Role of Fucoidan on the Growth Behavior and Blood Metabolites and Toxic Effects of Atrazine in Nile Tilapia Oreochromis niloticus (Linnaeus, 1758)
Abstract
Simple Summary
Abstract
1. Introduction
2. Materials and Methods
2.1. Fish and Feed
2.2. Experimental Design
2.3. Final Sampling
2.4. Blood Analysis
2.5. Histomorphology
2.6. Statistical Analysis
3. Results
3.1. Growth Performance
3.2. Intestinal Health
3.3. Hematology
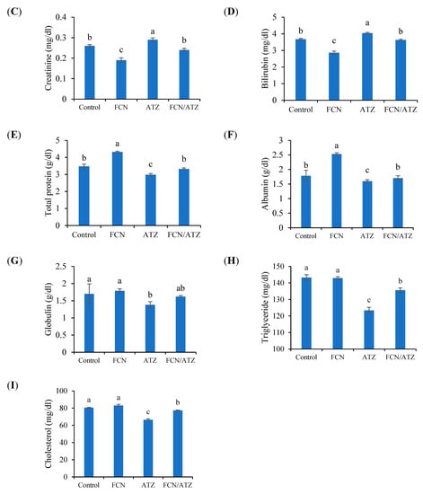
3.4. Blood Biochemistry
3.5. Antioxidative Status
4. Discussion
5. Conclusions
Supplementary Materials
Author Contributions
Funding
Institutional Review Board Statement
Acknowledgments
Conflicts of Interest
References
- Flores-Kossack, C.; Montero, R.; Köllner, B.; Maisey, K. Chilean aquaculture and the new challenges: Pathogens, immune response, vaccination and fish diversification. Fish Shellfish Immunol. 2020, 98, 52–67. [Google Scholar] [CrossRef] [PubMed]
- De Anna, J.S.; Castro, J.M.; Darraz, L.A.; Elías, F.D.; Cárcamo, J.G.; Luquet, C.M. Exposure to hydrocarbons and chlorpyrifos alters the expression of nuclear receptors and antioxidant, detoxifying, and immune response proteins in the liver of the rainbow trout, Oncorhynchus mykiss. Ecotoxicol. Environ. Saf. 2021, 208, 111394. [Google Scholar] [CrossRef] [PubMed]
- Banaee, M.; Akhlaghi, M.; Soltanian, S.; Gholamhosseini, A.; Heidarieh, H.; Fereidouni, M.S. Acute exposure to chlorpyrifos and glyphosate induces changes in hemolymph biochemical parameters in the crayfish, Astacus leptodactylus (eschscholtz, 1823). Comp. Biochem. Physiol. Part C Toxicol. Pharmacol. 2019, 222, 145–155. [Google Scholar] [CrossRef]
- Gewaily, M.S.; Shukry, M.; Abdel-Kader, M.F.; Alkafafy, M.; Farrag, F.A.; Moustafa, E.M.; Doan, H.V.; Abd-Elghany, M.F.; Abdelhamid, A.F.; Eltanahy, A.; et al. Dietary Lactobacillus plantarum relieves Nile tilapia (Oreochromis niloticus) juvenile from oxidative stress, immunosuppression, and inflammation induced by deltamethrin and Aeromonas hydrophila. Front. Mar. Sci. 2021, 8, 203. [Google Scholar]
- Neamat-Allah, A.N.F.; Abd El Hakim, Y.; Mahmoud, E.A. Alleviating effects of β-glucan in Oreochromis niloticus on growth performance, immune reactions, antioxidant, transcriptomics disorders and resistance to Aeromonas sobria caused by atrazine. Aquac. Res. 2020, 51, 1801–1812. [Google Scholar] [CrossRef]
- Dawood, M.A.; Abdel-Razik, N.I.; Gewaily, M.S.; Sewilam, H.; Paray, B.A.; Soliman, A.A.; Abdelhiee, E.Y.; Aboubakr, M.; Van Doan, H.; El-Sabagh, M. Β-glucan improved the immunity, hepato-renal, and histopathology disorders induced by chlorpyrifos in Nile tilapia. Aquac. Rep. 2020, 18, 100549. [Google Scholar] [CrossRef]
- Food and Agriculture Organization of the United Nations. Aquaculture Department, the State of World Fisheries and Aquaculture; FAO: Quebec City, QC, Canada, 2018; p. 2430. [Google Scholar]
- Peebua, P.; Kosiyachinda, P.; Pokethitiyook, P.; Kruatrachue, M. Evaluation of alachlor herbicide impacts on Nile tilapia (Oreochromis niloticus) using biochemical biomarkers. Bull. Environ. Contam. Toxicol. 2007, 78, 138–141. [Google Scholar] [CrossRef]
- Ayoola, S. Toxicity of herbicide, glyphosate on Nile tilapia (Oreochromis niloticus) juvenile. Afr. J. Agric. Res. 2008, 3, 825–834. [Google Scholar]
- Basopo, N.; Muzvidziwa, A. Assessment of the effects of atrazine, dichlorodiphenyltrichloroethane, and dimethoate on freshwater fish (Oreochromis mossambicus): A case study of the a2 farmlands in chiredzi, in the southeastern part of zimbabwe. Environ. Sci. Pollut. Res. 2020, 27, 579–586. [Google Scholar] [CrossRef]
- De Albuquerque, F.P.; de Oliveira, J.L.; Moschini-Carlos, V.; Fraceto, L.F. An overview of the potential impacts of atrazine in aquatic environments: Perspectives for tailored solutions based on nanotechnology. Sci. Total Environ. 2020, 700, 134868. [Google Scholar] [CrossRef] [PubMed]
- Paulino, M.G.; Souza, N.E.S.; Fernandes, M.N. Subchronic exposure to atrazine induces biochemical and histopathological changes in the gills of a neotropical freshwater fish, Prochilodus lineatus. Ecotoxicol. Environ. Saf. 2012, 80, 6–13. [Google Scholar] [CrossRef] [PubMed]
- Abdulelah, S.A.; Crile, K.G.; Almouseli, A.; Awali, S.; Tutwiler, A.Y.; Tien, E.A.; Manzo, V.J.; Hadeed, M.N.; Belanger, R.M. Environmentally relevant atrazine exposures cause DNA damage in cells of the lateral antennules of crayfish (Faxonius virilis). Chemosphere 2020, 239, 124786. [Google Scholar] [CrossRef]
- Destro, A.L.F.; Silva, S.B.; Gregório, K.P.; de Oliveira, J.M.; Lozi, A.A.; Zuanon, J.A.S.; Salaro, A.L.; da Matta, S.L.P.; Gonçalves, R.V.; Freitas, M.B. Effects of subchronic exposure to environmentally relevant concentrations of the herbicide atrazine in the neotropical fish Astyanax altiparanae. Ecotoxicol. Environ. Saf. 2021, 208, 111601. [Google Scholar] [CrossRef] [PubMed]
- Toughan, H.; Khalil, S.R.; El-Ghoneimy, A.A.; Awad, A.; Seddek, A.S. Effect of dietary supplementation with Spirulina platensis on atrazine-induced oxidative stress- mediated hepatic damage and inflammation in the common carp (Cyprinus carpio L.). Ecotoxicol. Environ. Saf. 2018, 149, 135–142. [Google Scholar] [CrossRef] [PubMed]
- Delcorso, M.C.; de Paiva, P.P.; Grigoleto, M.R.P.; Queiroz, S.C.N.; Collares-Buzato, C.B.; Arana, S. Effects of sublethal and realistic concentrations of the commercial herbicide atrazine in pacu (Piaractus mesopotamicus): Long-term exposure and recovery assays. Vet. World 2020, 13, 147–159. [Google Scholar] [CrossRef] [PubMed]
- Dionne, E.; Hanson, M.L.; Anderson, J.C.; Brain, R.A. Chronic toxicity of technical atrazine to the fathead minnow (Pimephales promelas) during a full life-cycle exposure and an evaluation of the consistency of responses. Sci. Total Environ. 2021, 755, 142589. [Google Scholar] [CrossRef] [PubMed]
- Zhu, F. A review on the application of herbal medicines in the disease control of aquatic animals. Aquaculture 2020, 526, 735422. [Google Scholar] [CrossRef]
- Acar, Ü.; Parrino, V.; Kesbiç, O.S.; Lo Paro, G.; Saoca, C.; Abbate, F.; Yılmaz, S.; Fazio, F. Effects of different levels of pomegranate seed oil on some blood parameters and disease resistance against Yersinia ruckeri in rainbow trout. Front. Physiol. 2018, 9, 596. [Google Scholar] [CrossRef] [PubMed]
- Dawood, M.A.; Koshio, S.; Esteban, M.Á. Beneficial roles of feed additives as immunostimulants in aquaculture: A review. Rev. Aquac. 2018, 10, 950–974. [Google Scholar] [CrossRef]
- Fazio, F.; Iaria, C.; Saoca, C.; Costa, A.; Piccione, G.; Spanò, N. Effect of dietary vitamin c supplementation on the blood parameters of striped bass Morone saxatilis (walbaum, 1752). Turk. J. Fish. Aquat. Sci. 2019, 20, 491–497. [Google Scholar] [CrossRef]
- Liu, W.-C.; Zhou, S.-H.; Balasubramanian, B.; Zeng, F.-Y.; Sun, C.-B.; Pang, H.-Y. Dietary seaweed (enteromorpha) polysaccharides improves growth performance involved in regulation of immune responses, intestinal morphology and microbial community in banana shrimp Fenneropenaeus merguiensis. Fish Shellfish Immunol. 2020, 104, 202–212. [Google Scholar] [CrossRef] [PubMed]
- Ikeda-Ohtsubo, W.; López Nadal, A.; Zaccaria, E.; Iha, M.; Kitazawa, H.; Kleerebezem, M.; Brugman, S. Intestinal microbiota and immune modulation in zebrafish by fucoidan from Okinawa mozuku (Cladosiphon okamuranus). Front. Nutr. 2020, 7, 67. [Google Scholar] [CrossRef] [PubMed]
- Saeed, M.; Arain, M.A.; Ali Fazlani, S.; Marghazani, I.B.; Umar, M.; Soomro, J.; Bhutto, Z.A.; Soomro, F.; Noreldin, A.E.; Abd El-Hack, M.E.; et al. A comprehensive review on the health benefits and nutritional significance of fucoidan polysaccharide derived from brown seaweeds in human, animals and aquatic organisms. Aquac. Nutr. 2021. [Google Scholar] [CrossRef]
- Mahgoub, H.A.; El-Adl, M.A.M.; Ghanem, H.M.; Martyniuk, C.J. The effect of fucoidan or potassium permanganate on growth performance, intestinal pathology, and antioxidant status in Nile tilapia (Oreochromis niloticus). Fish Physiol. Biochem. 2020, 46, 2109–2131. [Google Scholar] [CrossRef] [PubMed]
- Mir, I.N.; Sahu, N.P.; Pal, A.K.; Makesh, M. Synergistic effect of l-methionine and fucoidan rich extract in eliciting growth and non-specific immune response of labeo rohita fingerlings against Aeromonas hydrophila. Aquaculture 2017, 479, 396–403. [Google Scholar] [CrossRef]
- Li, B.; Lu, F.; Wei, X.; Zhao, R. Fucoidan: Structure and bioactivity. Molecules 2008, 13, 1671–1695. [Google Scholar] [CrossRef] [PubMed]
- Lee, S.-H.; Ko, C.-I.; Jee, Y.; Jeong, Y.; Kim, M.; Kim, J.-S.; Jeon, Y.-J. Anti-inflammatory effect of fucoidan extracted from Ecklonia cava in zebrafish model. Carbohydr. Polym. 2013, 92, 84–89. [Google Scholar] [CrossRef]
- El-Boshy, M.; El-Ashram, A.; Risha, E.; Abdelhamid, F.; Zahran, E.; Gab-Alla, A. Dietary fucoidan enhance the non-specific immune response and disease resistance in African catfish, Clarias gariepinus, immunosuppressed by cadmium chloride. Vet. Immunol. Immunopathol. 2014, 162, 168–173. [Google Scholar] [CrossRef]
- Houston, A. Blood and Circulation/Methods for Fish Biology; New York Chapter of the American Fisheries Society: New York, NY, USA, 1990. [Google Scholar]
- Blaxhall, P.C.; Daisley, K.W. Routine haematological methods for use with fish blood. J. Fish Biol. 1973, 5, 771–781. [Google Scholar] [CrossRef]
- Doumas, B.T.; Bayse, D.D.; Carter, R.J.; Peters, T.; Schaffer, R. A candidate reference method for determination of total protein in serum. I. Development and validation. Clin. Chem. 1981, 27, 1642–1650. [Google Scholar] [CrossRef]
- Dumas, B.T.; Biggs, H.G. Standard Methods of Clinical Chemistry; Academic Press: New York, NY, USA, 1972. [Google Scholar]
- Trinder, P. Determination of glucose in blood using glucose oxidase with an alternative oxygen acceptor. Ann. Clin. Biochem. 1969, 6, 24–27. [Google Scholar] [CrossRef]
- Gewaily, M.S.; Abumandour, M.M. Gross morphological, histological and scanning electron specifications of the oropharyngeal cavity of the hooded crow (corvus cornix pallescens). Anat. Histol. Embryol. 2020, 52, 72–83. [Google Scholar]
- Dawood, M.A.O. Nutritional immunity of fish intestines: Important insights for sustainable aquaculture. Rev. Aquac. 2021, 13, 642–663. [Google Scholar] [CrossRef]
- An, B.N.T.; Anh, N.T.N. Co-culture of Nile tilapia (Oreochromis niloticus) and red seaweed (Gracilaria tenuistipitata) under different feeding rates: Effects on water quality, fish growth and feed efficiency. J. Appl. Phycol. 2020, 32, 2031–2040. [Google Scholar] [CrossRef]
- Lieke, T.; Meinelt, T.; Hoseinifar, S.H.; Pan, B.; Straus, D.L.; Steinberg, C.E.W. Sustainable aquaculture requires environmental-friendly treatment strategies for fish diseases. Rev. Aquac. 2020, 12, 943–965. [Google Scholar] [CrossRef]
- Lulijwa, R.; Rupia, E.J.; Alfaro, A.C. Antibiotic use in aquaculture, policies and regulation, health and environmental risks: A review of the top 15 major producers. Rev. Aquac. 2020, 12, 640–663. [Google Scholar] [CrossRef]
- Sony, N.M.; Ishikawa, M.; Hossain, M.S.; Koshio, S.; Yokoyama, S. The effect of dietary fucoidan on growth, immune functions, blood characteristics and oxidative stress resistance of juvenile red sea bream, Pagrus major. Fish Physiol. Biochem. 2019, 45, 439–454. [Google Scholar] [CrossRef]
- Cui, H.; Wang, Z.; Liu, J.; Wang, Y.; Wang, Z.; Fu, J.; Wan, Z.; Li, R.; Li, Q.; Helen Fitton, J.; et al. Effects of a highly purified fucoidan from Undaria pinnatifida on growth performance and intestine health status of gibel carp Carassius auratus gibelio. Aquac. Nutr. 2020, 26, 47–59. [Google Scholar] [CrossRef]
- Dawood, M.A.; Koshio, S. Application of fermentation strategy in aquafeed for sustainable aquaculture. Rev. Aquac. 2020, 12, 987–1002. [Google Scholar] [CrossRef]
- Cui, Q.; Qiu, L.; Yang, X.; Shang, S.; Yang, B.; Chen, M.; Liu, X.; Chen, B.; Fu, X.; Wang, W.; et al. Transcriptome profiling of the low-salinity stress responses in the gills of the juvenile Pseudopleuronectes yokohamae. Comp. Biochem. Physiol. Part D Genom. Proteom. 2019, 32, 100612. [Google Scholar] [CrossRef]
- Abdo, S.E.; Gewaily, M.S.; Abo-Al-Ela, H.G.; Almeer, R.; Soliman, A.A.; Elkomy, A.H.; Dawood, M.A.O. Vitamin c rescues inflammation, immunosuppression, and histopathological alterations induced by chlorpyrifos in Nile tilapia. Environ. Sci. Pollut. Res. 2021. [Google Scholar] [CrossRef]
- Akhtar, N.; Fiaz Khan, M.; Tabassum, S.; Zahran, E. Adverse effects of atrazine on blood parameters, biochemical profile and genotoxicity of snow trout (Schizothorax plagiostomus). Saudi J. Biol. Sci. 2021, 28, 1999–2003. [Google Scholar] [CrossRef] [PubMed]
- Ghelichpour, M.; Mirghaed, A.T.; Dawood, M.A.O.; Hoseinifar, S.H.; Van Doan, H. Alteration of haematological and antioxidant parameters in common carp (Cyprinus carpio) fed olive (Olea europea) leaf extract after exposure to danitol®. Aquac. Res. 2020. [Google Scholar] [CrossRef]
- Fazio, F. Fish hematology analysis as an important tool of aquaculture: A review. Aquaculture 2019, 500, 237–242. [Google Scholar] [CrossRef]
- Akhtar, N.; Khan, M.; Tabassum, S. Sub lethal effects of atrazine on hematology, histopathology and biochemistry of chirruh snowtrout (Schizothorax esocinus). J. Anim. Plant Sci. 2019, 29, 1447–1454. [Google Scholar]
- Kovacik, A.; Tvrda, E.; Miskeje, M.; Arvay, J.; Tomka, M.; Zbynovska, K.; Andreji, J.; Hleba, L.; Kovacikova, E.; Fik, M.; et al. Trace metals in the freshwater fish Cyprinus carpio: Effect to serum biochemistry and oxidative status markers. Biol. Trace Elem. Res. 2019, 188, 494–507. [Google Scholar] [CrossRef] [PubMed]
- Öner, M.; Atli, G.; Canli, M. Changes in serum biochemical parameters of freshwater fish Oreochromis niloticus following prolonged metal (ag, cd, cr, cu, zn) exposures. Environ. Toxicol. Chem. 2008, 27, 360–366. [Google Scholar] [CrossRef]
- Hedayatirad, M.; Mirvaghefi, A.; Nematollahi, M.A.; Forsatkar, M.N.; Brown, C. Transgenerational disrupting impacts of atrazine in zebrafish: Beneficial effects of dietary spirulina. Comp. Biochem. Physiol. Part C Toxicol. Pharmacol. 2020, 230, 108685. [Google Scholar] [CrossRef]
- Nassar, A.M.K.; Abdel-Halim, K.Y.; Abbassy, M.A. Mitochondrial biochemical and histopathological defects induced by the herbicide pendimethalin in tilapia fish (Oreochromis niloticus). Comp. Biochem. Physiol. Part C Toxicol. Pharmacol. 2021, 242, 108949. [Google Scholar] [CrossRef]
- Thépot, V.; Campbell, A.H.; Rimmer, M.A.; Paul, N.A. Meta-analysis of the use of seaweeds and their extracts as immunostimulants for fish: A systematic review. Rev. Aquac. 2021, 13, 907–933. [Google Scholar] [CrossRef]
- Abdel-Daim, M.M.; Dawood, M.A.O.; Aleya, L.; Alkahtani, S. Effects of fucoidan on the hematic indicators and antioxidative responses of Nile tilapia (Oreochromis niloticus) fed diets contaminated with aflatoxin b1. Environ. Sci. Pollut. Res. 2020, 27, 12579–12586. [Google Scholar] [CrossRef]
- Schreck, C.B.; Tort, L. 1—the concept of stress in fish. In Fish Physiology; Schreck, C.B., Tort, L., Farrell, A.P., Brauner, C.J., Eds.; Academic Press: Cambridge, MA, USA, 2016; Volume 35, pp. 1–34. [Google Scholar]
- Aluru, N.; Vijayan, M.M. Stress transcriptomics in fish: A role for genomic cortisol signaling. Gen. Comp. Endocrinol. 2009, 164, 142–150. [Google Scholar] [CrossRef]
- Nascimento, C.R.B.; Souza, M.M.; Martinez, C.B.R. Copper and the herbicide atrazine impair the stress response of the freshwater fish prochilodus lineatus. Comp. Biochem. Physiol. Part C Toxicol. Pharmacol. 2012, 155, 456–461. [Google Scholar] [CrossRef]
- Yang, Q.; Yang, R.; Li, M.; Zhou, Q.; Liang, X.; Elmada, Z.C. Effects of dietary fucoidan on the blood constituents, anti-oxidation and innate immunity of juvenile yellow catfish (Pelteobagrus fulvidraco). Fish Shellfish Immunol. 2014, 41, 264–270. [Google Scholar] [CrossRef]
- Narra, M.R.; Rajender, K.; Reddy, R.R.; Murty, U.S.; Begum, G. Insecticides induced stress response and recuperation in fish: Biomarkers in blood and tissues related to oxidative damage. Chemosphere 2017, 168, 350–357. [Google Scholar] [CrossRef]
- Yang, C.; Lim, W.; Song, G. Mediation of oxidative stress toxicity induced by pyrethroid pesticides in fish. Comp. Biochem. Physiol. Part C Toxicol. Pharmacol. 2020, 234, 108758. [Google Scholar] [CrossRef]
- Wang, J.; Zhang, Q.; Zhang, Z.; Li, Z. Antioxidant activity of sulfated polysaccharide fractions extracted from Laminaria japonica. Int. J. Biol. Macromol. 2008, 42, 127–132. [Google Scholar] [CrossRef] [PubMed]







| Control | FCN | ATZ | FCN/ATZ | |
|---|---|---|---|---|
| IBW (g) | 16.38 ± 0.24 | 16.77 ± 0.10 | 16.33 ± 0.09 | 16.31 ± 0.08 |
| FBW (g) | 33.90 ± 0.29 b | 41.90 ± 1.44 a | 27.90 ± 1.47 c | 32.49 ± 0.67 b |
| WG (%) | 106.96 ± 1.97 b | 149.95 ± 8.84 a | 70.74 ± 8.15 c | 99.23 ± 5.05 b |
| SGR (%/day) | 2.42 ± 0.03 b | 3.05 ± 0.12 a | 1.78 ± 0.16 c | 2.30 ± 0.09 b |
| FI (g/fish) | 27.78 ± 0.37 | 30.49 ± 1.22 | 30.11 ± 2.89 | 27.76 ± 1.02 |
| FCR | 1.59 ± 0.03 b | 1.22 ± 0.02 c | 2.62 ± 0.08 a | 1.72 ± 0.07 b |
| Survival (%) | 97.78 ± 2.22 a | 100.00 ± 0.00 a | 80.00 ± 3.85 c | 86.67 ± 3.85 b |
| Item | Control | FCN | ATZ | FCN/ATZ |
|---|---|---|---|---|
| Hb (g/100 mL) | 11.90 ± 0.15 b | 12.49 ± 0.19 a | 10.01 ± 0.18 d | 11.05 ± 0.11 c |
| RBCs (×106/mm3) | 3.72 ± 0.11 b | 4.17 ± 0.04 a | 3.14 ± 0.06 c | 3.64 ± 0.04 b |
| pcv (%) | 36.33 ± 0.33 b | 39.00 ± 0.58 a | 32.67 ± 0.88 c | 36.33 ± 0.88 b |
| MCV (µm3/cell) | 97.71 ± 2.28 | 93.49 ± 2.28 | 103.95 ± 2.56 | 99.96 ± 3.10 |
| MCH (pg/cell) | 32.00 ± 0.86 | 29.93 ± 0.60 | 31.87 ± 0.87 | 30.39 ± 0.03 |
| MCHC (%) | 32.74 ± 0.18 | 32.02 ± 0.39 | 30.66 ± 0.45 | 30.46 ± 0.90 |
| WBCs (×103/mm3) | 39.19 ± 0.50 b | 41.39 ± 0.52 a | 35.67 ± 0.57 c | 38.48 ± 0.69 b |
| Heterophil (%) | 7.00 ± 0.00 | 7.67 ± 0.33 | 6.33 ± 0.33 | 6.67 ± 0.33 |
| Lymphocyte (%) | 82.67 ± 0.67 | 85.00 ± 0.58 | 80.33 ± 0.33 | 82.67 ± 0.33 |
| Monocyte (%) | 6.00 ± 0.00 | 3.67 ± 0.33 | 7.33 ± 0.33 | 6.00 ± 0.00 |
| Eosinophil (%) | 1.67 ± 0.33 | 1.67 ± 0.33 | 3.00 ± 0.00 | 2.33 ± 0.33 |
| Basophil (%) | 2.67 ± 0.33 | 2.00 ± 0.00 | 3.00 ± 0.00 | 2.33 ± 0.33 |
Publisher’s Note: MDPI stays neutral with regard to jurisdictional claims in published maps and institutional affiliations. |
© 2021 by the authors. Licensee MDPI, Basel, Switzerland. This article is an open access article distributed under the terms and conditions of the Creative Commons Attribution (CC BY) license (https://creativecommons.org/licenses/by/4.0/).
Share and Cite
Abdel-Warith, A.-W.A.; Younis, E.M.; Al-Asgah, N.A.; Gewaily, M.S.; El-Tonoby, S.M.; Dawood, M.A.O. Role of Fucoidan on the Growth Behavior and Blood Metabolites and Toxic Effects of Atrazine in Nile Tilapia Oreochromis niloticus (Linnaeus, 1758). Animals 2021, 11, 1448. https://doi.org/10.3390/ani11051448
Abdel-Warith A-WA, Younis EM, Al-Asgah NA, Gewaily MS, El-Tonoby SM, Dawood MAO. Role of Fucoidan on the Growth Behavior and Blood Metabolites and Toxic Effects of Atrazine in Nile Tilapia Oreochromis niloticus (Linnaeus, 1758). Animals. 2021; 11(5):1448. https://doi.org/10.3390/ani11051448
Chicago/Turabian StyleAbdel-Warith, Abdel-Wahab A., Elsayed M. Younis, Nasser A. Al-Asgah, Mahmoud S. Gewaily, Shaimaa M. El-Tonoby, and Mahmoud A. O. Dawood. 2021. "Role of Fucoidan on the Growth Behavior and Blood Metabolites and Toxic Effects of Atrazine in Nile Tilapia Oreochromis niloticus (Linnaeus, 1758)" Animals 11, no. 5: 1448. https://doi.org/10.3390/ani11051448
APA StyleAbdel-Warith, A.-W. A., Younis, E. M., Al-Asgah, N. A., Gewaily, M. S., El-Tonoby, S. M., & Dawood, M. A. O. (2021). Role of Fucoidan on the Growth Behavior and Blood Metabolites and Toxic Effects of Atrazine in Nile Tilapia Oreochromis niloticus (Linnaeus, 1758). Animals, 11(5), 1448. https://doi.org/10.3390/ani11051448

