Changes in Pulse Rate, Respiratory Rate and Rectal Temperature in Working Dogs before and after Three Different Field Trials
Simple Summary
Abstract
1. Introduction
2. Materials and Methods
2.1. Animals
2.2. Statistical Analysis
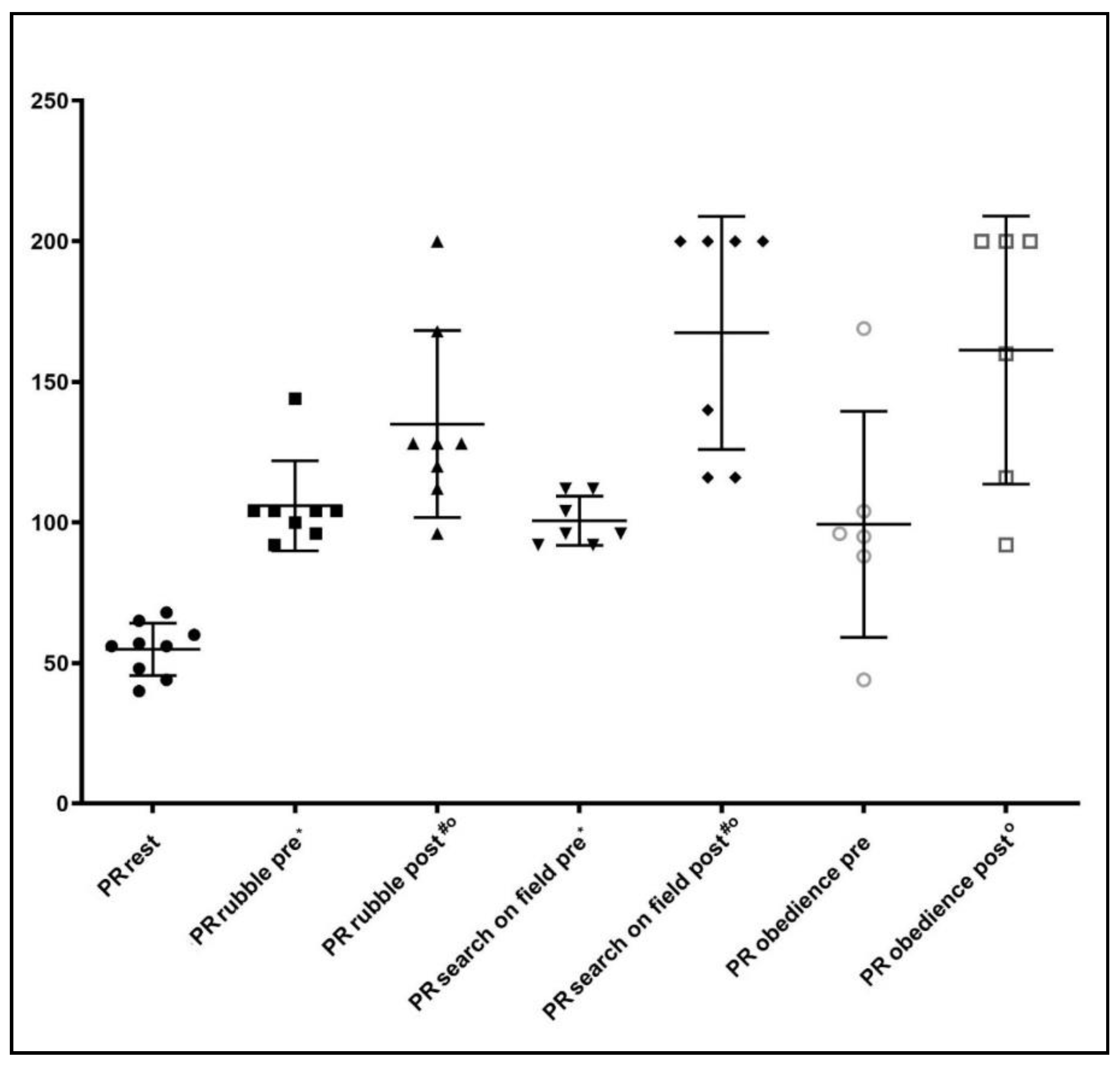
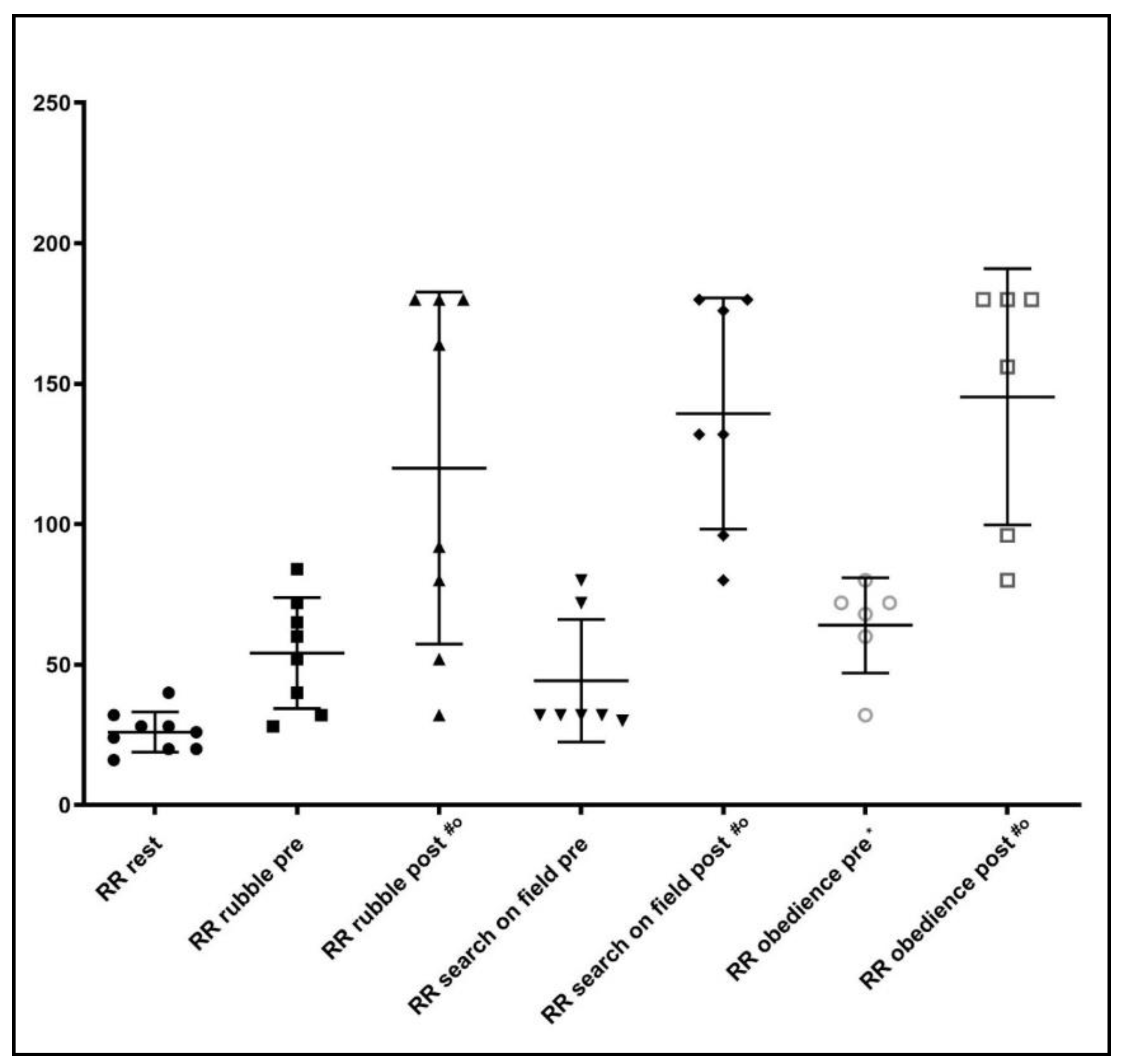
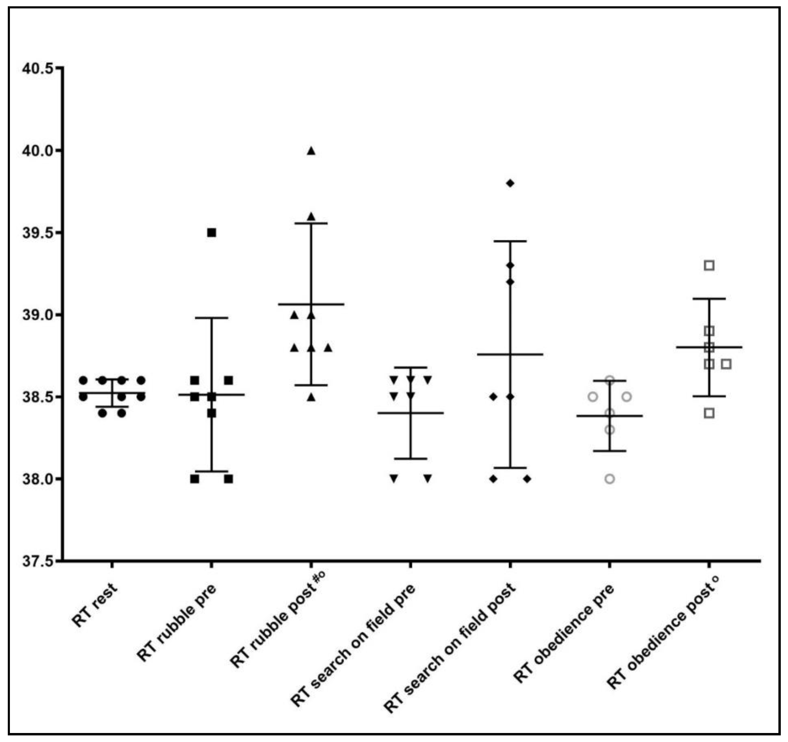
3. Results
4. Discussion
5. Conclusions
Author Contributions
Funding
Acknowledgments
Conflicts of Interest
References
- Gordon, L.E. The contribution of rescue dogs during natural disasters. Rev. Sci. Tech. Int. Off. Int Epiz. 2018, 37, 213–221. [Google Scholar] [CrossRef] [PubMed]
- Jones, K.E.; Dashfield, K.; Downend, A.B.; Otto, C.M. Search-and-rescue dogs: An overview for veterinarians. J. Am. Vet. Med. Assoc. 2004, 15, 854–860. [Google Scholar] [CrossRef] [PubMed]
- Diverio, S.; Barbato, O.; Cavallina, R.; Guelfi, G.; Iaboni, M.; Zasso, R.; Di Mari, W.; Santoro, M.M.; Knowles, T.G. A simulated avalanche search and rescue mission induces temporary physiological and behavioural changes in military dogs. Physiol. Behav. 2016, 163, 193–202. [Google Scholar] [CrossRef] [PubMed]
- Rovira, S.; Munoz, A.; Benito, M. Effect of exercise on physiological, blood and endocrine parameters in search and rescue-trained dogs. Vet. Med. Praha 2008, 53, 333–346. [Google Scholar] [CrossRef]
- Menchetti, L.; Guelfi, G.; Speranza, R.; Carotenuto, P.; Moscati, L.; Diverio, S. Benefits of dietary supplements on the physical fitness of German Shepherd dogs during a drug detection training course. PLoS ONE 2019, 14, e0218275. [Google Scholar] [CrossRef] [PubMed]
- Schneider, M.; Wilhelm, S.; Scheideler, A.; Erhard, M. Effectiveness of and physical andmental strain in search and rescue dogs during a three-day search operation. J. Vet. Behav. 2009, 4, 82. [Google Scholar] [CrossRef]
- Steiss, J.E.; Ahmad, H.; Cooper, P.; Ledford, C. Physiologic Responses in Healthy Labrador Retrievers during Field Trial Training and Competition. J. Vet. Intern. Med. 2004, 18, 147–151. [Google Scholar] [CrossRef]
- Matwichuk, C.L.; Taylor, S.; Shmon, C.L.; Kass, P.H.; Shelton, G.D. Changes in rectal temperature and hematologic, biochemical, blood gas, and acid-base values in healthy Labrador Retrievers before and after strenuous exercise. Am. J. Vet. Res. 1999, 60, 88–92. [Google Scholar]
- McGowan, R.T.S.; Rehn, T.; Norling, Y.; Keeling, L.J. Positive affect and learning: Exploring the “Eureka Effect” in dogs. Anim. Cogn. 2014, 17, 577–587. [Google Scholar] [CrossRef]
- Van Paridon, K.N.; Timmis, M.A.; Nevison, C.M.; Bristow, M. The anticipatory stress response to sport competition; a systematic review with meta-analysis of cortisol reactivity. BMJ Open Sport Exerc. Med. 2017, e000261. [Google Scholar] [CrossRef]
- Task Force of the European Society of Cardiology and the North American Society of Pacing and Electrophysiology. Heart rate variability: Standards of measurement, physiological interpretation and clinical use. Circulation 1996, 93, 1043–1065. [Google Scholar] [CrossRef]
- Bohak, Z.; Harnos, A.; Kinga Joo, K.; Szenci, O.; Kovac, L. Anticipatory response before competition in Standardbred racehorses. PLoS ONE 2018, 13, e0201691. [Google Scholar]
- Kozlowski, S.; Brzezinska, Z.; Kruk, B.; Kaciuba-Uscilko, H.; Greenleaf, J.E.; Nazar, K. Exercise hyperthermia as a factor limiting physical performance: Temperature effect on muscle metabolism. J. Appl. Physiol. 1985, 59, 766–773. [Google Scholar] [CrossRef]
- McNicholl, J.; Howarth, G.S.; Hazel, S.J. Influence of the environment on body temperature of racing greyhounds. Front. Vet. Sci. 2016, 3, 53. [Google Scholar] [CrossRef]
- Schmidt-Nielsen, K.; Bretz, W.L.; Taylor, C.R. Panting in dogs: Unidirectional airflow over evaporative surfaces. Science 1970, 169, 1102–1104. [Google Scholar] [CrossRef]
- Carter, A.J.; Hall, E.J. Investigating factors affecting the body temperature of dogs competing in cross country (canicross) races in the UK. J. Therm. Biol. 2018, 72, 33–38. [Google Scholar] [CrossRef] [PubMed]
- Blythe, L.L.; Gannon, J.R.; Craig, A.M.; Fegan, D.P. Care of the Racing and Retired Greyhound, 1st ed.; American Greyhound Council: Abilene, KS, USA, 2007; pp. 155–197. [Google Scholar]
- Phillips, C.J.; Coppinger, R.P.; Schimel, D.S. Hyperthermia in running sled dogs. J. Appl. Physiol. 1981, 51, 135–142. [Google Scholar] [CrossRef] [PubMed]




| Rest | Before Rubble | After Rubble | Before Search on Field | After Search on Field | Before Obedience | After Obedience | |
|---|---|---|---|---|---|---|---|
| PR | 54.8 ± 9.31 (56) | 106 ± 16 (104) a | 135 ± 33.24 (128) b,c | 100.57 ± 8.77 (96) a | 167.42 ± 41.40 (200) b,c | 99.33 ± 36.73 (95.5) | 161.33 ± 43.49 (180) c |
| RR | 26 ± 7.21 (26) | 54.12 ± 19.78 (56) | 120 ± 62.66 (128) b,c | 44.28 ± 21.79 (32) | 139.42 ± 41.14 (132) b,c | 64 ± 16.97 (70) a | 145.4 ± 45.65 (168) b,c |
| RT | 38.3 ± 0.08 (38.5) | 38.5 ± 0.46 (38.5) | 39 ± 0.49 (38.9) b,c | 38.4 ± 0.27 (38.5) | 38.75 ± 0.69 (38.5) | 38.3 ± 0.21 (38.45) | 38.8 ± 0.29 (38.75) b |
© 2020 by the authors. Licensee MDPI, Basel, Switzerland. This article is an open access article distributed under the terms and conditions of the Creative Commons Attribution (CC BY) license (http://creativecommons.org/licenses/by/4.0/).
Share and Cite
Lopedote, M.; Valentini, S.; Musella, V.; Vilar, J.M.; Spinella, G. Changes in Pulse Rate, Respiratory Rate and Rectal Temperature in Working Dogs before and after Three Different Field Trials. Animals 2020, 10, 733. https://doi.org/10.3390/ani10040733
Lopedote M, Valentini S, Musella V, Vilar JM, Spinella G. Changes in Pulse Rate, Respiratory Rate and Rectal Temperature in Working Dogs before and after Three Different Field Trials. Animals. 2020; 10(4):733. https://doi.org/10.3390/ani10040733
Chicago/Turabian StyleLopedote, Mirella, Simona Valentini, Vincenzo Musella, Jose Manuel Vilar, and Giuseppe Spinella. 2020. "Changes in Pulse Rate, Respiratory Rate and Rectal Temperature in Working Dogs before and after Three Different Field Trials" Animals 10, no. 4: 733. https://doi.org/10.3390/ani10040733
APA StyleLopedote, M., Valentini, S., Musella, V., Vilar, J. M., & Spinella, G. (2020). Changes in Pulse Rate, Respiratory Rate and Rectal Temperature in Working Dogs before and after Three Different Field Trials. Animals, 10(4), 733. https://doi.org/10.3390/ani10040733

