Comparison of Growth Performance and Meat Quality Traits of Commercial Cross-Bred Pigs versus the Large Black Pig Breed
Abstract
Simple Summary
Abstract
1. Introduction
2. Material and Methods
2.1. Animals
2.2. Carcass Characteristics and Sampling
2.3. Meat Quality
2.4. Fatty Acid Composition
2.5. Oxygen Consumption and Myoglobin Calculation
2.6. RNA Extraction and cDNA Synthesis
2.7. Statistical Analysis
2.8. Real-Time qPCR
2.9. RNA Sequencing and Functional Analysis
3. Results and Discussion
3.1. Growth Performance and Carcass Measurements
3.2. Meat Quality
3.3. Oxygen Consumption
3.4. Myoglobin Calculation
3.5. Fatty Acid Composition
3.6. Differentially Expressed Gene Analysis
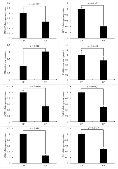
3.7. Gene Expression
4. Conclusions
Supplementary Materials
Author Contributions
Funding
Institutional Review Board Statement
Data Availability Statement
Conflicts of Interest
References
- Dransfield, E.; Ngapo, T.; Nielsen, N.A.; Bredahl, L.; Sjödén, P.-O.; Magnusson, M.; Campo, M.; Nute, G. Consumer choice and suggested price for pork as influenced by its appearance, taste and information concerning country of origin and organic pig production. Meat Sci. 2005, 69, 61–70. [Google Scholar] [CrossRef] [PubMed]
- Rosenvold, K.; Andersen, H.J.J.M.s. Factors of significance for pork quality—A review. Meat Sci. 2003, 64, 219–237. [Google Scholar] [CrossRef]
- Bonneau, M.; Lebret, B.J.M.s. Production systems and influence on eating quality of pork. Meat Sci. 2010, 84, 293–300. [Google Scholar] [CrossRef] [PubMed]
- Herrera-Mendez, C.H.; Becila, S.; Boudjellal, A.; Ouali, A. Meat ageing: Reconsideration of the current concept. Trends Food Sci. Technol. 2006, 17, 394–405. [Google Scholar] [CrossRef]
- Ekarius, C. Storey’s Illustrated Breed Guide to Sheep, Goats, Cattle, and Pigs; Storey Publishing LCC: North Adams, MA, USA, 2008. [Google Scholar]
- Dohner, J.V. The Encyclopedia of Historic and Endangered Livestock and Poultry Breeds; Yale University Press: London, UK, 2001. [Google Scholar]
- Freeman, T.C.; Ivens, A.; Baillie, J.K.; Beraldi, D.; Barnett, M.W.; Dorward, D.; Downing, A.; Fairbairn, L.; Kapetanovic, R.; Raza, S. A gene expression atlas of the domestic pig. BMC Biol. 2012, 10, 90. [Google Scholar] [CrossRef]
- Bonnet, A.; Bevilacqua, C.; Benne, F.; Bodin, L.; Cotinot, C.; Liaubet, L.; Sancristobal, M.; Sarry, J.; Terenina, E.; Martin, P. Transcriptome profiling of sheep granulosa cells and oocytes during early follicular development obtained by laser capture microdissection. BMC Genom. 2011, 12, 417. [Google Scholar] [CrossRef]
- Martin, J.A.; Wang, Z. Next-generation transcriptome assembly. Nat. Rev. Genet. 2011, 12, 671. [Google Scholar] [CrossRef]
- Ozsolak, F.; Milos, P.M. RNA sequencing: Advances, challenges and opportunities. Nat. Rev. Genet. 2011, 12, 87–98. [Google Scholar] [CrossRef]
- National Pork Board and EMI Analytics. Typical Market Pig Today. Available online: https://www.pork.org/facts/stats/consumption-and-expenditures/typical-market-pig-today/ (accessed on 15 August 2017).
- Sukhija, P.S.; Palmquist, D. Rapid method for determination of total fatty acid content and composition of feedstuffs and feces. J. Agric. Food Chem. 1988, 36, 1202–1206. [Google Scholar] [CrossRef]
- Christensen, L.B. Drip loss sampling in porcine m. longissimus dorsi. Meat Sci. 2003, 63, 469–477. [Google Scholar] [CrossRef]
- O’fallon, J.; Busboom, J.; Nelson, M.; Gaskins, C. A direct method for fatty acid methyl ester synthesis: Application to wet meat tissues, oils, and feedstuffs. J. Anim. Sci. 2007, 85, 1511–1521. [Google Scholar] [CrossRef] [PubMed]
- Zou, T.; Wang, B.; Yang, Q.; de Avila, J.M.; Zhu, M.J.; You, J.; Chen, D.; Du, M. Raspberry promotes brown and beige adipocyte development in mice fed high-fat diet through activation of AMP-activated protein kinase (AMPK) alpha1. J. Nutr. Biochem. 2018, 55, 157–164. [Google Scholar] [CrossRef] [PubMed]
- Li, Q.; Domig, K.J.; Ettle, T.; Windisch, W.; Mair, C.; Schedle, K. Evaluation of potential reference genes for relative quantification by RT-qPCR in different porcine tissues derived from feeding studies. Int. J. Mol. Sci. 2011, 12, 1727–1734. [Google Scholar] [CrossRef] [PubMed]
- Huang, Y.; Yan, X.; Zhao, J.X.; Zhu, M.J.; McCormick, R.J.; Ford, S.P.; Nathanielsz, P.W.; Ren, J.; Du, M. Maternal obesity induces fibrosis in fetal myocardium of sheep. Am. J. Physiol. Endocrinol. Metab. 2010, 299, E968–E975. [Google Scholar] [CrossRef] [PubMed]
- Saben, J.; Kang, P.; Zhong, Y.; Thakali, K.M.; Gomez-Acevedo, H.; Borengasser, S.J.; Andres, A.; Badger, T.M.; Shankar, K. RNA-seq analysis of the rat placentation site reveals maternal obesity-associated changes in placental and offspring thyroid hormone signaling. Placenta 2014, 35, 1013–1020. [Google Scholar] [CrossRef] [PubMed][Green Version]
- Dobin, A.; Davis, C.A.; Schlesinger, F.; Drenkow, J.; Zaleski, C.; Jha, S.; Gingeras, T.R. STAR: Ultrafast universal RNA-seq aligner. Bioinformatics 2013, 29, 15–21. [Google Scholar] [CrossRef]
- Robinson, M.D.; McCarthy, D.J.; Smyth, G.K. edgeR: A Bioconductor package for differential expression analysis of digital gene expression data. Bioinformatics 2010, 26, 139–140. [Google Scholar] [CrossRef]
- Sherman, B.T.; Lempicki, R.A. Systematic and integrative analysis of large gene lists using DAVID bioinformatics resources. Nat. Protoc. 2009, 4, 44–57. [Google Scholar]
- Dennis, G.; Sherman, B.T.; Hosack, D.A.; Yang, J.; Gao, W.; Lane, H.C.; Lempicki, R.A. DAVID: Database for annotation, visualization, and integrated discovery. Nat. Protoco. 2003, 4, 44. [Google Scholar]
- Bessa, R.J.B.; Hughes, R.A.; Jeronimo, E.; Moreira, O.C.; Prates, J.A.M.; Doran, O. Effect of pig breed and dietary protein level on selected fatty acids and stearoyl-coenzyme A desaturase protein expression in longissimus muscle and subcutaneous fat. J. Anim. Sci. 2013, 91, 4540–4546. [Google Scholar] [CrossRef]
- Eagerman, B.; Clydesdale, F.; Francis, F. Determination of fresh meat color by objective methods. J. Food Sci. 1977, 42, 707–710. [Google Scholar] [CrossRef]
- Watanabe, G.; Motoyama, M.; Nakajima, I.; Sasaki, K. Relationship between water-holding capacity and intramuscular fat content in Japanese commercial pork loin. Asian Australas J. Anim. Sci. 2018, 31, 914–918. [Google Scholar] [CrossRef] [PubMed]
- Lo, L.; McLaren, D.; McKeith, F.; Fernando, R.; Novakofski, J. Genetic analyses of growth, real-time ultrasound, carcass, and pork quality traits in Duroc and Landrace pigs: I. Breed effects. J. Anim. Sci. 1992, 70, 2373–2386. [Google Scholar] [CrossRef] [PubMed]
- De Vries, A.; Van der Wal, P.; Long, T.; Eikelenboom, G.; Merks, J. Genetic parameters of pork quality and production traits in Yorkshire populations. Livest. Prod. Sci. 1994, 40, 277–289. [Google Scholar] [CrossRef]
- Bressan, M.C.; Almeida, J.; Santos Silva, J.; Bettencourt, C.; Francisco, A.; Gama, L.T. Carcass characteristics and fat depots in Iberian and F Large White x Landrace pigs intensively finished or raised outdoors in oak-tree forests. J. Anim. Sci. 2016, 94, 2592–2602. [Google Scholar] [CrossRef]
- Tang, J.; Faustman, C.; Hoagland, T.A.; Mancini, R.A.; Seyfert, M.; Hunt, M.C.; Chemistry, F. Postmortem oxygen consumption by mitochondria and its effects on myoglobin form and stability. J. Agric. Food Chem. 2005, 53, 1223–1230. [Google Scholar] [CrossRef]
- Ramanathan, R.; Mancini, R.A.J.M.; Biology, M. Role of Mitochondria in Beef Color: A Review. Meat Muscle Biol. 2018, 2, 309–320. [Google Scholar] [CrossRef]
- Hunt, M.; Hedrick, H.J.J.o.F.S. Profile of fiber types and related properties of five bovine muscles. J. Food Sci. 1977, 42, 513–517. [Google Scholar] [CrossRef]
- Cho, I.C.; Park, H.B.; Ahn, J.S.; Han, S.H.; Lee, J.B.; Lim, H.T.; Yoo, C.K.; Jung, E.J.; Kim, D.H.; Sun, W.S.; et al. A functional regulatory variant of MYH3 influences muscle fiber-type composition and intramuscular fat content in pigs. PLoS Genet. 2019, 15, e1008279. [Google Scholar] [CrossRef]
- Livingston, D.J.; Brown, W.D. The Chemistry of Myoglobin and Its Reactions. Food Technol. 1981, 35, 244–252. [Google Scholar]
- Wittenberg, J.B.; Wittenberg, B.A. Myoglobin function reassessed. J. Exp. Biol. 2003, 206, 2011–2020. [Google Scholar] [CrossRef] [PubMed]
- Kim, G.-D.; Jeong, J.-Y.; Hur, S.-J.; Yang, H.-S.; Jeon, J.-T.; Joo, S.-T. The relationship between meat color (CIE L* and a*), myoglobin content, and their influence on muscle fiber characteristics and pork quality. Korean J. Food Sci. Anim. Resour. 2010, 30, 626–633. [Google Scholar] [CrossRef]
- Bosch, L.; Tor, M.; Reixach, J.; Estany, J.J.M.S. Age-related changes in intramuscular and subcutaneous fat content and fatty acid composition in growing pigs using longitudinal data. Meat Sci. 2012, 91, 358–363. [Google Scholar] [CrossRef] [PubMed]
- Olivares, A.; Daza, A.; Rey, A.; Lopez-Bote, C.J.M.S. Interactions between genotype, dietary fat saturation and vitamin A concentration on intramuscular fat content and fatty acid composition in pigs. Meat Sci. 2009, 82, 6–12. [Google Scholar] [CrossRef]
- Straadt, I.K.; Aaslyng, M.D.; Bertram, H.C.J.M.S. Sensory and consumer evaluation of pork loins from crossbreeds between Danish Landrace, Yorkshire, Duroc, Iberian and Mangalitza. Meat Sci. 2013, 95, 27–35. [Google Scholar] [CrossRef]
- Kris-Etherton, P.M. AHA Science Advisory. Monounsaturated fatty acids and risk of cardiovascular disease. American Heart Association. Nutrition Committee. Circulation 1999, 100, 1253–1258. [Google Scholar] [CrossRef]
- Zhao, X.; Mo, D.; Li, A.; Gong, W.; Xiao, S.; Zhang, Y.; Qin, L.; Niu, Y.; Guo, Y.; Liu, X.J. Comparative analyses by sequencing of transcriptomes during skeletal muscle development between pig breeds differing in muscle growth rate and fatness. PLoS ONE 2011, 6, e19774. [Google Scholar] [CrossRef]
- Wang, Y.; Reverter, A.; Mannen, H.; Taniguchi, M.; Harper, G.; Oyama, K.; Byrne, K.; Oka, A.; Tsuji, S.; Lehnert, S. Transcriptional profiling of muscle tissue in growing Japanese Black cattle to identify genes involved with the development of intramuscular fat. Aust. J. Exp. Agric. 2005, 45, 809–820. [Google Scholar] [CrossRef][Green Version]
- Si-Tahar, M.; Merlin, D.; Sitaraman, S.; Madara, J.L. Constitutive and regulated secretion of secretory leukocyte proteinase inhibitor by human intestinal epithelial cells. Gastroenterology 2000, 118, 1061–1071. [Google Scholar] [CrossRef]
- Irvin, M.R.; Shrestha, S.; Chen, Y.-D.I.; Wiener, H.W.; Haritunians, T.; Vaughan, L.K.; Tiwari, H.K.; Taylor, K.D.; Scherzer, R.; Saag, M.S. Genes linked to energy metabolism and immunoregulatory mechanisms are associated with subcutaneous adipose tissue distribution in HIV-infected men. Pharm. Genom. 2011, 21, 798. [Google Scholar] [CrossRef]
- Fu, Y.; Li, C.; Tang, Q.; Tian, S.; Jin, L.; Chen, J.; Li, M.; Li, C. Genomic analysis reveals selection in Chinese native black pig. Sci. Rep. 2016, 6, 36354. [Google Scholar] [CrossRef] [PubMed]
- Neess, D.; Bek, S.; Engelsby, H.; Gallego, S.F.; Faergeman, N.J. Long-chain acyl-CoA esters in metabolism and signaling: Role of acyl-CoA binding proteins. Prog. Lipid Res. 2015, 59, 1–25. [Google Scholar] [CrossRef] [PubMed]
- Pena, R.; Noguera, J.; Casellas, J.; Díaz, I.; Fernández, A.; Folch, J.; Ibáñez-Escriche, N. Transcriptional analysis of intramuscular fatty acid composition in the longissimus thoracis muscle of I berian× L andrace back-crossed pigs. Anim. Genet. 2013, 44, 648–660. [Google Scholar] [CrossRef] [PubMed]
- Li, L.O.; Klett, E.L.; Coleman, R.A. Acyl-CoA synthesis, lipid metabolism and lipotoxicity. Biochim. Biophys. Acta BBA Mol. Cell Biol. Lipids 2010, 1801, 246–251. [Google Scholar] [CrossRef]
- Reiner, G.; Heinricy, L.; Müller, E.; Geldermann, H.; Dzapo, V. Indications of associations of the porcine FOS proto-oncogene with skeletal muscle fibre traits. Anim. Genet. 2002, 33, 49–55. [Google Scholar] [CrossRef]







| Gene | Direction | Primer Sequence | GenBank Accession No. | Binding Positions | Product Length (bp) |
|---|---|---|---|---|---|
| GAPDH | Forward Reverse | 5′-TCGGAGTGAACGGATTTGGC-3′ 5′-TGACAAGCTTCCCGTTCTCC-3′ | NM_00120659.1 | 111 299 | 189 |
| SLC26A7 | Forward Reverse | 5′-GAAAATGCCAGCAATCAGCCA-3′ 5′-AGGGCCACAGTTCCCATTG-3′ | XM_021089130.1 | 1837 1938 | 102 |
| TKTL2 | Forward Reverse | 5′-CTGGCCTTTGCATCCCACTA-3′ 5′-GTATCCATGCAGTGCGCAAG-3′ | XM_013978706.2 | 373 476 | 104 |
| ACBD7 | Forward Reverse | 5′-GGAAGATGCCATGAGTGCCT-3′ 5′-CTGAGGGCTTCAAAAGGCAAA-3′ | XM_003357745.4 | 259 362 | 104 |
| THRSP | Forward Reverse | 5′-GTAGCCTCGGACTCTAGGCA-3′ 5′-CTGCAGGTCCAGGTCTTTCT-3′ | NM_001244376.1 | 486 599 | 114 |
| SLPI | Forward Reverse | 5′-CAAGTGCACAAGTGACTGGC-3′ 5′-GGCCATAGACCACTGGACAC-3′ | NM_213870.1 | 139 275 | 137 |
| FADS1 | Forward Reverse | 5′-GTCACTGCCTGGCTCATTCT-3′ 5′-AGGTGGTTCCACGTAGAGGT-3′ | NM_001113041.1 | 433 587 | 155 |
| ACSL6 | Forward Reverse | 5′-GAATACGGGCACTCTCTGGC-3′ 5′-CCTAGGACCCCAGTTTGCAG-3′ | XM_021084743.1 | 44 173 | 130 |
| FOS | Forward Reverse | 5′-GACTGCTATCTCGACCAGCC-3′ 5′-CTGGCATGGTCTTCACGACT-3′ | NM_001123113.1 | 192 349 | 158 |
| Parameters | CP a | BP | p-Value | ||
|---|---|---|---|---|---|
| Mean | sd | Mean | sd | ||
| Initial body weight (kg) | 18.82 | 1.41 | 23.31 | 1.93 | 0.1097 |
| Final body weight (kg) | 130.04 | 8.16 | 121.17 | 2.80 | 0.0341 |
| ADG b (kg) | 1.10 | 0.05 | 0.91 | 0.01 | 0.0452 |
| Hot carcass weight (kg) | 77.95 | 9.81 | 63.63 | 0.95 | 0.0060 |
| Back fat thickness (cm) | 0.72 | 0.07 | 1.42 | 0.22 | 0.0004 |
| Parameters | CP a | BP | p-Value | ||
|---|---|---|---|---|---|
| Mean | sd | Mean | sd | ||
| Drip loss (%) | 3.38 | 0.11 | 3.41 | 0.17 | 0.9571 |
| L* b | 57.78 | 4.52 | 60.24 | 2.43 | 0.3072 |
| a* | 16.72 | 1.73 | 14.58 | 1.09 | 0.0063 |
| b* | 14.31 | 1.68 | 13.73 | 0.67 | 0.4192 |
| C* | 22.02 | 2.28 | 19.99 | 1.09 | 0.0951 |
| h | 40.49 | 2.13 | 43.47 | 1.64 | 0.0176 |
| Proximal composition: | |||||
| Total fat (%) | 6.24 | 1.53 | 10.02 | 1.20 | 0.0431 |
| CP a | BP | p-Value | |||
|---|---|---|---|---|---|
| Mean | sd | Mean | sd | ||
| C10:0 | 0.08 | 0.01 | 0.10 | 0.01 | 0.0074 |
| C12:0 | 0.06 | 0.01 | 0.07 | 0.01 | 0.2895 |
| C14:0 | 1.14 | 0.17 | 1.20 | 0.08 | 0.5063 |
| C16:0 | 23.76 | 0.66 | 24.21 | 0.73 | 0.3495 |
| C16:1 | 3.06 | 0.46 | 3.32 | 2.41 | 0.2189 |
| C17:0 | 0.23 | 0.03 | 0.24 | 0.02 | 0.5706 |
| C18:0 | 11.74 | 0.79 | 11.95 | 0.73 | 0.4128 |
| C18:1 | 41.81 | 3.20 | 46.21 | 1.05 | 0.0153 |
| C18:2n-6 | 12.67 | 2.74 | 8.74 | 1.40 | 0.0352 |
| C18:3n-3 | 0.27 | 0.02 | 0.23 | 0.04 | 0.0496 |
| C20:0 | 0.13 | 0.01 | 0.19 | 0.02 | 0.0013 |
| C20:1 | 0.51 | 0.10 | 0.70 | 0.07 | 0.0007 |
| C20:2 | 0.29 | 0.04 | 0.23 | 0.02 | 0.0061 |
| C20:3n-6 | 0.35 | 0.11 | 0.22 | 0.05 | 0.0085 |
| C20:4n-6 | 2.82 | 0.87 | 1.53 | 0.48 | 0.0032 |
| C22:5 | 0.28 | 0.09 | 0.14 | 0.04 | 0.0162 |
| SFA b | 37.07 | 1.09 | 37.96 | 1.40 | 0.7946 |
| UFA | 62.04 | 1.05 | 61.25 | 1.34 | 0.5138 |
| MUFA | 45.32 | 3.61 | 50.18 | 1.21 | 0.0006 |
| PUFA | 3.75 | 1.06 | 2.11 | 0.55 | 0.0004 |
| n6/n3 | 27.59 | 3.63 | 28.35 | 3.08 | 0.0901 |
Publisher’s Note: MDPI stays neutral with regard to jurisdictional claims in published maps and institutional affiliations. |
© 2021 by the authors. Licensee MDPI, Basel, Switzerland. This article is an open access article distributed under the terms and conditions of the Creative Commons Attribution (CC BY) license (http://creativecommons.org/licenses/by/4.0/).
Share and Cite
Wang, Y.; Thakali, K.; Morse, P.; Shelby, S.; Chen, J.; Apple, J.; Huang, Y. Comparison of Growth Performance and Meat Quality Traits of Commercial Cross-Bred Pigs versus the Large Black Pig Breed. Animals 2021, 11, 200. https://doi.org/10.3390/ani11010200
Wang Y, Thakali K, Morse P, Shelby S, Chen J, Apple J, Huang Y. Comparison of Growth Performance and Meat Quality Traits of Commercial Cross-Bred Pigs versus the Large Black Pig Breed. Animals. 2021; 11(1):200. https://doi.org/10.3390/ani11010200
Chicago/Turabian StyleWang, Yongjie, Keshari Thakali, Palika Morse, Sarah Shelby, Jinglong Chen, Jason Apple, and Yan Huang. 2021. "Comparison of Growth Performance and Meat Quality Traits of Commercial Cross-Bred Pigs versus the Large Black Pig Breed" Animals 11, no. 1: 200. https://doi.org/10.3390/ani11010200
APA StyleWang, Y., Thakali, K., Morse, P., Shelby, S., Chen, J., Apple, J., & Huang, Y. (2021). Comparison of Growth Performance and Meat Quality Traits of Commercial Cross-Bred Pigs versus the Large Black Pig Breed. Animals, 11(1), 200. https://doi.org/10.3390/ani11010200

