The Impact of Age at First Lambing on Milk Yield and Lactation Length in a Population of Istrian Sheep under Semi-Intensive Management
Abstract
Simple Summary
Abstract
1. Introduction
2. Materials and Methods
2.1. Animals
2.2. Data
2.3. Statistical Analysis
3. Results
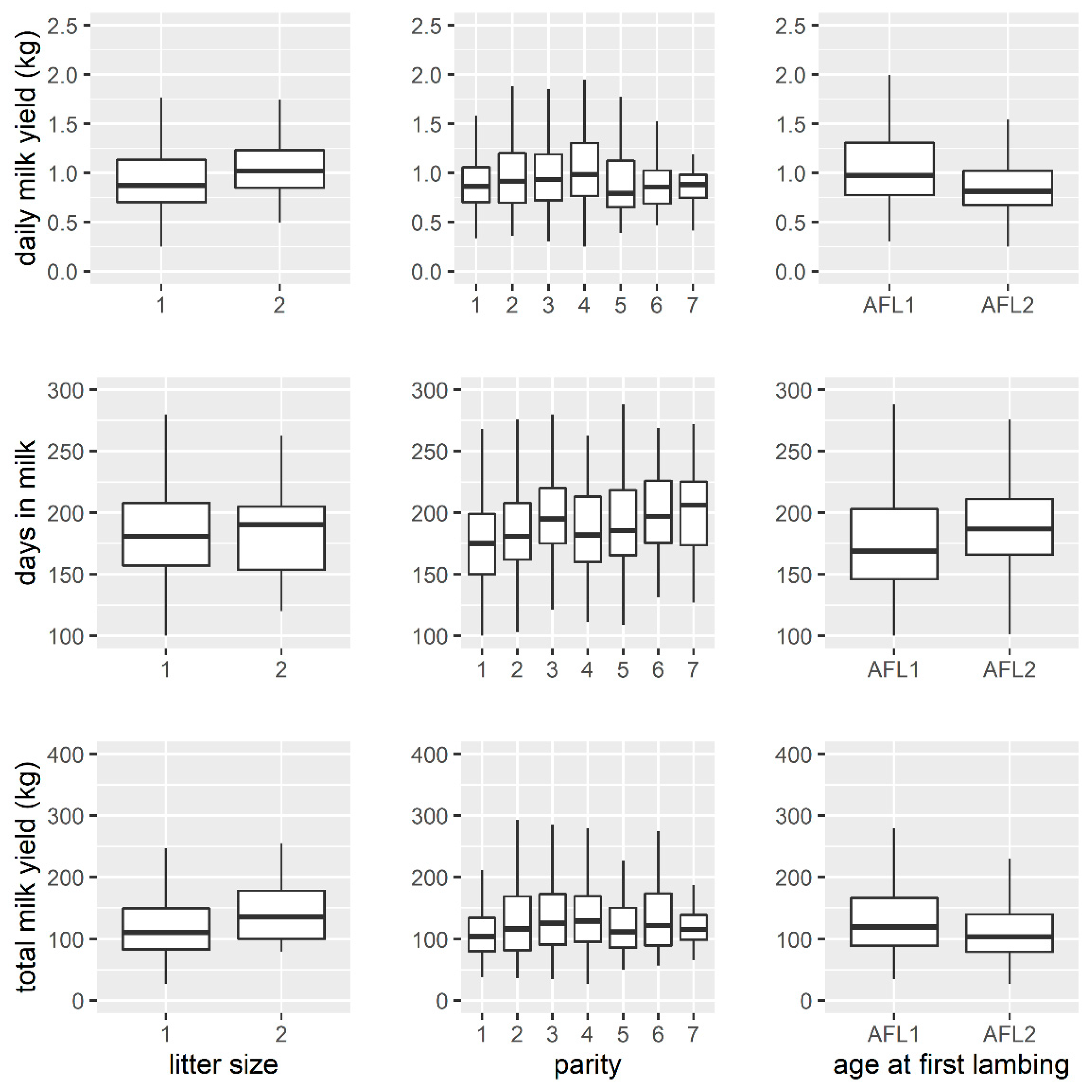
3.1. Descriptive Statistics
3.2. Inferential Statistics
3.3. Age at First Lambing
3.4. Litter Size
3.5. Parity
4. Discussion
5. Conclusions
Author Contributions
Funding
Institutional Review Board Statement
Data Availability Statement
Acknowledgments
Conflicts of Interest
References
- De Rancourt, M.; Fois, N.; Lavìn, M.P.; Tchakérian, E.; Vallerand, F. Mediterranean sheep and goats production: An uncertain future. Small Rum. Res. 2006, 62, 167–179. [Google Scholar] [CrossRef]
 - Macciotta, N.P.P.; Mele, M.; Cappio-Borlino, A.; Secchiari, P.L. Issues and perspectives in dairy sheep breeding. Ital. J. Anim. Sci. 2005, 4, 5–23. [Google Scholar] [CrossRef][Green Version]
 - Pulina, G.; Milán, M.J.; Lavín, M.P.; Theodoridis, A.; Morin, E.W.; Capote, J.; Thomas, D.L.; Francesconi, A.D.H.; Caja, G. Invited review: Current production trends, farm structures, and economics of the dairy sheep and goat sectors. J. Dairy Sci. 2018, 101, 6715–6729. [Google Scholar] [CrossRef] [PubMed]
 - Putinja, F. Ovčarstvo. In Istarska Enciklopedia, 1st ed.; Bertoša, M., Matijašić, R., Eds.; Leksikografski zavod Miroslav Krleža: Zagreb, Croatia, 2005; p. 559. [Google Scholar]
 - Dzidic, A.; Kaps, M.; Bruckmaier, R.M. Machine milking of Istrian dairy crossbreed ewes: Udder morphology and milking characteristics. Small Rum. Res. 2004, 55, 183–189. [Google Scholar] [CrossRef]
 - CAAF (Croatian Agency for Agriculture and Food). Annual Report for Year 2019; Croatian Agency for Agriculture and Food: Osijek, Croatia, 2020. [Google Scholar]
 - CAA (Croatian Agricultural Agency). Annual Report for Year 2016; Croatian Agricultural Agency: Zagreb, Croatia, 2017. [Google Scholar]
 - Špehar, M.; Mulc, D.; Barać, Z.; Mioč, B.; Kasap, A. Estimation of genetic parameters for dairy traits in Pag sheep with single and multi—Trait test—Day models. Small Rum. Res. 2020, 183. [Google Scholar] [CrossRef]
 - Avdi, M.; Banos, G.; Kouttos, A.; Bodin, L.; Chemineau, P. Sources of variation and genetic profile of spontaneous, out-of-season ovulatory activity in the Chios sheep. Genet. Sel. Evol. 2003, 35, 65–76. [Google Scholar] [CrossRef]
 - Finocchiaro, R.; van Kaam, J.B.; Portolano, B.; Misztal, I. Effect of heat stress on production of Mediterranean dairy sheep. J. Dairy Sci. 2005, 88, 1855–1864. [Google Scholar] [CrossRef]
 - Donaldson, L.E. The pattern of pregnancies and lifetime productivity of cows in a northern Queensland beef cattle herd. Aust. Vet. J. 1968, 44, 493–495. [Google Scholar] [CrossRef] [PubMed]
 - Pinney, D.O.; Stephens, D.F.; Pope, L.S. Lifetime effects of winter supplemental feed level and age at first parturition on range beef cows. J. Anim. Sci. 1972, 34, 1067–1074. [Google Scholar] [CrossRef]
 - Chapman, H.D.; Young, J.M.; Morrison, E.G.; Edwards, N.C., Jr. Differences in lifetime productivity of Herefords calving first at 2 and 3 years of age. J. Anim. Sci. 1978, 46, 1159–1162. [Google Scholar] [CrossRef]
 - Ettema, J.F.; Santos, J.E. Impact of age at first calving on lactation, reproduction, health and income in first-parity Holsteins on commercial farms. J. Dairy Res. 2004, 87, 2730–2742. [Google Scholar] [CrossRef]
 - Hare, E.; Norman, H.D.; Wright, J.R. Trends in calving ages and calving intervals for dairy cattle breeds in the United States. J. Dairy Sci. 2006, 85, 365–370. [Google Scholar] [CrossRef]
 - Haworth, G.M.; Tranter, W.P.; Chuck, J.N.; Cheng, Z.; Wathes, D.C. Relationships between age at first calving and first lactation milk yield, and lifetime productivity and longevity in dairy cows. Vet. Rec. 2008, 162, 643–647. [Google Scholar] [CrossRef]
 - Van Dam, B.P.; Bartlett, P.C.; Kirk, J.H.; Mather, E.C. The effect of age at calving on reproduction, milk production and disease incidence in the first lactation of dairy heifers. Theriogenology 1988, 30, 583–591. [Google Scholar] [CrossRef]
 - Simerl, N.A.; Wilcox, C.J.; Thatcher, W.W.; Martin, F.G. Prepartum and peripartum reproductive performance of dairy heifers freshening at young ages. J. Dairy Sci. 1991, 74, 1724–1729. [Google Scholar] [CrossRef]
 - Moore, R.K.; Kennedy, B.W.; Schaeffer, L.R.; Moxley, J.E. Relationships between age and body weight at calving and production in first lactation Ayrshires and Holsteins. J. Dairy Sci. 1991, 74, 269–278. [Google Scholar] [CrossRef]
 - Gootwine, E.; Pollott, G.E. Factors affecting milk production in improved Awassi dairy ewes. Anim. Sci. 2000, 71, 607–615. [Google Scholar] [CrossRef]
 - Pollott, G.E.; Gootwine, E. Reproductive performance and milk production of Assaf sheep in an intensive management system. J. Dairy Sci. 2004, 87, 3690–3703. [Google Scholar] [CrossRef]
 - Hernandez, F.; Elvira, L.; Gonzalez-Martin, J.V.; Gonzalez-Bulnes, A.; Astiz, S. Influence of age at first lambing on reproductive and productive performance of Lacaune dairy sheep under an intensive management system. J. Dairy Sci. 2011, 78, 160–167. [Google Scholar] [CrossRef]
 - ICAR (International Committee for Animal Recording). Section 16. Guidelines for Performance Recording in Dairy Sheep and Dairy Goats. Changes Approved by the ICAR General Assembly in Auckland, New Zealand. 2018. Available online: https://www.icar.org/Guidelines/16-Dairy-Sheep-and-Goats.pdf (accessed on 8 March 2021).
 - Ruiz, R.; Oregui, L.M.; Herrero, M. Comparison of models for describing the lactation curve of Latxa sheep and an analysis of factors affecting milk yield. J. Dairy Sci. 2000, 83, 2709–2719. [Google Scholar] [CrossRef]
 - Gelman, A.; Hill, J. Data Analysis Using Regression and Multilevel/Hierarchical Models; Cambridge University Press: Cambridge, UK, 2006. [Google Scholar]
 - Kasap, A.; Špehar, M.; Držaić, V.; Mulc, D.; Barać, Z.; Antunović, Z.; Mioč, B. Impact of parity and litter size on dairy traits in Istrian ewes. J. Cent. Eur. Agric. 2019, 20, 556–562. [Google Scholar] [CrossRef]
 - Team, R.C. R: A Language and Environment for Statistical Computing; R Foundation for Statistical Computing: Vienna, Austria, 2020; Available online: https://www.R-project.org/ (accessed on 1 April 2021).
 - Wickham, H. Ggplot2: Elegant Graphics for Data Analysis; Springer: New York, NY, USA, 2016; Available online: https://ggplot2.tidyverse.org (accessed on 1 April 2021).
 - Bates, D.; Maechler, M.; Bolker, B.; Walker, S. Fitting linear mixed-effects models using lme4. J. Stat. Softw. 2015, 67, 1–48. [Google Scholar] [CrossRef]
 - Bates, D. Fitting linear models in R using the lme4 package. R News. 2005, 5, 27–30. [Google Scholar]
 - Russell, L. Emmeans: Estimated Marginal Means, aka Least-Squares Means. R Package Version 1.5.1. 2020. Available online: https://CRAN.R-project.org/package=emmeans (accessed on 1 April 2021).
 - Barillet, F.; Boichard, D.; Barbat, A.; Astruc, J.M.; Bonaiti, B. Use of an animal model for genetic evaluation of the Lacaune dairy sheep. Livest. Prod. Sci. 1992, 31, 287–299. [Google Scholar] [CrossRef]
 - Gabiña, D.; Arrese, F.; Arranz, J.; Beltran de Heredia, I. Average milk yields and environmental effects on Latxa sheep. J. Dairy Sci. 1993, 76, 1191–1198. [Google Scholar] [CrossRef]
 



| DMY (kg) | TMY (kg) | DIM (Days) | ||||||||
|---|---|---|---|---|---|---|---|---|---|---|
| n | LSM | SE | Sign. | LSM | SE | Sign. | LSM | SE | Sign. | |
| AFL | ||||||||||
| AFL1 | 2573 | 1.10 | 0.02 | NS | 144.44 | 4.89 | NS | 185.90 | 2.14 | *** | 
| AFL2 | 2152 | 1.04 | 0.02 | 142.92 | 4.95 | 199.26 | 2.20 | |||
| Litter size | ||||||||||
| 1 | 4443 | 1.05 | 0.01 | NS | 138.57 | 4.67 | *** | 193.02 | 1.91 | NS | 
| 2+ | 282 | 1.09 | 0.02 | 148.79 | 5.40 | 192.15 | 2.71 | |||
| Parity | ||||||||||
| 1 | 1715 | 1.08 | 0.02 | *** | 144.46 | 4.83 | *** | 171.50 | 2.13 | *** | 
| 2 | 1034 | 1.13 | 0.02 | 154.34 | 4.91 | 183.39 | 2.21 | |||
| 3 | 770 | 1.13 | 0.02 | 154.11 | 4.98 | 191.41 | 2.29 | |||
| 4 | 545 | 1.10 | 0.02 | 151.05 | 5.10 | 193.90 | 2.42 | |||
| 5 | 310 | 1.04 | 0.02 | 138.41 | 5.41 | 197.36 | 2.74 | |||
| 6 | 193 | 1.00 | 0.03 | 130.41 | 5.79 | 205.22 | 3.11 | |||
| 7+ | 158 | 1.00 | 0.03 | 132.97 | 6.08 | 205.30 | 3.35 | |||
| Parity | AFL | Litter Size | DMY | TMY | DIM | |||
|---|---|---|---|---|---|---|---|---|
| LSM | SE | LSM | SE | LSM | SE | |||
| 1 | AFL1 | 1 | 1.07 | 0.04 | 140.11 | 4.76 | 165.25 | 2.00 | 
| 2 | AFL1 | 1 | 1.13 | 0.04 | 149.99 | 4.85 | 177.14 | 2.12 | 
| 3 | AFL1 | 1 | 1.13 | 0.04 | 149.76 | 4.91 | 185.17 | 2.19 | 
| 4 | AFL1 | 1 | 1.11 | 0.04 | 146.70 | 5.03 | 187.66 | 2.32 | 
| 5 | AFL1 | 1 | 1.03 | 0.04 | 134.06 | 5.31 | 191.12 | 2.63 | 
| 6 | AFL1 | 1 | 0.98 | 0.04 | 126.06 | 5.69 | 198.97 | 3.01 | 
| 7 | AFL1 | 1 | 0.98 | 0.04 | 128.62 | 5.97 | 199.05 | 3.25 | 
| 1 | AFL2 | 1 | 1.05 | 0.03 | 138.59 | 4.73 | 178.61 | 1.98 | 
| 2 | AFL2 | 1 | 1.12 | 0.04 | 148.47 | 4.84 | 190.50 | 2.11 | 
| 3 | AFL2 | 1 | 1.11 | 0.04 | 148.24 | 4.95 | 198.52 | 2.22 | 
| 4 | AFL2 | 1 | 1.09 | 0.04 | 145.18 | 5.09 | 201.01 | 2.38 | 
| 5 | AFL2 | 1 | 1.02 | 0.04 | 132.54 | 5.40 | 204.48 | 2.71 | 
| 6 | AFL2 | 1 | 0.96 | 0.04 | 124.54 | 5.80 | 212.33 | 3.09 | 
| 7 | AFL2 | 1 | 0.96 | 0.04 | 127.10 | 6.08 | 212.41 | 3.34 | 
| 1 | AFL1 | 2 | 1.10 | 0.04 | 150.33 | 5.53 | 164.39 | 2.83 | 
| 2 | AFL1 | 2 | 1.16 | 0.04 | 160.21 | 5.56 | 176.28 | 2.87 | 
| 3 | AFL1 | 2 | 1.16 | 0.04 | 159.98 | 5.59 | 184.30 | 2.91 | 
| 4 | AFL1 | 2 | 1.14 | 0.04 | 156.92 | 5.68 | 186.79 | 2.99 | 
| 5 | AFL1 | 2 | 1.06 | 0.04 | 144.28 | 5.96 | 190.25 | 3.25 | 
| 6 | AFL1 | 2 | 1.01 | 0.05 | 136.28 | 6.30 | 198.11 | 3.56 | 
| 7 | AFL1 | 2 | 1.01 | 0.05 | 138.84 | 6.57 | 198.19 | 3.77 | 
| 1 | AFL2 | 2 | 1.08 | 0.04 | 148.80 | 5.50 | 177.74 | 2.82 | 
| 2 | AFL2 | 2 | 1.15 | 0.04 | 158.69 | 5.55 | 189.63 | 2.86 | 
| 3 | AFL2 | 2 | 1.15 | 0.04 | 158.46 | 5.63 | 197.66 | 2.93 | 
| 4 | AFL2 | 2 | 1.12 | 0.04 | 155.40 | 5.74 | 200.15 | 3.03 | 
| 5 | AFL2 | 2 | 1.05 | 0.04 | 142.76 | 6.04 | 203.61 | 3.31 | 
| 6 | AFL2 | 2 | 0.99 | 0.05 | 134.76 | 6.40 | 211.46 | 3.63 | 
| 7 | AFL2 | 2 | 0.99 | 0.05 | 137.32 | 6.67 | 211.54 | 3.85 | 
Publisher’s Note: MDPI stays neutral with regard to jurisdictional claims in published maps and institutional affiliations.  | 
© 2021 by the authors. Licensee MDPI, Basel, Switzerland. This article is an open access article distributed under the terms and conditions of the Creative Commons Attribution (CC BY) license (https://creativecommons.org/licenses/by/4.0/).
Share and Cite
Kasap, A.; Ramljak, J.; Mioč, B.; Držaić, V.; Širić, I.; Jurković, D.; Špehar, M. The Impact of Age at First Lambing on Milk Yield and Lactation Length in a Population of Istrian Sheep under Semi-Intensive Management. Animals 2021, 11, 1604. https://doi.org/10.3390/ani11061604
Kasap A, Ramljak J, Mioč B, Držaić V, Širić I, Jurković D, Špehar M. The Impact of Age at First Lambing on Milk Yield and Lactation Length in a Population of Istrian Sheep under Semi-Intensive Management. Animals. 2021; 11(6):1604. https://doi.org/10.3390/ani11061604
Chicago/Turabian StyleKasap, Ante, Jelena Ramljak, Boro Mioč, Valentino Držaić, Ivan Širić, Darko Jurković, and Marija Špehar. 2021. "The Impact of Age at First Lambing on Milk Yield and Lactation Length in a Population of Istrian Sheep under Semi-Intensive Management" Animals 11, no. 6: 1604. https://doi.org/10.3390/ani11061604
APA StyleKasap, A., Ramljak, J., Mioč, B., Držaić, V., Širić, I., Jurković, D., & Špehar, M. (2021). The Impact of Age at First Lambing on Milk Yield and Lactation Length in a Population of Istrian Sheep under Semi-Intensive Management. Animals, 11(6), 1604. https://doi.org/10.3390/ani11061604
        
                                                
