Concentration-Dependent Type 1 Interferon-Induced Regulation of MX1 and FABP3 in Bovine Endometrial Explants
Abstract
Simple Summary
Abstract
1. Introduction
- (a)
- Test the inducibility of type 1 interferon receptor subunits 1/2 (IFNAR1/2);
- (b)
- Mimic a competitive situation between the embryonic signal IFNτ and other type 1 interferons (exemplarily IFNα) in the presence of progesterone (P4);
- (c)
- Simulate exemplarily classical and non-classical type 1 interferon signaling pathways.
2. Materials and Methods
2.1. Donor Cows and Sample Criteria
2.2. Sample Collection
2.3. Bacteriological Examination
2.4. Cytological Examination
2.5. Leukocyte Esterase Test
2.6. Endometrial Explant Culture
2.7. Determination of Tissue Viability
2.8. Gene Expression Analysis
2.9. Statistical Analysis and Graphical Illustration
3. Results
3.1. Characterization of Sampled Uteri
3.2. Successful Application of the Highly Defined Endometrial Explant Model
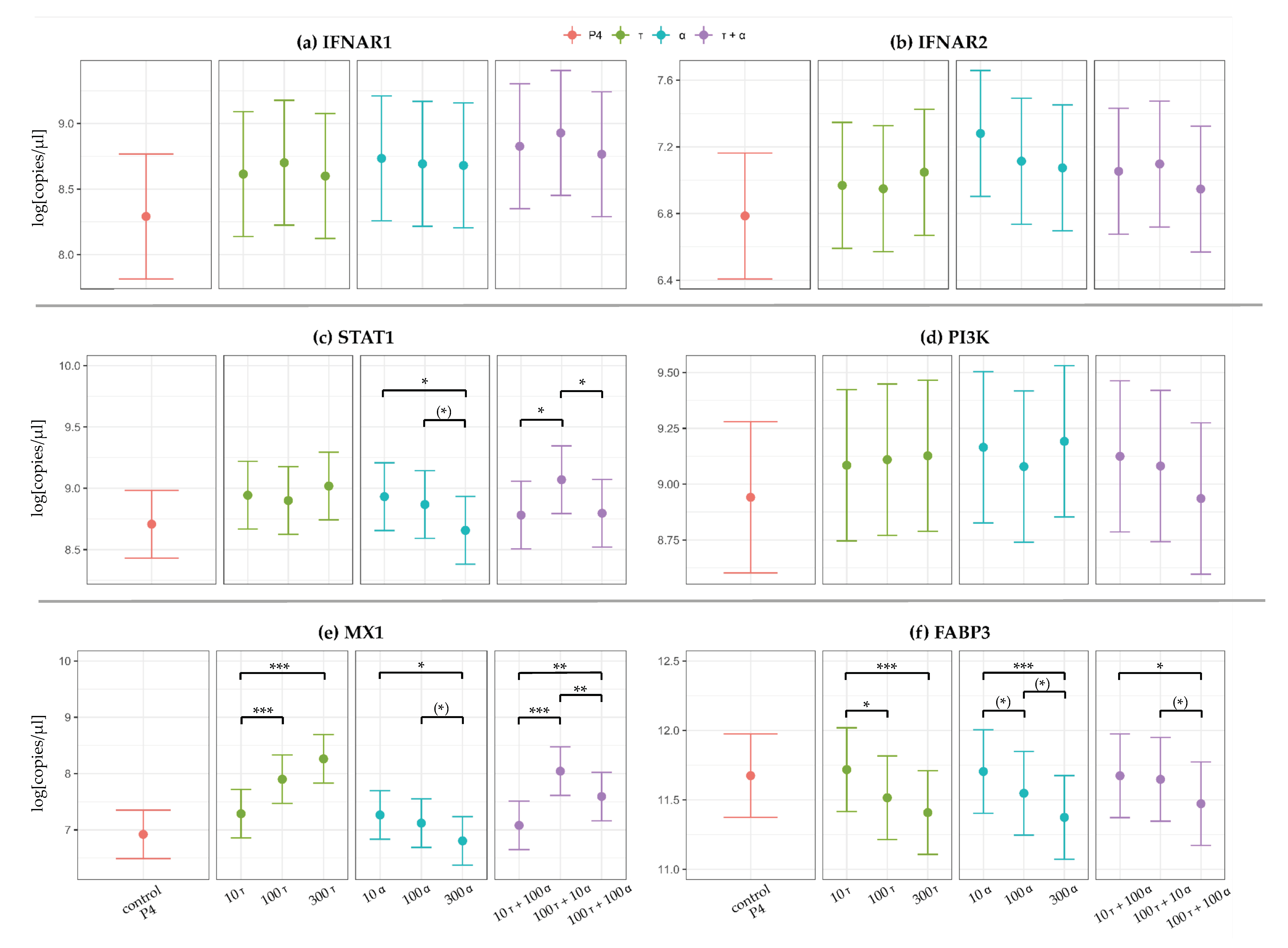
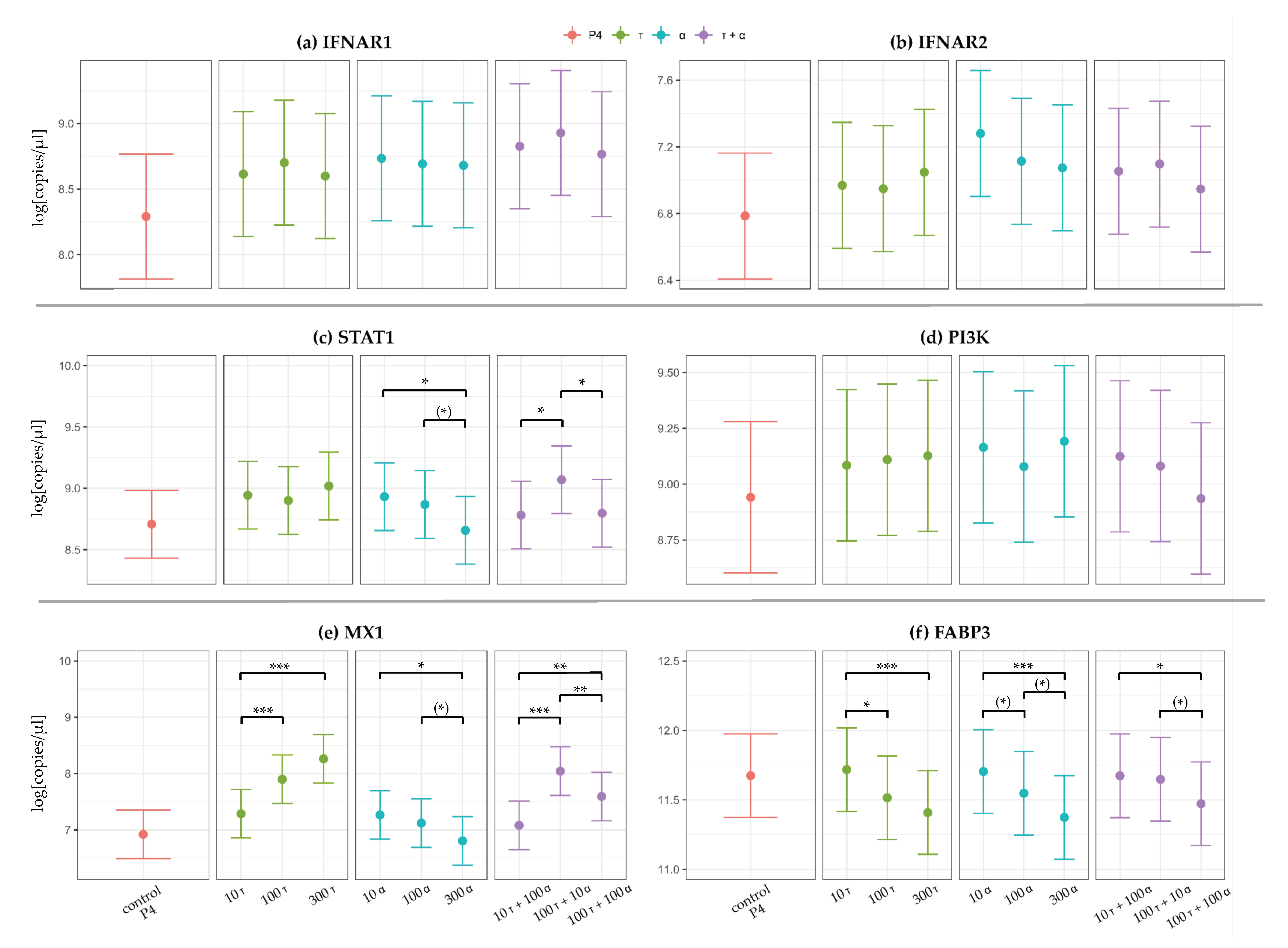
3.2.1. Higher Expression of IFNAR1 and IFNAR2 After IFNα Challenge
3.2.2. IFNα Concentration-Dependent Gene Expression in STAT1
3.2.3. Type 1 Interferon-Specific, Concentration-Dependent Regulation of MX1 and FABP3
4. Discussion
5. Conclusions
Supplementary Materials
Author Contributions
Funding
Institutional Review Board Statement
Data Availability Statement
Acknowledgments
Conflicts of Interest
References
- Bugueiro, A.; Fouz, R.; Camino, F.; Yus, E.; Diéguez, F.J. Robot milking and relationship with culling rate in dairy cows. Animal 2019, 13, 1304–1310. [Google Scholar] [CrossRef]
- Bascom, S.S.; Young, A.J. A Summary of the Reasons Why Farmers Cull Cows. J. Dairy Sci. 1998, 81, 2299–2305. [Google Scholar] [CrossRef]
- Hansen, P.J.; Soto, P.; Natzke, R.P. Mastitis and Fertility in Cattle—Possible Involvement of Inflammation or Immune Activation in Embryonic Mortality*. Am. J. Reprod. Immunol. 2004, 51, 294–301. [Google Scholar] [CrossRef]
- Hill, J.R.; Gilbert, R. Reduced quality of bovine embryos cultured in media conditioned by exposure to an inflamed endometrium. Aust. Vet. J. 2008, 86, 312–316. [Google Scholar] [CrossRef]
- Sheldon, I.; Noakes, D.; Rycroft, A.; Pfeiffer, D.; Dobson, H. Influence of uterine bacterial contamination after parturition on ovarian dominant follicle selection and follicle growth and function in cattle. Reproduction 2002, 123, 837–845. [Google Scholar] [CrossRef]
- Kasimanickam, R.; Duffield, T.; Foster, R.; Gartley, C.; Leslie, K.; Walton, J.; Johnson, W. Endometrial cytology and ultrasonography for the detection of subclinical endometritis in postpartum dairy cows. Theriogenology 2004, 62, 9–23. [Google Scholar] [CrossRef]
- Sheldon, I.M.; Lewis, G.S.; Leblanc, S.; Gilbert, R.O. Defining postpartum uterine disease in cattle. Theriogenology 2006, 65, 1516–1530. [Google Scholar] [CrossRef] [PubMed]
- Wathes, D.C.; Oguejiofor, C.F.; Thomas, C.; Cheng, Z.; Tomas, C. Importance of Viral Disease in Dairy Cow Fertility. Engineering 2020, 6, 26–33. [Google Scholar] [CrossRef] [PubMed]
- Gür, S.; Doğan, N. The possible role of bovine herpesvirus type-4 infection in cow infertility. Anim. Sci. J. 2010, 81, 304–308. [Google Scholar] [CrossRef] [PubMed]
- Cheng, Z.; Chauhan, L.; Barry, A.; Abudureyimu, A.; Oguejiofor, C.; Chen, X.; Wathes, D.C. Acute bovine viral diarrhoea virus infection inhibits expression of interferon tau-stimulated genes in bovine endometrium. Biol. Reprod. 2017, 96, 1142–1153. [Google Scholar] [CrossRef]
- Lechner, I.; Wüthrich, M.; Meylan, M.; Borne, B.H.P.V.D.; Schüpbach-Regula, G. Association of clinical signs after acute Schmallenberg virus infection with milk production and fertility in Swiss dairy cows. Prev. Vet. Med. 2017, 146, 121–129. [Google Scholar] [CrossRef] [PubMed]
- Santman-Berends, I.; Hage, J.; Van Rijn, P.A.; Stegeman, J.; Van Schaik, G. Bluetongue virus serotype 8 (BTV-8) infection reduces fertility of Dutch dairy cattle and is vertically transmitted to offspring. Theriogenology 2010, 74, 1377–1384. [Google Scholar] [CrossRef] [PubMed]
- Sreenan, J.; Diskin, M.; Morris, D. Embryo survival rate in cattle: A major limitation to the achievement of high fertility. BSAP Occas. Publ. 2001, 26, 93–104. [Google Scholar] [CrossRef]
- Diskin, M.G.; Murphy, J.; Sreenan, J. Embryo survival in dairy cows managed under pastoral conditions. Anim. Reprod. Sci. 2006, 96, 297–311. [Google Scholar] [CrossRef] [PubMed]
- Sreenan, J.M.; Diskin, M.G. Early embryonic mortality in the cow: Its relationship with progesterone concentration. Vet. Rec. 1983, 112, 517–521. [Google Scholar] [CrossRef]
- Talukder, A.K.; Marey, M.A.; Shirasuna, K.; Kusama, K.; Shimada, M.; Imakawa, K.; Miyamoto, A. Roadmap to pregnancy in the first 7 days post-insemination in the cow: Immune crosstalk in the corpus luteum, oviduct, and uterus. Theriogenology 2020, 150, 313–320. [Google Scholar] [CrossRef]
- Fair, T. The Contribution of the Maternal Immune System to the Establishment of Pregnancy in Cattle. Front. Immunol. 2015, 6, 7. [Google Scholar] [CrossRef]
- Platanias, L.C. Mechanisms of type-I- and type-II-interferon-mediated signalling. Nat. Rev. Immunol. 2005, 5, 375–386. [Google Scholar] [CrossRef]
- Pestka, S.; Krause, C.D.; Walter, M.R. Interferons, interferon-like cytokines, and their receptors. Immunol. Rev. 2004, 202, 8–32. [Google Scholar] [CrossRef]
- Roberts, R.; Ealy, A.; Alexenko, A.; Han, C.-S.; Ezashi, T. Trophoblast Interferons. Placenta 1999, 20, 259–264. [Google Scholar] [CrossRef]
- Jiang, K.; Chen, X.; Zhao, G.; Wu, H.; Mi, J.; Qiu, C.; Peng, X.; Deng, G. IFN-τ Plays an Anti-Inflammatory Role in Staphylococcus aureus-Induced Endometritis in Mice Through the Suppression of NF-κB Pathway and MMP9 Expression. J. Interf. Cytokine Res. 2017, 37, 81–89. [Google Scholar] [CrossRef] [PubMed]
- Østrup, E.; Hyttel, P.; Østrup, O. Embryo-maternal communication: Signalling before and during placentation in cattle and pig. Reprod. Fertil. Dev. 2011, 23, 964–975. [Google Scholar] [CrossRef] [PubMed]
- Wu, G.; Spencer, T.E.; Ott, T.L. Placental Interferons. Am. J. Reprod. Immunol. 1996, 35, 297–308. [Google Scholar] [CrossRef]
- Spencer, T.E.; Forde, N.; Dorniak, P.; Hansen, T.R.; Romero, J.J.; Lonergan, P. Conceptus-derived prostaglandins regulate gene expression in the endometrium prior to pregnancy recognition in ruminants. Reproduction 2013, 146, 377–387. [Google Scholar] [CrossRef]
- Oliveira, J.F.; Henkes, L.E.; Ashley, R.L.; Purcell, S.H.; Smirnova, N.P.; Veeramachaneni, D.N.R.; Anthony, R.V.; Hansen, T.R. Expression of Interferon (IFN)-Stimulated Genes in Extrauterine Tissues during Early Pregnancy in Sheep Is the Consequence of Endocrine IFN-τ Release from the Uterine Vein. Endocrinology 2008, 149, 1252–1259. [Google Scholar] [CrossRef]
- Kunii, H.; Koyama, K.; Ito, T.; Suzuki, T.; Balboula, A.Z.; Shirozu, T.; Bai, H.; Nagano, M.; Kawahara, M.; Takahashi, M. Hot topic: Pregnancy-induced expression of interferon-stimulated genes in the cervical and vaginal mucosal membranes. J. Dairy Sci. 2018, 101, 8396–8400. [Google Scholar] [CrossRef]
- Spencer, T.E.; Johnson, G.A.; Bazer, F.W.; Burghardt, R.C.; Palmarini, M. Pregnancy recognition and conceptus implantation in domestic ruminants: Roles of progesterone, interferons and endogenous retroviruses. Reprod. Fertil. Dev. 2007, 19, 65–78. [Google Scholar] [CrossRef]
- Martins, T.; Pugliesi, G.; Sponchiado, M.; Gonella-Diaza, A.M.; Ojeda-Rojas, O.A.; Rodriguez, F.D.; Ramos, R.D.S.; Basso, A.C.; Binelli, M. Perturbations in the uterine luminal fluid composition are detrimental to pregnancy establishment in cattle. J. Anim. Sci. Biotechnol. 2018, 9, 70. [Google Scholar] [CrossRef]
- Bauersachs, S.; Wolf, E. Uterine Responses to the Preattachment Embryo in Domestic Ungulates: Recognition of Pregnancy and Preparation for Implantation. Annu. Rev. Anim. Biosci. 2015, 3, 489–511. [Google Scholar] [CrossRef]
- Rashid, M.B.; Talukder, A.K.; Kusama, K.; Haneda, S.; Takedomi, T.; Yoshino, H.; Moriyasu, S.; Matsui, M.; Shimada, M.; Imakawa, K.; et al. Evidence that interferon-tau secreted from Day-7 embryo in vivo generates anti-inflammatory immune response in the bovine uterus. Biochem. Biophys. Res. Commun. 2018, 500, 879–884. [Google Scholar] [CrossRef]
- Talukder, A.K.; Yousef, M.S.; Rashid, M.B.; Awai, K.; Acosta, T.J.; Shimizu, T.; Okuda, K.; Shimada, M.; Imakawa, K.; Miyamoto, A. Bovine embryo induces an anti-inflammatory response in uterine epithelial cells and immune cells in vitro: Possible involvement of interferon tau as an intermediator. J. Reprod. Dev. 2017, 63, 425–434. [Google Scholar] [CrossRef] [PubMed]
- Ott, T.L. Immunological detection of pregnancy: Evidence for systemic immune modulation during early pregnancy in ruminants. Theriogenology 2020, 150, 498–503. [Google Scholar] [CrossRef] [PubMed]
- Kim, M.-S.; Min, K.-S.; Imakawa, K. Regulation of Interferon-stimulated Gene (ISG)12, ISG15, and MX1 and MX2 by Conceptus Interferons (IFNTs) in Bovine Uterine Epithelial Cells. Asian-Australas. J. Anim. Sci. 2013, 26, 795–803. [Google Scholar] [CrossRef] [PubMed]
- Toji, N.; Shigeno, S.; Kizaki, K.; Koshi, K.; Matsuda, H.; Hashiyada, Y.; Imai, K.; Takahashi, T.; Ishiguro-Oonuma, T.; Hashizume, K. Evaluation of interferon-stimulated genes in peripheral blood granulocytes as sensitive responders to bovine early conceptus signals. Vet. J. 2017, 229, 37–44. [Google Scholar] [CrossRef] [PubMed]
- Bauersachs, S.; E Ulbrich, S.; Gross, K.; Schmidt, S.E.M.; Meyer, H.H.D.; Wenigerkind, H.; Vermehren, M.; Sinowatz, F.; Blum, H.; Wolf, E. Embryo-induced transcriptome changes in bovine endometrium reveal species-specific and common molecular markers of uterine receptivity. Reproduction 2006, 132, 319–331. [Google Scholar] [CrossRef] [PubMed]
- Wu, G.; Burghardt, R.C.; Johnson, G.A.; Spencer, T.E.; Wu, G. Interferons and progesterone for establishment and maintenance of pregnancy: Interactions among novel cell signaling pathways. Reprod. Biol. 2008, 8, 179–211. [Google Scholar] [CrossRef]
- Bauersachs, S.; Ulbrich, S.E.; Reichenbach, H.-D.; Reichenbach, M.; Büttner, M.; Meyer, H.H.; Spencer, T.E.; Minten, M.; Sax, G.; Winter, G.; et al. Comparison of the Effects of Early Pregnancy with Human Interferon, Alpha 2 (IFNA2), on Gene Expression in Bovine Endometrium1. Biol. Reprod. 2012, 86, 46. [Google Scholar] [CrossRef]
- Mansouri-Attia, N.; Sandra, O.; Aubert, J.; Degrelle, S.; Everts, R.E.; Giraud-Delville, C.; Heyman, Y.; Galio, L.; Hue, I.; Yang, X.; et al. Endometrium as an early sensor of in vitro embryo manipulation technologies. Proc. Natl. Acad. Sci. USA 2009, 106, 5687–5692. [Google Scholar] [CrossRef]
- Borges, Á.M.; Healey, G.D.; Sheldon, I.M. Explants of Intact Endometrium to Model Bovine Innate Immunity and Inflammation Ex Vivo. Am. J. Reprod. Immunol. 2012, 67, 526–539. [Google Scholar] [CrossRef]
- Helfrich, A.L.; Reichenbach, H.-D.; Meyerholz, M.M.; Schoon, H.-A.; Arnold, G.J.; Fröhlich, T.; Weber, F.; Zerbe, H. Novel sampling procedure to characterize bovine subclinical endometritis by uterine secretions and tissue. Theriogenology 2020, 141, 186–196. [Google Scholar] [CrossRef]
- Melcher, Y.; Prunner, I.; Drillich, M. Degree of variation and reproducibility of different methods for the diagnosis of subclinical endometritis. Theriogenology 2014, 82, 57–63. [Google Scholar] [CrossRef] [PubMed]
- Madoz, L.; Giuliodori, M.J.; Jaureguiberry, M.; Plöntzke, J.; Drillich, M.; De La Sota, R. The relationship between endometrial cytology during estrous cycle and cutoff points for the diagnosis of subclinical endometritis in grazing dairy cows. J. Dairy Sci. 2013, 96, 4333–4339. [Google Scholar] [CrossRef] [PubMed]
- Van Schyndel, S.J.; Pascottini, O.B.; Leblanc, S. Comparison of cow-side diagnostic techniques for subclinical endometritis in dairy cows. Theriogenology 2018, 120, 117–122. [Google Scholar] [CrossRef] [PubMed]
- Cheong, S.H.; Nydam, D.; Galvão, K.; Crosier, B.; Ricci, A.; Caixeta, L.; Sper, R.; Fraga, M.; Gilbert, R. Use of reagent test strips for diagnosis of endometritis in dairy cows. Theriogenology 2012, 77, 858–864. [Google Scholar] [CrossRef] [PubMed]
- Schabmeyer, S.; Kneidl, A.; Schneider, J.; Weber, F.; Kirsch, S.; Petzl, W.; Zerbe, H.; Schuberth, H.-J.; Meyerholz, M.M. Reduced circumfluent oxygen concentration increases cell functionality of bovine endometrial tissue explants in vitro. Reprod. Domest. Anim. 2020, 55, 26. [Google Scholar] [CrossRef]
- Haeger, J.-D.; Loch, C.; Pfarrer, C. The newly established bovine endometrial gland cell line (BEGC) forms gland acini in vitro and is only IFNτ-responsive (MAPK42/44 activation) after E 2 and P 4 -pre-incubation. Placenta 2018, 67, 61–69. [Google Scholar] [CrossRef]
- Toji, N.; Koshi, K.; Furusawa, T.; Takahashi, T.; Ishiguro-Oonuma, T.; Kizaki, K.; Hashizume, K. A cell-based interferon-tau assay with an interferon-stimulated gene 15 promoter. Biomed. Res. 2018, 39, 13–20. [Google Scholar] [CrossRef]
- Mathew, D.J.; Sánchez, J.; Passaro, C.; Charpigny, G.; Behura, S.K.; Spencer, T.E.; Lonergan, P. Interferon tau-dependent and independent effects of the bovine conceptus on the endometrial transcriptome†. Biol. Reprod. 2019, 100, 365–380. [Google Scholar] [CrossRef]
- Schäfer, W.R.; Fischer, L.; Roth, K.; Jüllig, A.K.; Stuckenschneider, J.E.; Schwartz, P.; Weimer, M.; Orlowska-Volk, M.; Hanjalic-Beck, A.; Kranz, I.; et al. Critical evaluation of human endometrial explants as an ex vivo model system: A molecular approach. Mol. Hum. Reprod. 2010, 17, 255–265. [Google Scholar] [CrossRef]
- A Bersinger, N.; Genewein, E.M.; Müller, O.; Altermatt, H.J.; McKinnon, B.; Mueller, M.D. Morphology of human endometrial explants and secretion of stromal marker proteins in short- and long-term cultures. Gynecol. Surg. 2009, 7, 75–80. [Google Scholar] [CrossRef]
- Wallace, R.M.; Hart, M.L.; Egen, T.E.; Schmelzle, A.; Smith, M.F.; Pohler, K.G.; Green, J.A. Bovine pregnancy associated glycoproteins can alter selected transcripts in bovine endometrial explants. Theriogenology 2019, 131, 123–132. [Google Scholar] [CrossRef] [PubMed]
- Takino, T.; Okamura, T.; Ando, T.; Hagiwara, K. Change in the responsiveness of interferon-stimulated genes during early pregnancy in cows with Borna virus-1 infection. BMC Vet. Res. 2016, 12, 1–4. [Google Scholar] [CrossRef]
- Forde, N.; Duffy, G.B.; Mcgettigan, P.A.; Browne, J.A.; Mehta, J.P.; Kelly, A.K.; Mansouri-Attia, N.; Sandra, O.; Loftus, B.J.; Crowe, M.A.; et al. Evidence for an early endometrial response to pregnancy in cattle: Both dependent upon and independent of interferon tau. Physiol. Genom. 2012, 44, 799–810. [Google Scholar] [CrossRef] [PubMed]
- Forde, N.; Carter, F.; Spencer, T.; Bazer, F.; Sandra, O.; Mansouri-Attia, N.; Okumu, L.; Mcgettigan, P.; Mehta, J.; McBride, R.; et al. Conceptus-Induced Changes in the Endometrial Transcriptome: How Soon Does the Cow Know She Is Pregnant?1. Biol. Reprod. 2011, 85, 144–156. [Google Scholar] [CrossRef] [PubMed]
- Hansen, T.R.; Sinedino, L.D.P.; E Spencer, T. Paracrine and endocrine actions of interferon tau (IFNT). Reproduction 2017, 154, F45–F59. [Google Scholar] [CrossRef] [PubMed]
- Talukder, A.K.; Rashid, M.B.; Yousef, M.S.; Kusama, K.; Shimizu, T.; Shimada, M.; Suarez, S.S.; Imakawa, K.; Miyamoto, A. Oviduct epithelium induces interferon-tau in bovine Day-4 embryos, which generates an anti-inflammatory response in immune cells. Sci. Rep. 2018, 8, 7850. [Google Scholar] [CrossRef] [PubMed]
- Chethan, S.G.; Singh, S.K.; Nongsiej, J.; Rakesh, H.B.; Singh, R.P.; Kumar, N.; Agarwal, S.K. IFN-τActs in a Dose-Dependent Manner on Prostaglandin Production by Buffalo Endometrial Stromal Cells Culturedin vitro. Reprod. Domest. Anim. 2014, 49, 403–408. [Google Scholar] [CrossRef] [PubMed]
- Spencer, T.E.; Forde, N.; Lonergan, P. The role of progesterone and conceptus-derived factors in uterine biology during early pregnancy in ruminants. J. Dairy Sci. 2016, 99, 5941–5950. [Google Scholar] [CrossRef]
- Spencer, T.E.; Hansen, T.R. Implantation and Establishment of Pregnancy in Ruminants. In Transformations in the Facial Region of the Human Embryo; Springer Nature: Berlin, Germany, 2015; Volume 216, pp. 105–135. [Google Scholar]
- Spencer, T.E.; Sandra, O.; Wolf, E. Genes involved in conceptus–endometrial interactions in ruminants: Insights from reductionism and thoughts on holistic approaches. Reproduction 2008, 135, 165–179. [Google Scholar] [CrossRef]
- Brooks, K.; Burns, G.; Spencer, T.E. Conceptus elongation in ruminants: Roles of progesterone, prostaglandin, interferon tau and cortisol. J. Anim. Sci. Biotechnol. 2014, 5, 53. [Google Scholar] [CrossRef]
- Dorniak, P.; Bazer, F.W.; Spencer, T.E. Physiology and Endocrinology Symposium: Biological role of interferon tau in endometrial function and conceptus elongation. J. Anim. Sci. 2013, 91, 1627–1638. [Google Scholar] [CrossRef] [PubMed]


| Gene | Accession Number | Forward (F) and Reverse (R) primer (5´‑3’) | Fragment Size |
|---|---|---|---|
| IFNAR1 1 | NM_174552.2 | F: ACAGGCGGAATAAAGGGAGC R: AAGGCAGGTCCAATGACAGG | 683 bp |
| IFNAR2 2 | NM_174553.2 | F: GTGGGTAAACACGACGGACA R: CTCGTCTGGGTCGAAAGAGG | 419 bp |
| STAT1 3 | NM_001077900.1 | F: CGGTCCCAAAATGGAGGTGA R: ACATGCCACTCTTCTGTGTTCA | 308 bp |
| PI3K 4 | NM_174575.1 | F: CTGAAGCAGACAGTGAGCAA R: CCAAGGAGGCGGTATCACAA | 207 bp |
| MX1 5 | NM_173940.2 | F: TTGGGAATGAAGACGAGTGG R: CCTCTGTGGTAGCGATGTCC | 342 bp |
| FABP3 6 | NM_174313.2 | F: TCGGTGTCGGTTTTGCTACC R: TCAACCATCTCCCGCACAAG | 262 bp |
Publisher’s Note: MDPI stays neutral with regard to jurisdictional claims in published maps and institutional affiliations. |
© 2021 by the authors. Licensee MDPI, Basel, Switzerland. This article is an open access article distributed under the terms and conditions of the Creative Commons Attribution (CC BY) license (http://creativecommons.org/licenses/by/4.0/).
Share and Cite
Schabmeyer, S.T.; Kneidl, A.M.; Schneider, J.K.; Kirsch, S.; Zablotski, Y.; Petzl, W.; Weber, F.; Zerbe, H.; Meyerholz, M.M. Concentration-Dependent Type 1 Interferon-Induced Regulation of MX1 and FABP3 in Bovine Endometrial Explants. Animals 2021, 11, 262. https://doi.org/10.3390/ani11020262
Schabmeyer ST, Kneidl AM, Schneider JK, Kirsch S, Zablotski Y, Petzl W, Weber F, Zerbe H, Meyerholz MM. Concentration-Dependent Type 1 Interferon-Induced Regulation of MX1 and FABP3 in Bovine Endometrial Explants. Animals. 2021; 11(2):262. https://doi.org/10.3390/ani11020262
Chicago/Turabian StyleSchabmeyer, Simone Tamara, Anna Maria Kneidl, Julia Katharina Schneider, Sandra Kirsch, Yury Zablotski, Wolfram Petzl, Frank Weber, Holm Zerbe, and Marie Margarete Meyerholz. 2021. "Concentration-Dependent Type 1 Interferon-Induced Regulation of MX1 and FABP3 in Bovine Endometrial Explants" Animals 11, no. 2: 262. https://doi.org/10.3390/ani11020262
APA StyleSchabmeyer, S. T., Kneidl, A. M., Schneider, J. K., Kirsch, S., Zablotski, Y., Petzl, W., Weber, F., Zerbe, H., & Meyerholz, M. M. (2021). Concentration-Dependent Type 1 Interferon-Induced Regulation of MX1 and FABP3 in Bovine Endometrial Explants. Animals, 11(2), 262. https://doi.org/10.3390/ani11020262

