Early Detection of Locomotion Disorders in Gilts Using a Novel Visual Analogue Scale; Associations with Chronic Stress and Reproduction
Abstract
:Simple Summary
Abstract
1. Introduction
2. Materials and Methods
2.1. Ethical Approval
2.2. Animals and Housing
2.3. Locomotion Scoring
2.3.1. Categorical Locomotion Scoring (CAT)
2.3.2. Visual Analogue Scales
- Overall locomotion scoring
- Component locomotion scoring
2.4. Hair Collection and Subsequent Hair Cortisol Concentration Analysis
2.5. Reproductive Performance
2.6. Statistical Analysis
2.6.1. Comparison of Scoring Methods over Time
2.6.2. Associations between OVERALL and Locomotion Components
2.6.3. Associations between OVERALL, Hair Cortisol Concentration, and Reproductive Performance
3. Results
3.1. Comparison of Scoring Methods over Time
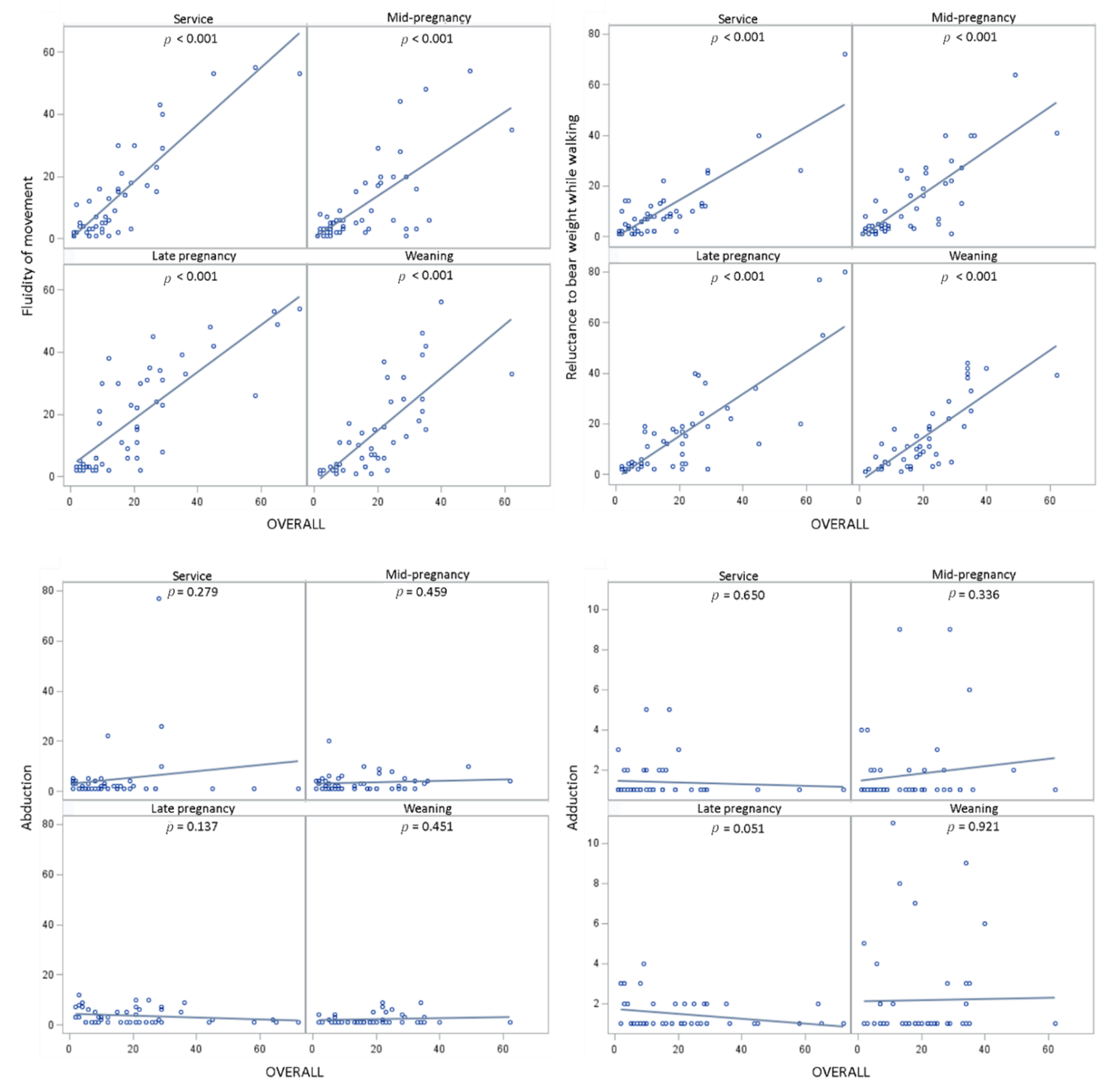
3.2. Associations between OVERALL and Locomotion Components
3.3. Associations between OVERALL, Hair Cortisol Concentration, and Reproductive Performance
4. Discussion
5. Conclusions
Author Contributions
Funding
Institutional Review Board Statement
Data Availability Statement
Acknowledgments
Conflicts of Interest
Appendix A




References
- D’Eath, R. Repeated locomotion scoring of a sow herd to measure lameness: Consistency over time, the effect of sow characteristics and inter-observer reliability. Anim. Welf. 2012, 21, 219–231. [Google Scholar] [CrossRef]
- Heinonen, M.; Peltoniemi, O.; Valros, A. Impact of lameness and claw lesions in sows on welfare, health and production. Livest. Sci. 2013, 156, 2–9. [Google Scholar] [CrossRef]
- Nalon, E.; Maes, D.; van Dongen, S.; van Riet, M.; Janssens, G.; Millet, S.; Tuyttens, F. Comparison of the inter- and intra-observer repeatability of three gait-scoring scales for sows. Animal 2014, 8, 650–659. [Google Scholar] [CrossRef] [Green Version]
- Contreras-Aguilar, M.D.; Escribano, D.; Martínez-Miró, S.; López-Arjona, M.; Rubio, C.P.; Martínez-Subiela, S.; Cerón, J.J.; Tecles, F. Application of a score for evaluation of pain, distress and discomfort in pigs with lameness and prolapses: Correlation with saliva biomarkers and severity of the disease. Res. Vet. Sci. 2019, 126, 155–163. [Google Scholar] [CrossRef]
- Kovács, L.; Kézér, F.L.; Jurkovich, V.; Kulcsár-Huszenicza, M.; Tőzsér, J. Heart rate variability as an indicator of chronic stress caused by lameness in dairy cows. PLoS ONE 2015, 10, e0134792. [Google Scholar] [CrossRef]
- Einarsson, S.; Brandt, Y.; Lundeheim, N.; Madej, A. Stress and its influence on reproduction in pigs: A review. Acta Vet. Scand. 2008, 50, 48. [Google Scholar] [CrossRef] [PubMed] [Green Version]
- Kick, A.R.; Tompkins, M.B.; Almond, G.W. Stress and immunity in the pig. Anim. Sci. Rev. 2011, 212, 51–65. [Google Scholar] [CrossRef]
- Anil, S.S.; Anil, L.; Deen, J. Effect of lameness on sow longevity. J. Am. Vet. Med. Assoc. 2009, 235, 734–738. [Google Scholar] [CrossRef] [PubMed]
- O’Connor, A.; Bokkers, E.; de Boer, I.; Hogeveen, H.; Sayers, R.; Byrne, N.; Ruelle, E.; Shalloo, L. Associating mobility scores with production and reproductive performance in pasture-based dairy cows. J. Dairy Sci. 2020, 103, 9238–9249. [Google Scholar] [CrossRef]
- Conte, S.; Bergeron, R.; Gonyou, H.W.; Brown, J.J.Y.; Rioja-Lang, F.; Connor, M.; Devillers, N. Use of an analgesic to identify pain-related indicators of lameness in sows. Livest. Sci. 2015, 180, 203–208. [Google Scholar] [CrossRef]
- Nalon, E.; Conte, S.; Maes, D.; Tuyttens, F.; Devillers, N. Assessment of lameness and claw lesions in sows. Livest. Sci. 2013, 156, 10–23. [Google Scholar] [CrossRef]
- Main, D.C.J.; Clegg, J.; Spatz, A.; Green, L.E. Repeatability of a lameness scoring system for finishing pigs. Vet. Rec. 2000, 147, 574–576. [Google Scholar] [CrossRef]
- Flower, F.C.; Weary, D.M. Gait assessment in dairy cattle. Animal 2009, 3, 87–95. [Google Scholar] [CrossRef] [Green Version]
- Thomsen, P.; Munksgaard, L.; Tøgersen, F. Evaluation of a Lameness Scoring System for Dairy Cows. J. Dairy Sci. 2008, 91, 119–126. [Google Scholar] [CrossRef]
- Tuyttens, F.; Sprenger, M.; van Nuffel, A.; Maertens, W.; van Dongen, S. Reliability of categorical versus continuous scoring of welfare indicators: Lameness in cows as a case study. Anim. Welf. 2009, 18, 399–405. [Google Scholar]
- O’Callaghan, K.; Cripps, P.; Downham, D.; Murray, R. Subjective and objective assessment of pain and discomfort due to lameness in dairy cattle. Anim. Welf. 2003, 12, 605–610. [Google Scholar]
- Van Nuffel, A.; Zwertvaegher, I.; Pluym, L.; van Weyenberg, S.; Thorup, V.M.; Pastell, M.; Sonck, B.; Saeys, W. Lameness detection in dairy cows: Part 1. How to distinguish between non-lame and lame cows based on differences in locomotion or behavior. Animals 2015, 5, 838–860. [Google Scholar] [CrossRef] [PubMed] [Green Version]
- Viazzi, S.; Bahr, C.; Schlageter-Tello, A.; van Hertem, T.; Romanini, C.E.B.; Pluk, A.; Halachmi, I.; Lokhorst, C.; Berckmans, D. Analysis of individual classification of lameness using automatic measurement of back posture in dairy cattle. J. Dairy Sci. 2013, 96, 257–266. [Google Scholar] [CrossRef] [Green Version]
- Flower, F.; Weary, D. Effect of hoof pathologies on subjective assessments of dairy cow gait. J. Dairy Sci. 2006, 89, 139–146. [Google Scholar] [CrossRef] [Green Version]
- O’Driscoll, K.; Gleeson, D.; O’Brien, B.; Boyle, L. Effect of milking frequency and nutritional level on hoof health, locomotion score and lying behaviour of dairy cows. Livest. Sci. 2010, 127, 248–256. [Google Scholar] [CrossRef]
- O’Driscoll, K.K.; Hanlon, A.; French, P.; Boyle, L.A. The effects of two out-wintering pad systems compared with free-stalls on dairy cow hoof and limb health. J. Dairy Res. 2009, 76, 59–65. [Google Scholar] [CrossRef] [PubMed]
- Scott, J.; Huskisson, E.C. Graphic representation of pain. Pain 1976, 2, 175–184. [Google Scholar] [CrossRef]
- Welsh, E.M.; Gettinby, G.; Nolan, A.M. Comparison of a visual analogue scale and a numerical rating scale for assessment of lameness, using sheep as a model. Am. J. Vet. Res. 1993, 54, 976–983. [Google Scholar] [PubMed]
- Borderas, T.F.; Fournier, A.; Rushen, J.; de Passillé, A.M.B. Effect of lameness on dairy cows’ visits to automatic milking systems. Can. J. Anim. Sci. 2008, 88, 1–8. [Google Scholar] [CrossRef]
- Hernandez-Mendo, O.; von Keyserlingk, M.; Veira, D.; Weary, D. Effects of pasture on lameness in dairy cows. J. Dairy Sci. 2007, 90, 1209–1214. [Google Scholar] [CrossRef]
- Bos, E.-J.; van Riet, M.M.J.; Maes, D.; Millet, S.; Ampe, B.; Janssens, G.P.J.; Tuyttens, F.A.M. Effect of rubber flooring on group-housed sows’ gait and claw and skin lesions. J. Anim. Sci. 2016, 94, 2086–2096. [Google Scholar] [CrossRef]
- Averbuch, M.; Katzper, M. Assessment of visual analog versus categorical scale for measurement of osteoarthritis pain. J. Clin. Pharmacol. 2004, 44, 368–372. [Google Scholar] [CrossRef]
- Lansing, R.W.; Moosavi, S.H.; Banzett, R.B. Measurement of dyspnea: Word labeled visual analog scale vs. verbal ordinal scale. Respir. Physiol. Neurobiol. 2003, 134, 77–83. [Google Scholar] [CrossRef]
- Davenport, M.D.; Tiefenbacher, S.; Lutz, C.K.; Novak, M.A.; Meyer, J.S. Analysis of endogenous cortisol concentrations in the hair of rhesus macaques. Gen. Comp. Endocrinol. 2006, 147, 255–261. [Google Scholar] [CrossRef]
- Heimbürge, S.; Kanitz, E.; Otten, W. The use of hair cortisol for the assessment of stress in animals. Gen. Comp. Endocrinol. 2019, 270, 10–17. [Google Scholar] [CrossRef]
- Meyer, J.S.; Novak, M. Minireview: Hair cortisol: A novel biomarker of hypothalamic-pituitary-adrenocortical activity. Endocrinology 2012, 153, 4120–4127. [Google Scholar] [CrossRef] [Green Version]
- Lagoda, M.E.; O’Driscoll, K.; Marchewka, J.; Foister, S.; Turner, S.P.; Boyle, L.A. Associations between skin lesion counts, hair cortisol concentrations and reproductive performance in group housed sows. Livest. Sci. 2021, 246, 104463. [Google Scholar] [CrossRef]
- Casal, N.; Manteca, X.; Peña, R.; Bassols, A.; Fàbrega, E. Analysis of cortisol in hair samples as an indicator of stress in pigs. J. Vet. Behav. 2017, 19, 1–6. [Google Scholar] [CrossRef]
- Otten, W.; Heimbürge, S.; Kanitz, E.; Tuchscherer, A. It’s getting hairy—External contamination may affect the validity of hair cortisol as an indicator of stress in pigs and cattle. Gen. Comp. Endocrinol. 2020, 295, 113531. [Google Scholar] [CrossRef] [PubMed]
- Moya, D.; Schwartzkopf-Genswein, K.S.; Veira, D.M. Standardization of a non-invasive methodology to measure cortisol in hair of beef cattle. Livest. Sci. 2013, 158, 138–144. [Google Scholar] [CrossRef]
- Fürtbauer, I.; Solman, C.; Fry, A. Sheep wool cortisol as a retrospective measure of long-term HPA axis activity and its links to body mass. Domest. Anim. Endocrinol. 2019, 68, 39–46. [Google Scholar] [CrossRef] [Green Version]
- Briene, P.; Szczodry, O.; de Geest, P.; van Weyenberg, S.; van Nuffel, A.; Vangeyte, J.; Millet, S.; Ampe, B.; Tuyttens, F.A.; Maselyne, J. Testing the potential of the Sow Stance Information System (SowSIS) based on a force plate system built into an electronic sow feeder for on-farm automatic lameness detection in breeding sows. Biosyst. Eng. 2021, 204, 270–282. [Google Scholar] [CrossRef]
- Pluym, L.; van Nuffel, A.; Dewulf, J.; Cools, A.; Vangroenweghe, F.; van Hoorebeke, S.; Maes, D. Prevalence and risk factors of claw lesions and lameness in pregnant sows in two types of group housing. Veterinární Med. 2011, 56, 101–109. [Google Scholar] [CrossRef]
- Díaz, J.A.C.; Fahey, A.G.; Kilbride, A.L.; Green, L.E.; Boyle, L.A. Longitudinal study of the effect of rubber slat mats on locomotory ability, body, limb and claw lesions, and dirtiness of group housed sows. J. Anim. Sci. 2013, 91, 3940–3954. [Google Scholar] [CrossRef] [Green Version]
- Spoolder, H.; Geudeke, M.; van der Peet-Schwering, C.; Soede, N. Group housing of sows in early pregnancy: A review of success and risk factors. Livest. Sci. 2009, 125, 1–14. [Google Scholar] [CrossRef]
- Maes, D.; Pluym, L.; Peloniemi, O. Impact of group housing of pregnant sows on health. Porc. Health Manag. 2016, 2, 1–7. [Google Scholar] [CrossRef] [PubMed] [Green Version]
- Boyle, L.; Leonard, F.; Lynch, P.; Brophy, P. The effect of mats on the welfare of sows and piglets in the farrowing house. Proc. Br. Soc. Anim. Sci. 1998, 1998, 110. [Google Scholar] [CrossRef]
- Barnett, J.L.; Hemsworth, P.H.; Cronin, G.M.; Jongman, E.C.; Hutson, G.D. A review of the welfare issues for sows and piglets in relation to housing. Aust. J. Agric. Res. 2001, 52, 1–28. [Google Scholar] [CrossRef]
- Tuyttens, F.A.M. The importance of straw for pig and cattle welfare: A review. Appl. Anim. Behav. Sci. 2005, 92, 261–282. [Google Scholar] [CrossRef]
- Hoffman, A.; Moore, D.; Vanegas, J.; Wenz, J. Association of abnormal hind-limb postures and back arch with gait abnormality in dairy cattle. J. Dairy Sci. 2014, 97, 2178–2185. [Google Scholar] [CrossRef] [PubMed]
- Poursaberi, A.; Bahr, C.; Pluk, A.; van Nuffel, A.; Berckmans, D. Real-time automatic lameness detection based on back posture extraction in dairy cattle: Shape analysis of cow with image processing techniques. Comput. Electron. Agric. 2010, 74, 110–119. [Google Scholar] [CrossRef]
- KilBride, A.; Gillman, C.; Green, L. A cross-sectional study of the prevalence of lameness in finishing pigs, gilts and pregnant sows and associations with limb lesions and floor types on commercial farms in England. Anim. Welf. 2009, 18, 215–224. [Google Scholar]
- Parada Sarmiento, M.; Thiago, B.; Patricia, T.; Adroaldo, Z. Agression, vocalization and underweight in piglets born from gilts with lameness. In Proceedings of the 51st Congress of the International Society for Applied Ethology, Aarhus, Denmark, 7–10 August 2017. [Google Scholar]
- Sarmiento, M.P.; Bernardino, T.; Tatemoto, P.; Polo, G.; Zanella, A.J. The in-utero experience of piglets born from sows with lameness shapes their life trajectory. Sci. Rep. 2021, 11, 1–11. [Google Scholar] [CrossRef]
- Iida, R.; Pineiro, C.; Koketsu, Y. Removal of sows in Spanish breeding herds due to lameness: Incidence, related factors and reproductive performance of removed sows. Prev. Vet. Med. 2020, 179, 105002. [Google Scholar] [CrossRef] [PubMed]
- Speakman, J.R. The physiological costs of reproduction in small mammals. Philos. Trans. R. Soc. Lond. B Biol. Sci. 2008, 363, 375–398. [Google Scholar] [CrossRef] [PubMed] [Green Version]
- Hartnett, P.; Boyle, L.A.; O’Driscoll, K. Rearing in female-only groups and dietary mineral supplementation improves sow welfare in the early parities and lifetime performance. Transl. Anim. Sci. 2020, 4, txaa176. [Google Scholar] [CrossRef] [PubMed]
- Pluym, L.M.; van Nuffel, A.; van Weyenberg, S.; Maes, D. Prevalence of lameness and claw lesions during different stages in thereproductive cycle of sows and the impact on reproduction results. Animal 2013, 7, 1174–1181. [Google Scholar] [CrossRef] [PubMed] [Green Version]



| Replicate | Replicate Size | Date of Mixing | Group Size at Mixing | Interval between Mixing Events (Weeks) |
|---|---|---|---|---|
| 1 | 12 | 07/05/2019 | 33 | 9 |
| 2 | 10 | 28/05/2019 | 32 | 3 |
| 3 | 8 | 30/07/2019 | 19 | 9 |
| 4 | 4 | 20/08/2019 | 15 | 3 |
| 5 | 8 | 10/09/2019 | 21 | 3 |
| 6 | 4 | 22/10/2019 | 15 | 6 |
| 7 | 8 | 12/11/2019 | 17 | 3 |
| 8 | 4 | 03/12/2019 | 16 | 3 |
| Locomotion Component | Definition |
|---|---|
| Caudal sway | The side-to-side movement of the hindquarters |
| Stride length | The evenness of strides taken by the sow |
| Fluidity of movement | The overall ease with which the sow walks |
| Reluctance to bear weight while walking | Evidence of differences in weight bearing between the limbs, including shifting weight between hind/front legs, and intermittent placement of limbs on the floor |
| Abduction | Outward swinging of hind legs |
| Adduction | Inward swinging of hind legs |
| Individual Locomotion Component Score | Regression Coefficient | SE | F-Statistic | p-Value |
|---|---|---|---|---|
| Caudal sway | 0.4 | 0.07 | F1,146 = 32.23 | <0.001 |
| Stride length | 0.7 | 0.02 | F1,147 = 1090.77 | <0.001 |
| Fluidity of movement | 0.8 | 0.04 | F1,147 = 328.75 | <0.001 |
| Reluctance to bear weight while walking | 0.8 | 0.04 | F1,147 = 390.90 | <0.001 |
| Abduction | 0.1 | 0.16 | F1,146 = 0.20 | 0.652 |
| Adduction | −0.02 | 0.649 | F1,146 = 0.00 | 0.980 |
Publisher’s Note: MDPI stays neutral with regard to jurisdictional claims in published maps and institutional affiliations. |
© 2021 by the authors. Licensee MDPI, Basel, Switzerland. This article is an open access article distributed under the terms and conditions of the Creative Commons Attribution (CC BY) license (https://creativecommons.org/licenses/by/4.0/).
Share and Cite
Lagoda, M.E.; Boyle, L.A.; Marchewka, J.; O’Driscoll, K. Early Detection of Locomotion Disorders in Gilts Using a Novel Visual Analogue Scale; Associations with Chronic Stress and Reproduction. Animals 2021, 11, 2900. https://doi.org/10.3390/ani11102900
Lagoda ME, Boyle LA, Marchewka J, O’Driscoll K. Early Detection of Locomotion Disorders in Gilts Using a Novel Visual Analogue Scale; Associations with Chronic Stress and Reproduction. Animals. 2021; 11(10):2900. https://doi.org/10.3390/ani11102900
Chicago/Turabian StyleLagoda, Martyna E., Laura A. Boyle, Joanna Marchewka, and Keelin O’Driscoll. 2021. "Early Detection of Locomotion Disorders in Gilts Using a Novel Visual Analogue Scale; Associations with Chronic Stress and Reproduction" Animals 11, no. 10: 2900. https://doi.org/10.3390/ani11102900
APA StyleLagoda, M. E., Boyle, L. A., Marchewka, J., & O’Driscoll, K. (2021). Early Detection of Locomotion Disorders in Gilts Using a Novel Visual Analogue Scale; Associations with Chronic Stress and Reproduction. Animals, 11(10), 2900. https://doi.org/10.3390/ani11102900

