Effects of Partially Defatted Hermetia illucens Meal in Rainbow Trout Diet on Hepatic Methionine Metabolism
Simple Summary
Abstract
1. Introduction
2. Materials and Methods
2.1. Gene Expression Analysis
2.1.1. Fish Sampling
2.1.2. Total RNA Extraction and cDNA Synthesis
2.1.3. Generation of in Vitro-Transcribed mRNAs for Standard Curves
2.1.4. Transcript Quantification by One-Step TaqMan® real-time RT-PCR
2.2. SAM/SAH HPLC Analysis
2.2.1. Reagents
2.2.2. Standards and Biological Sample Preparation
2.2.3. HPLC System and Chromatographic Conditions
2.2.4. Validation
2.3. Statistical Analyses
3. Results
3.1. Fish Performance
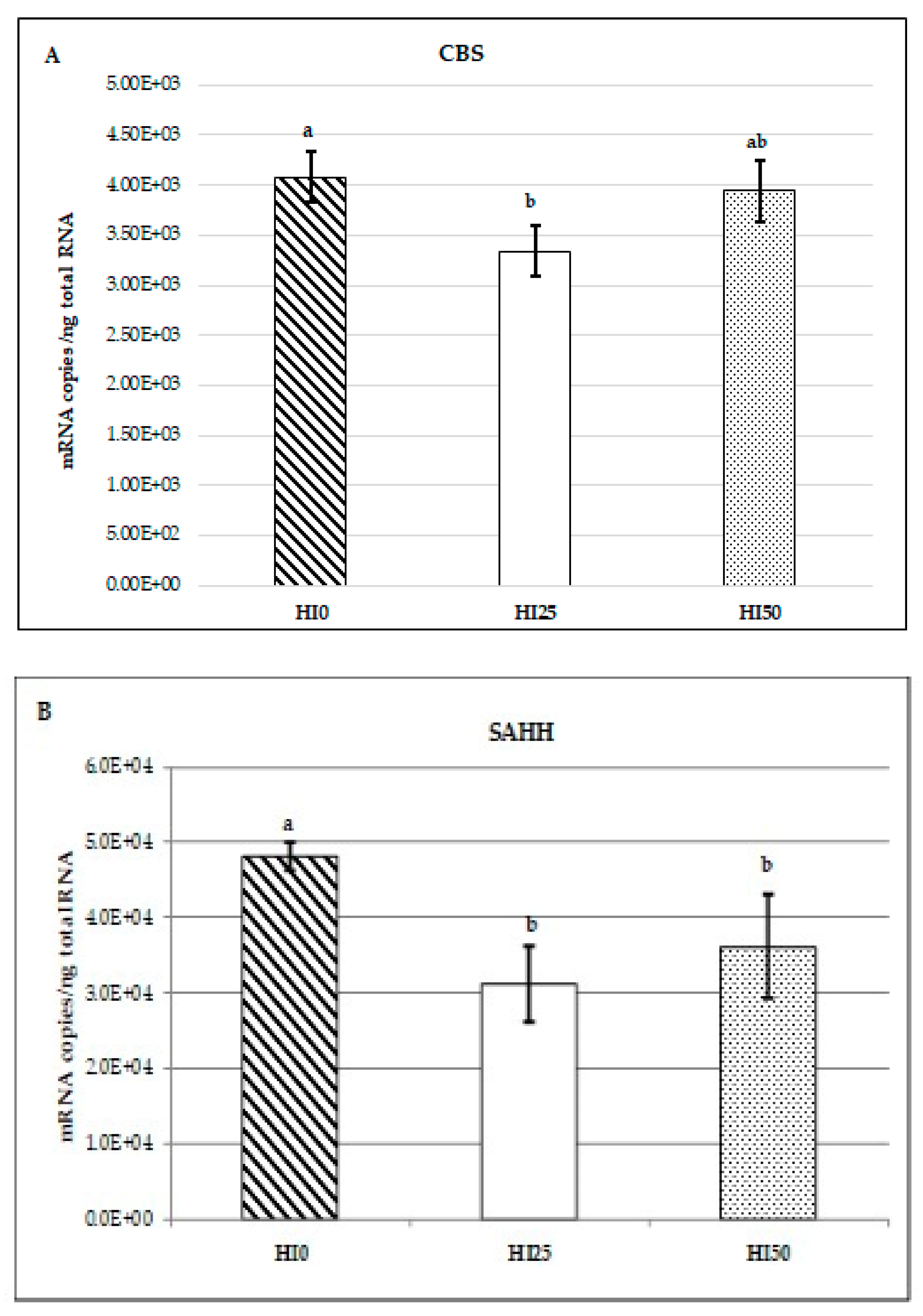
3.2. Gene Expression
3.3. Hepatic SAM and SAH Concentrations
4. Discussion
5. Conclusions
Author Contributions
Funding
Acknowledgments
Conflicts of Interest
References
- FAO. The State of World Fisheries and Aquaculture—Meeting the Sustainable Development Goals, Rome; FAO: Rome, Italy, 2018; Available online: http://www.fao.org/documents/card/en/c/I9540EN/ (accessed on 15 January 2020).
- Gasco, L.; Acuti, G.; Bani, P.; dalle Zotte, A.; Danieli, P.P.; de Angelis, A.; Fortina, R.; Marino, R.; Parisi, G.; Piccolo, G.; et al. Insect and fish by-products as sustainable alternatives to conventional animal proteins in animal nutrition. Ital. J. Anim. Sci. 2020, 19, 360–372. [Google Scholar] [CrossRef]
- Barroso, F.G.; de Haro, C.; Sánchez-Muros, M.J.; Venegas, E.; Martínez-Sánchez, A.; Pérez-Bañón, C. The potential of various insect species for use as food for fish. Aquaculture 2014, 422–423, 193–201. [Google Scholar] [CrossRef]
- Van Huis, A.; Oonincx, D.G.A.B. The environmental sustainability of insects as food and feed. A review. Agron. Sustain. Dev. 2017, 37, 43. [Google Scholar] [CrossRef]
- Lock, E.R.; Arsiwalla, T.; Waagbø, R. Insect larvae meal as an alternative source of nutrients in the diet of Atlantic salmon (Salmo salar) postsmolt. Aquac. Nutr. 2016, 22, 1202–1213. [Google Scholar] [CrossRef]
- Belghit, I.; Liland, N.S.; Waagbø, R.; Biancarosa, I.; Pelusio, N.; Li, Y.; Krogdahl, Å.; Lock, E.-J. Potential of insect-based diets for Atlantic salmon (Salmo salar). Aquaculture 2018, 491, 72–81. [Google Scholar] [CrossRef]
- Magalhães, R.; Sánchez-López, A.; Leal, R.S.; Martínez-Llorens, S.; Oliva-Teles, A.; Peres, H. Black soldier fly (Hermetia illucens) pre-pupae meal as a fish meal replacement in diets for European seabass (Dicentrarchus labrax). Aquaculture 2017, 476, 79–85. [Google Scholar] [CrossRef]
- Renna, M.; Schiavone, A.; Gai, F.; Dabbou, S.; Lussiana, C.; Malfatto, V.; Prearo, M.; Capucchio, M.T.; Biasato, I. Evaluation of the suitability of a partially defatted black soldier fly (Hermetia illucens L.) larvae meal as ingredient for rainbow trout (Oncorhynchus mykiss Walbaum) diets. J. Anim. Sci. Biotechnol. 2017, 8, 1–13. [Google Scholar] [CrossRef]
- Zhou, J.S.; Liu, S.S.; Ji, H.; Yu, H.B. Effect of replacing dietary fish meal with black soldier fly larvae meal on growth and fatty acid composition of Jian carp (Cyprinus carpio var. Jian). Aquac. Nutr. 2018, 24, 424–433. [Google Scholar] [CrossRef]
- Xiao, X.; Jin, P.; Zheng, L.; Cai, M.; Yu, Z.; Yu, J.; Zhang, J. Effects of black soldier fly (Hermetia illucens) larvae meal protein as a fishmeal replacement on the growth and immune index of yellow catfish (Pelteobagrus fulvidraco). Aquac. Res. 2018, 49, 1569–1577. [Google Scholar] [CrossRef]
- Terova, G.; Rimoldi, S.; Ascione, C.; Gini, E.; Ceccotti, C.; Gasco, L. Rainbow trout (Oncorhynchus mykiss) gut microbiota is modulated by insect meal from Hermetia illucens prepupae in the diet. Rev. Fish Biol. Fisher. 2019, 29, 465–486. [Google Scholar] [CrossRef]
- Rimoldi, S.; Gini, E.; Iannini, F.; Gasco, L.; Terova, G. The effects of dietary insect meal from Hermetia illucens prepupae on autochthonous gut microbiota of rainbow trout (Oncorhynchus mykiss). Animals 2019, 9, 143. [Google Scholar] [CrossRef]
- Makkar, H.P.S.; Tran, G.; Heuzé, V.; Ankers, P. State-of-the-art on use of insects as animal feed. Anim. Feed Sci. Technol. 2014, 197, 1–33. [Google Scholar] [CrossRef]
- Lansard, M.; Panserat, S.; Plagnes-Juan, E.; Dias, K.; Seiliez, I.; Skiba-Cassy, S. L-leucine, L-methionine, and L-lysine are involved in the regulation of intermediary metabolism-related gene expression in rainbow trout hepatocytes. J. Nutr. 2011, 141, 75–80. [Google Scholar] [CrossRef]
- Boonyoung, S.; Haga, Y.; Satoh, S. Preliminary study on effects of methionine hydroxyl analog and taurine supplementation in a soy protein concentrate-based diet on the biological performance and amino acid composition of rainbow trout [Oncorhynchus mykiss (Walbaum)]. Aquac. Res. 2013, 44, 1139–1347. [Google Scholar] [CrossRef]
- Rolland, M.; Dalsgaard, J.; Holm, J.; Gomez-Requeni, P.; Skov, P.V. Dietary methionine level affects growth performance and hepatic gene expression of GH-IGF system and protein turnover regulators in rainbow trout (Oncorhynchus mykiss) fed plant protein-based diets. Comp. Biochem. Physiol. B Biochem. Mol. Biol. 2015, 181, 33–41. [Google Scholar] [CrossRef]
- Skiba-Cassy, S.; Geurden, I.; Panserat, S.; Seiliez, I. Dietary methionine imbalance alters the transcriptional regulation of genes involved in glucose, lipid and amino acid metabolism in the liver of rainbow trout (Oncorhynchus mykiss). Aquaculture 2016, 454, 56–65. [Google Scholar] [CrossRef]
- Powell, C.D.; Chowdhury, M.K.; Bureau, D.P. Assessing the bioavailability of L-methionine and a methionine hydroxy analogue (MHA-Ca) compared to DL-methionine in rainbow trout (Oncorhynchus mykiss). Aquac. Res. 2017, 48, 332–346. [Google Scholar] [CrossRef]
- Wilson, R.P. Amino acids and proteins. In Fish Nutrition, 3rd ed.; Halver, J.E., Hardy, R.W., Eds.; Academic Press: New York, NY, USA, 2002; pp. 143–179. [Google Scholar]
- Machado, M.; Azeredo, R.; Fontinha, F.; Fernández-Boo, S.; Conceição, L.E.C.; Dias, J.; Costas, B. Dietary methionine improves the European seabass (Dicentrarchus labrax) immune status, inflammatory response, and disease resistance. Front. Immunol. 2018, 20, 2672. [Google Scholar] [CrossRef] [PubMed]
- Nguyen, M.V.; Espe, M.; Conceição, L.E.; Le, H.M.; Yúfera, M.; Engrola, S.A.; Jordal, A.E.; Rønnestad, I. The role of dietary methionine concentrations on growth, metabolism and N-retention in cobia (Rachycentron canadum) at elevated water temperatures. Aquac. Nutr. 2019, 25, 495–507. [Google Scholar] [CrossRef] [PubMed]
- Kwasek, K.; Terova, G.; Lee, B.J.; Bossi, E.; Saroglia, M.; Dabrowski, K. Dietary methionine supplementation alters the expression of genes involved in methionine metabolism in salmonids. Aquaculture 2014, 433, 223–228. [Google Scholar] [CrossRef]
- Zhang, N. Role of methionine on epigenetic modification of DNA methylation and gene expression in animals. Anim. Nutr. 2018, 4, 11–16. [Google Scholar] [CrossRef] [PubMed]
- Finkelstein, J.D. Metabolic regulatory properties of S-adenosylmethionine and S-adenosylhomocysteine. Clin. Chem. Lab. Med. 2007, 45, 1694–1699. [Google Scholar] [CrossRef] [PubMed]
- Finkelstein, J.D. The metabolism of homocysteine: Pathways and regulation. Eur. J. Pediatr. 1998, 157, 40–44. [Google Scholar] [CrossRef] [PubMed]
- Barroso, M.; Handy, D.E.; Castro, R. The link between hyperhomocysteinemia and hypomethylation: Implications for cardiovascular disease. J. Inborn Errors Metab. Screen. 2017, 5, 1–15. [Google Scholar] [CrossRef]
- Zhang, Y.; Zhu, T.; Wang, L.; Pan, Y.H.; Zhang, S. Homocysteine homeostasis and betaine-homocysteine S-methyltransferase expression in the brain of hibernating bats. PLoS ONE 2013, 8, e85632. [Google Scholar] [CrossRef] [PubMed]
- Wang, W.; Kramer, P.M.; Yang, S.; Pereira, M.A.; Tao, L. Reversed-phase high-performance liquid chromatography procedure for the simultaneous determination of S-adenosyl-l-methionine and S-adenosyl-l-homocysteine in mouse liver and the effect of methionine on their concentrations. J. Chromatogr. B Biomed. Sci. Appl. 2001, 762, 59–65. [Google Scholar] [CrossRef]
- Basto, A.; Matos, E.; Valente, L.M.P. Nutritional value of different insect larvae meals as protein sources for European sea bass (Dicentrarchus labrax) juveniles. Aquaculture 2020, 521, 735085. [Google Scholar] [CrossRef]
- Akiyama, T.; Oohara, I.; Yamamoto, T. Comparison of essential amino acid requirements with A/E ratio among fish species. Fish. Sci. 1997, 63, 963–970. [Google Scholar] [CrossRef]
- Kaushik, S.J.; Cravedi, J.P.; Lalles, J.P.; Sumpter, J.; Fauconneau, B.; Laroche, M. Partial or total replacement of fish meal by soybean protein on growth, protein utilization, potential estrogenic or antigenic effects, cholesterolemia and flesh quality in rainbow trout, Oncorhynchus mykiss. Aquaculture 1995, 133, 257–274. [Google Scholar] [CrossRef]
- Wilson, R.P.; Halver, J.E. Protein and amino acid requirements of fishes. Ann. Rev. Nutr. 1986, 6, 225–244. [Google Scholar] [CrossRef]
- Finkelstein, J.D.; Martin, J.J.; Harris, B.J. Methionine metabolism in mammals. The methionine-sparing effect of cystine. J. Biol. Chem. 1988, 263, 11750–11754. [Google Scholar] [CrossRef] [PubMed]
- Walton, M.J.; Cowey, C.B.; Adron, J.W. Methionine metabolism in rainbow trout fed diets of differing methionine and cystine content. J. Nutr. 1982, 112, 1525–1535. [Google Scholar] [CrossRef]
- Rodehutscord, M.; Becker, A.; Pack, M.; Pfeffer, E. Response of rainbow trout (Oncorhynchus mykiss) to supplements of individual essential amino acids in a semipurified diet, including an estimate of the maintenance requirement for essential amino acids. J. Nutr. 1997, 127, 1166–1175. [Google Scholar] [CrossRef] [PubMed]
- Espe, M.; Rathore, R.M.; Du, Z.Y.; Liaset, B.; El-Mowafi, A. Methionine limitation results in increased hepatic FAS activity, higher liver 18:1 to 18:0 fatty acid ratio and hepatic TAG accumulation in Atlantic salmon, Salmo salar. Amino Acids 2010, 39, 449–460. [Google Scholar] [CrossRef]
- Dias, J.; Alvarez, M.J.; Arzel, J.; Corraze, G.; Diez, A.; Bautista, J.M.; Kaushik, S.J. Dietary protein source effects lipid metabolism in the European seabass (Dicentrarchus labrax). Comp. Biochem. Physiol. 2005, 142, 19–31. [Google Scholar] [CrossRef]
- Tang, B.; Mustafa, A.; Gupta, S.; Melnyk, S.; James, S.J.; Kruger, W.D. Methionine-deficient diet induces post-transcriptional downregulation of cystathionine β-synthase. Nutrition 2010, 26, 1170–1175. [Google Scholar] [CrossRef]
- Stipanuk, M.H.; Ueki, I. Dealing with methionine/homocysteine sulfur: Cysteine metabolism to taurine and inorganic sulfur. J. Inherit. Metab. Dis. 2011, 34, 17–32. [Google Scholar] [CrossRef] [PubMed]
- Prudova, A.; Bauman, Z.; Braun, A.; Vitvitsky, V.; Lu, S.C.; Banerjee, R. S-adenosylmethionine stabilizes cystathionine β-synthase and modulates redox capacity. Proc. Natl. Acad. Sci. USA 2006, 103, 6489–6494. [Google Scholar] [CrossRef]
- Yi, P.; Melnyk, S.; Pogribna, M.; Pogribny, I.P.; Hine, R.J.; James, S.J. Increase in plasma homocysteine associated with parallel increases in plasma S-adenosylhomocysteine and lymphocyte DNA hypomethylation. J. Biol. Chem. 2000, 275, 29318–29323. [Google Scholar] [CrossRef]
- Yamamoto, N.; Tanaka, T.; Noguchi, T. Effect of cysteine on expression of cystathionine, 3-synthase in the rat liver. J. Nutr. Sci. Vitaminol. 1995, 41, 197–205. [Google Scholar] [CrossRef]
- Ohuchi, S.; Morita, T.; Mori, M.; Sugiyama, K. Hepatic cystathionine B-synthase activity does not increase in response to methionine supplementation in rats fed a low casein diet: Association with plasma homocysteine concentrations. J. Nutr. Sci. Vitaminol. 2009, 55, 178–185. [Google Scholar] [CrossRef] [PubMed]
- Park, E.I.; Renduchtintala, M.S.; Garrow, T.A. Diet-induced changes in hepatic betaine-homocysteine methyltransferase activity are mediated by changes in the steady-state level of its mRNA. J. Nutr. Biochem. 1997, 8, 541–545. [Google Scholar] [CrossRef]
- Park, E.I.; Garrow, T.A. Interaction between dietary methionine and methyl donor intake on rat liver, betaine-homocysteine methyltransferase gene expression and organization of the human gene. J. Biol. Chem. 1999, 274, 7816–7824. [Google Scholar] [CrossRef] [PubMed]
- Grillo, M.A.; Colombato, S. S-adenosylmethionine and its products. Amino Acids 2008, 34, 187–193. [Google Scholar] [CrossRef]
- Mato, J.; Alvarez, L.; Ortiz, P.; Pajares, M.A. S-adenosylmethionine synthesis: Molecular mechanisms and clinical implications. Pharmacol. Ther. 1997, 73, 265–280. [Google Scholar] [CrossRef]
- Rowling, M.J.; McMullen, M.H.; Chipman, D.C.; Schalinske, K.L. Hepatic glycine N-methyltransferase is up-regulated by excess dietary methionine in rats. J. Nutr. 2002, 132, 2545–2550. [Google Scholar] [CrossRef]
- Shivapurkar, N.; Poirier, L.A. Tissue levels of S-adenosylmethionine and S-adenosylhomocysteine in rats fed methyl-deficient, amino acid-defined diets for one to five weeks. Carcinogenesis 1983, 4, 1051–1057. [Google Scholar] [CrossRef]
- Espe, M.; Andersen, S.M.; Holen, E.; Rønnestad, I.; Veiseth-Kent, E.; Zerrahn, J.-E.; Aksnes, A. Methionine deficiency does not increase polyamine turnover through depletion of hepatic S-adenosylmethionine in juvenile Atlantic salmon. Br. J. Nutr. 2014, 112, 1274–1285. [Google Scholar] [CrossRef]


| Gene | Nucleotide Sequence (5’→3’) | Purpose |
|---|---|---|
| BHMT FW | TGCAGAGTACTTTGAGCACGT | Cloning |
| BHMT RV | CCGTGACTACTGGGAGAAGC | |
| SAHHB FW | CCCTTCAAAGTTGCTGACATCA | |
| SAHHB RV | ATGTGTGGTGCATTGAGCAGA | |
| CBS FW | AAACCCTGGTGGTGGAAC | |
| CBS RV | GTGCTCTACAAACAATTCAAACAGGT | |
| T7 BHMT sense | gtaatacgactcactatagggTGAAAGAGGGAGTGGAGAGG | Standard Curve |
| BHMT antisense | CCGTGACTACTGGGAGAAGC | |
| T7 SAHHB sense | gtaatacgactcactatagggAGATGAGGGAGCTGTATGGC | |
| SAHHB antisense | ATGTGTGGTGCATTGAGCAGA | |
| T7 CBS sense | gtaatacgactcactatagggAAACCCTGGTGGTGGAAC | |
| CBS antisense | GTGCTCTACAAACAATTCAAACAGGT | |
| BHMT FW | TGCCAGGGATTCATCGATCTG | Real-time RT-PCR |
| BHMT RV | ATGACCAGGTGGGACATGCAC | Amplicon size: 75 bp; E = 91%; R2 value = 0.99 |
| BHMT probe | AGAATTCCCCTTCGGTCTGGAGCCCA | |
| SAHHB FW | CCGCCGTGCTCATTGAGA | Amplicon size: 65 bp; E = 93% R2 value = 0.99 |
| SAHHB RV | GTTCAATGGTCCAGCTGCAATATC | |
| SAHHB probe | CTGCCCTTGGAGCCGA | |
| CBS FW | AGACCATCAAGATCCTCAAGGAGAA | Amplicon size: 62bp; E = 94%; R2 value = 0.99 |
| CBS RV | TCGTTGACGAGTCCGGC | |
| CBS probe | GGCTTTTGACCAGG |
| Hepatic Concentrations | Diets | SEM | p-Value | ||
|---|---|---|---|---|---|
| HI0 | HI25 | HI50 | |||
| SAM nmol/g | 59.39 b | 61.17 b | 65.71 a | 0.88 | p < 0.001 |
| SAH nmol/g | 37.81 a | 26.64 b | 17.28 c | 2.58 | p < 0.001 |
| SAM/SAH nmol/g | 1.57 c | 2.32 b | 3.82 a | 0.28 | p < 0.001 |
© 2020 by the authors. Licensee MDPI, Basel, Switzerland. This article is an open access article distributed under the terms and conditions of the Creative Commons Attribution (CC BY) license (http://creativecommons.org/licenses/by/4.0/).
Share and Cite
Terova, G.; Ceccotti, C.; Ascione, C.; Gasco, L.; Rimoldi, S. Effects of Partially Defatted Hermetia illucens Meal in Rainbow Trout Diet on Hepatic Methionine Metabolism. Animals 2020, 10, 1059. https://doi.org/10.3390/ani10061059
Terova G, Ceccotti C, Ascione C, Gasco L, Rimoldi S. Effects of Partially Defatted Hermetia illucens Meal in Rainbow Trout Diet on Hepatic Methionine Metabolism. Animals. 2020; 10(6):1059. https://doi.org/10.3390/ani10061059
Chicago/Turabian StyleTerova, Genciana, Chiara Ceccotti, Chiara Ascione, Laura Gasco, and Simona Rimoldi. 2020. "Effects of Partially Defatted Hermetia illucens Meal in Rainbow Trout Diet on Hepatic Methionine Metabolism" Animals 10, no. 6: 1059. https://doi.org/10.3390/ani10061059
APA StyleTerova, G., Ceccotti, C., Ascione, C., Gasco, L., & Rimoldi, S. (2020). Effects of Partially Defatted Hermetia illucens Meal in Rainbow Trout Diet on Hepatic Methionine Metabolism. Animals, 10(6), 1059. https://doi.org/10.3390/ani10061059

