Serum Concentrations of Essential Trace and Toxic Elements in Healthy and Disease-Affected Dogs
Simple Summary
Abstract
1. Introduction
2. Material and Methods
2.1. Animals and Sample Collection
2.2. Sample Preparation and ICP-MS Analysis
2.3. Data Analysis and Reference Intervals
3. Results
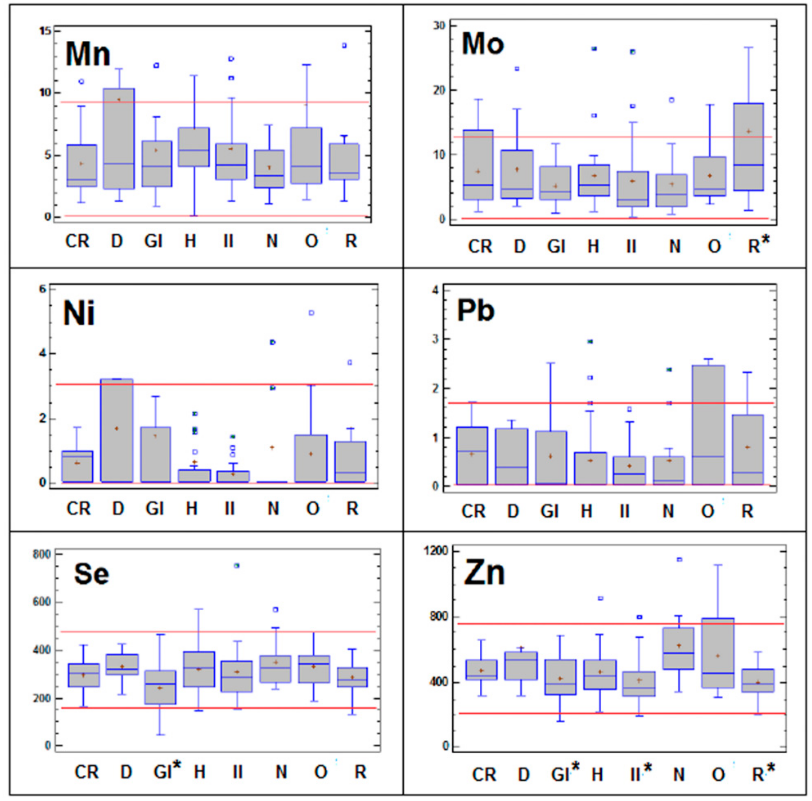
4. Discussion
4.1. Reference Intervals of Essential Trace Elements and Levels of Toxic Element Exposure
4.2. Essential Trace and Toxic Element Concentrations in Dogs Suffering from Different Pathologies
5. Conclusions
Author Contributions
Funding
Acknowledgments
Conflicts of Interest
References
- Wada, O. What are Trace Elements? J. Jpn. Med. Assoc. 2004, 47, 607–612. [Google Scholar]
- Bonaventura, P.; Benedetti, G.; Albarède, F.; Miossec, P. Zinc and its role in immunity and inflammation. Autoimmun. Rev. 2015, 14, 277–285. [Google Scholar] [CrossRef] [PubMed]
- Johnston, A.N.; Center, S.A.; Mcdonough, S.P.; Wakshlag, J.J.; Warner, K.L. Hepatic copper concentrations in labrador retrievers with and without chronic hepatitis: 72 cases (1980–2010). J. Am. Vet. Med. Assoc. 2013, 242, 372–380. [Google Scholar] [CrossRef]
- Fieten, H.; Leegwater, P.A.J.; Watson, A.L.; Rothuizen, J. Canine models of copper toxicosis for understanding mammalian copper metabolism. Mamm. Genome 2012, 23, 62–75. [Google Scholar] [CrossRef]
- Wu, X.; Leegwater, P.A.J.; Fieten, H. Canine models for copper homeostasis disorders. Int. J. Mol. Sci. 2016, 17, 196. [Google Scholar] [CrossRef] [PubMed]
- Strickland, J.M.; Buchweitz, J.P.; Smedley, R.C.; Olstad, K.J.; Schultz, R.S.; Oliver, N.B.; Langlois, D.K. Hepatic copper concentrations in 546 dogs (1982–2015). J. Vet. Intern. Med. 2018, 32, 1943–1950. [Google Scholar] [CrossRef]
- Webster, C.R.L.; Center, S.A.; Cullen, J.M.; Penninck, D.G.; Richter, K.P.; Twedt, D.C.; Watson, P.J. ACVIM consensus statement on the diagnosis and treatment of chronic hepatitis in dogs. J. Vet. Intern. Med. 2019, 33, 1173–1200. [Google Scholar] [CrossRef]
- Cedeño, Y.; López-Alonso, M.; Miranda, M. Hepatic concentrations of copper and other metals in dogs with and without chronic hepatitis. J. Small Anim. Pr. 2016, 57, 703–709. [Google Scholar] [CrossRef]
- Deibel, M.A.; Ehmann, W.D.; Markesbery, W.R. Copper, iron, and zinc imbalances in severely degenerated brain regions in Alzheimer’s disease: Possible relation to oxidative stress. J. Neurol. Sci. 1996, 143, 137–142. [Google Scholar] [CrossRef]
- Ward, R.J.; Zucca, F.A.; Duyn, J.H.; Crichton, R.R.; Zecca, L. The role of iron in brain ageing and neurodegenerative disorders. Lancet Neurol. 2014, 13, 1045–1060. [Google Scholar] [CrossRef]
- Vitale, S.; Hague, D.W.; Foss, K.; de Godoy, M.C.; Selmic, L.E. Comparison of Serum Trace Nutrient Concentrations in Epileptics Compared to Healthy Dogs. Front. Vet. Sci. 2019, 6, 1–8. [Google Scholar] [CrossRef] [PubMed]
- Suttle, N.F. Mineral Nutrition of Livestock, 4th ed.; CABI: Wallingford, UK, 2010; ISBN 9781845934729. [Google Scholar]
- NRC. Nutrient Requirements of Dogs and Cats; National Academies Press: Washington, DC, USA, 2006; ISBN 978-0-309-08628-8. [Google Scholar]
- Luna, D.; Miranda, M.; Minervino, A.H.H.; Piñeiro, V.; Herrero-Latorre, C.; López-Alonso, M. Validation of a simple sample preparation method for multielement analysis of bovine serum. PLoS ONE 2019, 14, e0211859. [Google Scholar] [CrossRef] [PubMed]
- Poulson, O.M.; Holst, E.; Christensen, J.M. Calculation and application of coverage intervals for biological reference values (Technical Report). Pure Appl. Chem. 1997, 69, 1601–1611. [Google Scholar] [CrossRef]
- Puls, R. Mineral. Levels in Animal Health, 2nd ed.; Sherpa International: Clearbrook, BC, Canada, 1994. [Google Scholar]
- Mert, H.; Mert, N.; Dogan, I.; Cellat, M.; Yasar, S. Element status in different breeds of dogs. Biol. Trace Elem. Res. 2008, 125, 154–159. [Google Scholar] [CrossRef] [PubMed]
- Tomza-Marciniak, A.; Pilarczyk, B.; Bąkowska, M.; Ligocki, M.; Gaik, M. Lead, cadmium and other metals in serum of pet dogs from an urban area of NW Poland. Biol. Trace Elem. Res. 2012, 149, 345–351. [Google Scholar] [CrossRef] [PubMed]
- Zaccaroni, A.; Corteggio, A.; Altamura, G.; Silvi, M.; Di Vaia, R.; Formigaro, C.; Borzacchiello, G. Elements levels in dogs from “triangle of death” and different areas of Campania region (Italy). Chemosphere 2014, 108, 62–69. [Google Scholar] [CrossRef]
- Dash, S.K.; Singh, C.; Singh, G. Mineral status in female dogs with malignant mammary gland tumors fed with different habitual diets. Explor. Anim. Med. Res. 2018, 8, 59–63. [Google Scholar]
- Enginler, S.O.; Toydemir, T.S.F.; Ates, A.; Ozturk, B.; Erdogan, O.; Ozdemir, S.; Kirsan, I.; Or, M.E.; Arun, S.S.; Barutcu, U.B. Examination of oxidative/antioxidative status and trace element levels in dogs with mammary tumors. Bulg. J. Agric. Sci. 2015, 21, 1086–1091. [Google Scholar]
- Seyrek, K.; Karagenç, T.; Paşa, S.; Kiral, F.; Atasoy, A. Serum Zinc, Iron and Copper Concentrations in Dogs Infected with Hepatozoon canis. Acta Vet. Brno 2009, 78, 471–475. [Google Scholar] [CrossRef]
- Kazmierski, K.J.; Ogilvie, G.K.; Fettman, M.J.; Lana, S.E.; Walton, J.A.; Hansen, R.A.; Richardson, K.L.; Hamar, D.W.; Bedwell, C.L.; Andrews, G.; et al. Serum zinc, chromium, and iron concentrations in dogs with lymphoma and osteosarcoma. J. Vet. Intern. Med. 2001, 15, 585–588. [Google Scholar] [CrossRef]
- Kim, M.J.; Oh, H.J.; Park, J.E.; Kim, G.A.; Park, E.J.; Jang, G.; Lee, B.C. Effects of mineral supplements on ovulation and maturation of dog oocytes. Theriogenology 2012, 78, 110–115. [Google Scholar] [CrossRef] [PubMed]
- Soltanian, A.; Khoshnegah, J.; Heidarpour, M. Comparison of serum trace elements and antioxidant levels in terrier dogs with or without behavior problems. Appl. Anim. Behav. Sci. 2016, 180, 87–92. [Google Scholar] [CrossRef]
- Forrer, R.; Gautschi, K.; Lutz, H. Simultaneous measurement of the trace elements Al, As, B, Be, Cd, Co, Cu, Fe, Li, Mn, Mo, Ni, Rb, Se, Sr, and Zn in human serum and their reference ranges by ICP-MS. Biol. Trace Elem. Res. 2001, 80, 77–93. [Google Scholar] [CrossRef]
- Herdt, T.H.; Hoff, B. The Use of Blood Analysis to Evaluate Trace Mineral Status in Ruminant Livestock. Vet. Clin. North. Am. Food Anim. Pr. 2011, 27, 255–283. [Google Scholar] [CrossRef]
- Liu, N.; Lo, L.S.L.; Askary, S.H.; Jones, L.T.; Kidane, T.Z.; Nguyen, T.T.M.; Goforth, J.; Chu, Y.H.; Vivas, E.; Tsai, M.; et al. Transcuprein is a macroglobulin regulated by copper and iron availability. J. Nutr. Biochem. 2007, 18, 597–608. [Google Scholar] [CrossRef]
- Luna, D.; López-Alonso, M.; Cedeño, Y.; Rigueira, L.; Pereira, V.; Miranda, M. Determination of Essential and Toxic Elements in Cattle Blood: Serum vs Plasma. Animals 2019, 9, 465. [Google Scholar] [CrossRef]
- Bhogade, R.B.; Suryakar, A.N.; Joshi, N.G. Effect of Hemodialysis on Serum Copper and Zinc Levels in Renal Failure Patients. Eur. J. Gen. Med. 2013, 10, 154–157. [Google Scholar] [CrossRef]
- Nangliya, V.; Sharma, A.; Yadav, D.; Sunder, S.; Nijhawan, S.; Mishra, S. Study of Trace Elements in Liver Cirrhosis Patients and Their Role in Prognosis of Disease. Biol. Trace Elem. Res. 2015, 165, 35–40. [Google Scholar] [CrossRef]
- Lin, C.C.; Huang, J.F.; Tsai, L.Y.; Huang, Y.L. Selenium, iron, copper, and zinc levels and copper-to-zinc ratios in serum of patients at different stages of viral hepatic diseases. Biol. Trace Elem. Res. 2006, 109, 15–23. [Google Scholar] [CrossRef]
- Da Silva, A.S.; França, R.T.; Costa, M.M.; Paim, C.B.V.; Paim, F.C.; Santos, C.M.M.; Flores, E.M.M.; Eilers, T.L.; Mazzanti, C.M.; Monteiro, S.G.; et al. Influence of Rangelia vitalii (Apicomplexa: Piroplasmorida) on Copper, Iron, and Zinc Bloodstream Levels in Experimentally Infected Dogs. J. Parasitol. 2012, 98, 1018–1020. [Google Scholar] [CrossRef]
- Strecker, D.; Mierzecki, A.; Radomska, K. Copper levels in patients with rheumatoid arthritis. Ann. Agric. Environ. Med. 2013, 20, 312–316. [Google Scholar]
- Zowczak, M.; Iskra, M.; Torliński, L.; Cofta, S. Analysis of serum copper zinc concentrations in cancer patients. Biol. Trace Elem. Res. 2001, 82, 1–8. [Google Scholar] [CrossRef]
- Harro, C.C.; Smedley, R.C.; Buchweitz, J.P.; Langlois, D.K. Hepatic copper and other trace mineral concentrations in dogs with hepatocellular carcinoma. J. Vet. Intern. Med. 2019, 33, 2193–2199. [Google Scholar] [CrossRef] [PubMed]
- Panda, D.; Patra, R.C.; Nandi, S.; Swarup, D. Oxidative stress indices in gastroenteritis in dogs with canine parvoviral infection. Res. Vet. Sci. 2009, 86, 36–42. [Google Scholar] [CrossRef] [PubMed]
- Sturniolo, G.C.; Di Leo, V.; Barollo, M.; Fries, W.; Mazzon, E.; Ferronato, A.; D’Incà, R. The many functions of zinc in inflammatory conditions of the gastrointestinal tract. Proc. J. Trace Elem. Exp. Med. 2000, 13, 33–39. [Google Scholar] [CrossRef]
- Alborough, R.; Grau-Roma, L.; de Brot, S.; Hantke, G.; Vazquez, S.; Gardner, D.S. Renal accumulation of prooxidant mineral elements and CKD in domestic cats. Sci. Rep. 2020, 10, 3160. [Google Scholar] [CrossRef]
- Manuti, J.K.; Al-Rabii, F.G.; Khudayr, M.S. Serum concentration of molybdenum in chronic renal failure patients requiring hemodialysis. J. Fac. Med. Baghdad 2011, 53, 393–395. [Google Scholar]
- Rannem, T.; Ladefoged, K.; Hylander, E.; Hegnhøj, J.; Staun, M. Selenium depletion in patients with gastrointestinal diseases: Are there any predictive factors? Scand. J. Gastroenterol. 1998, 33, 1057–1061. [Google Scholar]
- Kazantzis, G. Role of cobalt, iron, lead, manganese, mercury, platinum, selenium, and titanium in carcinogenesis. Envion. Health Perspect. 1981, 40, 143–161. [Google Scholar] [CrossRef]
- Jensen, A.A.; Tuchsen, F. Cobalt exposure and cancer risk. Crit. Rev. Toxicol. 1990, 20, 427–439. [Google Scholar] [CrossRef]
- Suh, M.; Thompson, C.M.; Brorby, G.P.; Mittal, L.; Proctor, D.M. Inhalation cancer risk assessment of cobalt metal. Regul. Toxicol. Pharm. 2016, 79, 74–82. [Google Scholar] [CrossRef] [PubMed]
- Wu, T.; Sempos, C.T.; Freudenheim, J.L.; Muti, P.; Smit, E. Serum iron, copper and zinc concentrations and risk of cancer mortality in US adults. Ann. Epidemiol. 2004, 14, 195–201. [Google Scholar] [CrossRef]
- Fonseca-Nunes, A.; Jakszyn, P.; Agudo, A. Iron and cancer risk-a systematic review and meta-analysis of the epidemiological evidence. Cancer Epidemiol. Biomark. Prev. 2014, 23, 12–31. [Google Scholar] [CrossRef] [PubMed]
- Ho, E. Zinc deficiency, DNA damage and cancer risk. J. Nutr. Biochem. 2004, 15, 572–578. [Google Scholar] [CrossRef]
- Khayyatzadeh, S.S.; Maghsoudi, Z.; Foroughi, M.; Askari, G.; Ghiasvand, R. Dietary intake of Zinc, serum levels of Zinc and risk of gastric cancer: A review of studies. Adv. Biomed. Res. 2015, 4, 118. [Google Scholar]
- Purello D’ambrosio, F.; Bagnato, G.F.; Guarneri, B.; Musarra, A.; Di Lorenzo, G.; Dugo, G.; Ricciardi’, L. The role of nickel in foods exacerbating nickel contact dermatitis. Allergy Eur. J. Allergy Clin. Immunol. 1998, 53, 143–145. [Google Scholar] [CrossRef]
- Torres, F.; Das Graças, M.; Melo, M.; Tosti, A. Management of contact dermatitis due to nickel allergy: An update. Clin. Cosmet. Investig. Derm. 2009, 2, 39–48. [Google Scholar]
- Leis Dosil, V.M.; Cabeza Martinez, R.; Suarez Fernandez, R.M.; Lazaro Ochaita, P. Allergic contact dermatitis due to manganese in an aluminium alloy. Contact Dermat. 2006, 54, 67–68. [Google Scholar] [CrossRef]
- Tuchinda, P.; Liu, Y.; Tammaro, A.; Harberts, E.; Goldner, R.; Gaspari, A.A. Resolution of occupational dermatitis related to manganese exposures. Dermatitis 2014, 25, 280–281. [Google Scholar] [CrossRef]
- Ganz, T. Iron and infection. Int. J. Hematol. 2018, 107, 7–15. [Google Scholar] [CrossRef]
- Murray-Kolb, L.E. Iron and brain functions. Curr. Opin. Clin. Nutr. Metab. Care 2013, 16, 703–707. [Google Scholar] [CrossRef] [PubMed]


| Metal | Detection Limit | Animal Serum SRM1598a | Spiked Samples | |
|---|---|---|---|---|
| (µg L−1) | Certified Value * (µg L−1) | Recovery (%) | Recovery * (%) | |
| As | 0.039 | (0.3) | 86.1 ± 6.9 | 93.8 ± 7.4 |
| Cd | 0.014 | 0.048 ± 0.004 | ND | 106 ± 8 |
| Co | 0.027 | 1.24 ± 0.07 | 93.3 ± 5.6 | 95.1 ± 6.7 |
| Cr | 0.025 | 0.33 ± 0.08 | 91.2 ± 5.1 | 91.8 ± 4.4 |
| Cu | 0.051 | 1580 ± 90 | 92.5 ± 2.5 | 104 ± 2 |
| Fe | 0.053 | 1680 ± 60 | 102 ± 8 | 106 ± 10 |
| Hg | 0.019 | 0.32 ± 0.19 | 94.1 ± 4.7 | 89.1 ± 8.4 |
| Mn | 0.026 | 1.78 ± 0.33 | 112 ± 13 | 100 ± 7 |
| Mo | 0.011 | 5.5 ± 1.0 | 98.3 ± 3.7 | 95.7 ± 6.0 |
| Ni | 0.024 | 0.94 ± 0.18 | 97.5 ± 4.8 | 103 ± 7 |
| Pb | 0.015 | - | 102 ± 7 | |
| Se | 0.080 | 134.4 ± 5.8 | 97.8 ± 2.3 | 99.1 ± 7.7 |
| Zn | 0.620 | 880 ± 24 | 95.8 ± 3.1 | 101 ± 8 |
| Metal | Mean | SD | Median | Normal Distribution (K–S Test) | Reference Interval | |
|---|---|---|---|---|---|---|
| Lower Reference Limit | Upper Reference Limit | |||||
| As | 1.86 | 1.44 | 1.36 | NO | 0.22 | 7.89 |
| Cd | ND | - | - | - | - | - |
| Co | 0.10 | 0.07 | 0.07 | NO | 0.07 | 0.28 |
| Cr | 2.73 | 2.54 | 2.17 | NO | 0.63 | 13.7 |
| Cu | 422 | 148 | 377 | YES | 132 | 712 |
| Fe | 1938 | 639 | 1939 | YES | 686 | 3190 |
| Hg | 0.24 | 0.22 | 0.16 | YES | 0.0 | 0.67 |
| Mn | 3.79 | 1.86 | 3.47 | YES | 0.14 | 7.44 |
| Mo | 5.48 | 3.36 | 4.35 | YES | 0.00 | 12.1 |
| Ni | 0.72 | 0.94 | 0.06 | NO | 0.06 | 3.01 |
| Pb | 0.55 | 0.60 | 0.30 | YES | 0.0 | 1.73 |
| Se | 315 | 82 | 310 | YES | 154 | 447 |
| Zn | 489 | 143 | 464 | YES | 209 | 769 |
| Type Study/Country | N | Element | References [16] | ||||||||||||
|---|---|---|---|---|---|---|---|---|---|---|---|---|---|---|---|
| As | Cd | Co | Cu | Cr | Fe | Mn | Hg | Mo | Ni | Pb | Se | Zn | |||
| Reference Values 1 | 3–5 a | 200–800 | 940–1220 | 20 | 1.8–4.2 | 10–100 a | 220 a | 700–2000 | |||||||
| General Dog Population | |||||||||||||||
| Turkey 1 | 73 | 24 | 830 | 1320 | 10 | 13 | 100 | 730 | [17] | ||||||
| Poland 2,b | 48 | 556 | 1363 | 249 | 1690 | 683 | 489 | 1523 | [18] | ||||||
| Italy 2,c | 31 | 390 | 780 | 130 | 20 | 510 | 230 | 60 | 230 | 1970 | [19] | ||||
| Control Healthy Dogs | |||||||||||||||
| India 1 | 10 | 36.6 ± 3.6 | 1050 ± 21 | 872 ± 21 | 172 ± 2 | 642 ± 10 | [20] | ||||||||
| USA 3,d | 50 | 0.30 | 450 | 1625 | 3.15 | 8.45 | 300 | 740 | [11] | ||||||
| Bulgaria 2 | 10 | 946 ± 143 | 24 ± 5 | 291 ± 57 | 1692 ± 180 | [21] | |||||||||
| Turkey 4 | 10 | 1006 ± 12 | 860 ± 199 | 620 ± 76 | [22] | ||||||||||
| USA 1,4 | 50 | 4.66 ± 2.83 | 1751 ± 567 | 1220 ± 360 | [23] | ||||||||||
| Turkey 4,b | 16 | 511 ± 59 | 1543 ± 240 | 20 ± 1 | [24] | ||||||||||
| Iran 4 | 14 | 1514 ± 255 | 1730 | 593 ± 226 | [25] | ||||||||||
© 2020 by the authors. Licensee MDPI, Basel, Switzerland. This article is an open access article distributed under the terms and conditions of the Creative Commons Attribution (CC BY) license (http://creativecommons.org/licenses/by/4.0/).
Share and Cite
Cedeño, Y.; Miranda, M.; Orjales, I.; Herrero-Latorre, C.; Suárez, M.; Luna, D.; López-Alonso, M. Serum Concentrations of Essential Trace and Toxic Elements in Healthy and Disease-Affected Dogs. Animals 2020, 10, 1052. https://doi.org/10.3390/ani10061052
Cedeño Y, Miranda M, Orjales I, Herrero-Latorre C, Suárez M, Luna D, López-Alonso M. Serum Concentrations of Essential Trace and Toxic Elements in Healthy and Disease-Affected Dogs. Animals. 2020; 10(6):1052. https://doi.org/10.3390/ani10061052
Chicago/Turabian StyleCedeño, Yolanda, Marta Miranda, Inmaculada Orjales, Carlos Herrero-Latorre, Maruska Suárez, Diego Luna, and Marta López-Alonso. 2020. "Serum Concentrations of Essential Trace and Toxic Elements in Healthy and Disease-Affected Dogs" Animals 10, no. 6: 1052. https://doi.org/10.3390/ani10061052
APA StyleCedeño, Y., Miranda, M., Orjales, I., Herrero-Latorre, C., Suárez, M., Luna, D., & López-Alonso, M. (2020). Serum Concentrations of Essential Trace and Toxic Elements in Healthy and Disease-Affected Dogs. Animals, 10(6), 1052. https://doi.org/10.3390/ani10061052

