Calcium Carbonate Nanoparticles—Toxicity and Effect of In Ovo Inoculation on Chicken Embryo Development, Broiler Performance and Bone Status
Abstract
Simple Summary
Abstract
1. Introduction
2. Materials and Methods
2.1. Nanoparticle Characterization and Preparation
2.2. In Vitro Cytotoxicity and Mineralization
2.2.1. Cell Isolation
2.2.2. Viability Assay
2.2.3. Cell Staining
2.3. In Ovo Experimental Design
2.4. Embryo Serum Biochemical and Toxicity Analyses
2.5. Embryo Bone Measurements
2.6. Broiler Chicken Management
2.7. Meat Quality and Bone Analyses
2.8. Statistical Analysis
3. Results
3.1. Physicochemical Properties of CCN
3.2. In Vitro Toxicity and Nineralization Results
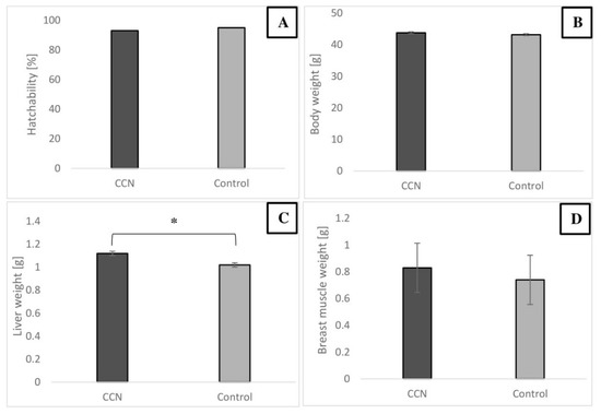
3.3. In Ovo Results
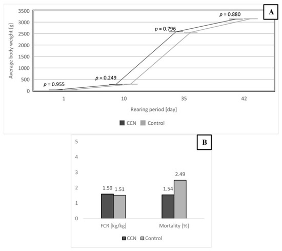
3.4. Production Results and Meat Quality of Broiler Chickens
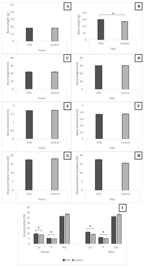
Bone Characteristics of Broiler Chickens
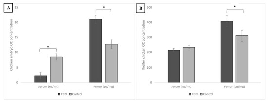
3.5. Molecular Outcomes—OC Concentration in Serum and Femur of Embryo and Broiler Chicken
4. Discussion
5. Conclusions
Author Contributions
Funding
Institutional Review Board Statement
Data Availability Statement
Acknowledgments
Conflicts of Interest
References
- Petracci, M.; Cavani, C. Muscle growth and poultry meat quality issues. Nutrients 2012, 4, 1–12. [Google Scholar] [CrossRef]
- Fleming, R.H. Nutritional factors affecting poultry bone health: Symposium on ‘Diet and bone health’. Proc. Nutr. Soc. 2008, 67, 177–183. [Google Scholar] [CrossRef]
- Knowles, T.G.; Kestin, S.C.; Haslam, S.M.; Brown, S.N.; Green, L.E.; Butterworth, A.; Pope, S.J.; Pfeiffer, D.; Nicol, C.J. Leg Disorders in Broiler Chickens: Prevalence, Risk Factors and Prevention. PLoS ONE 2008, 3, e1545. [Google Scholar] [CrossRef] [PubMed]
- Orban, J.I.; Adeola, O.; Stroshine, R. Microbial phytase in finisher diets of White Pekin ducks: Effects on growth performance, plasma phosphorus concentration, and leg bone characteristics. Poult. Sci. 1999, 78, 366–377. [Google Scholar] [CrossRef] [PubMed]
- Scott, M.L.; Nesheim, M.C.; Young, R.J. Essential Inorganic Elements. In Nutrition of the Chicken, 3rd ed.; M.L. Scott & Associates: Las Vegas, NV, USA, 1982; pp. 287–304. [Google Scholar]
- Bello, A.; Hester, P.Y.; Gerard, P.D.; Zhai, W.; Peebles, E.D. Effects of commercial in ovo injection of 25-hydroxycholecalciferol on bone development and mineralization in male and female broilers 1, 2. Poult. Sci. 2014, 93, 2734–2739. [Google Scholar] [CrossRef]
- Suttle, N.F. Mineral Nutrition of Livestock, 4th ed.; CABI: Wallingford, UK, 2010; pp. 54–168. ISBN 9781845934729. [Google Scholar]
- Kim, S.-W.; Li, W.; Angel, R.; Proszkowiec-Weglarz, M. Effects of limestone particle size and dietary Ca concentration on apparent P and Ca digestibility in the presence or absence of phytase. Poult. Sci. 2018, 97, 4306–4314. [Google Scholar] [CrossRef]
- Ao, T.; Pierce, J. The replacement of inorganic mineral salts with mineral proteinates in poultry diets. Worlds Poult. Sci. J. 2013, 69, 5–16. [Google Scholar] [CrossRef]
- Saunders-Blades, J.L.; MacIsaac, J.L.; Korver, D.R.; Anderson, D.M. The effect of calcium source and particle size on the production performance and bone quality of laying hens. Poult. Sci. 2009, 88, 338–353. [Google Scholar] [CrossRef] [PubMed]
- Ross, S.A.; Srinivas, P.R.; Clifford, A.J.; Lee, S.C.; Philbert, M.A.; Hettich, R.L. New technologies for nutrition research. J. Nutr. 2004, 134, 681–685. [Google Scholar] [CrossRef]
- Schmidt, C.W. Nanotechnology-related environment, health, and safety research: Examining the national strategy. Environ. Health Perspect. 2009, 117, A158–A161. [Google Scholar] [CrossRef]
- Ganjigohari, S.; Ziaei, N.; Ghara, A.; Tasharrofi, S. Nano-calcium carbonate: Effect on performance traits and egg quality in laying hens. J. Livest. Sci. Technol. 2018, 6, 49–56. [Google Scholar] [CrossRef]
- Matuszewski, A.; Łukasiewicz, M.; Łozicki, A.; Niemiec, J.; Zielińska-Górska, M.; Scott, A.; Chwalibog, A.; Sawosz, E. The effect of manganese oxide nanoparticles on chicken growth and manganese content in excreta. Anim. Feed Sci. Technol. 2020, 268, 114597. [Google Scholar] [CrossRef]
- Matuszewski, A.; Łukasiewicz, M.; Niemiec, J. Calcium and phosphorus and their nanoparticle forms in poultry nutrition. Worlds. Poult. Sci. J. 2020, 76, 328–345. [Google Scholar] [CrossRef]
- Vijayakumar, M.P.; Balakrishnan, V. Evaluating the bioavailability of calcium phosphate nanoparticles as mineral supplement in broiler chicken. Indian J. Sci. Technol. 2014, 7, 1475–1480. [Google Scholar] [CrossRef]
- Vijayakumar, M.; Balakrishnan, V. Assessment of Calcium Phosphate Nanoparticles as Safe Mineral Supplement for Broiler Chicken. Indian J. Sci. Technol. 2015, 8, 608. [Google Scholar] [CrossRef][Green Version]
- El-Maaty, H.; El-Khateeb, A.; Al-Khalaifah, H.; Hamed, E.-S.; Hamed, S.; El-Said, E.; Metwally, K.; Mansour, A.; Mahrose, K. Effects of ecofriendly synthesized calcium nanoparticles with biocompatible Sargassum latifolium algae extract supplementation on egg quality and scanning electron microscopy images of the eggshell of aged laying hens. Poult. Sci. 2020, 100, 675–684. [Google Scholar] [CrossRef]
- Sekhon, B. Nanoprobes and Their Applications in Veterinary Medicine and Animal Health. Res. J. Nanosci. Nanotechnol. 2012, 2, 1–16. [Google Scholar] [CrossRef]
- Zielinska, M.; Sawosz, E.; Grodzik, M.; Balcerak, M.; Wierzbicki, M.; Skomial, J.; Sawosz, F.; Chwalibog, A. Effect of taurine and gold nanoparticles on the morphological and molecular characteristics of muscle development during chicken embryogenesis. Arch. Anim. Nutr. 2012, 66, 1–13. [Google Scholar] [CrossRef]
- Sawosz, F.; Pineda, L.; Hotowy, A.; Hyttel, P.; Sawosz, E.; Szmidt, M.; Niemiec, T.; Chwalibog, A. Nano-nutrition of chicken embryos. The effect of silver nanoparticles and glutamine on molecular responses, and the morphology of pectoral muscle Sawosz. Balt. J. Comp. Clin. Syst. Biol. 2012, 2, 29–45. [Google Scholar] [CrossRef]
- Mroczek-sosnowska, N.; Sawosz, E.; Vadalasetty, K.P. Nanoparticles of Copper Stimulate Angiogenesis at Systemic and Molecular Level. Int. J. Mol. Sci. 2015, 4838–4849. [Google Scholar] [CrossRef]
- Mroczek-Sosnowska, N.; Łukasiewicz, M.; Wnuk, A.; Sawosz, E.; Niemiec, J.; Skot, A.; Jaworski, S.; Chwalibog, A. In ovo administration of copper nanoparticles and copper sulfate positively influences chicken performance. J. Sci. Food Agric. 2016, 96, 3058–3062. [Google Scholar] [CrossRef] [PubMed]
- Matuszewski, A.; Łukasiewicz, M.; Niemiec, J.; Jaworski, S.; Kamaszewski, M.; Szudrowicz, H.; Puppel, K.; Chwalibog, A.; Sawosz, E. Effect of in ovo application of hydroxyapatite nanoparticles on chicken embryo development, oxidative status and bone characteristics. Arch. Anim. Nutr. 2020, 74, 343–362. [Google Scholar] [CrossRef] [PubMed]
- Salary, J.; Matin, H.R.; Ghafari, K.; Hajati, H. Effect of in ovo injection of calcium carbonate nanoparticles on bone post hatched characteristics and broiler chicken performance. Iran. J. Appl. Anim. Sci. 2017, 7, 663–667. [Google Scholar]
- Ahmadzadeh, E.; Rowshan, F.T.; Mashkour, M. Enhancement of bone mineral density and body mass in newborn chickens by in ovo injection of ionic-hydroxyapatite nanoparticles of bacterial origin. J. Mater. Sci. Mater. Med. 2019, 30, 16. [Google Scholar] [CrossRef] [PubMed]
- Li, L.; Ma, Y.; Li, X.; Li, X.; Bai, C.; Ji, M.; Zhang, S.; Guan, W.; Li, J. Isolation, Culture, and Characterization of Chicken Cartilage Stem/Progenitor Cells. Biomed Res. Int. 2015, 2015, 586290. [Google Scholar] [CrossRef] [PubMed]
- Jeon, J.; Lee, M.S.; Yang, H.S. Differentiated osteoblasts derived decellularized extracellular matrix to promote osteogenic differentiation. Biomater. Res. 2018, 22, 4. [Google Scholar] [CrossRef]
- Pineda, L.; Sawosz, E.; Vadalasetty, K.P.; Chwalibog, A. Effect of copper nanoparticles on metabolic rate and development of chicken embryos. Anim. Feed Sci. Technol. 2013, 186, 125–129. [Google Scholar] [CrossRef]
- Łukasiewicz, M.; Łozicki, A.; Casey, N.H.; Chwalibog, A.; Niemiec, J.; Matuszewski, A. Effect of zinc nanoparticles on embryo and chicken growth, and the content of zinc in tissues and faeces. S. Afr. J. Anim. Sci. 2020, 50, 109–119. [Google Scholar] [CrossRef]
- Matusiewicz, M.; Bączek, K.B.; Kosieradzka, I.; Niemiec, T.; Grodzik, M.; Szczepaniak, J.; Orlińska, S.; Węglarz, Z. Effect of Juice and Extracts from Saposhnikovia divaricata Root on the Colon Cancer Cells Caco-2. Int. J. Mol. Sci. 2019, 20, 4526. [Google Scholar] [CrossRef]
- Kapusta, A.; Kuczynska, B.; Puppel, K. Relationship between the degree of antioxidant protection and the level of malondialdehyde in high-performance Polish Holstein-Friesian cows in peak of lactation. PLoS ONE 2018, 13, e0193512. [Google Scholar] [CrossRef]
- Regulation of the Minister of Agriculture and Rural Development of 15 February 2010. J. Laws 2010, 56, 344.
- Aviagen. Ross 308 Broiler: Nutrition Specifications 2019; Aviagen: Huntsville, AL, USA, 2020; pp. 1–10. [Google Scholar]
- Guo, Y.; Wang, L.; Ma, R.; Mu, Q.; Yu, N.; Zhang, Y.; Tang, Y.; Li, Y.; Jiang, G.; Zhao, D.; et al. JiangTang XiaoKe granule attenuates cathepsin K expression and improves IGF-1 expression in the bone of high fat diet induced KK-Ay diabetic mice. Life Sci. 2016, 148, 24–30. [Google Scholar] [CrossRef] [PubMed]
- Fouad-Elhady, E.A.; Aglan, H.A.; Hassan, R.E.; Ahmed, H.H.; Sabry, G.M. Modulation of bone turnover aberration: A target for management of primary osteoporosis in experimental rat model. Heliyon 2020, 6, e03341. [Google Scholar] [CrossRef]
- Aviagen. Ross 308: Broiler Performance Objectives; Aviagen: Huntsville, AL, USA, 2019; pp. 1–15. [Google Scholar]
- Swain, P.S.; Rajendran, D.; Rao, S.B.N.; Dominic, G. Preparation and effects of nano mineral particle feeding in livestock: A review. Vet. World 2015, 8, 888–891. [Google Scholar] [CrossRef]
- Samanta, G.; Mishra, S.; Nc, B.; Sahoo, G.; Behera, K.; Swain, R.K.; Sethy, K.; Biswal, S.; Sahoo, N. Studies on Utilization of Calcium Phosphate Nano Particles as Source of Phosphorus in Broilers. Anim. Nutr. Feed Technol. 2019, 19, 77. [Google Scholar] [CrossRef]
- Hassan, H.M.A.; Samy, A.; El-Sherbiny, A.E.; Mohamed, M.A.; Abd-Elsamee, M.O. Application of nano-dicalcium phosphate in broiler nutrition: Performance and excreted calcium and phosphorus. Asian J. Anim. Vet. Adv. 2016, 11, 477–483. [Google Scholar] [CrossRef]
- Mohamed, M.A.; Hassan, H.M.A.; Samy, A.; Abd-Elsamee, M.O.; El-Sherbiny, A.E. Carcass characteristics and bone measurements of broilers fed nano dicalcium phosphate containing diets. Asian J. Anim. Vet. Adv. 2016, 11, 484–490. [Google Scholar] [CrossRef]
- Sohair, A.A.; El-Manylawi, M.A.; Bakr, M.; Ali, A.A. Use of Nano-Calcium and Phosphors in Broiler Feeding. Egypt. Poult. Sci. J. 2017, 37, 637–650. [Google Scholar]
- Nasri, H.; van den Brand, H.; Najar, T.; Bouzouaia, M. Interactions between Egg Storage Duration and Breeder Age on Selected Egg Quality, Hatching Results, and Chicken Quality. Animals 2020, 10, 1719. [Google Scholar] [CrossRef]
- Sawosz, E.; Jaworski, S.; Kutwin, M.; Hotowy, A.; Wierzbicki, M.; Grodzik, M.; Kurantowicz, N.; Strojny, B.; Lipińska, L.; Chwalibog, A. Toxicity of pristine graphene in experiments in a chicken embryo model. Int. J. Nanomed. 2014, 9, 3913–3922. [Google Scholar] [CrossRef]
- Krasnodȩbska-Depta, A.; Koncicki, A. Fizjologiczne wartości wybranych wskaźników biochemicznych w surowicy krwi kurcząt brojlerów. Med. Weter. 2000, 56, 456–460. (In Polish) [Google Scholar]
- Guo, T.; Xiao, Y.; Liu, Z.; Liu, Q. The impact of intraoperative vascular occlusion during liver surgery on postoperative peak ALT levels: A systematic review and meta-analysis. Int. J. Surg. 2016, 27, 99–104. [Google Scholar] [CrossRef] [PubMed]
- Adeyemi, O.; Osilesi, O.; Onajobi, F.; Oyedemi, S.; Afolayan, A. Alkaline Phosphatase (ALP), Aspartate Aminotransferase (AST) and Alanine Aminotransferase (ALT) Activities in Selected Tissues of Rats Fed on Processed Atlantic Horse Mackerel (Trachurus trachurus). Adv. Biosci. Biotechnol. 2015, 6, 139–152. [Google Scholar] [CrossRef]
- Nakano, K.; Iwamatsu, T.; Wang, C.M.; Tarasima, M.; Nakayama, T.; Sasaki, K.; Tachikawa, E.; Noda, N.; Mizoguchi, E.; Osawa, M. High bone turnover of type I collagen depends on fetal growth. Bone 2006, 38, 249–256. [Google Scholar] [CrossRef]
- Yair, R.; Uni, Z.; Shahar, R. Bone characteristics of late-term embryonic and hatchling broilers: Bone development under extreme growth rate. Poult. Sci. 2012, 91, 2614–2620. [Google Scholar] [CrossRef]
- Oliveira, T.F.B.; Bertechini, A.G.; Bricka, R.M.; Kim, E.J.; Gerard, P.D.; Peebles, E.D. Effects of in ovo injection of organic zinc, manganese, and copper on the hatchability and bone parameters of broiler hatchlings. Poult. Sci. 2015, 94, 2488–2494. [Google Scholar] [CrossRef] [PubMed]
- Mroczek-Sosnowska, N.; Łukasiewicz, M.; Adamek, D.; Kamaszewski, M.; Niemiec, J.; Wnuk-Gnich, A.; Scott, A.; Chwalibog, A.; Sawosz, E. Effect of copper nanoparticles administered in ovo on the activity of proliferating cells and on the resistance of femoral bones in broiler chickens. Arch. Anim. Nutr. 2017, 71, 327–332. [Google Scholar] [CrossRef]
- Boivin, G.; Meunier, P.J. The degree of mineralization of bone tissue measured by computerized quantitative contact microradiography. Calcif. Tissue Int. 2002, 70, 503–511. [Google Scholar] [CrossRef]
- Park, S.Y.; Birkhold, S.G.; Kubena, L.F.; Nisbet, D.J.; Ricke, S.C. Effect of storage condition on bone breaking strength and bone ash in laying hens at different stages in production cycles. Poult. Sci. 2003, 82, 1688–1691. [Google Scholar] [CrossRef]
- Kim, W.K.; Donalson, L.M.; Mitchell, A.D.; Kubena, L.F.; Nisbet, D.J.; Ricke, S.C. Effects of alfalfa and fructooligosaccharide on molting parameters and bone qualities using dual energy X-ray absorptiometry and conventional bone assays. Poult. Sci. 2006, 85, 15–20. [Google Scholar] [CrossRef] [PubMed]
- Garlich, J.; Brake, J.; Parkhurst, C.R.; Thaxton, J.P.; Morgan, G.W. Physiological profile of caged layers during one production year, molt, and postmolt: Egg production, egg shell quality, liver, femur, and blood parameters. Poult. Sci. 1984, 63, 339–343. [Google Scholar] [CrossRef] [PubMed]
- Yair, R.; Shahar, R.; Uni, Z. Prenatal nutritional manipulation by in ovo enrichment influences bone structure, composition, and mechanical properties. J. Anim. Sci. 2013, 91, 2784–2793. [Google Scholar] [CrossRef] [PubMed]
- Rath, N.C.; Huff, G.R.; Huff, W.E.; Balog, J.M. Factors regulating bone maturity and strength in poultry. Poult. Sci. 2000, 79, 1024–1032. [Google Scholar] [CrossRef]
- Almeida Paz, I.C.L.; Mendes, A.A.; Balog, A.; Vulcano, L.C.; Ballarin, A.W.; Almeida, I.C.L.; Takahashi, S.E.; Komiyama, C.M.; Silva, M.C.; Cardoso, K.F.G. Study on the bone mineral density of broiler suffering femoral joint degenerative lesions. Braz. J. Poult. Sci. 2008, 10, 103–108. [Google Scholar]
- Song, L.; Zhao, J.; Zhang, X.; Li, H.; Zhou, Y. Icariin induces osteoblast proliferation, differentiation and mineralization through estrogen receptor-mediated ERK and JNK signal activation. Eur. J. Pharmacol. 2013, 714, 15–22. [Google Scholar] [CrossRef] [PubMed]
- Eggerschwiler, B.; Canepa, D.D.; Pape, H.-C.; Casanova, E.A.; Cinelli, P. Automated digital image quantification of histological staining for the analysis of the trilineage differentiation potential of mesenchymal stem cells. Stem Cell Res. Ther. 2019, 10, 69. [Google Scholar] [CrossRef] [PubMed]
- Allen, M.R.; Burr, D.B. Bone Modeling and Remodeling. Basic Appl. Bone Biol. 2014, 75–90. [Google Scholar] [CrossRef]
- Vasikaran, S.; Eastell, R.; Bruyère, O.; Foldes, A.J.; Garnero, P.; Griesmacher, A.; McClung, M.; Morris, H.A.; Silverman, S.; Trenti, T.; et al. Markers of bone turnover for the prediction of fracture risk and monitoring of osteoporosis treatment: A need for international reference standards. Osteoporos. Int. 2011, 22, 391–420. [Google Scholar] [CrossRef]
- Wheater, G.; Elshahaly, M.; Tuck, S.P.; Datta, H.K.; van Laar, J.M. The clinical utility of bone marker measurements in osteoporosis. J. Transl. Med. 2013, 11, 201. [Google Scholar] [CrossRef]
- Seibel, M.J. Biochemical markers of bone turnover: Part I: Biochemistry and variability. Clin. Biochem. Rev. 2005, 26, 97–122. [Google Scholar] [PubMed]
- Jiang, S.; Cheng, H.W.; Cui, L.Y.; Zhou, Z.L.; Hou, J.F. Changes of blood parameters associated with bone remodeling following experimentally induced fatty liver disorder in laying hens. Poult. Sci. 2013, 92, 1443–1453. [Google Scholar] [CrossRef] [PubMed]
- Iki, M.; Akiba, T.; Matsumoto, T.; Nishino, H.; Kagamimori, S.; Kagawa, Y.; Yoneshima, H.; JPOS Study Group. Reference database of biochemical markers of bone turnover for the Japanese female population. Japanese Population-based Osteoporosis (JPOS) Study. Osteoporos. Int. 2004, 15, 981–991. [Google Scholar] [CrossRef] [PubMed]








| Ingredients, g/kg | Starter (Days 1–10) | Grower (Days 11–34) | Finisher (Days 35–42) |
|---|---|---|---|
| Maize | 100 | 114 | 100 |
| Wheat | 530 | 550 | 608 |
| Extracted soybean meal | 306 | 274 | 216 |
| Calcium | 11.9 | 12.0 | 9.7 |
| Sodium bicarbonate | 2.0 | 1.4 | 1.6 |
| NaCl | 2.4 | 2.8 | 2.6 |
| Stimulator | 0.1 | 0.1 | 0.1 |
| Dicalcium phosphate | 11.8 | 7.8 | 6.4 |
| Oil | 21.0 | 24.0 | 44.0 |
| Methionine 84% | 4.8 | 4.2 | 2.8 |
| Lysine | 3.6 | 3.4 | 2.8 |
| Threonine | 1.4 | 1.3 | 1.0 |
| Premix * | 5.0 | 5.0 | 5.0 |
| Nutrient Composition, g/kg | |||
| Analyzed | |||
| Crude protein | 219 | 207 | 187 |
| Crude fat | 47.1 | 52.3 | 68.1 |
| Ash | 50.7 | 51.3 | 51.7 |
| Calculated | |||
| Lysine | 12.8 | 11.8 | 11.1 |
| Methionine | 7.2 | 6.3 | 5.4 |
| Calcium | 9.5 | 7.0 | 7.5 |
| Phosphorus | 6.6 | 5.3 | 5.1 |
| Metabolisable energy (MJ/kg) | 12.28 | 12.54 | 12.75 |
| Parameter | Group | |||
|---|---|---|---|---|
| CCN | Control | SEM | p-Value | |
| AST [U/L] | 256 | 240 | 31.71 | 0.716 |
| ALT [U/L] | 10.0 | 6.93 | 1.774 | 0.227 |
| ALP [U/L] | 948 | 837 | 73.43 | 0.209 |
| BALP [ng/mL] | 0.40 | 0.57 | 0.053 | 0.336 |
| Alb [mmol/mL] | 15.0 | 15.3 | 0.491 | 0.330 |
| TP [mmol/mL] | 24.7 | 26.0 | 1.465 | 0.054 |
| Glu [mmol/mL] | 259 | 276 | 5.283 | 0.028 |
| TC [mmol/mL] | 139 | 127 | 5.564 | 0.104 |
| TG [mmol/mL] | 28.2 | 32.7 | 4.066 | 0.432 |
| LDH [U/L] | 1120 | 1052 | 98.66 | 0.413 |
| Cr [mmol/mL] | 0.33 | 0.41 | 0.022 | 0.131 |
| MDA [nM/mL] | 1.33 | 1.47 | 0.022 | 0.000 |
| GSH [mmol/mL] | 3.65 | 3.30 | 0.673 | 0.248 |
| Ca [mmol/mL] | 10.5 | 10.1 | 0.347 | 0.248 |
| P [mmol/mL] | 7.01 | 7.58 | 0.307 | 0.623 |
| Parameter | Group | |||
|---|---|---|---|---|
| CCN | Control | SEM | p-Value | |
| BW before slaughter [g] | 3499 | 3507 | 20.21 | 0.848 |
| Dressing percentage [%] | 78.6 | 78.4 | 0.207 | 0.689 |
| Breast muscles [g/100 g BW] | 29.2 | 30.4 | 0.418 | 0.136 |
| Leg muscles [g/100 g BW] | 19.4 | 19.3 | 0.373 | 0.166 |
| Gizzard [g/100 g BW] | 0.82 | 0.73 | 0.029 | 0.102 |
| Liver [g/100 g BW] | 2.34 | 2.12 | 0.073 | 0.134 |
| Heart [g/100 g BW] | 0.74 | 0.77 | 0.035 | 0.719 |
| Total offal [g/100 g BW] | 3.91 | 3.62 | 0.080 | 0.069 |
| Fat [g/100 g BW] | 1.64 | 1.40 | 0.086 | 0.181 |
| Parameter | Group | |||
|---|---|---|---|---|
| CCN | Control | SEM | p-Value | |
| pH | 5.78 | 5.83 | 0.015 | 0.128 |
| L* | 66.9 | 64.3 | 1.151 | 0.267 |
| a* | 14.8 | 16.4 | 0.289 | 0.002 |
| b* | 13.5 | 12.2 | 0.482 | 0.198 |
Publisher’s Note: MDPI stays neutral with regard to jurisdictional claims in published maps and institutional affiliations. |
© 2021 by the authors. Licensee MDPI, Basel, Switzerland. This article is an open access article distributed under the terms and conditions of the Creative Commons Attribution (CC BY) license (http://creativecommons.org/licenses/by/4.0/).
Share and Cite
Matuszewski, A.; Łukasiewicz, M.; Niemiec, J.; Kamaszewski, M.; Jaworski, S.; Domino, M.; Jasiński, T.; Chwalibog, A.; Sawosz, E. Calcium Carbonate Nanoparticles—Toxicity and Effect of In Ovo Inoculation on Chicken Embryo Development, Broiler Performance and Bone Status. Animals 2021, 11, 932. https://doi.org/10.3390/ani11040932
Matuszewski A, Łukasiewicz M, Niemiec J, Kamaszewski M, Jaworski S, Domino M, Jasiński T, Chwalibog A, Sawosz E. Calcium Carbonate Nanoparticles—Toxicity and Effect of In Ovo Inoculation on Chicken Embryo Development, Broiler Performance and Bone Status. Animals. 2021; 11(4):932. https://doi.org/10.3390/ani11040932
Chicago/Turabian StyleMatuszewski, Arkadiusz, Monika Łukasiewicz, Jan Niemiec, Maciej Kamaszewski, Sławomir Jaworski, Małgorzata Domino, Tomasz Jasiński, André Chwalibog, and Ewa Sawosz. 2021. "Calcium Carbonate Nanoparticles—Toxicity and Effect of In Ovo Inoculation on Chicken Embryo Development, Broiler Performance and Bone Status" Animals 11, no. 4: 932. https://doi.org/10.3390/ani11040932
APA StyleMatuszewski, A., Łukasiewicz, M., Niemiec, J., Kamaszewski, M., Jaworski, S., Domino, M., Jasiński, T., Chwalibog, A., & Sawosz, E. (2021). Calcium Carbonate Nanoparticles—Toxicity and Effect of In Ovo Inoculation on Chicken Embryo Development, Broiler Performance and Bone Status. Animals, 11(4), 932. https://doi.org/10.3390/ani11040932

