Effects of Single and Repeated Doses on Disposition and Kinetics of Doxycycline Hyclate in Goats
Simple Summary
Abstract
1. Introduction
2. Materials and Methods
2.1. Chemicals
2.2. Animals
2.3. Experimental Procedure
2.4. Analytical Procedures
2.5. Pharmacokinetic Calculations
2.6. Statistical Analysis
3. Results
3.1. Safety
3.2. Single-Dose Study
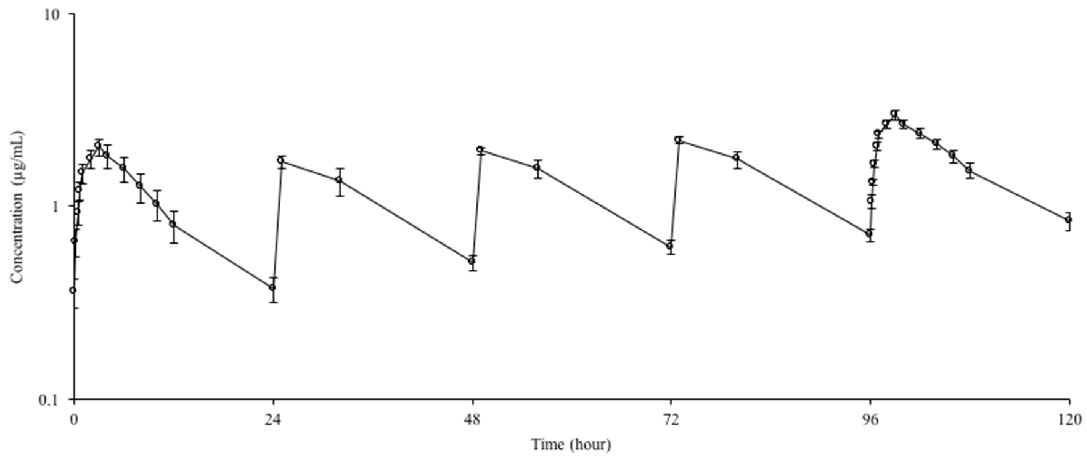
3.3. Repeated Oral Dose Study
4. Discussion
5. Conclusions
Author Contributions
Funding
Conflicts of Interest
References
- Holmes, N.E.; Charles, P.G.P. Safety and Efficacy Review of Doxycycline. Clin. Med. Ther. 2009, 1, 471–482. [Google Scholar] [CrossRef]
- Cunha, B.A.; Sibley, C.M.; Ristuccia, A.M. Doxycycline. Ther. Drug. Monit. 1982, 4, 115–135. [Google Scholar] [CrossRef] [PubMed]
- Nguyen, F.; Starosta, A.; Arenz, S.; Sohmen, D.; Dönhöfer, A.; Wilson, D.N. Tetracycline antibiotics and resistance mechanisms. Biol. Chem. 2014, 395, 559–575. [Google Scholar] [CrossRef] [PubMed]
- CVMP, Committee for Veterinary Medicinal Products. 1996. Available online: https://www.ema.europa.eu/en/documents/mrl-report/doxycycline-hyclate-summary-report-committee-veterinary-medicinal-products_en.pdf (accessed on 10 March 2020).
- Castro, L.J.; Sahagún, A.M.; Diez, M.J.; Fernandez, M.N.; Sierra, M.; García, J.J. Pharmacokinetics of doxycycline in sheep after intravenous and oral administration. Vet. J. 2009, 180, 389–395. [Google Scholar] [CrossRef]
- Riond, J.L.; Riviere, J.E. Pharmacology and toxicology of doxycycline. Vet. Hum. Toxicol. 1988, 30, 431–443. [Google Scholar] [PubMed]
- Mapenay, I.; Mitema, E. Efficacy of doxycycline in a goat model of Pasteurella pneumonia: Research communication. J. S. Afr. Vet. Assoc. 1997, 68, 55–58. [Google Scholar] [CrossRef]
- CVMP, Committee for Veterinary Medicinal Products. 1997. Available online: https://www.ema.europa.eu/en/documents/mrl-report/doxycycline-summary-report-2-committee-veterinary-medicinal-products_en.pdf (accessed on 10 March 2020).
- Mapenay, I.; Mitema, E.; Maitho, T. Aspects of the pharmacokinetics of doxycycline given to healthy and pneumonic East African dwarf goats by intramuscular injection. Vet. Res. Commun. 1997, 21, 453–462. [Google Scholar] [CrossRef]
- El-Aty, A.A.; Goudah, A.; Zhou, H.H. Pharmacokinetics of doxycycline after administration as a single intravenous bolus and intramuscular doses to non-lactating Egyptian goats. Pharmacol. Res. 2004, 49, 487–491. [Google Scholar] [CrossRef]
- Vargas, D.; Gutierrez, L.; Juárez, I.; Gonzalez, F.; Sumano, H. Pharmacokinetics after administration of an injectable experimental long-acting parenteral formulation of doxycycline hyclate in goats. Am. J. Vet. Res. 2008, 69, 1085–1090. [Google Scholar] [CrossRef]
- Baert, K.; Croubels, S.; Gasthuys, F.; De Busser, J.; De Backer, P. Pharmacokinetics and oral bioavailability of a doxycycline formulation (Doxycycline 75%) in nonfasted young pigs. J. Vet. Pharmacol. Ther. 2000, 23, 45–48. [Google Scholar] [CrossRef]
- Yang, F.; Yang, F.; Wang, G.; Kong, T. Pharmacokinetics of doxycycline after oral administration of single and multiple dose in broiler chickens. J. Vet. Pharmacol. Ther. 2018, 41, 919–923. [Google Scholar] [CrossRef]
- Colburn, W.A. Estimating the Accumulation of Drugs. J. Pharm. Sci. 1983, 72, 833–834. [Google Scholar] [CrossRef] [PubMed]
- Anonymous. Doxycycline Hyclate Injection. 2020. Available online: https://www.advacarepharma.com/es/veterinarios/inyeccion-de-hiclato-doxiciclina (accessed on 20 March 2020).
- Robles, L.J.C.; Prieto, A.M.S.; Liébana, M.J.D.; Martínez, N.F.; Vega, M.S.; Vieitez, J.J.G. Pharmacokinetic behavior of doxycycline after intramuscular injection in sheep. Am. J. Vet. Res. 2012, 73, 714–718. [Google Scholar] [CrossRef]
- Riond, J.L.; Riviere, J.E.; Duckett, W.M.; Atkins, C.E.; Jernigan, A.D.; Rikihisa, Y.; Spurlock, S.L. Cardiovascular effects and fatalities associated with intravenous administration of doxycycline to horses and ponies. Equine Vet. J. 1992, 24, 41–45. [Google Scholar] [CrossRef] [PubMed]
- Riond, J.L.; Tyczkowska, K.; Riviere, J.E. Pharmacokinetics and metabolic inertness of doxycycline in calves with mature or immature rumen function. Am. J. Vet. Res. 1989, 50, 1329–1333. [Google Scholar] [PubMed]
- Riond, J.L.; Vaden, S.L.; Riviere, J.E. Comparative pharmacokinetics of doxycycline in cats and dogs. J. Vet. Pharmacol. Ther. 1990, 13, 415–424. [Google Scholar] [CrossRef]
- Vargas, D.; Gracia-Mora, J.; Sumano, H. Pharmacokinetic study of an injectable long-acting parenteral formulation of doxycycline hyclate in calves. Res. Vet. Sci. 2008, 84, 477–482. [Google Scholar] [CrossRef]
- Jha, V.K.; Jayachandran, C.; Singh, M.K.; Singh, S.D. Pharmacokinetic data on doxycycline and its distribution in different biological fluids in female goats. Vet. Res. Commun. 1989, 13, 11–16. [Google Scholar] [CrossRef]
- Corum, O.; Corum, D.D.; Er, A.; Yildiz, R.; Uney, K. Pharmacokinetics and bioavailability of tolfenamic acid in sheep. J. Vet. Pharmacol. Ther. 2018, 41, 871–877. [Google Scholar] [CrossRef]
- Corum, O.; Corum, D.D.; Atik, O.; Faki, H.E.; Altan, F.; Uney, K. Pharmacokinetics and bioavailability of danofloxacin in chukar partridge (Alectoris chukar ) following intravenous, intramuscular, subcutaneous, and oral administrations. J. Vet. Pharmacol. Ther. 2018, 42, 207–213. [Google Scholar] [CrossRef]
- Toutain, P.L.; Bousquet-Mélou, A. Bioavailability and its assessment. J. Vet. Pharmacol. Ther. 2004, 27, 455–466. [Google Scholar] [CrossRef] [PubMed]
- Agwuh, K.N.; MacGowan, A. Pharmacokinetics and pharmacodynamics of the tetracyclines including glycylcyclines. J. Antimicrob. Chemother. 2006, 58, 256–265. [Google Scholar] [CrossRef]
- Davis, J.L.; Salmon, J.H.; Papich, M.G. Pharmacokinetics and tissue distribution of doxycycline after oral administration of single and multiple doses in horses. Am. J. Vet. Res. 2006, 67, 310–316. [Google Scholar] [CrossRef] [PubMed]
- Van Rossum, J.M. Pharmacokinetics of Accumulation. J. Pharm. Sci. 1968, 57, 2162–2165. [Google Scholar] [CrossRef] [PubMed]
- Li, L.; Li, X.; Xu, L.; Sheng, Y.; Huang, J.; Zheng, Q. Systematic evaluation of dose accumulation studies in clinical pharmacokinetics. Curr. Drug Metab. 2013, 14, 605–615. [Google Scholar] [CrossRef] [PubMed]
- Kusiluka, L.; Kambarage, D. Diseases of Small Ruminants: A Handbook, Common Diseases of Sheep and Goat in Sub-Saharan Africa; VETAID Centre for Tropical Veterinary Medicine: Midlothian, Scotland, 1996; pp. 25–59.
- Paterna, A.; Sánchez, A.; Gómez-Martín, A.; Corrales, J.; De La Fe, C.; Contreras, A.; Amores, J. Short communication: In vitro antimicrobial susceptibility of Mycoplasma agalactiae strains isolated from dairy goats. J. Dairy Sci. 2013, 96, 7073–7076. [Google Scholar] [CrossRef] [PubMed]
- Cunha, B.; Domenico, P.; Cunha, C.B. Pharmacodynamics of doxycycline. Clin. Microbiol. Infect. 2000, 6, 270–273. [Google Scholar] [CrossRef]
- Zhang, L.; Li, Y.; Wang, Y.; Sajid, A.; Ahmed, S.; Li, X. Integration of pharmacokinetic-pharmacodynamic for dose optimization of doxycycline against Haemophilus parasuis in pigs. J. Vet. Pharmacol. Ther. 2018, 41, 706–718. [Google Scholar] [CrossRef]


| Parameter | IV | IM | OR |
|---|---|---|---|
| t1/2λz (h) (HM) | 4.39 ± 0.14 c | 8.84 ± 0.52 b | 9.81 ± 0.51 a |
| AUC0–24 (h * µg/mL) | 91.11 ± 13.90 a | 40.75 ± 4.02 b | 23.73 ± 3.22 c |
| AUC0–last (h * µg/mL) | 92.83 ± 14.03 a | 46.22 ± 4.66 b | 28.01 ± 3.70 c |
| AUC0–∞ (h * µg/mL) | 93.15 ± 14.00 a | 47.18 ± 4.69 b | 28.92 ± 3.71 c |
| MRT0–∞ (h) (HM) | 5.26 ± 0.16 c | 11.71 ± 0.52 b | 13.97 ± 0.34 a |
| MAT (h) | - | 6.45 | 8.71 |
| ClT (L/h/kg) | 0.22 ± 0.03 | - | - |
| Vdss (L/kg) | 1.15 ± 0.17 | - | - |
| Tmax (h) (M) | - | 1 | 3 * |
| Cmax (µg/mL) | - | 4.74 ± 0.28 | 2.09 ± 0.21 * |
| F% | - | 51.51 ± 8.64 | 31.39 ± 4.51 * |
| Parameter | 1-day | 5-day |
|---|---|---|
| t1/2λz (h) (HM) | 9.73 ± 0.84 | 12.35 ± 0.66 * |
| AUC0–24 (h*µg/mL) | 23.31 ± 3.33 | 40.30 ± 2.29 * |
| MRT0–24 (h) (HM) | 14.24 ± 1.13 | 18.32 ± 1.24 * |
| Tmax (h) (M) | 3 | 3 |
| Cmax (µg/mL) | 2.05 ± 0.22 | 2.96 ± 0.16 * |
| Cmin (µg/mL) | 0.38 ± 0.05 | 0.84 ± 0.09 * |
| R | - | 1.76 ± 0.24 |
© 2020 by the authors. Licensee MDPI, Basel, Switzerland. This article is an open access article distributed under the terms and conditions of the Creative Commons Attribution (CC BY) license (http://creativecommons.org/licenses/by/4.0/).
Share and Cite
Turk, E.; Corum, O.; Tekeli, I.O.; Sakin, F.; Uney, K. Effects of Single and Repeated Doses on Disposition and Kinetics of Doxycycline Hyclate in Goats. Animals 2020, 10, 1088. https://doi.org/10.3390/ani10061088
Turk E, Corum O, Tekeli IO, Sakin F, Uney K. Effects of Single and Repeated Doses on Disposition and Kinetics of Doxycycline Hyclate in Goats. Animals. 2020; 10(6):1088. https://doi.org/10.3390/ani10061088
Chicago/Turabian StyleTurk, Erdinc, Orhan Corum, Ibrahim Ozan Tekeli, Fatih Sakin, and Kamil Uney. 2020. "Effects of Single and Repeated Doses on Disposition and Kinetics of Doxycycline Hyclate in Goats" Animals 10, no. 6: 1088. https://doi.org/10.3390/ani10061088
APA StyleTurk, E., Corum, O., Tekeli, I. O., Sakin, F., & Uney, K. (2020). Effects of Single and Repeated Doses on Disposition and Kinetics of Doxycycline Hyclate in Goats. Animals, 10(6), 1088. https://doi.org/10.3390/ani10061088

