Comparative Yolk Proteomic Analysis of Fertilized Low and High Cholesterol Eggs during Embryonic Development
Abstract
Simple Summary
Abstract
1. Introduction
2. Materials and Methods
2.1. Experimental Design
2.2. Egg Quality Assessment
2.3. Yolk Cholesterol Analysis
2.4. Egg Yolk Protein Extraction
2.5. The 2-D Gel Electrophoresis and Proteins Identification
2.6. Statistical Analysis
3. Results
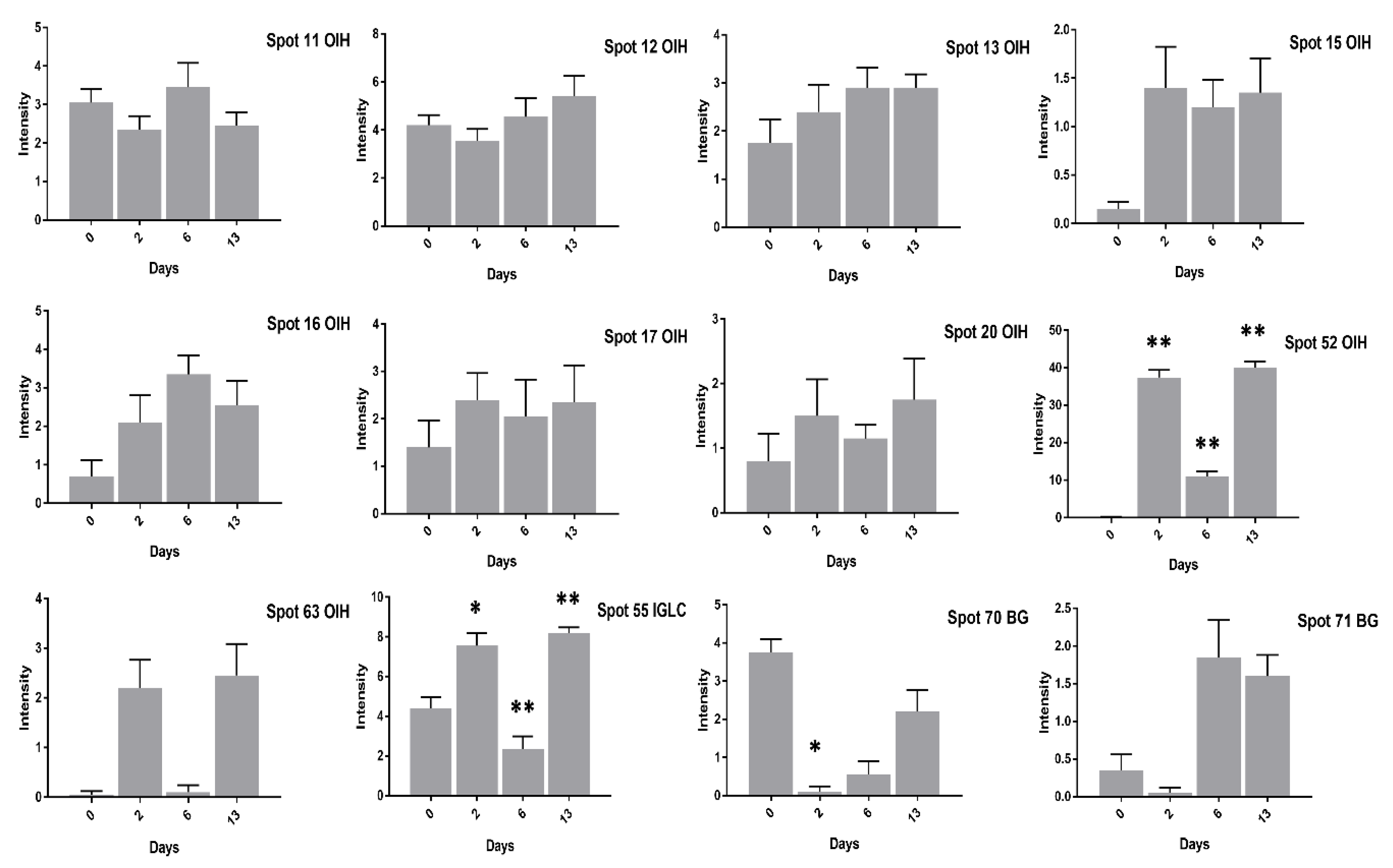
3.1. Differential Expression of Yolk Protein in Low and High Cholesterol Eggs
3.2. Comparison between Low and High Cholesterol Eggs Yolk Proteins
3.3. Gene Ontology (GO) Enrichment Analysis of Differentially Expressed Proteins in Biological Process
3.4. GO Annotation of Differentially Expressed Proteins in Cellular Component
3.5. GO Annotation of Differentially Expressed Proteins in Molecular Function
4. Discussion
5. Conclusions
Supplementary Materials
Author Contributions
Funding
Institutional Review Board Statement
Conflicts of Interest
References
- Guérin-Dubiard, C.; Pasco, M.; Mollé, D.; Désert, C.; Croguennec, T.; Nau, F. Proteomic analysis of hen egg white. J. Agric. Food Chem. 2006, 54, 3901–3910. [Google Scholar] [CrossRef] [PubMed]
- Moran, E.T., Jr. Nutrition of the developing embryo and hatchling. Poult. Sci. 2007, 86, 1043–1049. [Google Scholar] [CrossRef] [PubMed]
- Muramatsu, T.; Hiramoto, K.; Koshi, N.; Okumura, J.; Miyoshi, S.; Mitsumoto, T. Importance of albumen content in whole-body protein synthesis of the chicken embryo during incubation. Br. Poult. Sci. 1990, 31, 101–106. [Google Scholar] [CrossRef] [PubMed]
- Burley, R. The Avian Egg: Chemistry and Biology; Wiley: New York, NY, USA, 1989. [Google Scholar]
- Mann, K.; Mann, M. The chicken egg yolk plasma and granule proteomes. Proteomics 2008, 8, 178–191. [Google Scholar] [CrossRef] [PubMed]
- Li, C.; Geng, F.; Huang, X.; Ma, M.; Zhang, X. Phosvitin phosphorus is involved in chicken embryo bone formation through dephosphorylation. Poult. Sci. 2014, 93, 3065–3072. [Google Scholar] [CrossRef]
- Wallace, R.A.; Hoch, K.L.; Carnevali, O. Placement of small lipovitellin subunits within the vitellogenin precursor in Xenopus laevis. J. Mol. Biol. 1990, 213, 407–409. [Google Scholar] [CrossRef]
- McClance, R. Fatty Acids: Seventh Supplement to the Fifth Edition of McCance and Widdowson’s The Composition of Foods; Royal Society of Chemistry: London, UK, 1998; Volume 7. [Google Scholar]
- Andersen, C.J.; Blesso, C.N.; Lee, J.; Barona, J.; Shah, D.; Thomas, M.J.; Fernandez, M.L. Egg consumption modulates HDL lipid composition and increases the cholesterol-accepting capacity of serum in metabolic syndrome. Lipids 2013, 48, 557–567. [Google Scholar] [CrossRef]
- Omole, J.; Ighodaro, O. Comparative studies of the effects of egg yolk, oats, apple, and wheat bran on serum lipid profile of wistar rats. ISRN Nutr. 2012, 2013. [Google Scholar] [CrossRef]
- Panda, A.; Reddy, M.; Rao, S.R.; Praharaj, N. Production performance, serum/yolk cholesterol and immune competence of white leghorn layers as influenced by dietary supplementation with probiotic. Trop. Anim. Health Prod. 2003, 35, 85–94. [Google Scholar] [CrossRef] [PubMed]
- Yang, P.; Tian, Y.; Sun, G.; Jiang, R.; Han, R.; Kang, X. Deposition rule of yolk cholesterol in two different breeds of laying hens. Genet. Mol. Res. 2013, 12, 5786–5792. [Google Scholar] [CrossRef]
- Dikmen, B.Y.; Sahan, U. Correlations between breeder age, egg cholesterol content, blood cholesterol level and hatchability of broiler breeders. Br. Poult. Sci. 2007, 48, 98–103. [Google Scholar] [CrossRef]
- Zhou, L.; Shi, Y.; Guo, R.; Liang, M.; Zhu, X.; Wang, C. Digital gene-expression profiling analysis of the cholesterol-lowering effects of alfalfa saponin extract on laying hens. PLoS ONE 2014, 9, e98578. [Google Scholar] [CrossRef][Green Version]
- Dietschy, J.M.; Turley, S.D.; Spady, D.K. Role of liver in the maintenance of cholesterol and low density lipoprotein homeostasis in different animal species, including humans. J. Lipid Res. 1993, 34, 1637–1659. [Google Scholar] [CrossRef]
- Battaile, K.P.; Steiner, R.D. Smith-Lemli-Opitz syndrome: The first malformation syndrome associated with defective cholesterol synthesis. Mol. Genet. Metab. 2000, 71, 154–162. [Google Scholar] [CrossRef] [PubMed]
- Porter, F.D. RSH/Smith–Lemli–Opitz syndrome: A multiple congenital anomaly/mental retardation syndrome due to an inborn error of cholesterol biosynthesis. Mol. Genet. Metab. 2000, 71, 163–174. [Google Scholar] [CrossRef] [PubMed]
- Bottjer, K.P.; Weinstein, P.P.; Thompson, M.J. Effects of an azasteroid on growth, development and reproduction of the free-living nematodes Caenorhabditis briggsae and Panagrellus redivivus. Comp. Biochem. Physiol. B Comp. Biochem. 1985, 82, 99–106. [Google Scholar] [CrossRef]
- Zhu, W.; Zhang, J.; He, K.; Geng, Z.; Chen, X. Proteomic analysis of fertilized egg yolk proteins during embryonic development. Poult. Sci. 2020, 99, 2775–2784. [Google Scholar] [CrossRef]
- Fauziah, C.; Zaibunnisa, A.; Osman, H.; Wan Aida, W. Physicochemical analysis of cholesterol-reduced egg yolk powder and its application in mayonnaise. Int. Food Res. J. 2016, 23, 575–582. [Google Scholar]
- Nezil, F.A.; Bloom, M. Combined influence of cholesterol and synthetic amphiphillic peptides upon bilayer thickness in model membranes. Biophys. J. 1992, 61, 1176–1183. [Google Scholar] [CrossRef]
- Rothberg, K.G.; Heuser, J.E.; Donzell, W.C.; Ying, Y.-S.; Glenney, J.R.; Anderson, R.G. Caveolin, a protein component of caveolae membrane coats. Cell 1992, 68, 673–682. [Google Scholar] [CrossRef]
- Foster, L.J.; De Hoog, C.L.; Mann, M. Unbiased quantitative proteomics of lipid rafts reveals high specificity for signaling factors. Proc. Natl. Acad. Sci. USA 2003, 100, 5813–5818. [Google Scholar] [CrossRef]
- Cole, T.J.; Blendy, J.A.; Monaghan, A.P.; Krieglstein, K.; Schmid, W.; Aguzzi, A.; Fantuzzi, G.; Hummler, E.; Unsicker, K.; Schütz, G. Targeted disruption of the glucocorticoid receptor gene blocks adrenergic chromaffin cell development and severely retards lung maturation. Genes Dev. 1995, 9, 1608–1621. [Google Scholar] [CrossRef]
- Cordeiro, C.M.; Hincke, M.T. Quantitative proteomics analysis of eggshell membrane proteins during chick embryonic development. J. Proteom. 2016, 130, 11–25. [Google Scholar] [CrossRef]
- Berger, S.; Bleich, M.; Schmid, W.; Cole, T.J.; Peters, J.; Watanabe, H.; Kriz, W.; Warth, R.; Greger, R.; Schütz, G. Mineralocorticoid receptor knockout mice: Pathophysiology of Na+ metabolism. Proc. Natl. Acad. Sci. USA 1998, 95, 9424–9429. [Google Scholar] [CrossRef]
- Pratt, H.P. Preimplantation mouse embryos synthesize membrane sterols. Dev. Biol. 1982, 89, 101–110. [Google Scholar] [CrossRef]
- Larsen, W., 3rd. Human Embryology, 3rd ed.; Churchill Livingstone Inc.: New York, NY, USA, 2001. [Google Scholar]
- Qiu, N.; Ma, M.; Cai, Z.; Jin, Y.; Huang, X.; Huang, Q.; Sun, S. Proteomic analysis of egg white proteins during the early phase of embryonic development. J. Proteom. 2012, 75, 1895–1905. [Google Scholar] [CrossRef] [PubMed]
- Rehault-Godbert, S.; Mann, K.; Bourin, M.; Brionne, A.; Nys, Y. Effect of embryonic development on the chicken egg yolk plasma proteome after 12 days of incubation. J. Agric. Food Chem. 2014, 62, 2531–2540. [Google Scholar] [CrossRef] [PubMed]
- Liu, Y.; Qiu, N.; Ma, M. Comparative proteomic analysis of egg white proteins during the rapid embryonic growth period by combinatorial peptide ligand libraries. Poult. Sci. 2015, 94, 2495–2505. [Google Scholar] [CrossRef]
- Chen, X.; Zhu, W.; Du, Y.; Liu, X.; Geng, Z. Genetic Parameters for Yolk Cholesterol and Transcriptional Evidence Indicate a Role of Lipoprotein Lipase in the Cholesterol Metabolism of the Chinese Wenchang Chicken. Front. Genet. 2019, 10, 902. [Google Scholar] [CrossRef]
- Naveena, B.; Faustman, C.; Tatiyaborworntham, N.; Yin, S.; Ramanathan, R.; Mancini, R. Detection of 4-hydroxy-2-nonenal adducts of turkey and chicken myoglobins using mass spectrometry. Food Chem. 2010, 122, 836–840. [Google Scholar] [CrossRef]
- Qian, X.; Yang, Y.; Lee, S.W.; Caballes, M.J.; Alamu, O.S. Cooling Performance Analysis of the Lab-Scale Hybrid Oyster Refrigeration System. Processes 2020, 8, 899. [Google Scholar] [CrossRef]
- Qian, X.; Lee, S.W. The design and analysis of energy efficient building envelopes for the commercial buildings by mixed-level factorial design and statistical methods. In Proceedings of the ASEE Middle Atlantic American Society of Engineering Education, Swarthmore, PA, USA, 14–15 November 2014. [Google Scholar]
- Wang, J.; Wu, J. Proteomic analysis of fertilized egg white during early incubation. EuPA Open Proteom. 2014, 2, 38–59. [Google Scholar] [CrossRef]
- Qiu, N.; Ma, M.; Zhao, L.; Liu, W.; Li, Y.; Mine, Y. Comparative proteomic analysis of egg white proteins under various storage temperatures. J. Agric. Food Chem. 2012, 60, 7746–7753. [Google Scholar] [CrossRef]
- Liu, Y.; Qiu, N.; Gao, D.; Ma, M. Comparative proteomic analysis of chicken, duck, and quail egg yolks. Int. J. Food Prop. 2018, 21, 1311–1321. [Google Scholar] [CrossRef]
- Meng, Y.; Sun, H.; Qiu, N.; Geng, F.; Zhu, F.; Li, S.; Huo, Y. Comparative proteomic analysis of hen egg yolk plasma proteins during embryonic development. J. Food Biochem. 2019, 43, e13045. [Google Scholar] [CrossRef] [PubMed]
- Hu, S.; Qiu, N.; Liu, Y.; Zhao, H.; Gao, D.; Song, R.; Ma, M. Identification and comparative proteomic study of quail and duck egg white protein using 2-dimensional gel electrophoresis and matrix-assisted laser desorption/ionization time-of-flight tandem mass spectrometry analysis. Poult. Sci. 2016, 95, 1137–1144. [Google Scholar] [CrossRef]
- Bourin, M.; Gautron, J.; Berges, M.; Attucci, S.; Le Blay, G.; Labas, V.; Nys, Y.; Rehault-Godbert, S. Antimicrobial potential of egg yolk ovoinhibitor, a multidomain Kazal-like inhibitor of chicken egg. J. Agric. Food Chem. 2011, 59, 12368–12374. [Google Scholar] [CrossRef] [PubMed]
- Quirce, S.; Maranon, F.; Umpierrez, A.; De Las Heras, M.; Fernández-Caldas, E.; Sastre, J. Chicken serum albumin (Gal d 5*) is a partially heat-labile inhalant and food allergen implicated in the bird-egg syndrome. Allergy 2001, 56, 754–762. [Google Scholar] [CrossRef] [PubMed]
- Chalghoumi, R.; Beckers, Y.; Portetelle, D.; Théwis, A. Hen egg yolk antibodies (IgY), production and use for passive immunization against bacterial enteric infections in chicken: A review. Biotechnol. Agron. Soc. Environ. 2009, 13, 295–308. [Google Scholar]
- Hamal, K.; Burgess, S.C.; Pevzner, I.; Erf, G. Maternal antibody transfer from dams to their egg yolks, egg whites, and chicks in meat lines of chickens. Poult. Sci. 2006, 85, 1364–1372. [Google Scholar] [CrossRef] [PubMed]
- Hasselquist, D.; Nilsson, J.-Å. Maternal transfer of antibodies in vertebrates: Trans-generational effects on offspring immunity. Philos. Trans. R. Soc. B Biol. Sci. 2009, 364, 51–60. [Google Scholar] [CrossRef] [PubMed]
- Gao, D.; Qiu, N.; Liu, Y.; Ma, M. Comparative proteome analysis of egg yolk plasma proteins during storage. J. Sci. Food Agric. 2017, 97, 2392–2400. [Google Scholar] [CrossRef] [PubMed]
- Georgieva, T.M.; Koinarski, V.; Urumova, V.; Marutsov, P.; Christov, T.; Nikolov, J.; Chaprazov, T.; Walshe, K.; Karov, R.; Georgiev, I. Effects of Escherichia coli infection and Eimeria tenella invasion on blood concentrations of some positive acute phase proteins (haptoglobin (PIT 54), fibrinogen and ceruloplasmin) in chickens. Revue Med. Vet. 2010, 161, 84. [Google Scholar]
- Lim, W.; Song, G. Differential expression of vitelline membrane outer layer protein 1: Hormonal regulation of expression in the oviduct and in ovarian carcinomas from laying hens. Mol. Cell. Endocrinol. 2015, 399, 250–258. [Google Scholar] [CrossRef]
- Kido, S.; Doi, Y.; Kim, F.; Morishita, E.; Narita, H.; Kanaya, S.; Ohkubo, T.; Nishikawa, K.; Yao, T.; Ooi, T. Characterization of vitelline membrane outer layer protein I, VMO-I: Amino acid sequence and structural stability. J. Biochem. 1995, 117, 1183–1191. [Google Scholar] [CrossRef]
- Wang, S.; Smith, D.E.; Williams, D.L. Purification of avian vitellogenin III: Comparison with vitellogenins I and II. Biochemistry 1983, 22, 6206–6212. [Google Scholar] [CrossRef]
- Tian, Z.; Zhang, X. Progress on research of chicken IgY antibody-FcRY receptor combination and transfer. J. Recept. Signal Transduct. 2012, 32, 231–237. [Google Scholar] [CrossRef]



















| Spots | Identification Results | NCBI Accession | Score | Sequence Coverage (%) | Theoretical pI/MW (kDa) | Experimental pI/MW (kDa) |
|---|---|---|---|---|---|---|
| 1 | Ovotransferrin BB type | 71274077 | 962 | 22 | 7.08/79.6 | 7.1/75 |
| 2 | Ovotransferrin BB type | 71274077 | 1148 | 23 | 7.08/79.6 | 7.2/75 |
| 3 | Ovotransferrin BB type | 71274077 | 1222 | 23 | 7.08/79.6 | 7.4/75 |
| 4 | Ovotransferrin BB type | 71274077 | 484 | 14 | 7.08/79.6 | 7.6/75 |
| 5 | Ovotransferrin BB type | 71274077 | 857 | 20 | 7.08/79.6 | 7.8/75 |
| 62 | Ovotransferrin BB type | 71274077 | 764 | 27 | 7.08/79.6 | 7.1/77 |
| 6 | Ig gamma chain (clone-36) chicken | 63524 | 384 | 23 | 6.84/54.5 | 7.5/68 |
| 14 | Ig gamma chain (clone-36) chicken | 63524 | 357 | 22 | 6.84/54.5 | 6.1/70 |
| 21 | Ig gamma chain (clone-36) chicken | 63524 | 156 | 22 | 6.84/54.5 | 6.0/57 |
| 61 | Ig gamma chain (clone-36) chicken | 63524 | 473 | 24 | 6.84/54.5 | 7.8/62 |
| 64 | Ig gamma chain (clone-36) chicken | 63524 | 268 | 17 | 6.84/54.5 | 6.0/63 |
| 66 | Ig gamma chain (clone-36) chicken | 63524 | 255 | 24 | 6.84/54.5 | 7.0/70 |
| 67 | Ig gamma chain (clone-36) chicken | 63524 | 246 | 18 | 6.84/54.5 | 6.5/68 |
| 72 | Ig gamma chain (clone-36) chicken | 63524 | 198 | 24 | 6.84/54.5 | 7.2/35 |
| 73 | Ig gamma chain (clone-36) chicken | 63524 | 175 | 26 | 6.84/54.5 | 7.4/35 |
| 7 | Immunoglobulin-Y heavy chain constant region | 614458442 | 376 | 18 | 6.11/43.5 | 7.0/72 |
| 8 | Immunoglobulin-Y heavy chain constant region | 614458442 | 479 | 18 | 6.11/43.5 | 7.0/72 |
| 51 | Immunoglobulin lambda light chain precursor | 266634462 | 65 | 11 | 5.66/23.2 | 5.6/23 |
| 53 | Immunoglobulin lambda light chain precursor | 266634462 | 65 | 11 | 5.66/23.2 | 5.6/23 |
| 54 | Immunoglobulin lambda light chain precursor | 266634462 | 130 | 11 | 5.66/23.2 | 5.6/23 |
| 11 | Ovoinhibitor | 212485 | 275 | 25 | 6.16/54.4 | 5.6/68 |
| 12 | Ovoinhibitor | 212485 | 100 | 21 | 6.16/54.4 | 5.8/68 |
| 13 | Ovoinhibitor | 212485 | 80 | 17 | 6.16/54.4 | 5.8/68 |
| 15 | Ovoinhibitor | 212485 | 102 | 24 | 6.16/54.4 | 5.8/64 |
| 16 | Ovoinhibitor | 212485 | 62 | 18 | 6.16/54.4 | 6.0/64 |
| 17 | Ovoinhibitor | 212485 | 61 | 22 | 6.16/54.4 | 6.0/64 |
| 20 | Ovoinhibitor | 212485 | 44 | 18 | 6.16/54.4 | 5.8/62 |
| 52 | Ovoinhibitor | 212485 | 73 | 17 | 6.16/54.4 | 5.5/23 |
| 63 | Ovoinhibitor | 212485 | 65 | 21 | 6.16/54.4 | 5.8/62 |
| 23 | Vitellogenin-1 precursor | 1871444 | 226 | 5 | 9.16/212.6 | 5.2/40 |
| 24 | Vitellogenin-1 precursor | 1871444 | 601 | 4 | 9.16/212.6 | 5.2/40 |
| 25 | Vitellogenin-1 precursor | 1871444 | 618 | 4 | 9.16/212.6 | 5.4/40 |
| 26 | Vitellogenin-1 precursor | 1871444 | 273 | 3 | 9.16/212.6 | 5.4/40 |
| 27 | Vitellogenin-1 precursor | 1871444 | 180 | 2 | 9.16/212.6 | 5.6/40 |
| 50 | Vitellogenin-1 precursor | 1871444 | 83 | 3 | 9.16/212.6 | 5.8/40 |
| 28 | Vitellogenin-2 | 63887 | 183 | 1 | 9.23/206.7 | 5.5/36 |
| 29 | Vitellogenin-2 | 63887 | 667 | 5 | 9.23/206.7 | 5.5/36 |
| 30 | Vitellogenin-2 | 63887 | 159 | 2 | 9.23/206.7 | 5.8/36 |
| 31 | Vitellogenin-2 | 63887 | 293 | 2 | 9.23/206.7 | 6.0/36 |
| 32 | Vitellogenin-2 | 63887 | 579 | 4 | 9.23/206.7 | 5.5/33 |
| 33 | Vitellogenin-2 | 63887 | 356 | 3 | 9.23/206.7 | 5.6/33 |
| 34 | Vitellogenin-2 | 63887 | 243 | 2 | 9.23/206.7 | 5.8/33 |
| 35 | Vitellogenin-2 | 63887 | 361 | 3 | 9.23/206.7 | 6.0/33 |
| 36 | Vitellogenin-2 | 63887 | 264 | 1 | 9.23/206.7 | 6.2/33 |
| 41 | Vitellogenin-2 | 63887 | 224 | 5 | 9.23/206.7 | 6.2/28 |
| 43 | Vitellogenin-2 | 63887 | 266 | 5 | 9.23/206.7 | 6.2/28 |
| 44 | Vitellogenin-2 | 63887 | 76 | 5 | 9.23/206.7 | 6.2/28 |
| 45 | Vitellogenin-2 | 63887 | 261 | 5 | 9.23/206.7 | 6.2/28 |
| 46 | Vitellogenin-2 | 63887 | 365 | 4 | 9.23/206.7 | 6.2/26 |
| 65 | Vitellogenin-2 | 63887 | 391 | 5 | 9.23/206.7 | 7.2/28 |
| 48 | Vitellogenin-3 | 971408444 | 157 | 4 | 8.93/193.3 | 5.4/28 |
| 49 | Vitellogenin-3 | 971408444 | 112 | 2 | 8.93/193.3 | 5.6/28 |
| 74 | Vitellogenin-3 | 971408444 | 181 | 3 | 8.93/193.3 | 6.8/45 |
| 56 | Vitelline membrane outer layer protein-1 | 268370086 | 358 | 33 | 5.21/21.5 | 3.8/20 |
| 57 | Vitelline membrane outer layer protein-1 | 268370086 | 496 | 33 | 5.21/21.5 | 3.8/20 |
| 58 | Vitelline membrane outer layer protein-1 | 268370086 | 389 | 33 | 5.21/21.5 | 4.0/20 |
| 59 | Vitelline membrane outer layer protein-1 | 268370086 | 284 | 33 | 5.21/21.5 | 4.0/20 |
| 10 | Serum albumin | 63748 | 327 | 16 | 5.51/71.9 | 5.0/70 |
| 22 | Serum albumin | 63748 | 279 | 16 | 5.51/71.9 | 4.6/50 |
| 37 | Serum albumin | 63748 | 45 | 9 | 5.51/71.9 | 4.6/33 |
| 38 | Serum albumin | 63748 | 42 | 13 | 5.51/71.9 | 5.0/34 |
| 39 | Serum albumin | 63748 | 250 | 6 | 5.51/71.9 | 5.0/34 |
| 9 | PIT-54 | 13434994 | 327 | 36 | 4.61/52.7 | 3.9/68 |
| 70 | Beta-2-glycoprotein-1 precursor | 487439524 | 304 | 31 | 8.6/40.1 | 7.0/48.5 |
| 71 | Beta-2-glycoprotein-1 precursor | 487439524 | 373 | 31 | 8.6/40.1 | 7.1/48.5 |
| Parameters | Low Cholesterol Egg | High Cholesterol Egg |
|---|---|---|
| Cholesterol concentration (mg/g/egg) | 30.07 ± 1.147 | 40.27 ± 1.022 |
| Egg weight (g) | 45.30 ± 0.421 | 46.00 ± 0.487 |
| Yolk weight (g) | 13.57 ± 0.115 | 14.02 ± 0.326 |
| Egg shape index | 1.290 ± 0.005 | 1.297 ± 0.003 |
| Egg strength (mm) | 3.760 ± 0.078 | 3.957 ± 0.0866 |
| Haugh unit | 66.01 ± 0.904 | 65.49 ± 2.133 |
| Shell thickness (mm) | 38.26 ± 0.178 | 38.46 ± 0.283 |
| Specific gravity (gcm−3) | 13.89 ± 0.170 | 13.98 ± 0.018 |
| Albumin height (mm) | 4.150 ± 0.095 | 4.487 ± 0.132 |
| Color | 3.677 ± 0.117 | 3.783 ± 0.187 |
Publisher’s Note: MDPI stays neutral with regard to jurisdictional claims in published maps and institutional affiliations. |
© 2021 by the authors. Licensee MDPI, Basel, Switzerland. This article is an open access article distributed under the terms and conditions of the Creative Commons Attribution (CC BY) license (http://creativecommons.org/licenses/by/4.0/).
Share and Cite
Gul, H.; Chen, X.; Geng, Z. Comparative Yolk Proteomic Analysis of Fertilized Low and High Cholesterol Eggs during Embryonic Development. Animals 2021, 11, 744. https://doi.org/10.3390/ani11030744
Gul H, Chen X, Geng Z. Comparative Yolk Proteomic Analysis of Fertilized Low and High Cholesterol Eggs during Embryonic Development. Animals. 2021; 11(3):744. https://doi.org/10.3390/ani11030744
Chicago/Turabian StyleGul, Haji, Xingyong Chen, and Zhaoyu Geng. 2021. "Comparative Yolk Proteomic Analysis of Fertilized Low and High Cholesterol Eggs during Embryonic Development" Animals 11, no. 3: 744. https://doi.org/10.3390/ani11030744
APA StyleGul, H., Chen, X., & Geng, Z. (2021). Comparative Yolk Proteomic Analysis of Fertilized Low and High Cholesterol Eggs during Embryonic Development. Animals, 11(3), 744. https://doi.org/10.3390/ani11030744

