Effect of Feeding Lactating Ewes with Moringa oleifera Leaf Extract on Milk Yield, Milk Composition and Preweaning Performance of Ewe/Lamb Pair
Simple Summary
Abstract
1. Introduction
2. Materials and Methods
2.1. Management of Animals and Experimental Design
2.2. Milk Yield and Composition
2.3. Moringa oleifera Leaf Extract
2.4. Antioxidant Content
2.5. Total Saponins
2.6. Condensed Tannins
2.7. Hydrolysable Tannins
2.8. Total Phenolic Compounds
2.9. Total Flavonoid Contents
2.10. Antioxidant Activity
2.11. Statistical Analyses
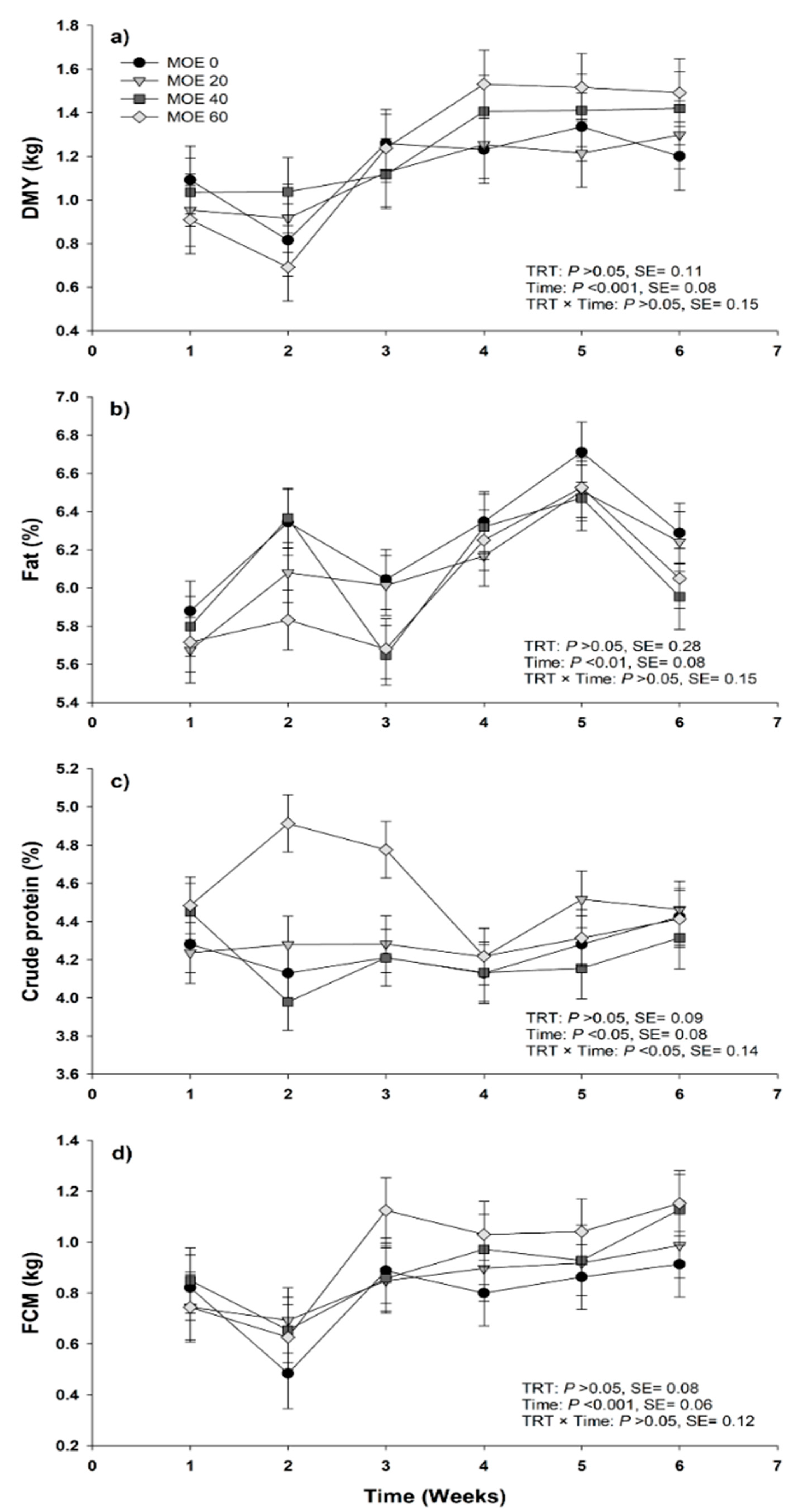
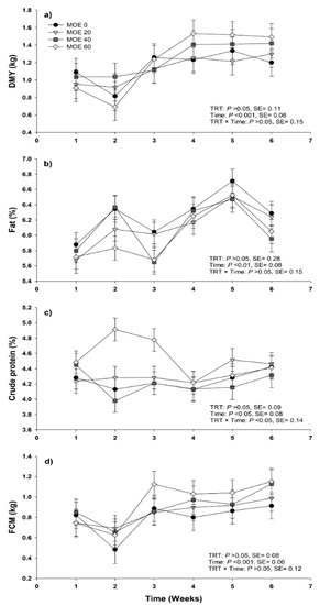
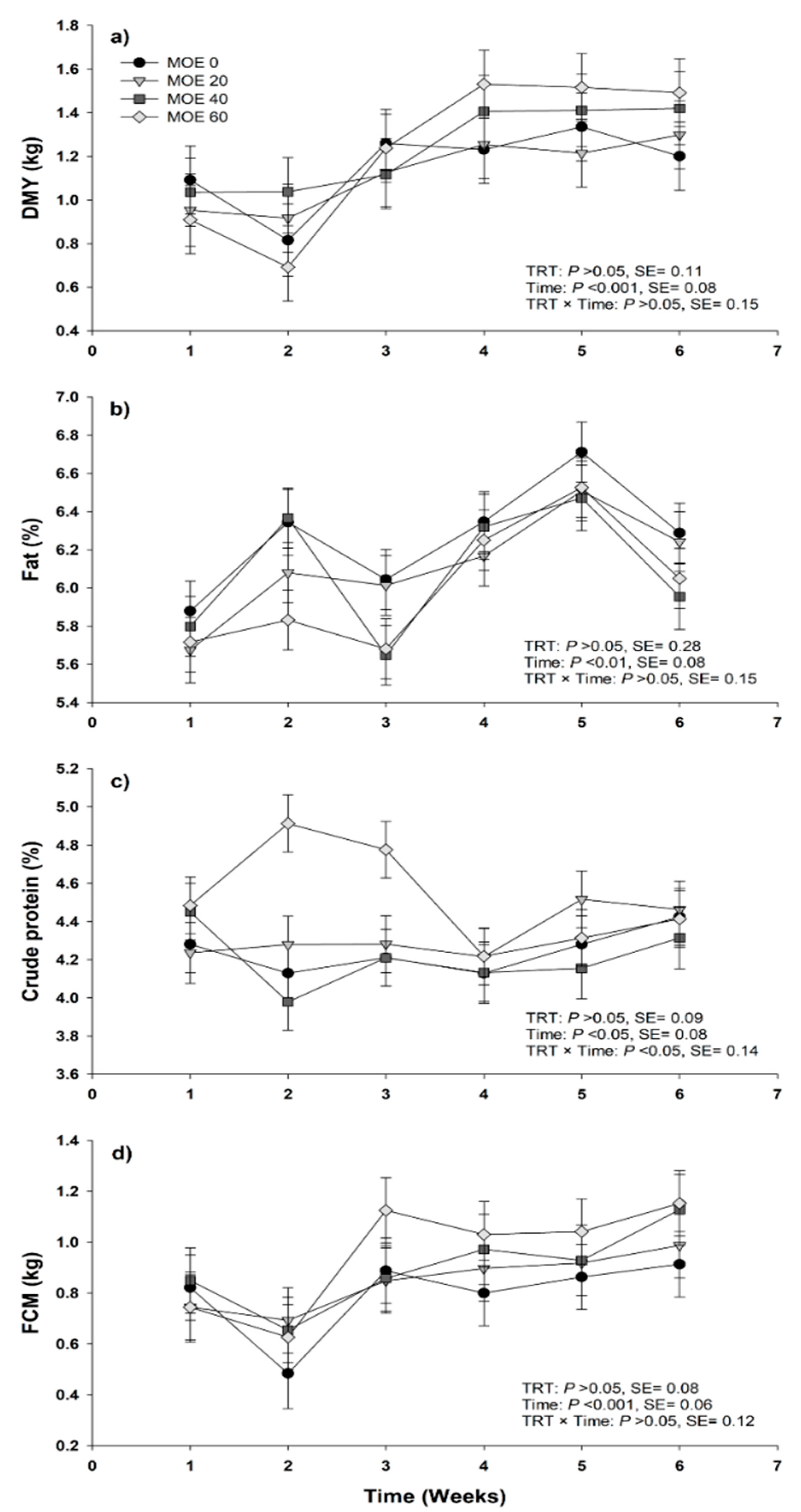
3. Results
3.1. Moringa oleifera Extracts
3.2. Ewe and Lamb Performance
4. Discussion
4.1. Moringa oleifera Extracts
4.2. Milk Production
4.3. Ewe Performance Traits
4.4. Lamb Performance Traits
5. Conclusions
Author Contributions
Funding
Acknowledgments
Conflicts of Interest
References
- Kholif, A.E.; Gouda, G.A.; Galyean, M.L.; Anele, U.Y.; Morsy, T.A. Extract of Moringa oleifera leaves increases milk production and enhances milk fatty acid profile of Nubian goats. Agrofor. Sys. 2019, 93, 1877–1886. [Google Scholar] [CrossRef]
- Dong, L.; Zhang, T.; Diao, Q. Effect of Dietary Supplementation of Moringa Oleifera on the Production Performance and Fecal Methanogenic Community of Lactating Dairy Cows. Animals 2019, 9, 262. [Google Scholar] [CrossRef] [PubMed]
- Hao, X.; Wang, P.; Ren, Y.; Liu, G.; Zhang, J.; Leury, B.; Zhang, C. Effects of Astragalus membranaceus roots supplementation on growth performance, serum antioxidant and immune response in finishing lambs. Asian-Australas. J. Anim. 2020, 33, 965–972. [Google Scholar] [CrossRef] [PubMed]
- Correddu, F.; Lunesu, M.F.; Buffa, G.; Atzori, A.S.; Nudda, A.; Battacone, G.; Pulina, G. Can Agro-Industrial By-Products Rich in Polyphenols be Advantageously Used in the Feeding and Nutrition of Dairy Small Ruminants? Animals 2020, 10, 131. [Google Scholar] [CrossRef] [PubMed]
- El-Kady, R.I.; Kandil, A.M.; Boraie, M.A. Effect of feeding natural AND/OR commercial bio-Additives on the productive performance of lactating ewes. J. Agric. Sci. 2004, 29, 5567–5583. [Google Scholar]
- Parraguez, V.H.; Sales, F.; Peralta, O.A.; Narbona, E.; Lira, R.; De los Reyes, M.; González-Bulnes, A. Supplementation of Underfed Twin-Bearing Ewes with Herbal Vitamins C and E: Impacts on Birth Weight, Postnatal Growth, and Pre-Weaning Survival of the Lambs. Animals 2020, 10, 652. [Google Scholar] [CrossRef] [PubMed]
- Santos, S.; Falbo, M.; Sandini, I.; Ishiy, L.; Deliberalli, A.; Posso, L. Ryegrass pasture supplementation strategies for lactating ewe performance. Turk. J. Vet. Anim. Sci. 2017, 41, 787–792. [Google Scholar] [CrossRef]
- Abdelmalek, Y.B.; Essid, I.; Smeti, S.; Atti, N. The antioxidant and antimicrobial effect of Rosmarinus Officinalis L. distillation residues’ intake on cooked sausages from ewes fed linseed. Small Rumin. Res. 2018, 168, 87–93. [Google Scholar] [CrossRef]
- Seidavi, A.; Tavakoli, M.; Rasouli, B.; Corazzin, M.; Salem, A.Z.M. Application of some trees/shrubs in ruminant feeding: A review. Agrofor. Syst. 2019, 1–12. [Google Scholar] [CrossRef]
- Babiker, E.E.; Juhaimi, F.A.L.; Ghafoor, K.; Abdoun, K.A. Comparative study on feeding value of Moringa leaves as a partial replacement for alfalfa hay in ewes and goats. Livest. Sci. 2017, 195, 21–26. [Google Scholar] [CrossRef]
- Jenko, C.; Bonato, P.; Fabre, R.; Perlo, F.; Tisocco, O.; Teira, G. Adición de taninos a dietas de rumiantes y su efecto sobre la calidad y rendimiento de la carne. Cienc. Docencia Tecnol. 2018, 29, 224–241. [Google Scholar] [CrossRef]
- Pollini, L.; Tringaniello, C.; Ianni, F.; Blasi, F.; Manes, J.; Cossignani, L. Impact of Ultrasound Extraction Parameters on the Antioxidant Properties of Moringa Oleifera Leaves. Antioxidants 2020, 9, 277. [Google Scholar] [CrossRef]
- Babiker, E.E.; AL Juhaimi, F.; Ghafoor, K.; Mohamed, H.E.; Abdoun, K.A. Effect of partial replacement of alfalfa hay with Moringa species leaves on milk yield and composition of Najdi ewes. Trop. Anim. Health Prod. 2016, 48, 1427–1433. [Google Scholar] [CrossRef] [PubMed]
- Kekana, T.W.; Marume, U.; Muya, C.M.; Nherera-Chokuda, F.V. Lactation performance and blood metabolites in lactating dairy cows micro-supplemented with Moringa oleifera leaf meal. S. Afr. J. Anim. Sci. 2019, 49, 709–716. [Google Scholar] [CrossRef]
- Makkar, H.P.S.; Becker, K. Nutrients and anti- quality factors in different morphological parts of the Moringa oleifera tree. J. Agric. Sci. 1997, 128, 311–332. [Google Scholar] [CrossRef]
- Foidl, N.; Makkar, H.P.S.; Berker., K. The potential of Moringa oleifera for agricultural and industrial uses. In The Miracle Tree: The Multiple Attributes of Moringa, 2nd ed.; Fuglie, L.J., Ed.; CTA/CWS: Dakar, Senegal, 2001; pp. 45–76. [Google Scholar]
- Mouchili, M.; Vargas-Bello-Pérez, E.; Tendonkeng, F.; Miégoué, E.; Wauffo, D.F.; Watsop, H.M.; Tedonkeng, E.P. Effects of different poultry manure fertilization levels and cutting times on Moringa oleifera production. Agric. Nat. Resour. 2019, 46, 310–318. [Google Scholar] [CrossRef]
- Kholif, A.E.; Gouda, G.A.; Morsy, T.A.; Salem, A.Z.M.; Lopez, S.; Kholif, A.M. Moringa oleifera leaf meal as a protein source in lactating goat’s diets: Feed intake, digestibility, ruminal fermentation, milk yield and composition, and its fatty acids profile. Small Rumin. Res. 2015, 129, 129–137. [Google Scholar] [CrossRef]
- Kholif, A.E.; Gouda, G.A.; Olafadehan, O.A.; Abdo, M.M. Effects of replacement of Moringa oleifera for berseem clover in the diets of Nubian goats on feed utilization, and milk yield, composition and fatty acid profile. Animal 2018, 12, 964–972. [Google Scholar] [CrossRef]
- Moyo, B.; Oyedemi, S.; Masika, P.J.; Muchenje, V. Polyphenolic content and antioxidant properties of Moringa oleifera leaf extracts and enzymatic activity of liver from goats supplemented with Moringa oleifera leaves/sunflower seed cake. Meat Sci. 2012, 91, 441–447. [Google Scholar] [CrossRef]
- INAFED (Instituto Nacional para el Federalismo y el Desarrollo Municipal). Available online: http://www.inafed.gob.mx/work/enciclopedia/EMM31yucatan/municipios/31027a.html. (accessed on 3 January 2020).
- INEGI (Instituto Nacional de Estadística y Geografía). Available online: https://www.inegi.org.mx/app/cuadroentidad/AnuarioGeografico/Yuc/2018#mapa_m_climas. (accessed on 3 January 2020).
- Russel, A.J.F.; Doney, J.M.; Gunn, R.G. Subjective assessment of body fat in live sheep. J. Agric. Sci. 1969, 72, 451–454. [Google Scholar] [CrossRef]
- Correddu, F.; Gaspa, G.; Pulina, G.; Nudda, A. Grape seed and linseed, alone and in combination, enhance unsaturated fatty acids in the milk of Sarda dairy sheep. J. Dairy Sci. 2016, 99, 1725–1735. [Google Scholar] [CrossRef]
- AFRC. Technical Committee on responses to nutrients. In Energy and Protein Requirements of Ruminants; CAB International: Wallingford, UK, 1993. [Google Scholar]
- Chay-Canul, A.J.; Aguilar-Urquizo, E.; Parra-Bracamonte, G.M.; Piñeiro-Vazquez, Á.T.; Sanginés-García, J.R.; Magaña-Monforte, J.G.; García-Herrera, R.A.; López-Villalobos, N. Ewe and lamb pre-weaning performance of Pelibuey and Katahdin hair sheep breeds under humid tropical conditions. Ital. J. Anim. Sci. 2019, 18, 850–857. [Google Scholar] [CrossRef]
- Tsiplakou, E.; Mavrommatis, A.; Kalogeropoulos, T.; Chatzikonstantinou, M.; Koutsouli, P.; Sotirakoglou, K.; Labrou, N.; Zervas, G. The effect of dietary supplementation with rumen-protected methionine alone or in combination with rumen-protected choline and betaine on sheep milk and antioxidant capacity. J. Anim. Physiol. Anim. Nutr. 2017, 101, 1004–1013. [Google Scholar] [CrossRef]
- Bocquier, F.; Barillet, F.; Guillouet, G.; Jacquin, M. Prévision de l’énergie du lait de brebis à partir de différents résultats d’analyses: Proposition de lait standard pour les brebis laitières. Ann. Zootech. 1993, 42, 57–66. [Google Scholar] [CrossRef]
- Ncube, B.; Ngunge, V.N.P.; Finnie, J.F.; Van Staden, J.A. Comparative study of the antimicrobial and phytochemical properties between outdoor grown and micropropagated Tulbaghia violacea Harv. plants. J. Ethnopharmacol. 2011, 134, 775–780. [Google Scholar] [CrossRef]
- Selcuk, N.; Erkan, M. The effects of 1-MCP treatment on fruit quality of medlar fruit (Mespilus germanica L. cv. Istanbul) during long term storage in the palliflex storage system. Postharvest Biol. Technol. 2015, 100, 81–90. [Google Scholar] [CrossRef]
- Çam, M.; Hışıl, Y. Pressurised water extraction of polyphenols from pomegranate peels. Food Chem. 2010, 123, 878–885. [Google Scholar] [CrossRef]
- Moo-Huchin, V.M.; Moo-Huchin, M.I.; Estrada-León, R.J.; Cuevas-Glory, L.; Estrada-Mota, I.A.; Ortiz-Vázquez, E.; Sauri-Duch, E. Antioxidant compounds, antioxidant activity and phenolic content in peel from three tropical fruits from Yucatan, Mexico. Food Chem. 2015, 166, 17–22. [Google Scholar] [CrossRef]
- SAS Institute Inc. SAS/STAT. Software. Ver. 9.00; SAS Institute Inc.: Cary, NC, USA, 2002. [Google Scholar]
- Vongsak, B.; Sithisarn, P.; Mangmool, S.; Thongpraditchote, S.; Wongkrajang, Y.; Gritsanapan, W. Maximizing total phenolics, total flavonoids contents and antioxidant activity of Moringa oleifera leaf extract by the appropriate extraction method. Ind. Crops Prod. 2013, 44, 566–571. [Google Scholar] [CrossRef]
- Saleem, A.; Saleem, M.; Akhtar, M.F. Antioxidant, anti-inflammatory and antiarthritic potential of Moringa oleifera Lam: An ethnomedicinal plant of Moringaceae family. S. Afr. J. 2020, 128, 246–256. [Google Scholar] [CrossRef]
- Du Toit, E.S.; Sithole, J.; Vorster, J. Leaf harvesting severity affects total phenolic and tannin content of fresh and dry leaves of Moringa oleifera Lam. trees growing in Gauteng, South Africa. S. Afr. J. Bot. 2019, in press. [Google Scholar] [CrossRef]
- Lima, T.R.F.; Gallo, S.B.; Rosa, A.F.; Brochado, T.; Bezerra, H.V.A.; Putrino, S.M.; Leme, P.R. Effect of Macleaya cordata and Magnolia officinalis plant extracts on oxidative stress control in lambs fed a high-concentrate diet. Asian-Austral. J. Anim. 2020, 33, 913–920. [Google Scholar] [CrossRef] [PubMed]
- Li, X.Z.; Park, B.K.; Yan, C.G.; Choi, J.G.; Ahn, J.S.; Shin, J.S. Effect of alcohol fermented feed on lactating performance, blood metabolites, milk fatty acid profile and cholesterol content in Holstein lactating cows. Asian-Austral. J. Anim. 2012, 25, 1546. [Google Scholar] [CrossRef] [PubMed]
- Daniel, J.L.P.; Amaral, R.C.; Neto, A.S.; Cabezas-Garcia, E.H.; Bispo, A.W.; Zopollatto, M.; Nussio, L.G. Performance of dairy cows fed high levels of acetic acid or ethanol. J. Dairy Sci. 2013, 96, 398–406. [Google Scholar] [CrossRef] [PubMed]
- McGrath, J.; Duval, S.M.; Tamassia, L.F.M.; Kindermann, M.; Stemmler, R.T.; de Gouvea, V.N.; Acedo, T.S.; Immig, I.; Williams, S.N.; Celi, P. Nutritional strategies in ruminants: A lifetime approach. Res. Vet. Sci. 2018, 116, 28–39. [Google Scholar] [CrossRef] [PubMed]
- Adegun, M.K.; Aye, P.A. Growth performance and economic analysis of West African Dwarf Rams fed Moringa oleifera and cotton seed cake as protein supplements to Panicum maximum. Am. J. Food. Nutr. 2013, 3, 58–63. [Google Scholar] [CrossRef]
- Guzmán, J.L.; Perez-Ecija, A.; Zarazaga, L.A.; Martín-García, A.I.; Horcada, A.; Delgado-Pertíñez, M. Using dried orange pulp in the diet of dairy goats: Effects on milk yield and composition and blood parameters of dams and growth performance and carcass quality of kids. Animal 2020, 1–9. [Google Scholar] [CrossRef]
- Titi, H.H.; Al-Fataftah, A.R. Effect of supplementation with vegetable oil on performance of lactating Awassi ewes, growth of their lambs and on fatty acid profile of milk and blood of lambs. Arch. Anim. Breed. 2013, 56, 467–479. [Google Scholar] [CrossRef]
- Gallardo, B.; Manca, M.G.; Mantecón, A.R.; Nudda, A.; Manso, T. Effects of linseed oil and natural or synthetic vitamin E supplementation in lactating ewes’ diets on meat fatty acid profile and lipid oxidation from their milk fed lambs. Meat Sci. 2015, 102, 79–89. [Google Scholar] [CrossRef]
- Hong, H.; Lee, J.H.; Kim, S.K. Phytochemicals and antioxidant capacity of some tropical edible plants. Asian-Austral. J. Anim. 2018, 31, 1677. [Google Scholar] [CrossRef]

| Parameter | Concentrate | Forage |
|---|---|---|
| Dry matter | 900 | 283 |
| Crude protein | 150 | 31 |
| Neutral detergent fibre | 438 | 693 |
| Acid detergent fiber | 160 | 470 |
| Organic matter | 963 | 953 |
| Ether extract | 43 | 19.2 |
| Metabolizable energy (MJ/kg DM) * | 11.5 | 7.6 |
| Compound | Amount (Mean ± SE) |
|---|---|
| Total saponins (mg DE/100 mL) | 21.39 ± 1.40 |
| Condensed tannins (mg CE/100 mL) | 7.77 ± 0.13 |
| Hydrolysable tannins (mg TAE/100 mL) | 182.55 ± 11.03 |
| Total phenols (mg GAE/100 mL) | 140.41 ± 3.40 |
| Total flavonoid (mg QE/100 mL) | 3.72 ± 0.19 |
| DPPH (mM trolox equivalent/100 mL) | 32.63 ± 3.74 |
| ABTS (mM trolox equivalent/100 mL) | 200.13 ± 8.84 |
| Variable | Daily Moringa oleifera Extract Supplementation (mL) | SE | p-Value | |||
|---|---|---|---|---|---|---|
| 0 | 20 | 40 | 60 | |||
| Total milk yield (kg) | 48.7 | 49.2 | 57.1 | 53.4 | 5.10 | 0.66 |
| Daily milk yield (kg) | 1.15 | 1.13 | 1.28 | 1.23 | 0.12 | 0.87 |
| Milk composition | ||||||
| Fat (%) | 6.27 | 6.11 | 6.09 | 6.01 | 0.08 | 0.13 |
| Protein (%) | 4.24 | 4.33 | 4.21 | 4.52 | 0.09 | 0.12 |
| Daily yields | ||||||
| Fat-corrected milk (kg/d) | 0.79 | 0.85 | 0.89 | 0.95 | 0.08 | 0.59 |
| Energy-corrected milk (kg/d) | 0.74 | 0.77 | 0.83 | 0.87 | 0.07 | 0.68 |
| Fat yield (kg/d) | 0.04 | 0.04 | 0.05 | 0.05 | 0.004 | 0.43 |
| Protein yield (kg/d) | 0.05 | 0.05 | 0.05 | 0.05 | 0.004 | 0.79 |
| Variable | Daily Moringa oleifera Extract Supplementation (mL) | SE | p-Value | |||
|---|---|---|---|---|---|---|
| 0 | 20 | 40 | 60 | |||
| Dry matter intake (kg/d) | 2.08 a,b | 1.98 a,b | 2.37 a | 1.89 b | 0.09 | 0.02 |
| Dry matter intake (g/kg 0.75/d) | 137 a,b | 125 b,c | 143 a | 121 c | 3.08 | <0.001 |
| Initial body weight (kg) | 34.6 | 37.3 | 38.1 | 36.4 | 2.20 | 0.72 |
| Final body weight (kg) | 40.7 | 42.3 | 46.9 | 42.2 | 2.41 | 0.38 |
| Body weight change (kg/d) | 0.137 | 0.111 | 0.195 | 0.129 | 0.02 | 0.28 |
| Litter weaning weight (kg) | 14.2 | 13.7 | 15.1 | 13.7 | 0.57 | 0.38 |
| Ewe efficiency (%) | 35.2 | 32.7 | 32.2 | 33.1 | 1.64 | 0.63 |
| Birth weight (kg) | 3.66 | 3.52 | 3.82 | 3.30 | 0.25 | 0.55 |
| Average daily preweaning gain in lambs (kg/d) | 0.23 | 0.22 | 0.25 | 0.23 | 0.01 | 0.30 |
© 2020 by the authors. Licensee MDPI, Basel, Switzerland. This article is an open access article distributed under the terms and conditions of the Creative Commons Attribution (CC BY) license (http://creativecommons.org/licenses/by/4.0/).
Share and Cite
Olvera-Aguirre, G.; Mendoza-Taco, M.M.; Arcos-Álvarez, D.N.; Piñeiro-Vázquez, A.T.; Moo-Huchin, V.M.; Canul-Solís, J.R.; Castillo-Sánchez, L.; Ramírez-Bautista, M.A.; Vargas-Bello-Pérez, E.; Chay-Canul, A.J. Effect of Feeding Lactating Ewes with Moringa oleifera Leaf Extract on Milk Yield, Milk Composition and Preweaning Performance of Ewe/Lamb Pair. Animals 2020, 10, 1117. https://doi.org/10.3390/ani10071117
Olvera-Aguirre G, Mendoza-Taco MM, Arcos-Álvarez DN, Piñeiro-Vázquez AT, Moo-Huchin VM, Canul-Solís JR, Castillo-Sánchez L, Ramírez-Bautista MA, Vargas-Bello-Pérez E, Chay-Canul AJ. Effect of Feeding Lactating Ewes with Moringa oleifera Leaf Extract on Milk Yield, Milk Composition and Preweaning Performance of Ewe/Lamb Pair. Animals. 2020; 10(7):1117. https://doi.org/10.3390/ani10071117
Chicago/Turabian StyleOlvera-Aguirre, Gabriel, Miriam Marleny Mendoza-Taco, Darwin Nicolas Arcos-Álvarez, Angel Trinidad Piñeiro-Vázquez, Victor Manuel Moo-Huchin, Jorge Rodolfo Canul-Solís, Luis Castillo-Sánchez, Marco Antonio Ramírez-Bautista, Einar Vargas-Bello-Pérez, and Alfonso Juventino Chay-Canul. 2020. "Effect of Feeding Lactating Ewes with Moringa oleifera Leaf Extract on Milk Yield, Milk Composition and Preweaning Performance of Ewe/Lamb Pair" Animals 10, no. 7: 1117. https://doi.org/10.3390/ani10071117
APA StyleOlvera-Aguirre, G., Mendoza-Taco, M. M., Arcos-Álvarez, D. N., Piñeiro-Vázquez, A. T., Moo-Huchin, V. M., Canul-Solís, J. R., Castillo-Sánchez, L., Ramírez-Bautista, M. A., Vargas-Bello-Pérez, E., & Chay-Canul, A. J. (2020). Effect of Feeding Lactating Ewes with Moringa oleifera Leaf Extract on Milk Yield, Milk Composition and Preweaning Performance of Ewe/Lamb Pair. Animals, 10(7), 1117. https://doi.org/10.3390/ani10071117

