolniczym środków-wschodniej Polski. Not. Ornitol. 2008, 49, 29–38. (In Polish) [Google Scholar]
- Zbyryt, A.; Banach, J. Liczebność, zagęszczenie i charakterystyka miejsc lęgowych sroki Pica pica w Białymstoku. Ornis Pol. 2014, 55, 105–114. (In Polish) [Google Scholar]
- Jerzak, L. Synurbization of the magpie in the Palearctic. In Avian Ecology and Conservation in an Urbanizing World; Marzluf, J.M., Bowman, R., Donnelly, R., Eds.; Kluwer Academic: Norwell, MA, USA, 2001; pp. 405–427. [Google Scholar]
- Olsen, H.; Schmidt, N.M. Response of Hooded Crow Corvus corone cornix and Magpie Pica pica to exposure to artificial nests. Bird Study 2004, 51, 87–90. [Google Scholar] [CrossRef]
- Sage, R.B.; Aebischer, N.J. Does best-practice crow Corvus corone and magpie Pica pica control on UK farmland improve nest success in hedgerow-nesting songbirds? A field experiment. Wildl. Biol. 2017, 4, wlb.00375. [Google Scholar]
- De Toledo, M.C.B.; Donatelli, R.J.; Batista, G.T. Relation between green spaces and bird community structure in an urban area in Southeast Brazil. Urban. Ecosyst. 2012, 15, 111–131. [Google Scholar] [CrossRef]
- Tatner, P. Factors influencing the distribution of magpies Pica pica in an urban environment. Bird Study 1982, 29, 227–234. [Google Scholar] [CrossRef][Green Version]
- Jokimäki, J.; Suhonen, J.; Vuorisalo, T.; Kövér, L.; Kaisanlahti-Jokimäki, M.-L. Urbanization and nest-site selection of the Black-billed Magpie (Pica pica) populations in two Finnish cities: From a persecuted species to an urban exploiter. Landsc. Urban. Plan. 2017, 157, 577–585. [Google Scholar] [CrossRef]
- Kopij, G.; Kosińska, I. Zagęszczenie par lęgowych i miejsca gniazdowania sroki Pica pica i wrony Corvus cornix w gradiencie urbanizacji. In Chronić Różnorodność Biotyczną w Miastach; Indykiewicz, P., Jerzak, L., Barczak, T., Eds.; SAR „Pomorze”: Bydgoszcz, Poland, 2008; pp. 455–463. (In Polish) [Google Scholar]
- Kövér, L.; Gyüre, P.; Balogh, P.; Huettmann, F.; Lengyel, S.; Juhász, J. Recent colonization and nest site selection of the Hooded Crow (Corvus corone cornix L.) in an urban environment. Landsc. Urban. Plan. 2015, 133, 78–86. [Google Scholar] [CrossRef]
- Tomiałojć, L.; Orłowski, G.; Czapulak, A.; Jakubiec, Z. Ptaki Wrocławia; PTPP “pro Natura”: Wrocław, Poland, 2020; p. 479. (In Polish) [Google Scholar]
- Wang, Z.; Wang, Y.; Jerzak, L.; Zhang, Z. Nest site selection of the magpie Pica pica sericea in Beijing of China. Stud. Biol. 2010, 4, 1–12. [Google Scholar] [CrossRef]
- Urban. Atlas Mapping Guide v 4.7. for European Urban. Atlas; Regional Policy; European Commision, European Union: Brussels, Belgium, 2016.
- Guisan, A.; Zimmermann, N.E. Predictive habitat distribution models in ecology. Ecol. Modell. 2000, 135, 147–186. [Google Scholar] [CrossRef]
- Graham, M.H. Confronting multicollinearity in ecological multiple regression. Ecology 2003, 84, 2809–2815. [Google Scholar] [CrossRef]
- Box, G.E.P.; Cox, D.R. An analysis of transformations. J. R. Stat. Soc. Ser. B. 1964, 26, 211–252. [Google Scholar] [CrossRef]
- Venables, W.N.; Ripley, B.D. Modern Applied Statistics with S, 4th ed.; Springer: New York, NY, USA, 2002. [Google Scholar]
- Burnham, K.P.; Anderson, D.R. Model Selection and Multimodel Inference: A Practical Information-Theoretic Approach, 2nd ed.; Springer: New York, NY, USA, 2002. [Google Scholar]
- R Development Core Team. R: A Language and Environment for Statistical Computing. 2019. Available online: https://www.R-project.org/ (accessed on 23 March 2021).
- Šálek, M.; Grill, S.; Riegert, J. Nest-site selection of an avian urban exploiter, the Eurasian magpie Pica pica, across the urban-rural gradient. J.Vertebr. Biol. 2020, 70, jvb.20083. [Google Scholar] [CrossRef]
- Jermaczek, A.; Czwałga, T.; Jermaczek, D.; Nowak, A.; Stańko, R.; Schneider, G.; Żegliński, G. Ptaki lęgowe miasta Gorzowa w roku 1989. Lubuski Przegl. Przyr. 1992, 3, 41–69. (In Polish) [Google Scholar]
- Biaduń, W. Synurbijne populacje Corvidae w Lublinie. In Corvids of Poland; Jerzak, L., Kavanagh, B.P., Tryjanowski, P., Eds.; Bogucki Wyd. Nauk.: Poznań, Poland, 2005; pp. 463–472. (In Polish) [Google Scholar]
- Bocheński, M.; Jerzak, L.; Czechowski, P. Liczebność i zagęszczenie sroki Pica pica w Zielonej Górze w 2001 r. In Bioróżnorodność i Ekologia Populacji Zwierzęcych w Środowiskach Zurbanizowanych; Indykiewicz, P., Barczak, T., Kaczorowski, G., Eds.; Wyd. NICE: Bydgoszcz, Poland, 2001; pp. 254–259. (In Polish) [Google Scholar]
- Luniak, M. Synurbization—Adaption of animal wildlife to urban development. In Proceedings of the 4th International Symposium on Urban Wildlife Conservation, 1–5 May 1999, Tucson, AZ, USA; Shaw, W.S., Harris, L.K., VanDruff, L., Eds.; University of Arizona: Tucson, AZ, USA, 2004; pp. 50–55. [Google Scholar]
- Meissner, W.; Duś, U. Liczebność i rozmieszczenie gniazd sroki Pica pica w wybranych dzielnicach Gdańska. In Corvids of Poland; Jerzak, L., Kavanagh, B.P., Tryjanowski, P., Eds.; Bogucki Wyd. Nauk.: Poznań, Poland, 2005; pp. 517–522. (In Polish) [Google Scholar]
- Witt, K. On the abundance of magpie Pica pica during the breeding and wintering seasons in Berlin. Acta Ornith. 1997, 32, 121–127. [Google Scholar]
- Lockwood, J.L.; McKinney, M.L. Biotic Homogenization; Kluwer Academic/Plenum: New York, NY, USA, 2001. [Google Scholar]
- Geslin, B.; Gauzens, B.; Thébault, E.; Dajoz, I. Plant Pollinator Networks along a Gradient of Urbanisation. PLoS ONE 2013, 8, e63421. [Google Scholar] [CrossRef] [PubMed]
- Pakuła, B.; Sala, M.; Gwiazda, E.; Flak, J.; Froelich, S.; Matuszkiewicz, J.; Plonkowska, M. Liczebność i zagęszczenie oraz lokalizacja gniazd sroki Pica pica w Kołobrzegu, Lęborku i Słupsku w latach 2000–2004. In Corvids of Poland; Jerzak, L., Kavanagh, B.P., Tryjanowski, P., Eds.; Bogucki Wyd. Nauk.: Poznań, Poland, 2005; pp. 523–530. (In Polish) [Google Scholar]
- Doo Pyo, L.; Tae Hoe, K. A comparative study of the breeding density of magpie Pica pica sericea Gould, between urban and rural areas. Bull. Inst. Ornithol. Kyung Hee Univ. 1986, 1, 39–51. [Google Scholar]
- Birkhead, T. The Magpies; T&AD Poyser: London, UK, 1991. [Google Scholar]
- Jerzak, L. Magpie Pica pica nest sites in urban habitats in Poland. Acta Ornith. 1997, 32, 69–76. [Google Scholar]
- Czechowski, P.; Bocheński, M.; Zduniak, P. Zmiany lokalizacji gniazd sroki Pica pica w krajobrazie rolniczym zachodniej Polski. In Ornitologia w Skali Lokalnej i Globalnej; Grzywaczewski, G., Wiącek, J., Nieoczym, M., Polak, M., Eds.; Liber Duo: Lublin, Poland, 2017; pp. 13–14. (In Polish) [Google Scholar]
- Antonov, A.; Atanasova, D. Nest-Site Selection in the Magpie Pica pica in a High-Density Urban Population of Sofia (Bulgaria). Acta Ornith. 2002, 37, 55–66. [Google Scholar] [CrossRef]
- Jerzak, L. Synurbizacja Sroki (Pica pica) w Eurazj; Redakcja Wydawnictw Naukowo-Technicznych: Zielona Góra, Poland, 2002; p. 114. (In Polish) [Google Scholar]
- Mérő, T.O.; Žuljević, A.; Varga, K. Nest-site characteristics and breeding density of Magpie Pica pica in Sombor (NW Serbia). Acrocephalus 2010, 31, 93–99. [Google Scholar] [CrossRef][Green Version]



| Variables | Estimate | Robust SE | Pr(>|z|) | LL | UL |
|---|---|---|---|---|---|
| (Intercept) | 0.48955 | 0.220202 | 0.0262 | 0.057955 | 0.921146 |
| Distance to the border | 0.000405 | <0.001 | <0.001 | 0.00026 | 0.000549 |
| Tree height | 0.049789 | 0.022938 | 0.0300 | 0.004831 | 0.094747 |
| (Intercept) | −0.35433 | 0.197455 | 0.07273 | −0.74134 | 0.03268 |
| Distance.border.m. | <0.001 | <0.001 | 0.44917 | <0.001 | 0.000189 |
| Tree.height.mean. | 0.872784 | 0.018679 | <0.001 | 0.836173 | 0.909395 |
Publisher’s Note: MDPI stays neutral with regard to jurisdictional claims in published maps and institutional affiliations. |
© 2021 by the authors. Licensee MDPI, Basel, Switzerland. This article is an open access article distributed under the terms and conditions of the Creative Commons Attribution (CC BY) license (https://creativecommons.org/licenses/by/4.0/).
Share and Cite
Ciebiera, O.; Czechowski, P.; Morelli, F.; Piekarski, R.; Bocheński, M.; Chachulska-Serweta, J.; Jerzak, L. Selection of Urbanized Areas by Magpie Pica pica in a Medium Size City in Poland. Animals 2021, 11, 1738. https://doi.org/10.3390/ani11061738
Ciebiera O, Czechowski P, Morelli F, Piekarski R, Bocheński M, Chachulska-Serweta J, Jerzak L. Selection of Urbanized Areas by Magpie Pica pica in a Medium Size City in Poland. Animals. 2021; 11(6):1738. https://doi.org/10.3390/ani11061738
Chicago/Turabian StyleCiebiera, Olaf, Paweł Czechowski, Federico Morelli, Robert Piekarski, Marcin Bocheński, Justyna Chachulska-Serweta, and Leszek Jerzak. 2021. "Selection of Urbanized Areas by Magpie Pica pica in a Medium Size City in Poland" Animals 11, no. 6: 1738. https://doi.org/10.3390/ani11061738
APA StyleCiebiera, O., Czechowski, P., Morelli, F., Piekarski, R., Bocheński, M., Chachulska-Serweta, J., & Jerzak, L. (2021). Selection of Urbanized Areas by Magpie Pica pica in a Medium Size City in Poland. Animals, 11(6), 1738. https://doi.org/10.3390/ani11061738

