Urinary Excretion of Iohexol as a Permeability Marker in a Mouse Model of Intestinal Inflammation: Time Course, Performance and Welfare Considerations
Abstract
Simple Summary
Abstract
1. Introduction
2. Materials and Methods
2.1. Study Approval
2.2. Animals and Housing
2.3. Experimental Design and Procedures
2.3.1. Time Points of Iohexol Measures
2.3.2. Induction of intestinal Inflammation
2.3.3. Treatment of Adoptive T Cell Recipient Mice with Different Diets
2.3.4. Measurement of Intestinal Permeability
2.3.5. Iohexol Measurement
2.3.6. Tissue Collection and Histological Score for Duodenitis
2.4. Statistical Analysis
3. Results
3.1. Clinical Examination
3.2. Number of Animals Delivering Urine and Volume of Collected Urine
3.3. Urinary Excretion of Iohexol during 24 h
3.4. Correlation between the Urinary Excretion of Iohexol Measured at Seven Time Points and in Cumulative Urinary Samples over a 24 h Period in Mice
3.5. Correlation between the Histological Score for Duodenitis and the Weight of the Duodenum or Total Small Intestine
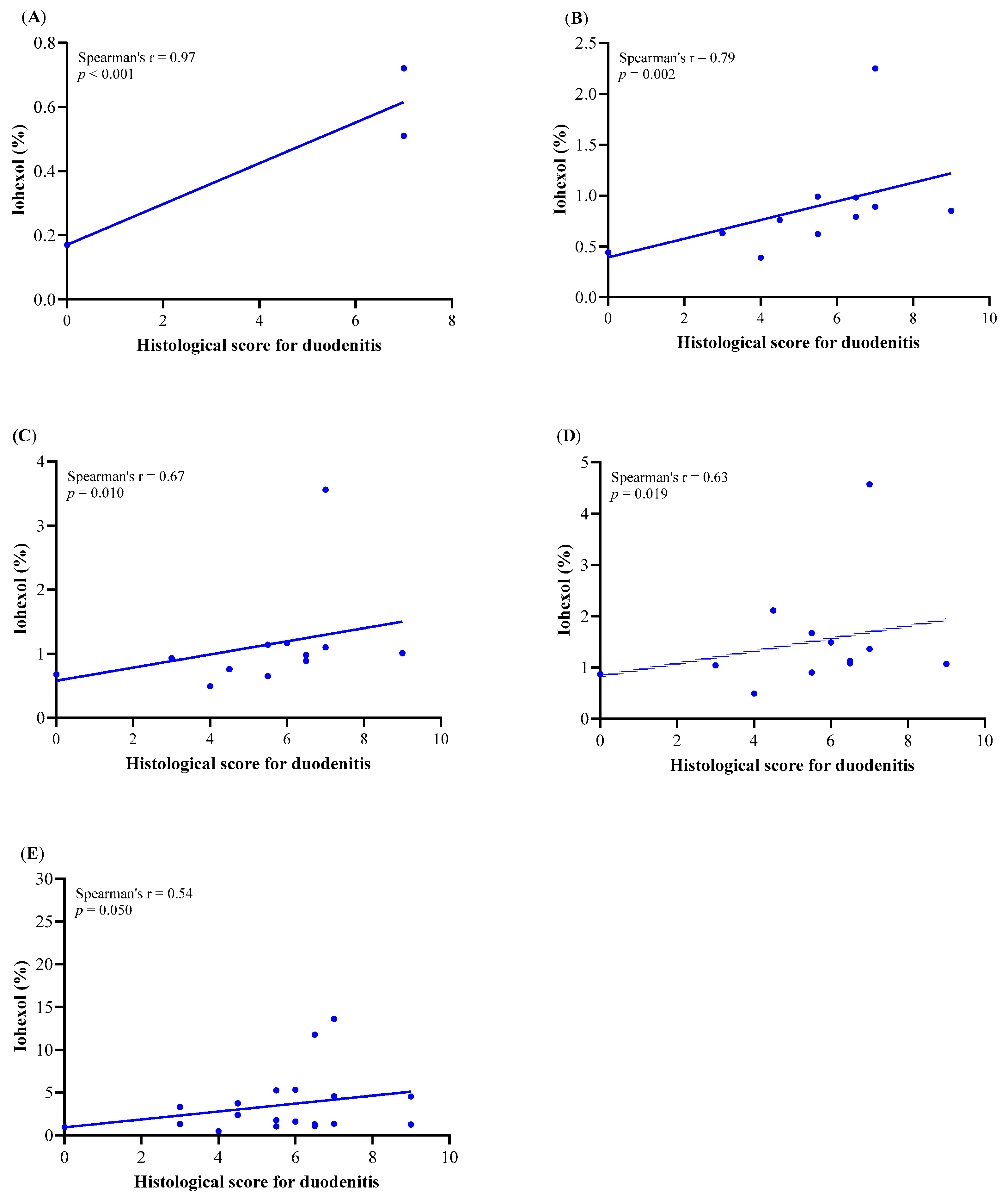
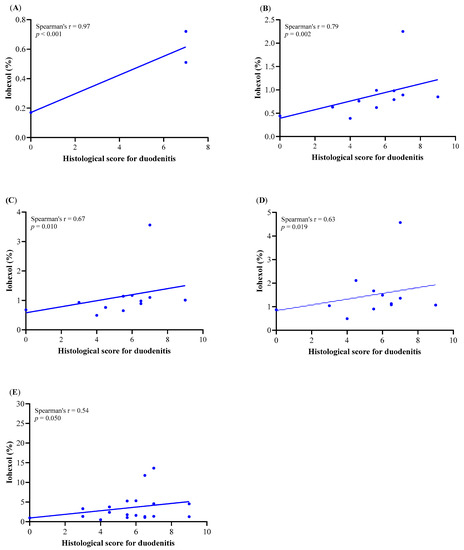
3.6. Correlation between Urinary Excretion of Iohexol and the Histological Score for Duodenitis or the Weight of the Duodenum or Total Small Intestine
4. Discussion
5. Conclusions
Supplementary Materials
Author Contributions
Funding
Institutional Review Board Statement
Informed Consent Statement
Data Availability Statement
Acknowledgments
Conflicts of Interest
References
- Frias, R.; Ouwehand, A.C.; Jaakkola, U.M.; Spillmann, T.; Gueimonde, M. An in vivo permeability test protocol using iohexol to reduce and refi ne the use of laboratory rats in intestinal damage assessment. Scand. J. Lab. Anim. Sci. 2014, 40, 1–6. [Google Scholar]
- Ortín-Piqueras, V.; Spillmann, T.; Pöytäkangas, M.; Vaccaro, D.E.; Sankari, S.; Frias, R. Determination of iohexol in canine plasma—Strong correlation between enzyme-linked immunosorbent assay, high-performance liquid chromatography, and neutron activation analysis. Scand. J. Lab. Anim. Sci. 2018, 44, 1–7. [Google Scholar]
- Forsgård, R.A.; Korpela, R.; Holma, R.; Lindén, J.; Frias, R.; Spillmann, T.; Österlund, P. Intestinal permeability to iohexol as an in vivo marker of chemotherapy-induced gastrointestinal toxicity in Sprague–Dawley rats. Cancer Chemother. Pharmacol. 2016, 78, 863–874. [Google Scholar] [CrossRef] [PubMed]
- Galipeau, H.J.; Verdu, E.F. The complex task of measuring intestinal permeability in basic and clinical science. Neurogastroenterol. Motil. 2016, 28, 957–965. [Google Scholar] [CrossRef] [PubMed]
- Wang, L.; Llorente, C.; Hartmann, P.; Yang, A.M.; Chen, P.; Schnabl, B. Methods to determine intestinal permeability and bacterial translocation during liver disease. J. Immunol. Methods 2015, 421, 44–53. [Google Scholar] [CrossRef]
- Fukui, H. Increased Intestinal Permeability and Decreased Barrier Function: Does It Really Influence the Risk of Inflammation? Inflamm. Intest. Dis. 2016, 1, 135–145. [Google Scholar] [CrossRef]
- González-González, M.; Díaz-Zepeda, C.; Eyzaguirre-Velásquez, J.; González-Arancibia, C.; Bravo, J.A.; Julio-Pieper, M. Investigating gut permeability in animal models of disease. Front. Physiol. 2019, 9, 1962. [Google Scholar] [CrossRef]
- Volynets, V.; Reichold, A.; Bárdos, G.; Rings, A.; Bleich, A.; Bischoff, S.C. Assessment of the Intestinal Barrier with Five Different Permeability Tests in Healthy C57BL/6J and BALB/cJ Mice. Digest. Dis. Sci. 2016, 61, 737–746. [Google Scholar] [CrossRef]
- Delanaye, P.; Ebert, N.; Melsom, T.; Gaspari, F.; Mariat, C.; Cavalier, E.; Björk, J.; Christensson, A.; Nyman, U.; Porrini, E.; et al. Iohexol plasma clearance for measuring glomerular filtration rate in clinical practice and research: A review. Part 1: How to measure glomerular filtration rate with iohexol? Clin. Kidney J. 2016, 9, 682–699. [Google Scholar]
- Frias, R.; Sankari, S.; Westermarck, E. 51Cr-EDTA absorption blood test: An easy method for assessing small intestinal permeability in dogs. J. Vet. Int. Med. 2004, 18, 156–159. [Google Scholar] [CrossRef]
- Allenspack, K.; Steiner, J.M.; Shah, B.N.; Berghoff, N.; Ruaux, C.; Williams, D.A.; Blum, J.W.; Gaschen, F. Evaluation of gastrointestinal permeability and mucosal absorptive capacity in dogs with chronic enteropathy. Am. J. Vet. Res. 2006, 67, 479–483. [Google Scholar] [CrossRef] [PubMed]
- Frias, R.; Strube, K.; Ternes, W.; Collado, M.C.; Spillmann, T.; Sankari, S.; Westermarck, E. Comparison of 51Chromium-labeled ethylenediamine tetra-acetic acid and iohexol as blood markers for intestinal permeability testing in Beagle dogs. Vet. J. 2012, 192, 123–125. [Google Scholar] [CrossRef] [PubMed]
- Halme, L.; Turunen, U.; Tuominen, J.; Forsström, T.; Turpeinen, U. Comparison of iohexol and lactulose-mannitol tests as markers of disease activity in patients with inflammatory bowel disease. Scand. J. Clin. Lab. Investg. 2000, 60, 695–701. [Google Scholar] [CrossRef]
- Halme, L.; Edgren, J.; Turpeinen, U.; Von Smitten, K.; Stenman, U.H. Urinary excretion of iohexol as a marker of disease activity in patients with inflammatory bowel disease. Scand. J. Gastroenterol. 1997, 32, 148–152. [Google Scholar] [CrossRef]
- Klenner, S.; Coenen, M.; Failing, K.; Hewicker-Trautwein, M.; Ternes, W.; Verspohl, J.; Spillmann, T. Estimation of intestinal permeability in healthy dogs using the contrast medium iohexol. Vet. Clin. Pathol. 2009, 38, 353–360. [Google Scholar] [CrossRef]
- Forsgård, R.A.; Marrachelli, V.G.; Korpela, K.; Frias, R.; Collado, M.C.; Korpela, R.; Monleon, D.; Spillmann, T.; Österlund, P. Chemotherapy-induced gastrointestinal toxicity is associated with changes in serum and urine metabolome and fecal microbiota in male Sprague-Dawley rats. Cancer Chemother. Pharmacol. 2017, 80, 317–332. [Google Scholar] [CrossRef]
- Koskinen, M.J.; Hewetson, M.; Pöytäkangas, M.R. Iohexol as a Marker of Intestinal Permeability in the Horse. Equine Vet. J. 2015, 47, 8. [Google Scholar] [CrossRef]
- Watson, V.E.; Jacob, M.E.; Bruno-Bárcena, J.M.; Amirsultan, S.; Stauffer, S.H.; Píqueras, V.O.; Frias, R.; Gookin, J.L. Influence of the intestinal microbiota on disease susceptibility in kittens with experimentally-induced carriage of atypical enteropathogenic Escherichia coli. Vet. Microbiol. 2019, 231, 197–206. [Google Scholar] [CrossRef]
- Wilhelm, F.R.; Krautwald-Junghanns, M.-E.; Piqueras, V.O.; Junilla, J.; Cramer, K.; Forsgård, R.A.; Frias, R.; Spillmann, T.; Schmidt, V. Iohexol-based measurement of intestinal permeability in birds. J. Exot. Pet. Med. 2020. [Google Scholar] [CrossRef]
- Andersen, R.; Stordahl, A.; Aase, S.; Laerum, F. Intestinal permeability of X-ray contrast media iodixanol and iohexol during bacterial overgrowth of small intestines in rats. Digest. Dis. Sci. 2001, 46, 208–213. [Google Scholar] [CrossRef]
- Lee, S.Y.; Chun, M.R.; Kim, D.J.; Kim, J.W. Determination of iohexol clearance by high-performance liquid chromatography-tandem mass spectrometry (HPLC-MS/MS). J. Chromatogr. B Anal. Technol. Biomed. Life Sci. 2006, 839, 124–129. [Google Scholar] [CrossRef] [PubMed]
- Reilly, P.H.; Brooman, P.J.C.; Martin, P.J.; Pollard, A.J.; Farah, N.B.; Mason, G.C. Accuracy and reproducibility of a new contrast clearance method for the determination of glomerular filtration rate. Br. Med. J. 1986, 293, 234–236. [Google Scholar] [CrossRef] [PubMed]
- Kalliokoski, S.; Piqueras, V.O.; Frías, R.; Sulic, A.M.; Määttä, J.A.E.; Kähkönen, N.; Viiri, K.; Huhtala, H.; Pasternack, A.; Laurila, K.; et al. Transglutaminase 2-specific coeliac disease autoantibodies induce morphological changes and signs of inflammation in the small-bowel mucosa of mice. Amino Acids 2017, 49, 529–540. [Google Scholar] [CrossRef] [PubMed]
- Parasuraman, S.; Raveendran, R.; Kesavan, R. Blood sample collection in small laboratory animals. J. Pharmacol. Pharmacother. 2010, 49, 529–540. [Google Scholar] [CrossRef] [PubMed]
- Manser, C.E.; Morris, T.H.; Broom, D.M. An investigation into the effects of solid or grid cage flooring on the welfare of laboratory rats. Lab. Anim. 1995, 29, 353–363. [Google Scholar] [CrossRef] [PubMed]
- Bartolomucci, A.; Palanza, P.; Sacerdote, P.; Ceresini, G.; Chirieleison, A.; Panerai, A.E.; Parmigiani, S. Individual housing induces altered immuno-endocrine responses to psychological stress in male mice. Psychoneuroendocrinology 2003, 28, 540–558. [Google Scholar] [CrossRef]
- Tarland, E. Effect of Metabolic Cage Housing on Rodent Welfare. Dep. Clin. Sci. 2007. Available online: http://stud.epsilon.slu.se/11715/1/tarland_e_171123.pdf (accessed on 3 January 2021).
- Zymantiene, J.; Zelvyte, R.; Oberauskas, V.; Spancerniene, U. Influence of metabolic cage on wistar rat physiological state. Maced. Vet. Rev. 2016, 39, 33–38. [Google Scholar] [CrossRef]
- Kalliokoski, O.; Jacobsen, K.R.; Darusman, H.S.; Henriksen, T.; Weimann, A.; Poulsen, H.E.; Hau, J.; Abelson, K.S.P. Mice Do Not Habituate to Metabolism Cage Housing-A Three Week Study of Male BALB/c Mice. PLoS ONE 2013, 8, e58460. [Google Scholar] [CrossRef]
- Stechman, M.J.; Ahmad, B.N.; Loh, N.Y.; Reed, A.A.C.; Stewart, M.; Wells, S.; Hough, T.; Bentley, L.; Cox, R.D.; Brown, S.D.M.; et al. Establishing normal plasma and 24-h urinary biochemistry ranges in C3H, BALB/c and C57BL/6J mice following acclimatization in metabolic cages. Lab. Anim. 2010, 44, 218–225. [Google Scholar] [CrossRef]
- Freitag, T.L.; Loponen, J.; Messing, M.; Zevallos, V.; Andersson, L.C.; Sontag-Strohm, T.; Saavalainen, P.; Schuppan, D.; Salovaara, H.; Meri, S. Testing safety of germinated rye sourdough in a celiac disease model based on the adoptive transfer of prolamin-primed memory T cells into lymphopenic mice. Am. J. Physiol. Gastrointest. Liver Physiol. 2014, 306, G526–G534. [Google Scholar] [CrossRef]
- Mähler, M.; Berar, M.; Feinstein, R.; Gallagher, A.; Illgen-Wilcke, B.; Pritchett-Corning, K.; Raspa, M. FELASA recommendations for the health monitoring of mouse, rat, hamster, guinea pig and rabbit colonies in breeding and experimental units. Lab. Anim. 2014, 48, 178–192. [Google Scholar] [CrossRef]
- Nicklas, W.; Baneux, P.; Boot, R.; Decelle, T.; Deeny, A.A.; Fumanelli, M.; Illgen-Wilcke, B. Recommendations for the health monitoring of rodent and rabbit colonies in breeding and experimental units. Lab. Anim. 2002, 36, 20–42. [Google Scholar] [CrossRef]
- Baumans, V.; Brain, P.F.; Brugére, H.; Clausing, P.; Jeneskog, T.; Perretta, G. Pain and distress in laboratory rodents and lagomorphs: Report of the Federation of European Laboratory Animal Science Associations (FELASA) Working Group on Pain and Distress accepted by the FELASA Board of Management November 1992. Lab. Anim. 1994, 28, 97–112. [Google Scholar] [CrossRef] [PubMed]
- Baumans, V. Methods for evaluation of laboratory animal well-being. Altern. Lab. Anim. 2004, 32, 161–162. [Google Scholar] [CrossRef] [PubMed]
- Hurst, J.L.; West, R.S. Taming anxiety in laboratory mice. Nat. Methods 2010, 7, 825–826. [Google Scholar] [CrossRef] [PubMed]
- Freitag, T.L.; Rietdijk, S.; Junker, Y.; Popov, Y.; Bhan, A.K.; Kelly, C.P.; Terhorst, C.; Schuppan, D. Gliadin-primed CD4+CD45RBlowCD25- T cells drive gluten-dependent small intestinal damage after adoptive transfer into lymphopenic mice. Gut 2009, 58, 1597–1605. [Google Scholar] [CrossRef] [PubMed]
- Freitag, T.L.; Podojil, J.R.; Pearson, R.M.; Fokta, F.J.; Sahl, C.; Messing, M.; Andersson, L.C.; Leskinen, K.; Saavalainen, P.; Hoover, L.I.; et al. Gliadin Nanoparticles Induce Immune Tolerance to Gliadin in Mouse Models of Celiac Disease. Gastroenterology 2020. [Google Scholar] [CrossRef] [PubMed]
- Aslani, S.; Harb, M.R.; Costa, P.S.; Almeida, O.F.X.; Sousa, N.; Palha, J.A. Day and night: Diurnal phase influences the response to chronic mild stress. Front. Behav. Neurosci. 2014, 8, 82. [Google Scholar] [CrossRef]
- Yang, M. Light phase testing of social behaviors: Not a problem. Front. Neurosci. 2008, 2, 29. [Google Scholar] [CrossRef]
- Roedel, A.; Storch, C.; Holsboer, F.; Ohl, F. Effects of light or dark phase testing on behavioural and cognitive performance in DBA mice. Lab. Anim. 2006, 40, 371–381. [Google Scholar] [CrossRef]
- Bedrosian, T.A.; Vaughn, C.A.; Weil, Z.M.; Nelson, R.J. Behaviour of laboratory mice is altered by light pollution within the housing environment. Anim. Welf. 2013, 22, 483–487. [Google Scholar] [CrossRef][Green Version]
- Emmer, K.M.; Russart, G.K.L.; Walker, W.H.; Nelson, R.J.; Courtney DeVries, A. Effects of light at night on laboratory animals and research outcomes. Behav. Neurosci. 2018, 132, 302. [Google Scholar] [CrossRef] [PubMed]
- Bedrosian, T.A.; Vaughn, C.A.; Galan, A.; Daye, G.; Weil, Z.M.; Nelson, R.J. Nocturnal light exposure impairs affective responses in a wavelength-dependent manner. J. Neurosci. 2013, 33, 13081–13087. [Google Scholar] [CrossRef]
- Mateer, S.W.; Cardona, J.; Marks, E.; Goggin, B.J.; Hua, S.; Keely, S. Ex vivo intestinal sacs to assess mucosal permeability in models of gastrointestinal disease. J. Vis. Exp. 2016, 108, e53250. [Google Scholar] [CrossRef] [PubMed]
- Mattioli, F.; Fucile, C.; Marini, V.; Isola, L.; Montanaro, F.; Savarino, V.; Martelli, A. Assessment of intestinal permeability using sugar probes: Influence of urinary volume. Clin. Lab. 2011, 57, 909. [Google Scholar] [PubMed]
- Bamberg, E.; Palme, R.; Meingassner, J.G. Excretion of corticosteroid metabolites in urine and faeces of rats. Lab. Anim. 2001, 35, 307–314. [Google Scholar] [CrossRef] [PubMed]
- Talbot, S.R.; Biernot, S.; Bleich, A.; van Dijk, R.M.; Ernst, L.; Häger, C.; Helgers, S.O.A.; Koegel, B.; Koska, I.; Kuhla, A.; et al. Defining body-weight reduction as a humane endpoint: A critical appraisal. Lab. Anim. 2020, 54, 99–110. [Google Scholar] [CrossRef] [PubMed]
- Leibel, R.L. Molecular physiology of weight regulation in mice and humans. Int. J. Obes. 2008, 32, S98–S108. [Google Scholar] [CrossRef]
- Hoffman, J.F.; Fan, A.X.; Neuendorf, E.H.; Vergara, V.B.; Kalinich, J.F. Hydrophobic Sand Versus Metabolic Cages: A Comparison of Urine Collection Methods for Rats (Rattus norvegicus). J. Am. Assoc. Lab. Anim. Sci. 2018, 57, 51–57. [Google Scholar]
- Hoffman, J.F.; Vechetti, I.J.; Alimov, A.P.; Kalinich, J.F.; McCarthy, J.J.; Peterson, C.A. Hydrophobic sand is a viable method of urine collection from the rat for extracellular vesicle biomarker analysis. Mol. Genet. Metab. Rep. 2019, 21, 100505. [Google Scholar] [CrossRef]
- Vaara, M.; Vaara, T.; Kuka, J.; Sevostjanovs, E.; Grinberga, S.; Dambrova, M.; Liepinsh, E. Excretion of the polymyxin derivative NAB739 in murine urine. Antibiotics 2020, 9, 143. [Google Scholar] [CrossRef] [PubMed]
- Zhu, S.W.; Yee, B.K.; Nyffeler, M.; Winblad, B.; Feldon, J.; Mohammed, A.H. Influence of differential housing on emotional behaviour and neurotrophin levels in mice. Behav. Brain Res. 2006, 169, 10–20. [Google Scholar] [CrossRef] [PubMed]
- Ishida, H.; Mitsui, K.; Nukaya, H.; Matsumoto, K.; Tsuji, K. Study of active substances involved in skin dysfunction induced by crowding stress. I. Effect of crowding and isolation on some physiological variables, skin function and skin blood perfusion in hairless mice. Biol. Pharm. Bull. 2003. [Google Scholar] [CrossRef] [PubMed]
- Kappel, S.; Hawkins, P.; Mendl, M.T. To group or not to group? Good practice for housing male laboratory mice. Animals 2017, 7, 88. [Google Scholar]
- Obernier, J.A.; Baldwin, R.L. Establishing an appropriate period of acclimatization following transportation of laboratory animals. ILAR J. 2006, 47, 364–369. [Google Scholar] [CrossRef]
- Bundgaard, C.J.; Kalliokoski, O.; Abelson, K.S.; Hau, J. Acclimatization of mice to different cage types and social groupings with respect to fecal secretion of IgA and corticosterone metabolites. In Vivo 2012, 26, 883–888. [Google Scholar]
- Knowles, T.G.; Warriss, P.D. Stress physiology of animals during transport. Livest. Handl. Transp. Third Ed. 2007, 312–328. [Google Scholar] [CrossRef]
- Williams, C.L.; Villar, R.G.; Peterson, J.M.; Burks, T.F. Stress-induced changes in intestinal transit in the rat: A model for irritable bowel syndrome. Gastroenterology 1988, 94, 611–621. [Google Scholar] [CrossRef]
- Jiminez, J.A.; Uwiera, T.C.; Inglis, G.D.; Uwiera, R.R.E. Animal models to study acute and chronic intestinal inflammation in mammals. Gut Pathog. 2015, 7, 29. [Google Scholar] [CrossRef]







| Time Point (Hours) | Control W1, Iohexol (%) 1 | Control W7, Iohexol (%) 1 | Treated W2, Iohexol (%) 1 | Treated W4, Iohexol (%) 1 | Treated W5, Iohexol (%) 1 | p-Value, One-Way ANOVA 2 |
|---|---|---|---|---|---|---|
| 2 | 0.16 ± 0.23 | 0.27 ± 0.00 | 0.25 ± 0.15 | 0.59 ± 0.28 | 0.64 ± 0.25 | * 0.024 |
| 4 | 0.58 ± 0.23 | 0.55 ± 0.19 | 0.35 ± 0.39 | 0.70 ± 0.29 | 0.87 ± 0.18 | *** |
| 6 | 0.26 ± 0.39 | 0.22 ± 0.49 | 0.21 ± 0.45 | 0.33 ± 0.42 | 0.46 ± 0.53 | 0.505 |
| 12 | 0.18 ± 0.35 | 0.36 ± 0.38 | 0.30 ± 0.52 | 0.50 ± 0.35 | 0.44 ± 0.44 | 0.276 |
| 15 | 0.41 ± 0.37 | 0.33 ± 0.14 | 0.22 ± 0.36 | 0.59 ± 0.30 | 0.31 ± 0.26 | * 0.047 |
| 18 | 0.36 ± 0.45 | 0.36 ± 0.24 | 0.20 ± 0.32 | 0.51 ± 0.37 | 0.36 ± 0.43 | 0.204 |
| 24 | 0.58 ± 0.40 | 0.41 ± 0.46 | 0.20 ± 0.46 | 0.62 ± 0.26 | 0.68 ± 0.38 | ** 0.002 |
| ALL MICE | IOHEXOL (%) | |||||||||||
|---|---|---|---|---|---|---|---|---|---|---|---|---|
| Single Samples | Two Samples | Three Samples | Four Samples | Five Samples | Six Samples | |||||||
| Iohexol (%) (0–24 h) | 2 h | 4 h | 6 h | 12 h | 15 h | 18 h | 24 h | 2 + 4 h | 2 + 4 + 6 h | 2 + 4 + 6 + 12 h | 2 + 4 + 6 + 12 + 15 h | 2 + 3 + 4 + 6 + 12 + 15 + 18 h |
| Correlation coefficient | 0.76 | 0.58 | 0.48 | 0.54 | 0.55 | 0.59 | 0.66 | 0.61 | 0.74 | 0.84 | 0.84 | 0.88 |
| n, number of mice | 22 | 73 | 77 | 77 | 47 | 63 | 73 | 74 | 91 | 93 | 93 | 93 |
| p-value | *** | *** | *** | *** | *** | *** | *** | *** | *** | *** | *** | *** |
Publisher’s Note: MDPI stays neutral with regard to jurisdictional claims in published maps and institutional affiliations. |
© 2021 by the authors. Licensee MDPI, Basel, Switzerland. This article is an open access article distributed under the terms and conditions of the Creative Commons Attribution (CC BY) license (http://creativecommons.org/licenses/by/4.0/).
Share and Cite
Ortín-Piqueras, V.; Freitag, T.L.; Andersson, L.C.; Lehtonen, S.H.; Meri, S.K.; Spillmann, T.; Frias, R. Urinary Excretion of Iohexol as a Permeability Marker in a Mouse Model of Intestinal Inflammation: Time Course, Performance and Welfare Considerations. Animals 2021, 11, 79. https://doi.org/10.3390/ani11010079
Ortín-Piqueras V, Freitag TL, Andersson LC, Lehtonen SH, Meri SK, Spillmann T, Frias R. Urinary Excretion of Iohexol as a Permeability Marker in a Mouse Model of Intestinal Inflammation: Time Course, Performance and Welfare Considerations. Animals. 2021; 11(1):79. https://doi.org/10.3390/ani11010079
Chicago/Turabian StyleOrtín-Piqueras, Victoria, Tobias L Freitag, Leif C Andersson, Sanna H Lehtonen, Seppo K Meri, Thomas Spillmann, and Rafael Frias. 2021. "Urinary Excretion of Iohexol as a Permeability Marker in a Mouse Model of Intestinal Inflammation: Time Course, Performance and Welfare Considerations" Animals 11, no. 1: 79. https://doi.org/10.3390/ani11010079
APA StyleOrtín-Piqueras, V., Freitag, T. L., Andersson, L. C., Lehtonen, S. H., Meri, S. K., Spillmann, T., & Frias, R. (2021). Urinary Excretion of Iohexol as a Permeability Marker in a Mouse Model of Intestinal Inflammation: Time Course, Performance and Welfare Considerations. Animals, 11(1), 79. https://doi.org/10.3390/ani11010079

