Pellets Inoculated with Bacillus amyloliquefaciens H57 Modulates Diet Preference and Rumen Factors Associated with Appetite Regulation in Steers
Abstract
:Simple Summary
Abstract
1. Introduction
2. Materials and Methods
2.1. Animals and Experimental Design
2.2. Preparation of Beef Feedlot Pellets
2.3. Sample Collection and Measurements
2.4. Cell Counting Procedure for H57 Spore and Vegetative
2.5. Chemical Analysis
2.6. Statistical Analysis
3. Results
3.1. Daily Feed Intake and Short-Term Preference Tests
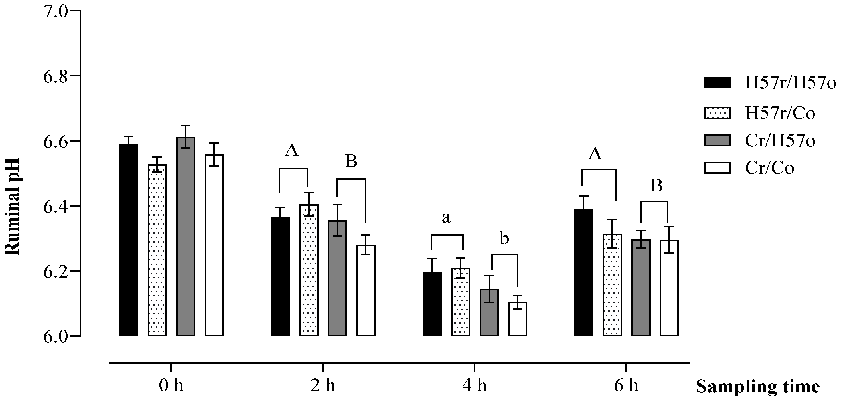
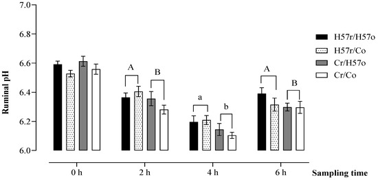
3.2. Ruminal pH
3.3. Total Concentration and Molar Proportion of Individual VFAs in the Rumen
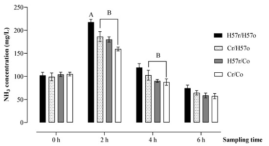
3.4. Ruminal Ammonia
4. Discussion
5. Conclusions
Author Contributions
Funding
Institutional Review Board Statement
Informed Consent Statement
Data Availability Statement
Acknowledgments
Conflicts of Interest
References
- National Research Council (NRC). Feed Intake. In Effect of Environment on Nutrient Requirements of Domestic Animals; National Academies Press: Washington, DC, USA, 1981. [Google Scholar]
- Renaudeau, D.; Collin, A.; Yahav, S.; De Basilio, V.; Gourdine, J.L.; Collier, R.J. Adaptation to hot climate and strategies to alleviate heat stress in livestock production. Animal 2012, 6, 707–728. [Google Scholar] [CrossRef] [Green Version]
- Bajagai, Y.S.; Klieve, A.V.; Dart, P.J.; Bryden, W.L. Probiotics in Animal Nutrition: Production, Impact and Regulation; The Food and Agriculture Organization of the United Nations: Rome, Italy, 2016; Volume 179. [Google Scholar]
- Mingmongkolchai, S.; Panbangred, W. Bacillus probiotics: An alternative to antibiotics for livestock production. J. Appl. Microbiol. 2018, 124, 1334–1346. [Google Scholar] [CrossRef]
- Elghandour, M.M.Y.; Salem, A.Z.M.; Castañeda, J.S.M.; Camacho, L.M.; Kholif, A.E.; Chagoyán, J.C.V. Direct-fed microbes: A tool for improving the utilization of low quality roughages in ruminants. J. Integr. Agric. 2015, 14, 526–533. [Google Scholar] [CrossRef]
- Frizzo, L.S.; Zbrun, M.V.; Soto, L.P.; Signorini, M.L. Effects of probiotics on growth performance in young calves: A meta-analysis of randomized controlled trials. Anim. Feed. Sci. Technol. 2011, 169, 147–156. [Google Scholar] [CrossRef]
- Ramsing, E.M.; Davidson, J.A.; French, P.D.; Yoon, I.; Keller, M.; Peters-Fleckenstein, H. Effects of yeast culture on peripartum intake and milk production of primiparous and multiparous holstein cows. Prof. Anim. 2009, 25, 487–495. [Google Scholar] [CrossRef]
- Yuan, K.; Liang, T.; Muckey, M.B.; Mendonça, L.G.D.; Hulbert, L.E.; Elrod, C.C.; Bradford, B.J. Yeast product supplementation modulated feeding behavior and metabolism in transition dairy cows. J. Dairy Sci. 2015, 98, 532–540. [Google Scholar] [CrossRef] [Green Version]
- Kowalski, Z.M.; Górka, P.; Schlagheck, A.; Jagusiak, W.; Micek, P.; Strzetelski, J. Performance of Holstein calves fed milk-replacer and starter mixture supplemented with probiotic feed additive. J. Anim. Feed. Sci. 2009, 18, 399–411. [Google Scholar] [CrossRef]
- Le, O.T.; Schofield, B.; Dart, P.J.; Callaghan, M.J.; Lisle, A.T.; Ouwerkerk, D.; Klieve, A.V.; McNeill, D.M. Production responses of reproducing ewes to a by-product-based diet inoculated with the probiotic Bacillus amyloliquefaciens strain H57. Anim. Prod. Sci. 2016, 57, 1097–1105. [Google Scholar] [CrossRef]
- Le, O.T.; Dart, P.J.; Harper, K.; Zhang, D.; Schofield, B.; Callaghan, M.J.; Lisle, A.T.; Klieve, A.V.; McNeill, D.M. Effect of probiotic Bacillus amyloliquefaciens strain H57 on productivity and the incidence of diarrhoea in dairy calves. Anim. Prod. Sci. 2016, 57, 912–919. [Google Scholar] [CrossRef]
- Brown, S.; Dart, P. Testing Hay Treated with Mould-Inhibiting, Biocontrol Inoculum: Microbial Inoculant for Hay; Rural Industries Research and Development Corporation: Kingston, ACT, Australia, 2005. [Google Scholar]
- Le, O.T.; Dart, P.J.; Callaghan, M.J.; Klieve, A.V.; McNeill, D.M. Preference of weaner calves for pellets is improved by inclusion of Bacillus amyloliquefaciens spores as an ingredient. In Proceedings of the 31st Biennial Conference of the Australian Society for Animal Production, Adelaide, Australia, 4–7 July 2017; p. 2016. [Google Scholar]
- Provenza, F.D. Postingestive feedback as an elementary determinant of food preference and intake in ruminants. J. Range Manag. 1995, 48, 2–17. [Google Scholar] [CrossRef] [Green Version]
- Favreau, A.; Ginane, C.; Baumont, R. Feeding behaviour of sheep fed lucerne v. grass hays with controlled post-ingestive consequences. Animal 2010, 4, 1368–1377. [Google Scholar] [CrossRef] [PubMed] [Green Version]
- Favreau, A.; Baumont, R.; Ginane, C. Food sensory characteristics: Their unconsidered roles in the feeding behaviour of domestic ruminants. Animal 2013, 7, 806–813. [Google Scholar] [CrossRef] [PubMed] [Green Version]
- Baumont, R. Palatability and feeding behaviour in ruminants. A review. Ann. Zootech. 1996, 45, 385–400. [Google Scholar] [CrossRef]
- Bach, A.; Villalba, J.J.; Ipharraguerre, I.R. Interactions between mild nutrient imbalance and taste preferences in young ruminants. J. Anim. Sci. 2012, 90, 1015–1025. [Google Scholar] [CrossRef] [Green Version]
- Villalba, J.J.; Provenza, F.D. Postingestive feedback from starch influences the ingestive behaviour of sheep consuming wheat straw. Appl. Anim. Behav. Sci. 2000, 66, 49–63. [Google Scholar] [CrossRef]
- Forbes, J.M.; Barrio, J.P. Abdominal chemo- and mechanosensitivity in ruminants and its role in the control of food intake. Exp. Physiol. 1992, 77, 27–50. [Google Scholar] [CrossRef]
- Forbes, J.M. Feedbacks from the gastrointestinal tract. In Voluntary Food Intake and Diet Selection in Farm Animals; CABI Publishing: Wallingford, UK, 2007. [Google Scholar]
- Faverdin, P. The Effect of Nutrients on Feed Intake in Ruminants; Cambridge University Press: Cambridge, UK, 1999; pp. 523–531. [Google Scholar]
- Oba, M.; Allen, M.S. Intraruminal infusion of propionate alters feeding behavior and decreases energy intake of lactating dairy cows. J. Nutr. 2003, 133, 1094–1099. [Google Scholar] [CrossRef]
- Marden, J.P.; Julien, C.; Monteils, V.; Auclair, E.; Moncoulon, R.; Bayourthe, C. How does live yeast differ from sodium bicarbonate to stabilize ruminal pH in high-yielding dairy cows? J. Dairy Sci. 2008, 91, 3528–3535. [Google Scholar] [CrossRef] [Green Version]
- Seo, J.-K.; Kim, S.-W.; Kim, M.-H.; Upadhaya, S.D.; Kam, D.-K.; Ha, J.-K. Direct-fed microbials for ruminant animals. Asian-australas. J. Anim. 2010, 23, 1657–1667. [Google Scholar] [CrossRef]
- Retta, K.S. Role of probiotics in rumen fermentation and animal performance: A review. Int. J. Livest. Prod 2016, 7, 24–32. [Google Scholar]
- Van Soest, P.J. Function of the ruminant forestomach. In Nutritional Ecology of the Ruminant; Cornell University Press: New York, NY, USA, 1994; pp. 230–252. [Google Scholar]
- Bell, F.R. Preference thresholds for taste discrimination in goats. J. Agric. Sci. 1959, 52, 125–128. [Google Scholar] [CrossRef]
- Schofield, B.J. Microbial community structure and functionality in ruminants fed the probiotic Bacillus amyloliquefaciens H57. Ph.D. Thesis, The University of Queensland, Bisbane, Australia, 2017. [Google Scholar]
- Harrigan, W.F.; Margaret, E.M. Laboratory Methods in Microbiology; Academic Press: London, UK, 1966; pp. 106–133. [Google Scholar]
- Ridley-ARC. Evaluation of Bacillus amyloliquefaciens H57 as a Probiotic in Livestock Using Animal Nutrition Studies and Metagenomics; The University of Queensland: Brisbane, QLD, Australia, 2017; pp. 100–101. [Google Scholar]
- Association of Official Analytical Chemists (AOAC). Official Methods of Analysis, 18th ed.; Association of Official Analytical Chemists: Arlington, VA, USA, 2006. [Google Scholar]
- Van Soest, P.J.; Robertson, J.B.; Lewis, B.A. Methods for dietary fiber, neutral detergent fiber, and nonstarch polysaccharides in relation to animal nutrition. J. Dairy Sci. 1991, 74, 3583–3597. [Google Scholar] [CrossRef]
- Handel, I.G. Statistics for Veterinary and Animal Science; Wiley-Blackwell: New Jersey, NJ, USA, 2013; Volume 173. [Google Scholar]
- SAS. SAS/STAT User’s Guide, Version 9.4; SAS Institute Inc.: Cary, NC, USA, 2015. [Google Scholar]
- Miller-Cushon, E.K.; Montoro, C.; Ipharraguerre, I.R.; Bach, A. Dietary preference in dairy calves for feed ingredients high in energy and protein. J. Dairy Sci. 2014, 97, 1634–1644. [Google Scholar] [CrossRef] [PubMed] [Green Version]
- Dart, P. Storage evaluation of the effect of Bacillus amyloliquefaciens H57 on the control of fungal contamination in Ridley feed formulated pellets. Rep. Ridley AgriProducts 2011, 15528, 1–21. [Google Scholar]
- Schofield, B.J.; Skarshewski, A.; Lachner, N.; Ouwerkerk, D.; Klieve, A.V.; Dart, P.; Hugenholtz, P. Near complete genome sequence of the animal feed probiotic, Bacillus amyloliquefaciens H57. Stand. Genom. 2016, 11, 60. [Google Scholar] [CrossRef] [Green Version]
- Giger-Reverdin, S. Recent advances in the understanding of subacute ruminal acidosis (SARA) in goats, with focus on the link to feeding behaviour. Small Rumin. Res. 2017, 163, 24–28. [Google Scholar] [CrossRef]
- Ryle, M.; Ørskov, E.R. Manipulation of rumen fermentation and associative effects. In Energy Nutrition in Ruminants; Springer: Dordrecht, The Netherlands, 1990; pp. 28–42. [Google Scholar]
- Nocek, J.E.; Kautz, W.P.; Leedle, J.A.Z.; Allman, J.G. Ruminal supplementation of direct-fed microbials on diurnal pH variation and in situ digestion in dairy cattle. J. Dairy Sci. 2002, 85, 429–433. [Google Scholar] [CrossRef]
- Bruno, R.G.S.; Rutigliano, H.; Cerri, R.L.; Robinson, P.H.; Santos, J.E.P. Effect of feeding yeast culture on reproduction and lameness in dairy cows under heat stress. Anim. Reprod. Sci. 2009, 113, 11–21. [Google Scholar] [CrossRef]
- Sun, P.; Wang, J.Q.; Deng, L.F. Effects of Bacillus subtilis natto on milk production, rumen fermentation and ruminal microbiome of dairy cows. Animal 2013, 7, 216–222. [Google Scholar] [CrossRef] [PubMed] [Green Version]
- Peng, H.; Wang, J.Q.; Kang, H.Y.; Dong, S.H.; Sun, P.; Bu, D.P.; Zhou, L.Y. Effect of feeding Bacillus subtilis natto fermentation product on milk production and composition, blood metabolites and rumen fermentation in early lactation dairy cows. J. Anim. Physiol. Anim. Nutr. (Berl.) 2012, 96, 506–512. [Google Scholar] [CrossRef]
- Krebs, G.; Leng, R. The effect of supplementation with molasses/urea blocks on ruminal digestion. Anim. Prod. Sci. 1984, 14, 704–705. [Google Scholar]
- Liu, Q.; Wang, C.; Huang, Y.; Dong, K.; Wang, H.; Yang, W. Effects of isobutyrate on rumen fermentation, urinary excretion of purine derivatives and digestibility in steers. Arch. Anim. Nutr. 2008, 62, 377–388. [Google Scholar] [CrossRef] [PubMed]
- Liu, Q.; Wang, C.; Yang, W.Z.; Zhang, B.; Yang, X.M.; He, D.C.; Zhang, P.; Dong, K.H.; Huang, Y.X. Effects of isobutyrate on rumen fermentation, lactation performance and plasma characteristics in dairy cows. Anim. Feed. Sci. Technol. 2009, 154, 58–67. [Google Scholar] [CrossRef]
- Wang, C.; Liu, Q.; Zhang, Y.L.; Pei, C.X.; Zhang, S.L.; Wang, Y.X.; Yang, W.Z.; Bai, Y.S.; Shi, Z.G.; Liu, X.N. Effects of isobutyrate supplementation on ruminal microflora, rumen enzyme activities and methane emissions in Simmental steers. J. Anim. Physiol. Anim. Nutr. (Berl.) 2015, 99, 123–131. [Google Scholar] [CrossRef]
- Liu, Q.; Wang, C.; Zhang, Y.L.; Pei, C.X.; Zhang, S.L.; Wang, Y.X.; Zhang, Z.W.; Yang, W.Z.; Wang, H.; Guo, G.; et al. Effects of isovalerate supplementation on growth performance and ruminal fermentation in pre- and post-weaning dairy calves. J. Agric. Sci. 2016, 154, 1499–1508. [Google Scholar] [CrossRef]
- El-Shazly, K. Degradation of protein in the rumen of the sheep: Some volatile fatty acids, including branched-chain isomers, found in vivo. Biochem. J. 51, 640–647. [CrossRef] [PubMed] [Green Version]
- Chiquette, J.; Allison, M.J.; Rasmussen, M.A. Prevotella bryantii 25A used as a probiotic in early-lactation dairy cows: Effect on ruminal fermentation characteristics, milk production, and milk composition. J. Dairy Sci. 2008, 91, 3536–3543. [Google Scholar] [CrossRef] [PubMed]
- Villalba, J.J.; Provenza, F.D. Preference for wheat straw by lambs conditioned with intraruminal infusions of starch. Br. J. Nutr. 1997, 77, 287–297. [Google Scholar] [CrossRef] [Green Version]
- Preston, T.R. Better Utilization of Crop Residues and By-Products in Animal Feeding: Research Guidelines. 2. A Practical Manual for Research Workers; FAO: Rome, Italy, 1986; pp. 106–133. [Google Scholar]
- Qiao, G.H.; Shan, A.S.; Ma, N.; Ma, Q.Q.; Sun, Z.W. Effect of supplemental Bacillus cultures on rumen fermentation and milk yield in Chinese Holstein cows. J. Anim. Physiol. Anim. Nutr. (Berl.) 2010, 94, 429–436. [Google Scholar] [CrossRef]
- Griswold, K.E.; White, B.A.; Mackie, R.I. Diversity of extracellular proteolytic activities among Prevotella species from the rumen. Curr. Microbiol. 1999, 39, 187–194. [Google Scholar] [CrossRef]






| Control Pellets | H57 Pellets | Rhodes Grass Hay | |
|---|---|---|---|
| Ingredients (g/kg, as-fed basis) | |||
| Sorghum grain | 494 | 494 | - |
| Barley | 350 | 350 | - |
| Wheat | 50 | 50 | - |
| Cottonseed meal | 45 | 45 | - |
| Molasses | 30 | 30 | - |
| Limestone | 15 | 15 | - |
| Urea | 5 | 5 | - |
| Salt | 10 | 10 | - |
| Premix 1 | 1 | 1 | - |
| H57 spores (cfu/g pellet, as fed) | - | 1 × 106 | - |
| Chemical component (% dry matter, DM) | |||
| Dry matter (%) | 89.4 | 89.4 | 91.5 |
| Crude protein | 14.6 | 14.4 | 11.4 |
| Fat | 2.7 | 2.8 | 2.2 |
| Acid detergent fiber | 5.4 | 3.8 | 38.3 |
| Neutral detergent fiber | 9.6 | 8.5 | 57.7 |
| Lignin | 1.8 | 1.1 | 5.1 |
| Starch | 54.3 | 56.3 | 1.6 |
| Ash | 5.4 | 4.9 | 11.4 |
| Potassium | 0.54 | 0.56 | 1.75 |
| Chloride | 0.63 | 0.97 | 2.09 |
| Sodium | 0.30 | 0.58 | 1.03 |
| Calcium | 0.82 | 0.86 | 0.30 |
| Phosphorus | 0.36 | 0.38 | 0.31 |
| Ion (ppm) | 69 | 63 | 164 |
| Zinc (ppm) | 61 | 71 | 27 |
| Metabolisable energy (MJ/kg DM) | 13.4 | 13.8 | 8.7 |
| Voluntary Intake | Treatments | S.E.M. | p-Value | |||
|---|---|---|---|---|---|---|
| H57r/H57o | H57r/Co | Cr/H57o | Cr/Co | |||
| Intake over a 5 min preference test (kg DM/5 min) | ||||||
| H57 pellets | 1.84 | 1.78 | 1.77 | 1.73 | 0.07 | 0.74 |
| C pellets | 1.42 | 1.39 | 1.37 | 1.41 | 0.09 | 0.97 |
| Total pellets | 3.27 | 3.17 | 3.14 | 3.15 | 0.12 | 0.87 |
| Intake over 24 h (kg DM/24 h) | ||||||
| Pellets | 6.49 | 6.38 | 6.41 | 6.40 | 0.12 | 0.90 |
| Hay | 8.22 | 7.78 | 7.82 | 7.52 | 0.32 | 0.52 |
| Pellets plus hay | 14.72 | 14.16 | 14.23 | 13.92 | 0.39 | 0.56 |
Publisher’s Note: MDPI stays neutral with regard to jurisdictional claims in published maps and institutional affiliations. |
© 2021 by the authors. Licensee MDPI, Basel, Switzerland. This article is an open access article distributed under the terms and conditions of the Creative Commons Attribution (CC BY) license (https://creativecommons.org/licenses/by/4.0/).
Share and Cite
Ngo, T.T.; Bang, N.N.; Dart, P.; Callaghan, M.; Klieve, A.; McNeill, D. Pellets Inoculated with Bacillus amyloliquefaciens H57 Modulates Diet Preference and Rumen Factors Associated with Appetite Regulation in Steers. Animals 2021, 11, 3455. https://doi.org/10.3390/ani11123455
Ngo TT, Bang NN, Dart P, Callaghan M, Klieve A, McNeill D. Pellets Inoculated with Bacillus amyloliquefaciens H57 Modulates Diet Preference and Rumen Factors Associated with Appetite Regulation in Steers. Animals. 2021; 11(12):3455. https://doi.org/10.3390/ani11123455
Chicago/Turabian StyleNgo, Thi Thuy, Nguyen N. Bang, Peter Dart, Matthew Callaghan, Athol Klieve, and David McNeill. 2021. "Pellets Inoculated with Bacillus amyloliquefaciens H57 Modulates Diet Preference and Rumen Factors Associated with Appetite Regulation in Steers" Animals 11, no. 12: 3455. https://doi.org/10.3390/ani11123455
APA StyleNgo, T. T., Bang, N. N., Dart, P., Callaghan, M., Klieve, A., & McNeill, D. (2021). Pellets Inoculated with Bacillus amyloliquefaciens H57 Modulates Diet Preference and Rumen Factors Associated with Appetite Regulation in Steers. Animals, 11(12), 3455. https://doi.org/10.3390/ani11123455

