Effects of the Inclusion of Different Levels of Dietary Sunflower Hulls on the Colostrum Compositions of Ewes
Abstract
Simple Summary
Abstract
1. Introduction
2. Materials and Methods
2.1. Experimental Design and Diets
2.2. Body Condition Scores
2.3. Colostrum Sampling
2.4. Fatty Acids Profile
2.5. Statistical Analysis
3. Results
3.1. Body Condition Scores and Colostrum Composition
3.2. Colostrum Fatty Acids Profile
4. Discussion
5. Conclusions
Author Contributions
Funding
Institutional Review Board Statement
Data Availability Statement
Acknowledgments
Conflicts of Interest
References
- Dos Santos, G.; Da Silva, J.T.; Santos, F.H.D.R.; Bittar, C.M.M. Nutritional and microbiological quality of bovine colostrum samples in Brazil. Rev. Bras. Zootec. 2017, 46, 72–79. [Google Scholar] [CrossRef]
- Aldrich, J.; Holden, L.; Muller, L.; Varga, G. Rumen availabilities of nonstructural carbohydrate and protein estimated from in situ incubation of ingredients versus diets. Anim. Feed. Sci. Technol. 1996, 63, 257–271. [Google Scholar] [CrossRef]
- Jílek, F.; Pytloun, P.; Kubešová, M.; Štípková, M.; Bouska, J.; Volek, J.; Frelich, J.; Rajmon, R. Relationships among body condition score, milk yield and reproduction in Czech Fleckvieh cows. Czech J. Anim. Sci. 2008, 53, 357–367. [Google Scholar] [CrossRef]
- Makkar, H.P.; Tran, G.; Heuzé, V.; Giger-Reverdin, S.; Lessire, M.; Lebas, F.; Ankers, P. Seaweeds for livestock diets: A review. Anim. Feed. Sci. Technol. 2016, 212, 1–17. [Google Scholar] [CrossRef]
- Fisette, T. Agriculture and Agri-Food Canada AAFC. Sunflower Seed—Profile, Horticulture and Special Crops Division; AAFC: Ottawa, ON, Canada, 2015. [Google Scholar]
- Sevi, A.; Annicchiarico, G.; Albenzio, M.; Taibi, L.; Muscio, A.; Dell’Aquila, S. Effects of Solar Radiation and Feeding Time on Behavior, Immune Response and Production of Lactating Ewes Under High Ambient Temperature. J. Dairy Sci. 2001, 84, 629–640. [Google Scholar] [CrossRef]
- Sanson, D.W.; West, T.R.; Tatman, W.R.; Riley, M.L.; Judkins, M.B.; Moss, G.E. Relationship of body composition of mature ewes with condition score and body weight. J. Anim. Sci. 1993, 71, 1112–1116. [Google Scholar] [CrossRef]
- Domecq, J.J.; Skidmore, A.L.; Lloyd, J.W.; Kaneene, J.B. Relationship between Body Condition Scores and Milk Yield in a Large Dairy Herd of High Yielding Holstein Cows. J. Dairy Sci. 1997, 80, 101–112. [Google Scholar] [CrossRef]
- Smoczyński, M.; Staniewski, B.; Kiełczewska, K. Composition and Structure of the Bovine Milk Fat Globule Membrane—Some Nutritional and Technological Implications. Food Rev. Int. 2012, 28, 188–202. [Google Scholar] [CrossRef]
- Van Burgel, A.J.; Oldham, C.M.; Behrendt, R.; Curnow, M.; Gordon, D.J.; Thompson, A.N. The merit of condition score and fat score as alternatives to liveweight for managing the nutrition of ewes. Anim. Prod. Sci. 2011, 51, 834–841. [Google Scholar] [CrossRef]
- Trigg, P. Research and training in tropical diseases. Trends Biochem. Sci. 1979, 4, N29–N30. [Google Scholar] [CrossRef]
- Chiquette, J.; Allison, M.J.; Rasmussen, M.A. Prevotella bryantii 25A Used as a Probiotic in Early-Lactation Dairy Cows: Effect on Ruminal Fermentation Characteristics, Milk Production, and Milk Composition. J. Dairy Sci. 2008, 91, 3536–3543. [Google Scholar] [CrossRef]
- Pecka-Kiełb, E.; Zachwieja, A.; Wojtas, E.; Zawadzki, W. Influence of nutrition on the quality of colostrum and milk of ruminants. Mljekarstvo 2018, 68, 169–181. [Google Scholar] [CrossRef]
- Hernández-Castellano, L.E.; Argüello, A.; Almeida, A.M.; Castro, N.; Bendixen, E. Colostrum protein uptake in neonatal lambs examined by descriptive and quantitative liquid chromatography-tandem mass spectrometry. J. Dairy Sci. 2015, 98, 135–147. [Google Scholar] [CrossRef] [PubMed]
- Santucci, P.M.; Maestrini, O. Body conditions of dairy goats in extensive systems of production: Method of estimation. Anim. Res. 1985, 34, 473–474. [Google Scholar] [CrossRef]
- Luna, P.; Juárez, M.; De La Fuente, M.A. Validation of a Rapid Milk Fat Separation Method to Determine the Fatty Acid Profile by Gas Chromatography. J. Dairy Sci. 2005, 88, 3377–3381. [Google Scholar] [CrossRef]
- Sbihi, H.M.; Nehdi, I.A.; Tan, C.P.; Al-Resayes, S.I. Characteristics and fatty acid composition of milk fat from Saudi Aradi goat. Grasas Aceites 2015, 66, e101. [Google Scholar] [CrossRef]
- SAS Institute. SAS User’s Guide. Statistics, 8th ed.; SAS Inst. Inc.: Cary, NC, USA, 2003. [Google Scholar]
- Hyder, I.; Reddy, P.R.K.; Raju, J.; Manjari, P.; Prasad, C.S.; Kumar, K.A.; Sejian, V. Alteration in Rumen Functions and Diet Digestibility During Heat Stress in Sheep. In Sheep Production Adapting to Climate Change; Springer: Singapore, 2017; pp. 235–265. [Google Scholar]
- Contarini, G.; Povolo, M.; Pelizzola, V.; Monti, L.; Bruni, A.; Passolungo, L.; Abeni, F.; Degano, L. Bovine colostrum: Changes in lipid constituents in the first 5 days after parturition. J. Dairy Sci. 2014, 97, 5065–5072. [Google Scholar] [CrossRef] [PubMed]
- Asabe, M.H.; Mohammed, B.; Ileigo, I.H. Seroprevalence of Trichinellosis among Pigs at Slaughter in a Major Abattoir in Makurdi, Benue State, Nigeria. Adv. Anim. Vete Sci. 2016, 4, 205–208. [Google Scholar] [CrossRef]
- Hill, T.M.; Bateman, H.; Aldrich, J.M.; Schlotterbeck, R.L. Effects of changing the essential and functional fatty acid intake of dairy calves. J. Dairy Sci. 2009, 92, 670–676. [Google Scholar] [CrossRef]
- Murat, C.; Hakan, T. Effect of body condition score on biochemical milk parameters having economic importance in dairy goat during the first month of postpartum period. Int. J. Agric. Biol. 2013, 15, 395–397. [Google Scholar]
- Vlaeminck, B.; Fievez, V.; Tamminga, S.; Dewhurst, R.; Van Vuuren, A.; De Brabander, D.; Demeyer, D. Milk Odd- and Branched-Chain Fatty Acids in Relation to the Rumen Fermentation Pattern. J. Dairy Sci. 2006, 89, 3954–3964. [Google Scholar] [CrossRef]
- Cabrita, A.; Bessa, R.; Alves, S.; Dewhurst, R.; Fonseca, A. Effects of Dietary Protein and Starch on Intake, Milk Production, and Milk Fatty Acid Profiles of Dairy Cows Fed Corn Silage-Based Diets. J. Dairy Sci. 2007, 90, 1429–1439. [Google Scholar] [CrossRef]
- Capper, J.L.; Wilkinson, R.G.; MacKenzie, A.M.; Sinclair, L.A. Polyunsaturated Fatty Acid Supplementation during Pregnancy Alters Neonatal Behavior in Sheep. J. Nutr. 2006, 136, 397–403. [Google Scholar] [CrossRef] [PubMed]
- Ahmadi, M.; Boldura, O.; Milovanov, C.; Dronca, D.; Mircu, C.; Hutu, I.; Popescu, S.; Padeanu, I.; Tulcan, C. Colostrum from Different Animal Species – A Product for Health Status Enhancement. Bull. Univ. Agric. Sci. Veter Med. Cluj-Napoca. Anim. Sci. Biotechnol. 2016, 73, 95–100. [Google Scholar] [CrossRef]
- Pecka, E.; Dobrzański, Z.; Zachwieja, A.; Szulc, T.; Czyż, K. Studies of composition and major protein level in milk and colostrum of mares. Anim. Sci. J. 2011, 83, 162–168. [Google Scholar] [CrossRef]
- Banchero, G.E.; Quintans, G.; Martin, G.B.; Lindsay, D.R.; Milton, J.T.B. Nutrition and colostrum production in sheep. 1. Metabolic and hormonal responses to a high-energy supplement in the final stages of pregnancy. Reprod. Fertil. Dev. 2004, 16, 633–643. [Google Scholar] [CrossRef]
- Bernabucci, U.; Lacetera, N.; Baumgard, L.H.; Rhoads, R.P.; Ronchi, B.; Nardone, A. Metabolic and hormonal acclimation to heat stress in domesticated ruminants. Animals 2010, 4, 1167–1183. [Google Scholar] [CrossRef]
- Jozwik, A.; Strzałkowska, N.; Bagnicka, E.; Grzybek, W.; Krzyżewski, J.; Poławska, E.; Kołątaj, A.; Horbanczuk, J. Relationship between milk yield, stage of lactation, and some blood serum metabolic parameters of dairy cows. Czech J. Anim. Sci. 2012, 57, 353–360. [Google Scholar] [CrossRef]
- Banchero, G.E.; Clariget, R.P.; Bencini, R.; Lindsay, D.R.; Milton, J.T.; Martin, G.B. Endocrine and metabolic factors involved in the effect of nutrition on the production of colostrum in female sheep. Reprod. Nutr. Dev. 2006, 46, 447–460. [Google Scholar] [CrossRef]
- Uruakpa, F.; Ismond, M.; Akobundu, E. Colostrum and its benefits: A review. Nutr. Res. 2002, 22, 755–767. [Google Scholar] [CrossRef]
- Britton, R.A.; Stock, R.A. Acidosis, rate of starch digestion and intake. In Feed Intake by Beef Cattl Procedure Symptoms; Owens, F.N., Gill, D., Lusby, K., Eds.; Oklahoma State University: Stillwater, OK, USA, 1987; pp. 20–22. [Google Scholar]
- Kráčmar, S.; Zeman, L. Change in composition of cow’s colostrum within the first 72 h after parturition. Acta Univ. Agric. et Silvic. Mendel. Brun. 2004, 52, 129–136. [Google Scholar] [CrossRef]
- Hur, S.J.; Kim, H.S.; Bahk, Y.Y.; Park, Y. Overview of conjugated linoleic acid formation and accumulation in animal products. Livest. Sci. 2017, 195, 105–111. [Google Scholar] [CrossRef]
- Bernard, L.; Leroux, C.; Chilliard, Y. Expression and Nutritional Regulation of Lipogenic Genes in the Ruminant Lactating Mammary Gland. In Bioactive Components of Milk; Springer: Berlin/Heidelberg, Germany, 2007; Volume 606, pp. 67–108. [Google Scholar]
- Van Tran, L.; Malla, B.A.; Kumar, S.; Tyagi, A.K. Polyunsaturated Fatty Acids in Male Ruminant Reproduction—A Review. Asian-Australas. J. Anim. Sci. 2016, 30, 622–637. [Google Scholar] [CrossRef] [PubMed]
- Palladino, R.A.; O’donovan, M.; Kenny, D.A. Fatty acid intake and rumen fatty acid composition is affected by pre-grazing herbage mass and daily herbage allowance in Holstein dairy cows. Span. J. Agric. Res. 2014, 12, 708–716. [Google Scholar] [CrossRef][Green Version]
- Weimer, P.; Waghorn, G.; Odt, C.; Mertens, D. Effect of Diet on Populations of Three Species of Ruminal Cellulolytic Bacteria in Lactating Dairy Cows. J. Dairy Sci. 1999, 82, 122–134. [Google Scholar] [CrossRef]





| Treatments | C | S12 | S20 | S28 |
|---|---|---|---|---|
| Chemical Composition (%) | ||||
| Dry matter | 90.39 | 88.47 | 88.74 | 88.54 |
| Protein | 14.86 | 14.55 | 14.18 | 14.98 |
| Fiber | 18.26 | 20.78 | 22.16 | 21.81 |
| Ash | 14.25 | 6.61 | 6.34 | 5.88 |
| Fat | 4.02 | 4.35 | 4.35 | 4 |
| GE (Kcal/Kg) | 3641 | 3613 | 3710 | 3744 |
| ADF | 28.46 | 30.25 | 30.66 | 29.55 |
| NDF | 37.59 | 38.74 | 39.5 | 41.52 |
| Lignin | 7.37 | 6.99 | 8.88 | 9.07 |
| Fatty acid profile (g/100 g total FA) | ||||
| C6:0 | 0.19 | 0.1 | 0.09 | 0.13 |
| C8:0 | 1.2 | 1.26 | 1.62 | 1.5 |
| C10:0 | 1.37 | 1.49 | 1.52 | 1 |
| C12:0 | 22.03 | 24.92 | 21.76 | 15.41 |
| C14:0 | 8.53 | 8.88 | 7.8 | 5.42 |
| C15:0 | 0.13 | 0.15 | 0.09 | 0.09 |
| C16:0 | 16.27 | 14.04 | 11.43 | 14.88 |
| C17:0 | 0.04 | 0.07 | 0.01 | 0.08 |
| C18:0 | 4.32 | 3.87 | 2.99 | 3.47 |
| C18:1 ∆ 9t | 0.15 | 0 | 0.05 | 0.12 |
| C18:1 ∆ 9c | 31.53 | 26.65 | 25.72 | 33.42 |
| C18:2 9, 11cis; C18:2 10t 12 | 13.4 | 17.42 | 25.63 | 23.36 |
| C18:3 cis 9, 12, and 15, | 0.62 | 0.43 | 0.4 | 0.58 |
| C20 | 0.21 | 0.71 | 0.89 | 0.52 |
| SFA | 54.3 | 55.49 | 48.2 | 42.51 |
| MUFA | 31.68 | 26.65 | 25.77 | 33.55 |
| PUFA | 14.02 | 17.85 | 26.03 | 23.94 |
| Variable | Treatment | Statistical Significance | ||||||
|---|---|---|---|---|---|---|---|---|
| C | S12 | S20 | S28 | SEM | Treatment | Time | Treatment * Time | |
| Fat % | 8.54 | 10.02 | 13.80 | 10.72 | 0.59 | * | * | NS |
| Protein % | 9.87 | 10.96 | 12.15 | 10.99 | 0.34 | NS | * | NS |
| Lactose % | 3.26 | 2.33 | 2.01 | 2.82 | 0.13 | * | * | NS |
| TS % | 23.77 | 25.35 | 29.81 | 25.01 | 0.65 | * | * | NS |
| Variable | Treatment | Statistical Significance | |||||||
|---|---|---|---|---|---|---|---|---|---|
| C | S12 | S20 | S28 | SEM | R2 | L | C | Q | |
| Fat % | 10.16 a | 14.65 b | 14.70 b | 12.96 b | 0.79 | 0.44 | NS | * | NS |
| Protein % | 12.01 | 11.99 | 13.43 | 12.14 | 0.35 | 0.22 | NS | NS | NS |
| Lactose % | 2.87 a | 2.12 b | 1.66 c | 2.39 a | 0.21 | 0.31 | NS | * | NS |
| TS % | 25.61 | 26.79 | 31.01 | 27.90 | 1.09 | 0.26 | NS | NS | NS |
| Variable | Treatment | Statistical Significance | |||||||
|---|---|---|---|---|---|---|---|---|---|
| C | S12 | S20 | S28 | SEM | R2 | L | C | Q | |
| Fat % | 9.60 | 10.66 | 14.12 | 8.47 | 0.86 | 0.32 | NS | NS | NS |
| Protein % | 7.72 | 9.94 | 10.86 | 9.85 | 0.66 | 0.23 | NS | NS | NS |
| Lactose % | 3.65 a | 2.53 b | 2.36 b | 3.26 a | 0.24 | 0.35 | NS | * | NS |
| TS % | 21.93 a | 23.92 b | 28.61 b | 22.12 a | 1.22 | 0.36 | NS | * | NS |
| Component | C | S12 | S20 | S28 | SEM | Treatment | Time | Treatment * Time |
|---|---|---|---|---|---|---|---|---|
| SFAs (g/100 g) | ||||||||
| C6:0 | 0.41 b | 0.43 b | 0.49 b | 0.72 a | 0.04 | ** | NS | NS |
| C8:0 | 0.45 ab | 0.30 b | 0.40 b | 0.86 a | 0.08 | * | NS | NS |
| C10:0 | 1.46 a | 0.55 b | 1.19 a | 1.44 a | 0.09 | *** | NS | NS |
| C12:0 | 2.77 a | 0.67 c | 1.47 b | 1.48 b | 0.18 | *** | NS | NS |
| C14:0 | 8.49 | 5.57 | 6.43 | 6.52 | 0.53 | NS | NS | NS |
| C15:0 | 0.17 | 0.10 | 0.11 | 0.08 | 0.01 | NS | NS | NS |
| C16:0 | 27.02 | 25.15 | 25.27 | 26.34 | 0.65 | NS | NS | NS |
| C17:0 | 0.45 b | 1.09 a | 1.07 a | 1.05 a | 0.09 | * | NS | NS |
| C18:0 | 6.67 b | 9.75 a | 10.29 a | 12.79 c | 0.65 | ** | * | NS |
| C19:0 | 0.25 a | 0.19 ab | 0.13 b | 0.16 ab | 0.02 | * | NS | NS |
| C20:0 | 0.13 | 0.15 | 0.65 | 0.13 | 0.12 | NS | NS | NS |
| C22:0 | 0.04 | 0.02 | 0.02 | 0.32 | 0.03 | NS | NS | NS |
| Remaining acids | 2.12 | 1.43 | 1.02 | 0.93 | ||||
| USFAs (g/100 g) | ||||||||
| C14:1 ∆ 9C | 0.03 | 0.07 | 0.03 | 0.07 | 0.01 | NS | NS | NS |
| C15. 9 Methyl C15 | 0.04 | 0.03 | 0.02 | 0.03 | 0.01 | NS | NS | NS |
| C16: 1∆7C | 0.31 | 0.32 | 0.24 | 0.28 | 0.02 | NS | NS | NS |
| C16:1∆9C | 2.04 a | 1.26 b | 1.34 b | 1.30 b | 0.10 | * | NS | NS |
| C18:1 ∆ 9c | 36.37 b | 43.36 b | 39.79 ab | 35.03 a | 1.06 | * | NS | NS |
| C18:1 ∆ 11t | 1.11 a | 1.06 ab | 1.12 a | 0.83 b | 0.04 | * | NS | NS |
| C18: 1∆ 6t | 0.25 | 0.24 | 0.30 | 0.19 | 0.02 | NS | NS | NS |
| C18:2 9.12 t | 0.16 b | 0.08 c | 0.08 c | 0.23 a | 0.02 | ** | NS | NS |
| C18:2∆ 9 c.11 | 3.09 a | 3.21 a | 2.94 a | 3.45 b | 0.14 | * | NS | NS |
| C18:2 6.9.12 c | 0.12 a | 0.16 b | 0.10 a | 0.17 b | 0.04 | * | NS | NS |
| C18:3 cis 9.12.15 | 0.14 a | 0.10 b | 0.11 a | 0.18 b | 0.04 | ** | NS | NS |
| C18:2 9c 11t CLA | 0.11 a | 0.16 b | 0.17 b | 0.10 a | 0.03 | * | NS | NS |
| C22:5 7 10.13.16.19 | 0.12 | 0.10 | 0.23 | 0.65 | 0.11 | NS | NS | NS |
| Remaining acids | 5.67 | 4.46 | 5.11 | 4.59 |
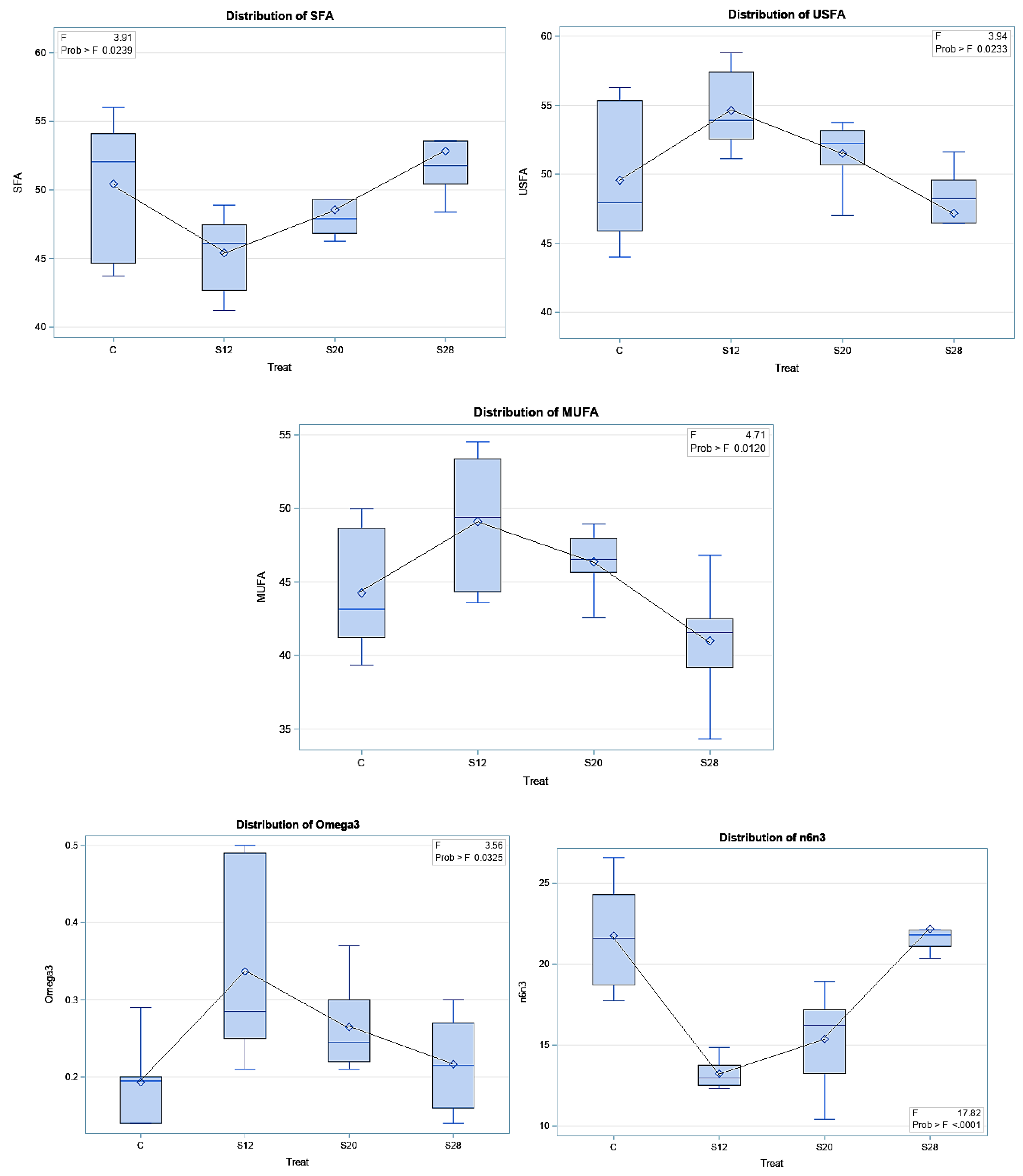
| Indices | C | S12 | S20 | S28 | SEM | Treatment | L | C | Q |
|---|---|---|---|---|---|---|---|---|---|
| SFA | 50.43 a | 45.40 b | 48.54 ab | 52.82 a | 1.58 | * | NS | NS | ** |
| USFA | 49.56 b | 54.61 a | 51.5 1a | 47.17 b | 1.58 | * | NS | NS | ** |
| MUFA | 44.26 ab | 49.11 a | 46.38 a | 41.00 b | 1.56 | ** | NS | NS | ** |
| PUFA | 5.42 | 5.58 | 5.19 | 6.35 | 0.57 | NS | NS | NS | NS |
| n3 | 0.19 b | 0.33 a | 0.26 ab | 0.21 b | 0.03 | * | NS | NS | ** |
| n6 | 4.14 | 4.40 | 3.91 | 4.78 | 0.47 | NS | NS | NS | NS |
| SFA/USFA | 1.03 ab | 0.84 b | 0.94 ab | 1.14 a | 0.06 | * | NS | NS | *** |
| n6/n3 | 21.75 a | 13.23 b | 15.37 b | 22.16 a | 1.06 | *** | NS | NS | *** |
Publisher’s Note: MDPI stays neutral with regard to jurisdictional claims in published maps and institutional affiliations. |
© 2021 by the authors. Licensee MDPI, Basel, Switzerland. This article is an open access article distributed under the terms and conditions of the Creative Commons Attribution (CC BY) license (http://creativecommons.org/licenses/by/4.0/).
Share and Cite
Alobre, M.M.; Abdelrahman, M.M.; Alhidary, I.A.; Alharthi, A.S.; Aljumaah, R.S. Effects of the Inclusion of Different Levels of Dietary Sunflower Hulls on the Colostrum Compositions of Ewes. Animals 2021, 11, 777. https://doi.org/10.3390/ani11030777
Alobre MM, Abdelrahman MM, Alhidary IA, Alharthi AS, Aljumaah RS. Effects of the Inclusion of Different Levels of Dietary Sunflower Hulls on the Colostrum Compositions of Ewes. Animals. 2021; 11(3):777. https://doi.org/10.3390/ani11030777
Chicago/Turabian StyleAlobre, Mohsen M., Mutassim M. Abdelrahman, Ibrahim A. Alhidary, Abdulrahman S. Alharthi, and Riyadh S. Aljumaah. 2021. "Effects of the Inclusion of Different Levels of Dietary Sunflower Hulls on the Colostrum Compositions of Ewes" Animals 11, no. 3: 777. https://doi.org/10.3390/ani11030777
APA StyleAlobre, M. M., Abdelrahman, M. M., Alhidary, I. A., Alharthi, A. S., & Aljumaah, R. S. (2021). Effects of the Inclusion of Different Levels of Dietary Sunflower Hulls on the Colostrum Compositions of Ewes. Animals, 11(3), 777. https://doi.org/10.3390/ani11030777

