Changes in Cadmium Concentration in Muscles, Ovaries, and Eggs of Silver European Eel (Anguilla anguilla) during Maturation under Controlled Conditions
Abstract
Simple Summary
Abstract
1. Introduction
2. Materials and Methods
2.1. Fish
2.2. Hormonal Stimulation
2.3. Sampling
2.4. Cadmium Determination
2.5. Dry Weight Analysis
2.6. Protein Analysis
2.7. Fat Analysis
2.8. Statistical Analysis
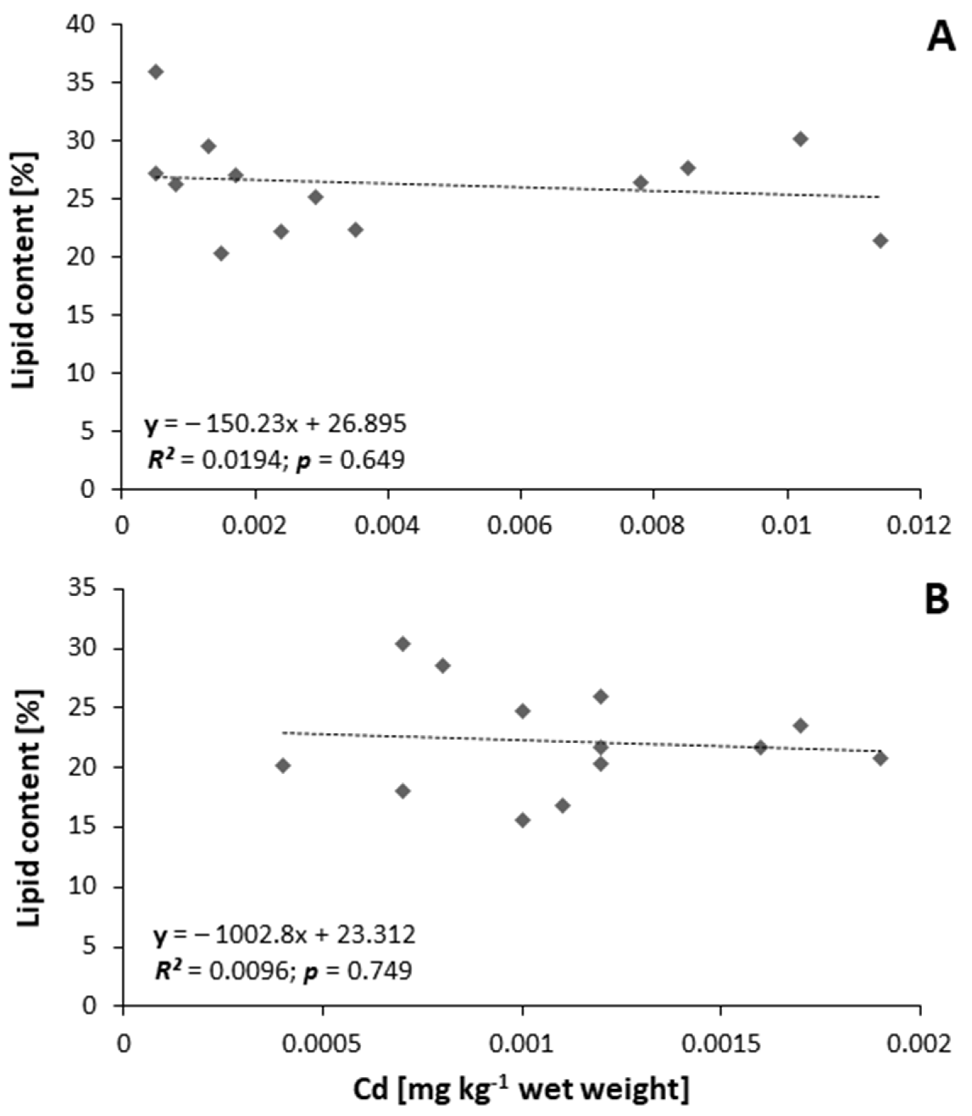
3. Results
4. Discussion
5. Conclusions
Author Contributions
Funding
Institutional Review Board Statement
Informed Consent Statement
Data Availability Statement
Conflicts of Interest
References
- Pait, A.; Nelson, J. Endocrine Disruption in Fish: An Assessment of Recent Research and Results; National Centers for Coastal Ocean Science: Silver Spring, MD, USA, 2002; Volume 149, pp. 1–63.
- Okocha, R.C.; Adedeji, O.B. Overview of cadmium toxicity in fish. J. Appl. Sci. Res. 2011, 7, 1195–1207. [Google Scholar]
- Idrees, N.; Sarah, R.; Tabassum, B. Immunopathology of cadmium induced toxicity in fishes: A review. J Immunol. Immunopathol. 2020, 22, 1–9. [Google Scholar] [CrossRef]
- UNEP/WHO (United Nations Enironmental Protection/World Health Organization). State of the Science of Endocrine Disrupting Chemicals; UNEP/WHO: Geneva, Switzerland, 2012. [Google Scholar]
- Bruggerman, W.; Opperhuizen, A.; Wijbenga, A.; Hutzinger, O. Bioaccumulation of Super-Lipophilic Chemicals in Fish. Toxicol. Environ. Chem. 2008, 7, 173–189. [Google Scholar] [CrossRef]
- Łuczyńska, J.; Paszczyk, B.; Nowosad, J.; Łuczyński, M.J. Mercury, fatty acids content and lipid quality indexes in muscles of freshwater and marine fish on the Polish market, risk assessment of fish consumption. Int. J. Environ. Res. Public Health 2017, 14, 1120. [Google Scholar] [CrossRef]
- Łuczyńska, J.; Paszczyk, B.; Łuczyński, M.J.; Kowalska-Góralska, M.; Nowosad, J.; Kucharczyk, D. Using Rutilus rutilus (L.) and Perca fluviatilis (L.) as bioindicators of the environmental condition and human health: Lake Łańskie, Poland. Int. J. Environ. Res. 2020, 17, 7595. [Google Scholar] [CrossRef]
- Has-Schön, E.; Bogut, I.; Rajković, V.; Bogut, S.; Cacić, M.; Horvatić, J. Heavy metal distribution in tissues of six fish species included in human diet, inhabiting freshwaters of the Nature Park “Hutovo Blato” (Bosnia and Herzegovina). Arch. Environ. Contam. Toxicol. 2008, 54, 75–83. [Google Scholar] [CrossRef] [PubMed]
- Palstra, A.P.P.; van Ginneken, V.J.T.; Murk, A.J.; van den Thillart, G.E.E.J.M. Are dioxin-like contaminants responsible for the eel (Anguilla anguilla) drama? Naturwissenschaften 2006, 93, 145–148. [Google Scholar] [CrossRef] [PubMed]
- Freese, M.; Sühring, R.; Marohn, L.; Pohlmann, J.-D.; Wolschke, H.; Byer, J.D.; Alaee, M.; Ebinghaus, R.; Hanel, R. Maternal transfer of dioxin-like compounds in artificially matured European eels. Environ. Pollut. 2017, 227, 348–356. [Google Scholar] [CrossRef]
- Uysal, K.; Emre, Y.; Köse, K. The determination of heavy metal accumulation ratios in muscle, skin and gills of some migratory fish species by inductively coupled plasma-optical emission spectrometry (ICP-OES) in Beymelek Lagoon (Antalya/Turkey). Microchem. J. 2008, 90, 67–70. [Google Scholar] [CrossRef]
- Gárriz, A.; del Fresno, P.S.; Carriquiriborde, P.; Miranda, L.A. Effects of heavy metals identified in Chascomús shallow lake on the endocrine-reproductive axis of pejerrey fish (Odontesthes bonariensis). Gen Comp Endocr. 2019, 273, 152–162. [Google Scholar] [CrossRef] [PubMed]
- Czeczot, H.; Skrzycki, M. Cadmium—Element completely unnecessary for the organism. Postep. Hig. Med. Dosw. 2010, 64, 38–49. [Google Scholar]
- Mukherjee, D.; Kumar, V.; Chakraborti, P. Effect of mercuric chloride and Cd chloride on gonadal function and its regulation in sexually mature common carp Cyprinus carpio. Biomed. Environ. Sci. 1994, 7, 13–24. [Google Scholar] [PubMed]
- Szczerbik, P.; Mikołajczyk, T.; Sokołowska-Mikołajczyk, M.; Socha, M.; Chyb, J.; Epler, P. The influence of cadmium on Prussian carp oocyte maturation, development of eggs and hatching. Czech J. Anim. Sci. 2008, 53, 36–44. [Google Scholar] [CrossRef]
- Luo, Y.; Shan, D.; Zhong, H.; Zhou, Y.; Chen, W.; Cao, J.; Guo, Z.; Xiao, J.; He, F.; Huang, Y.; et al. Subchronic effects of cadmium on the gonads, expressions of steroid hormones and sex-related genes in tilapia Oreochromis niloticus. Ecotoxicology 2015, 24, 2213–2223. [Google Scholar] [CrossRef] [PubMed]
- Pannetier, P.; Caron, A.; Campbell, P.G.C.; Pierron, F.; Baudrimont, M.; Couture, P. A comparison of metal concentrations in the tissues of yellow American eel (Anguilla rostrata) and European eel (Anguilla anguilla). Sci. Total Environ. 2016, 569–570, 1435–1445. [Google Scholar] [CrossRef]
- Romero, D.; Barcala, E.; María-Dolores, E.; Muñoz, U. European eels and heavy metals from the Mar Menor lagoon (SE Spain). Mar. Pollut. Bull. 2020, 158, 111368. [Google Scholar] [CrossRef]
- Laporte, M.; Pavey, S.A.; Rougeux, C.; Pierron, F.; Budzinski, H.; Couture, P.; Baudrimont, M.; Bernatchez, L. RAD-sequencing reveals within-generation polygenic selection in response to anthropogenic organic and metal contamination in North Atlantic Eels. Mol. Ecol. 2016, 25, 219–237. [Google Scholar] [CrossRef] [PubMed]
- Aarestrup, K.; Økland, F.; Hansen, M.M.; Righton, D.; Gargan, P.; Castonguay, M.; Bernatchez, L.; Howey, P.; Sparholt, H.; Pedersen, M.I.; et al. Oceanic spawning migration of the European eel (Anguilla anguilla). Science 2009, 325, 1660. [Google Scholar] [CrossRef] [PubMed]
- Dekker, W. On the distribution of the European eel (Anguilla anguilla) and its fisheries. Can. J. Fish Aquat. Sci. 2003, 60, 787–799. [Google Scholar] [CrossRef]
- Jacoby, D.; Gollock, M. Anguilla anguilla. The IUCN Red List of Threatened Species; IUCN: Gland, Switzerland, 2014. [Google Scholar] [CrossRef]
- Pedersen, B.H. Induced sexual maturation of the European eel Anguilla anguilla and fertilisation of the eggs. Aquaculture 2003, 224, 323–338. [Google Scholar] [CrossRef]
- Müller, T.; Urbányi, B.; Váradi, B.; Binder, T.; Horn, P.; Bercsényi, M.; Horváth, A. Cryopreservation of Sperm of Farmed European Eel Anguilla Anguilla. J. World Aquacult. Soc. 2004, 35, 225–231. [Google Scholar] [CrossRef]
- Horváth, L.; Székely, C.; Boczonádi, Z.; Mészáros, E.; Bercsényi, M.; Urbányi, B.; Müller, T. Induced oogenesis of the European eel (Anguilla anguilla L.) in freshwater condition. Acta Biol. Hung. 2011, 62, 485–488. [Google Scholar] [CrossRef] [PubMed]
- Mordenti, O.; Biase, A.D.; Bastone, G.; Sirri, R.; Zaccaroni, A.; Parmeggiani, A. Controlled reproduction in the wild European eel (Anguilla anguilla): Two populations compared. Aquac. Int. 2013, 21, 1045–1063. [Google Scholar] [CrossRef]
- Vogel, G. Europe tries to save its eels. Science 2010, 329, 505–507. [Google Scholar] [CrossRef]
- Asturiano, J.F.; Pérez, L.; Garzón, D.L.; Peñaranda, D.S.; Marco-Jiménez, F.; Martínez-Llorens, S.; Tomás, A.; Jover, M. Effect of different methods for the induction of spermiation on semen quality in European eel. Aquac. Res. 2005, 36, 1480–1487. [Google Scholar] [CrossRef]
- Kucharczyk, D.; Nowosad, J.; Kucharczyk, D.J.; Kupren, K.; Targońska, K.; Wyszomirska, E.; Kujawa, R. Out-of-season artificial reproduction of common dace (Leuciscus leuciscus L.) under controlled conditions. Anim. Reprod. Sci. 2019, 202, 21–25. [Google Scholar] [CrossRef] [PubMed]
- Kucharczyk, D.; Nowosad, J.; Wyszomirska, E.; Cejko, B.I.; Arciuch-Rutkowska, M.; Juchno, D.; Boroń, A. Comparison of artificial spawning effectiveness of hCG, CPH and GnRHa in combination with dopamine inhibitors in a wild strain of ide Leuciscus idus (L.) in hatchery conditions. Anim. Reprod. Sci. 2020, 221, 106543. [Google Scholar] [CrossRef] [PubMed]
- Pierron, F.; Baudrimont, M.; Bossy, A.; Bourdineaud, J.-P.; Brèthes, D.; Elie, P.; Massabuau, J.-C. Impairment of lipid storage by cadmium in the European eel (Anguilla anguilla). Aquat. Toxicol. 2007, 81, 304–311. [Google Scholar] [CrossRef]
- Nowosad, J.; Kucharczyk, D.; Czarkowski, T.K.; Kwasek, K. Changes in body weight and eye size in female European eel kept in fresh and saltwater. Ital. J. Anim. Sci. 2014, 13, 382–386. [Google Scholar] [CrossRef][Green Version]
- Nowosad, J.; Kucharczyk, D.; Łuczyńska, J.; Targońska, T.; Czarkowski, T.K.; Biłas, M.; Krejszeff, S.; Horváth, L.; Müller, T. Changes in European eel ovary development and body and ovary chemistry during stimulated maturation under controlled conditions: Preliminary data. Aquacult. Int. 2015, 23, 13–27. [Google Scholar] [CrossRef]
- Baeza, R.; Mazzeo, I.; Vílchez, M.C.; Gallego, V.; Peñaranda, D.S.; Pérez, L.; Asturiano, J.F. Relationship between sperm quality parameters and the fatty acid composition of the muscle, liver and testis of European eel. Comp. Biochem. Phys. A 2015, 181, 79–86. [Google Scholar] [CrossRef]
- da Silva, F.G.; Jacobsen, C.; Kjørsvik, E.; Støttrup, J.G.; Tomkiewicz, J. Oocyte and egg quality indicators in European eel: Lipid droplet coalescence and fatty acid composition. Aquaculture 2018, 496, 30–38. [Google Scholar] [CrossRef]
- Clevestam, P.D.; Ogonowski, M.; Sjöberg, N.B.; Wickström, H. Too short to spawn? Implications of small body size and swimming distance on successful migration and maturation of the European eel Anguilla anguilla. J. Fish Biol. 2011, 78, 1073–1089. [Google Scholar] [CrossRef] [PubMed]
- Nowosad, J.; Kucharczyk, D.; Łuczyńska, J. Changes in mercury concentration in muscles, ovaries and eggs of European eel during maturation under controlled conditions. Ecotox. Environ. Saf. 2018, 148, 857–861. [Google Scholar] [CrossRef]
- Freese, M.; Rizzo, L.Y.; Pohlmann, J.D.; Marohna, L.; Wittenc, P.E.; Gremse, F.; Rütten, S.; Güvener, N.; Michael, S.; Wysujack, K.; et al. Bone resorption and body reorganization during maturation induce maternal transfer of toxic metals in anguillid eels. Proc. Natl. Acad. Sci. USA 2019, 116, 11339–11344. [Google Scholar] [CrossRef] [PubMed]
- Rainbow, P.; Phillips, D. Cosmopolitan Biomonitors of Trace Metals. Mar. Pollut. Bull. 1993, 26, 593–601. [Google Scholar] [CrossRef]
- Kujawa, R.; Kucharczyk, D.; Mamcarz, A. A model system for keeping spawners of wild and domestic fish before artificial spawning. Aquacult. Eng. 1999, 20, 85–89. [Google Scholar] [CrossRef]
- Kucharczyk, D.; Czarkowski, T.; Nowosad, J.; Targońska, K.; Kupren, K.; Wyszomirska, E.; Kujawa, R.; Horváth, L.; Müller, T. Influence of temperature on successful European eel female maturation under controlled conditions. Turk. J. Fish. Aquat. Sci. 2016, 16, 475–480. [Google Scholar] [CrossRef]
- Varol, M.; Kaçar, E.; Akın, H.K. Accumulation of trace elements in muscle, gill and liver of fish species (Capoeta umbla and Luciobarbus mystaceus) in the Tigris River (Turkey), and health risk assessment. Environ. Res. 2020, 186, 109570. [Google Scholar] [CrossRef]
- Marsh-Matthews, E.; Skierkowski, P.; Demarais, A. Direct Evidence for Mother-to-Embryo Transfer of Nutrients in the Livebearing Fish Gambusia Geiseri. Copeia 2001, 1, 1–6. [Google Scholar] [CrossRef]
- Kottmann, J.S.; Tomkiewicz, J.; Butts, I.A.E.; Lund, I.; Jacobsen, C.; Støttrup, J.G.; Holst, L. Effects of essential fatty acids and feeding regimes on egg and offspring quality of European eel: Comparing reproductive success of farm-raised and wild-caught broodstock. Aquaculture 2020, 529, 735581. [Google Scholar] [CrossRef]
- Dębowska, M.; Nowosad, J.; Targońska, K.; Żarski, D.; Biłas, M.; Łuczyńska, J.; Kucharczyk, D. Fecundity of migrating European eel (Anguilla anguilla) from polish waters. Ital. J. Anim. Sci. 2015, 14, 566–570. [Google Scholar] [CrossRef][Green Version]
- Sühring, R.; Freese, M.; Schneider, M.; Schubert, S.; Pohlmann, J.-D.; Alaee, M.; Wolschke, H.; Hanel, R.; Ebinghaus, R.; Marohn, L. Maternal transfer of emerging brominated and chlorinated flame retardants in European eels. Sci. Total Environ. 2015, 530–531, 209–218. [Google Scholar]
- Belpaire, C.; Hodson, P.; Pierron, F.; Freese, M. Impact of chemical pollution on Atlantic eels: Facts, research needs, and implications for management. Curr. Opin. Environ. Sci. Health 2019, 11, 26–36. [Google Scholar] [CrossRef]
- Nyeste, K.; Dobrocsi, P.; Czeglédi, I.; Czédli, H.; Harangi, S.; Baranyai, E.; Simon, E.; Nagy, S.A.; Antal, L. Age and diet-specific trace element accumulation patterns in different tissues of chub (Squalius cephalus): Juveniles are useful bioindicators of recent pollution. Ecol. Indicat. 2019, 101, 1–10. [Google Scholar] [CrossRef]
- Nowosad, J.; Sieszputowska, J.; Kucharczyk, D.; Łuczyńska, J.; Sikora, M.; Kujawa, R. Dynamics of mercury content in adult sichel (Pelecus cultratus L.) tissues from the Baltic Sea before and during spawning. Mar. Environ. Res. 2019, 14, 75–80. [Google Scholar] [CrossRef] [PubMed]
- Cazan, A.M.; Klerks, P.L. Evidence of maternal copper and cadmium transfer in two live-bearing fish species. Ecotoxicology 2014, 23, 1774–1783. [Google Scholar] [CrossRef]
- Cazan, A.M.; Klerks, P.L. Effects from a short-term exposure to copper or cadmium in gravid females of the livebearer fish (Gambusia affinis). Ecotox. Environ. Saf. 2015, 118, 199–203. [Google Scholar] [CrossRef] [PubMed]
- Pierron, F.; Baudrimont, M.; Dufour, S.; Elie, P.; Bossy, A.; Baloche, S.; Mesmer-Dudons, N.; Gonzalez, P.; Bourdineaud, J.-P.; Massabuau, J.-C. How cadmium could compromise the completion of the European eel’s reproductive migration. Environ. Sci. Technol. 2008, 42, 4607–4612. [Google Scholar] [CrossRef]
- Vetillard, A.; Bailhache, T. Cadmium: An Endocrine Disrupter That Affects Gene Expression in the Liver and Brain of Juvenile Rainbow Trout. Biol. Reprod. 2005, 72, 119–126. [Google Scholar] [CrossRef]
- Hallare, A.V.; Schirling, M.; Luckenbach, T.; Köhler, H.R.; Triebskorn, R. Combined effects of temperature and Cd on developmental parameters and biomarker responses in zebrafish (Danio rerio) embryos. J. Therm. Biol. 2005, 30, 7–17. [Google Scholar] [CrossRef]
- Jezierska, B.; Ługowska, K.; Witeska, M. The effects of heavy metals on embryonic development of fish (a review). Fish Physiol. Biochem. 2009, 35, 625–640. [Google Scholar] [CrossRef] [PubMed]
- Hani, Y.M.I.; Turies, C.; Palluel, O.; Delahaut, L.; Bado-Nilles, A.; Geffard, A.; Dedourge-Geffard, O.; Porcher, J.-P. Effects of a chronic exposure to different water temperatures and/or to an environmental cadmium concentration on the reproduction of the threespine stickleback (Gasterosteus aculeatus). Ecotox. Environ. Saf. 2019, 174, 48–57. [Google Scholar] [CrossRef] [PubMed]




Publisher’s Note: MDPI stays neutral with regard to jurisdictional claims in published maps and institutional affiliations. |
© 2021 by the authors. Licensee MDPI, Basel, Switzerland. This article is an open access article distributed under the terms and conditions of the Creative Commons Attribution (CC BY) license (https://creativecommons.org/licenses/by/4.0/).
Share and Cite
Nowosad, J.; Kucharczyk, D.; Szmyt, M.; Łuczynska, J.; Tamás, M.; Horváth, L. Changes in Cadmium Concentration in Muscles, Ovaries, and Eggs of Silver European Eel (Anguilla anguilla) during Maturation under Controlled Conditions. Animals 2021, 11, 1027. https://doi.org/10.3390/ani11041027
Nowosad J, Kucharczyk D, Szmyt M, Łuczynska J, Tamás M, Horváth L. Changes in Cadmium Concentration in Muscles, Ovaries, and Eggs of Silver European Eel (Anguilla anguilla) during Maturation under Controlled Conditions. Animals. 2021; 11(4):1027. https://doi.org/10.3390/ani11041027
Chicago/Turabian StyleNowosad, Joanna, Dariusz Kucharczyk, Mariusz Szmyt, Joanna Łuczynska, Müller Tamás, and László Horváth. 2021. "Changes in Cadmium Concentration in Muscles, Ovaries, and Eggs of Silver European Eel (Anguilla anguilla) during Maturation under Controlled Conditions" Animals 11, no. 4: 1027. https://doi.org/10.3390/ani11041027
APA StyleNowosad, J., Kucharczyk, D., Szmyt, M., Łuczynska, J., Tamás, M., & Horváth, L. (2021). Changes in Cadmium Concentration in Muscles, Ovaries, and Eggs of Silver European Eel (Anguilla anguilla) during Maturation under Controlled Conditions. Animals, 11(4), 1027. https://doi.org/10.3390/ani11041027

