Optimal Flow—A Pilot Study Balancing Sheep Movement and Welfare in Abattoirs
Abstract
:Simple Summary
Abstract
1. Introduction
2. Materials and Methods
2.1. Study Site and Camera Set-Up
2.2. Sheep
2.3. Humans and Dogs
2.4. Video Sampling
2.5. Video Coding
2.6. Statistical Analysis
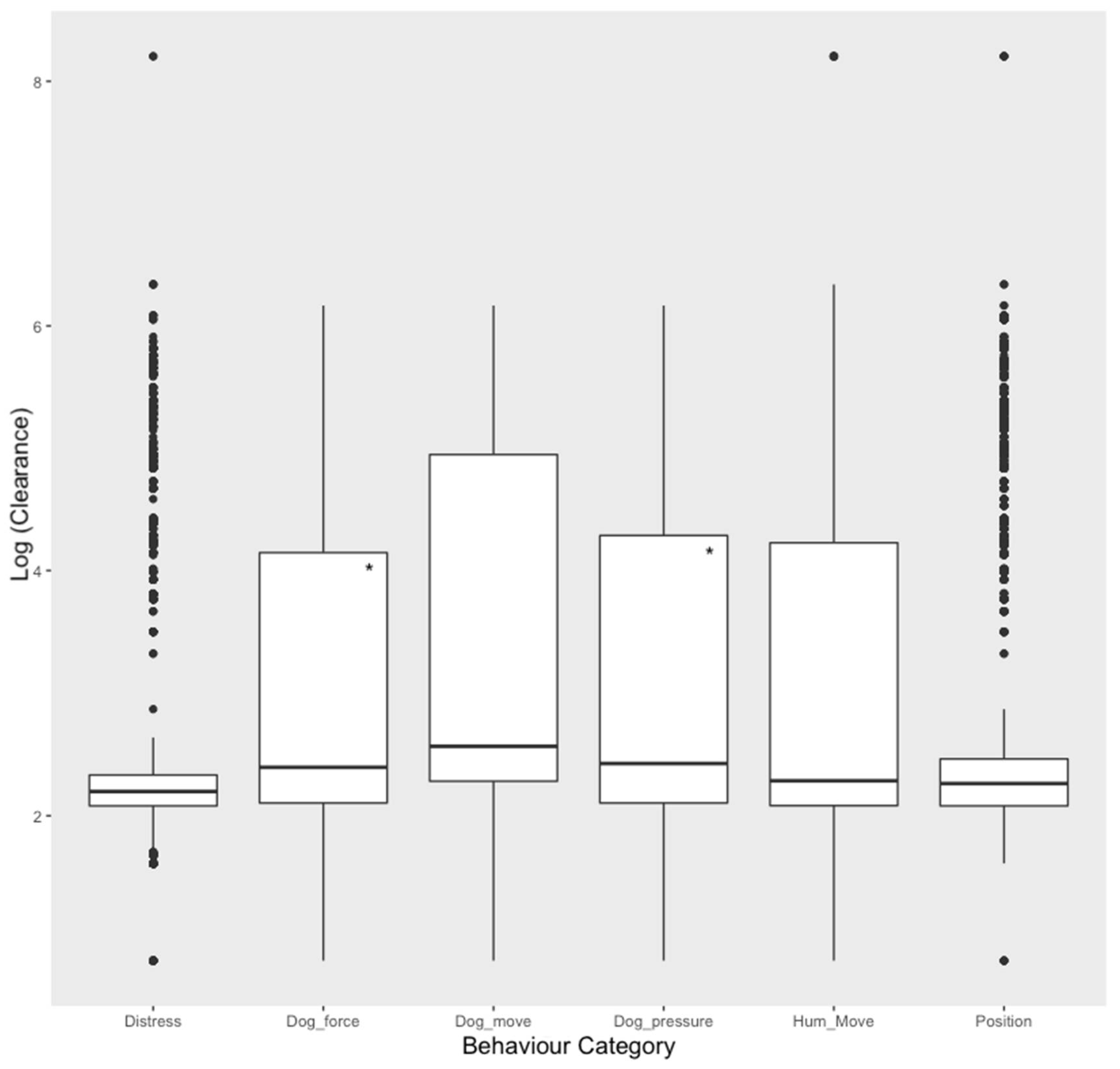
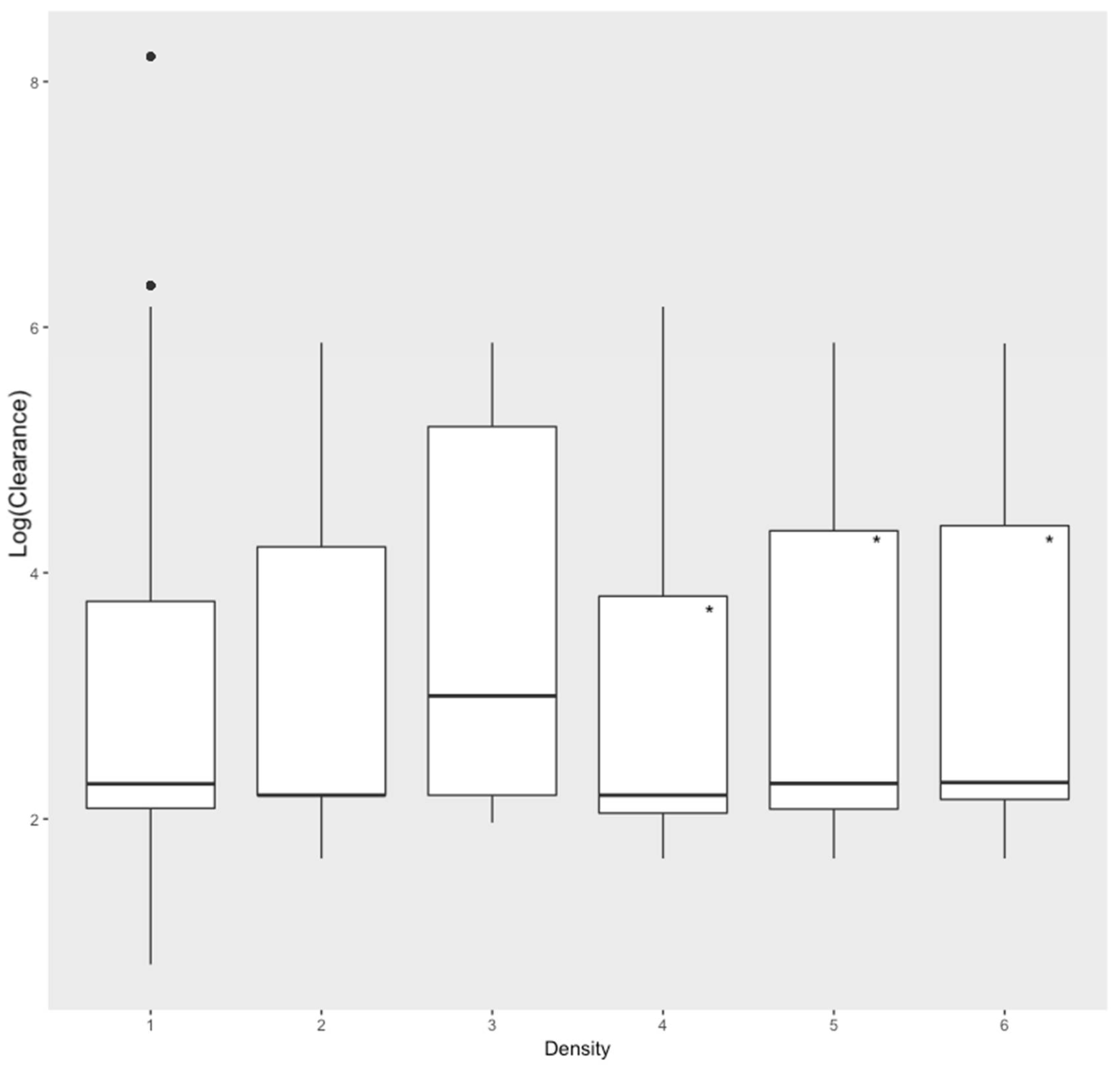
3. Results
4. Discussion
Future Research
5. Conclusions
Supplementary Materials
Author Contributions
Funding
Institutional Review Board Statement
Informed Consent Statement
Data Availability Statement
Acknowledgments
Conflicts of Interest
References
- Baldock, N.; Sibly, R.M. Effects of handling and transportation on the heart rate and behaviour of sheep. Appl. Anim. Behav. Sci. 1990, 28, 15–39. [Google Scholar] [CrossRef]
- Sutherland, M.A.; Worth, G.M.; Stuart, A.D.; Dobbie, P.M.; Clerens, S. Effect of pre-slaughter handling, exercise and the presence of a dog on lamb welfare and meat quality. Animal 2016, 10, 1360–1367. [Google Scholar] [CrossRef]
- Weeks, C.A. A review of welfare in cattle, sheep and pig lairages, with emphasis on stocking rates, ventilation and noise. Anim. Welf. 2008, 17, 275–284. [Google Scholar]
- Ferguson, D.M.; Warner, R.D. Have we underestimated the impact of pre-slaughter stress on meat quality in ruminants? Meat Sci. 2008, 80, 12–19. [Google Scholar] [CrossRef]
- Grandin, T. Humane Livestock Handling; Storey Publishing: North Adams, MA, USA, 2008. [Google Scholar]
- Beausoleil, N.J.; Stafford, K.J.; Mellor, D.J. Sheep show more aversion to a dog than to a human in an arena test. Appl. Anim. Behav. Sci. 2005, 91, 219–232. [Google Scholar] [CrossRef]
- Randomness and Integrity Services Ltd. RANDOM.ORG. 2013. Available online: https://www.random.org/clock-times/ (accessed on 15 August 2018).
- Hemsworth, P.H.; Rice, M.; Karlen, M.G.; Calleja, L.; Barnett, J.L.; Nash, J.; Coleman, G.J. Human-animal interactions at abattoirs: Relationships between handling and animal stress in sheep and cattle. Appl. Anim. Behav. Sci. 2011, 135, 24–33. [Google Scholar] [CrossRef]
- Wickham, H. ggplot2; Springer International Publishing: Cham, Switzerland, 2016. [Google Scholar]
- Fox, J.; Weisberg, S. An R Companion to Applied Regression, 3rd ed.; SAGE Publications: Thousand Oaks, CA, USA, 2019. [Google Scholar]
- Leeper, T.J. Prediction: Tidy, Type-Safe “Prediction()” Methods 2009. Available online: https://cran.r-project.org/web/packages/prediction/prediction.pdf (accessed on 15 August 2018).
- Bates, D.; Machler, M.; Bolker, B.; Walker, S. Fitting Linear Mixed-Effects Models Using lme4. J. Stat. Softw. 2015, 67, 1–48. [Google Scholar] [CrossRef]
- Brumback, B.A.; Ryan, L.M.; Schwartz, J.D.; Neas, L.M.; Stark, P.C.; Burge, H.A. Transitional Regression Models, with Application to Environmental Time Series. J. Am. Stat. Assoc. 2000, 95, 16–27. [Google Scholar] [CrossRef]
- Hansen, I.; Christiansen, F.; Hansen, H.; Braastad, B.; Bakken, M. Variation in behavioural responses of ewes towards predator-related stimuli. Appl. Anim. Behav. Sci. 2001, 70, 227–237. [Google Scholar] [CrossRef]
- Cockram, M.S. A review of behavioural and physiological responses of sheep to stressors to identify potential behavioural signs of distress. Anim. Welf. 2004, 13, 283–291. [Google Scholar]
- Ewbank, R. Behavioural responses to stress in farm animals. In Animal Stress; Springer: New York, NY, USA, 1985; pp. 71–79. [Google Scholar]
- Mendl, M.; Burman, O.; Parker, R.; Paul, E.S. Cognitive bias as an indicator of animal emotion and welfare: Emerging evidence and underlying mechanisms. Appl. Anim. Behav. Sci. 2009, 118, 161–181. [Google Scholar] [CrossRef]
- Coleman, G.J.; Rice, M.; Hemsworth, P.H. Human-animal relationships at sheep and cattle abattoirs. Anim. Welf. 2012, 21, 15–21. [Google Scholar] [CrossRef]





| Behaviour | Description | Type | Rationale for Collecting These Data | Category |
|---|---|---|---|---|
| Head Down | Sheep lowers head so its eyes are below level of the point of the scapula. | Event | Hemsworth et al. (2011) show that lowering the head below this point was significantly positively correlated with elevated cortisol. | Distress |
| Mount | Both front legs come off the ground and at least one is placed on top of another sheep. | Event | Probably occurs when sheep are under inescapable pressure. | Distress |
| Down | Sheep is in either lateral, ventral or dorsal recumbency. | Event | Often occurs in non-resting sheep when they are bunched very tightly. Risk of injury, bruises, stress. | Distress |
| Leap | All four feet are off the ground and the sheep is momentarily airborne. | Event | Escape behaviour, associated with startling or feature of ground surface that the sheep aims to avoid (e.g., high-contrast flooring). | Distress |
| Circling | Majority of the sheep in the pen are in physical contact with another sheep and at least some of the group is moving in either a clockwise or anti-clockwise direction, with moving sheep consistently turning in towards centre of group. Each moving sheep is in contact with another moving sheep, forming a circle. | State | Bunching may be comforting to sheep but, if they start to move away from a stimulus, they may fail to get far enough away from it for comfort. In the absence of consummation, the circular movement may become relentless. | Distress |
| Staring | At least one sheep’s gaze is fixed on a dog or human. Sheep may glance away, but for only an instant before fixating again. One record for every occurrence on camera. Duration is measured by starting when the first sheep’s gaze lasts for longer than a second and ending when the last sheep looks away for more than a second. | State | Vigilance towards a particular stimulus, probably indicating that stimulus is threatening or interesting. | Distress |
| Turn Back | Sheep at the front of the mob turn around to face the back of the mob and move against the flow. | Event | This reflects poor facility design because it primarily occurs when sheep see no way forward, or when something in front of them disquiets them (Grandin, 1990). | Distress |
| Jam | In opening to single-file race or within the single-file race itself, where sheep are not moving forward or backward because two or more individuals are jammed together against the sides of the race. | Event | A jam decelerates the flow, and may cause sheep behind to turn back. Sometimes direct human or canine intervention is required, so sheep are touched or pushed. | Distress |
| Empty Race | Applicable only to single-file race, where the last sheep’s hindquarters remain visible at the top of the frame, but no sheep can be seen at the bottom of the frame. | State | Reveals interrupted flow in the single-file race, primarily because of a jam at the forcing pen. | Distress |
| Head Under | One sheep has lowered its head and then moved forward so its head is under the ventrum of another sheep. Indicated by one sheep being lifted off front or hind feet by the sheep underneath. May start as head down, but considered separate behaviour where there is a pause of at least 1-s between head down and the sheep moving forwards to the head under position. | Event | Similar to head down, but the sheep has also moved forward while in close proximity to other sheep. | Distress |
| Foot stamp | Sheep lifts one front foot and brings it down to the ground forcefully in the same place, without moving other feet. One record for each occurrence. | Event | This is considered a defensive behaviour, usually in the presence of predators (Hansen et al., 2001). | Distress |
| Slam | Running sheep makes sufficient impact with infrastructure that they rebound off it. One record for every occurrence | Event | This may bruise carcasses (most commonly at the flank or on the chest), and is typically seen when sheep are fleeing from a dog. | Distress |
| Back up in Race | Applicable only to single-file race, where at least one sheep in frame reverses with both front and hindfeet so that at least one full stride is taken backwards. | Event | Amounts to disrupted flow in single-file race, either as a result of a stock person moving ahead of or alongside sheep. | Distress |
| Kick | Sheep hindfoot strikes out behind, with associated leg fully extended, and makes contact with dog, human or another sheep. One record for every | Event | Recorded rarely, but presumed to be an offensive behaviour coupled with escape. | Distress |
| Clearing Pen | From when gate is opened until either pen is clear of sheep or gate is closed again. | State | This provides a measure of the latency to clear a pen. | Movement |
| Stationary | Sheep are waiting in a pen and not being actively moved to the next pen or stage. Started when all gates are closed after sheep have entered a new pen. Stopped when gate is opened immediately prior to sheep moving to a new pen. | State | This provides a measure of the duration of sheep as they idle in a pen before being moved, and whether this rest period affects how easily they can subsequently be moved. | Movement |
| Density 2 Free | Sheep occupation of space is such that there is more than one sheep-body-width of empty space in each direction surrounding the majority of the sheep in the group. | State | - | Space |
| Density 3 Loose | Sheep occupation of space is such that there is approximately one sheep-body-width in two directions surrounding the majority of the sheep in the group. | State | - | Space |
| Density 4 Moderate | Less than one sheep-body-width in at least one direction surrounding the majority of sheep in the group, but sufficient empty space around the sheep to allow sideways or forward movements that create the space for a single sheep in the group to pass between two other sheep in the group. | State | - | Space |
| Density 5 Bunched | No visible empty space between sheep flanks, but empty space is visible in front or behind of the majority of the sheep in the group. | State | - | Space |
| Density 6 Packed | No empty space visible in any direction surrounding the majority of the sheep in the group. | State | - | Space |
| Behaviour | Description | Type | Rationale | Category |
|---|---|---|---|---|
| Rush | Dog rushes from outside flight zone * for a distance of at least one sheep-body-length towards sheep and may snap or jump at them. | Event | Dogs that do this are penetrating well into the sheep’s flight zone and sheep may not have the opportunity to escape from them. | Force |
| Parked | One or more dog is stationary in same pen as sheep. Dog may make adjustments in position involving less than two sheep-body-lengths. Recorded as duration. | State | The stationed dog is passive, but puts pressure on sheep by its presence. If the dog is stationed too close, the sheep may mount or turn to face the dog. | Pressure |
| Back | Dog jumps onto and travels over backs of sheep. | Event | - | Pressure |
| Walking | Dog is walking, defined as a four-beat gait. Recorded as duration. | State | - | Dog movement |
| Stalking | Dog is stalking, with the body lowered, head up or lowered and extended forward, ears erect, on top of head and pointing forward, tail below back level and motionless. Forward motion is slow to medium in a four-beat gait. Recorded as duration. | State | - | Dog movement |
| Trotting | Dog is trotting, defined as a two-beat gait. Recorded as duration. | State | - | Dog movement |
| Canter | Dog is cantering, defined as a three-beat gait. Recorded as duration. | State | - | Dog movement |
| In flight zone | Dog is within one sheep-body-length of sheep. Recorded as duration. | State | - | Force |
| Outside of flight zone | Dog more than one sheep-body-length from sheep. Recorded as duration. | State | - | Pressure |
| Gaze | Dog is looking in fixed direction. | State | Gaze direction indicates what the dog is most likely to be responding to. | Human-dog interaction |
| Physical contact | Dog’s head, mouth or sternum makes physical contact with sheep. | Event | - | Force |
| Behaviour | Modifiers | Description | Type | Category |
| Distance from sheep | Outside of flight zone | Handler is further than one sheep-body-length from any sheep present. | State | Position |
| Distance from sheep | Inside of flight zone | Handler is within one sheep-body-length of any sheep present. | State | Position |
| Position along race/mob | Near head of mob | Handler is within one sheep-body-length of the sheep at the front of the mob. | State | Position |
| - | Near rear of mob | Handler is within one sheep-body-length of the sheep at the rear of the mob (sheep farthest from intended direction). | State | Position |
| Movement | Same direction as mob | Handler is moving in the same direction as sheep. | State | Human movement |
| - | Neutral movement | Handler is moving but neither in the same or opposite direction as sheep. | State | Human movement |
| - | Opposite direction as sheep | Handler is moving in the opposite direction to sheep movement. | State | Human movement |
| Arm position | Forearms protracted | Handler has forearms above hipline, upper arms by sides (including arms folded). | State | Human movement |
| - | Whole arm protracted | Handler has both upper and lower arm raised or outstretched. | State | Human movement |
| Arm movement | One arm moving | Handler is moving one arm. | Event | Human movement |
| - | Both arms moving | Handler is moving both arms. | Event | Human movement |
| Plastic bag/bell use | Held but not in use | Handler has a plastic bag or bell but is not shaking the object. | Event | Object interaction |
| - | In use | Handler has a plastic bag or bell and is shaking the object. | Event | Object interaction |
| Gaze direction | Sheep | Time handler spends with face and eyes (if visible) pointing directly at sheep. | State | Object interaction |
| - | Dog | Time handler spends with face and eyes (if visible) pointing directly at dog. | State | Object interaction |
| Gate manipulation | Handler opens gate—no jamming | Handler opens a gate within or between races, without physically pushing against sheep. | Event | Object interaction |
| - | Handler opens gate—jamming | Handler opens a gate within or between races, gate is physically pushed against one or more sheep. | Event | Object interaction |
| - | Handler shuts gate—no jamming | Handler shuts a gate within or between races without physically pushing against sheep. | Event | Object interaction |
| - | Handler shuts gate—jamming | Handler shuts a gate within or between races, gate is physically pushed against one or more sheep. | Event | Object interaction |
| Foot touch | - | Handler touches sheep with foot. | Event | Animal directed |
| Touching sheep | - | Handler touches a sheep with one hand. | Event | Animal directed |
| Grabbing sheep | - | Handler grabs or touches a sheep with both hands. | Event | Animal directed |
| Touching dog | - | Handler pats, rubs or scratches dog. | Event | Animal directed |
| Factor | Estimate | Standard Error | t-Value |
|---|---|---|---|
| (Intercept) | 3.83 | 0.52 | 7.43 |
| Dog_force | −0.11 | 0.03 | −4.32 |
| Dog_pressure | −0.11 | 0.02 | −4.75 |
| Sheep_movement | 0.13 | 0.04 | 3.44 |
| Space | 0.14 | 0.02 | 5.89 |
| Moderate (Density4) | 0.17 | 0.05 | 3.87 |
| Bunched (Density5) | 0.10 | 0.04 | 2.17 |
| Packed (Density6) | 0.22 | 0.05 | 4.72 |
| Number_start | <0.01 | <0.01 * | −2.61 |
| Density1: Num_start | 0.01 | <0.01 * | 4.19 |
| Density3: Num_start | 0.01 | <0.01 * | 2.63 |
| Density5: Num_start | <0.01 * | <0.01 * | 3.11 |
| Density6: Num_start | <0.01 * | <0.01 * | 3.79 |
| Factor | Distress | Dog Force | Dog Move | Dog Pressure | Human-Dog | Human Move | Movement |
|---|---|---|---|---|---|---|---|
| (Intercept) | 17.98 | −9.45 | −4.39 | −5.60 | −12.63 | 15.66 | 7.79 |
| SE | 0.37 | 0.46 | 0.46 | 0.48 | 0.52 | 0.29 | 0.60 |
| p-Value | <0.01 * | <0.01 * | <0.01 * | <0.01 * | <0.01 * | <0.01 * | <0.01 * |
| Clearance | −3.19 | 3.20 | 2.09 | −1.45 | −6.72 | −1.89 | −9.71 |
| SE | 0.18 | 0.20 | 0.19 | 0.23 | 0.11 | 0.14 | 0.23 |
| p-Value | <0.01 * | <0.01 * | <0.01 * | <0.01 * | <0.01 * | <0.01 * | <0.01 * |
| Density1 | −15.80 | 9.35 | 3.24 | 5.92 | 10.61 | −13.75 | −9.31 |
| SE | 0.36 | 0.53 | 0.51 | 0.48 | 0.48 | 0.27 | 0.47 |
| p-Value | <0.01 * | <0.01 * | <0.01 * | <0.01 * | <0.01 * | <0.01 * | <0.01 * |
| Density3 | 19.61 | −37.92 | 14.82 | 19.63 | 5.68 | −4.01 | −3.32 |
| SE | 0.34 | 0.04 | 0.23 | 0.13 | <0.01 | 0.20 | 0.39 |
| p-Value | <0.01 * | <0.01 * | <0.01 * | <0.01 * | <0.01 * | <0.01 * | <0.01 * |
| Density4 | −18.10 | 0.75 | −1.78 | 2.81 | −9.58 | −16.11 | −13.15 |
| SE | 0.42 | 0.70 | 0.82 | 0.85 | <0.01 | 0.40 | 0.53 |
| p-Value | <0.01 * | 0.29 | 0.03 | <0.01 * | <0.01 * | <0.01 * | <0.01 * |
| Density5 | −17.12 | 9.11 | 3.65 | 4.13 | −6.56 | −15.50 | −10.48 |
| SE | 0.39 | 0.57 | 0.52 | 0.36 | 0.43 | 0.35 | 0.53 |
| p-Value | <0.01 * | <0.01 * | <0.01 * | <0.01 * | <0.01 * | <0.01 * | <0.01 * |
| Density6 | −15.53 | 10.38 | −5.36 | 6.02 | −0.51 | −13.58 | −31.72 |
| SE | 0.40 | 0.44 | 0.32 | 0.40 | 0.41 | 0.34 | 0.45 |
| p-Value | <0.01 * | <0.01 * | <0.01 * | <0.01 * | 0.21 | <0.01 * | <0.01 * |
| Num_start | <0.01 | <0.01 | <0.01 | <0.01 | <0.01 | <0.01 | −0.01 |
| SE | <0.01 | <0.01 | <0.01 | <0.01 | <0.01 | <0.01 | <0.01 |
| p-Value | 0.30 | 0.81 | 0.24 | 0.28 | 0.11 | 0.04 | <0.01 * |
| Clearance × Density1 | 2.43 | −4.01 | −2.56 | 0.60 | 0.97 | 1.72 | 9.87 |
| SE | 0.18 | 0.19 | 0.16 | 0.21 | 0.12 | 0.14 | 0.22 |
| p-Value | <0.01 * | <0.01 * | <0.01 * | <0.01 * | <0.01 * | <0.01 * | <0.01 * |
| Clearance × Density3 | 4.89 | 10.82 | 0.02 | −14.65 | 7.23 | 4.75 | 11.85 |
| SE | 0.18 | 0.22 | 0.20 | 0.25 | <0.01* | 0.18 | 0.27 |
| p-Value | <0.01 * | <0.01 * | 0.93 | <0.01 * | <0.01 * | <0.01 * | <0.01 * |
| Clearance × Density4 | 2.94 | −2.14 | −1.28 | 1.57 | −1.13 | 2.12 | 10.44 |
| SE | 0.20 | 0.26 | 0.24 | 0.28 | <0.01 * | 0.16 | 0.24 |
| p-Value | <0.01 * | <0.01 * | <0.01 * | <0.01 * | <0.01 * | <0.01 * | <0.01 * |
| Clearance × Density5 | 2.74 | −3.56 | −2.28 | 1.00 | 1.68 | 2.04 | 10.22 |
| SE | 0.19 | 0.20 | 0.17 | 0.21 | 0.15 | 0.15 | 0.22 |
| p-Value | <0.01 * | <0.01 * | <0.01 * | <0.01 * | <0.01 * | <0.01 * | <0.01 * |
| Clearance × Density6 | 2.80 | −3.68 | −2.45 | 0.95 | 0.99 | 1.77 | 9.96 |
| SE | 0.18 | 0.20 | 0.17 | 0.22 | 0.15 | 0.15 | 0.22 |
| p-Value | <0.01 * | <0.01 * | <0.01 * | <0.01 * | <0.01 * | <0.01 * | <0.01 * |
Publisher’s Note: MDPI stays neutral with regard to jurisdictional claims in published maps and institutional affiliations. |
© 2021 by the authors. Licensee MDPI, Basel, Switzerland. This article is an open access article distributed under the terms and conditions of the Creative Commons Attribution (CC BY) license (http://creativecommons.org/licenses/by/4.0/).
Share and Cite
Starling, M.J.; Payne, E.; McGreevy, P. Optimal Flow—A Pilot Study Balancing Sheep Movement and Welfare in Abattoirs. Animals 2021, 11, 344. https://doi.org/10.3390/ani11020344
Starling MJ, Payne E, McGreevy P. Optimal Flow—A Pilot Study Balancing Sheep Movement and Welfare in Abattoirs. Animals. 2021; 11(2):344. https://doi.org/10.3390/ani11020344
Chicago/Turabian StyleStarling, Melissa J., Elyssa Payne, and Paul McGreevy. 2021. "Optimal Flow—A Pilot Study Balancing Sheep Movement and Welfare in Abattoirs" Animals 11, no. 2: 344. https://doi.org/10.3390/ani11020344
APA StyleStarling, M. J., Payne, E., & McGreevy, P. (2021). Optimal Flow—A Pilot Study Balancing Sheep Movement and Welfare in Abattoirs. Animals, 11(2), 344. https://doi.org/10.3390/ani11020344

