Modelling a Transition from Purebred Romney to Fully Shedding Wiltshire–Romney Crossbred
Simple Summary
Abstract
1. Introduction
2. Materials and Methods
2.1. Flock Dynamics
2.1.1. Flock Dynamics of Self-Replacing Romney Flock
2.1.2. Flock Dynamics During Transition
Ewe Culling during Transition
2.2. Wool Production
Wool Shedding
2.3. Feed Demand
2.4. Economics
2.4.1. Income
2.4.2. Expenses
2.4.3. Net Present Value Analysis
2.4.4. Wool Price Sensitivity Analysis
2.4.5. Operating Profit
3. Results and Discussion
3.1. Shedding Score
3.2. Flock Dynamics
Ewe Age
3.3. Feed Demand
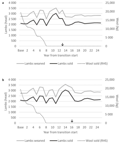
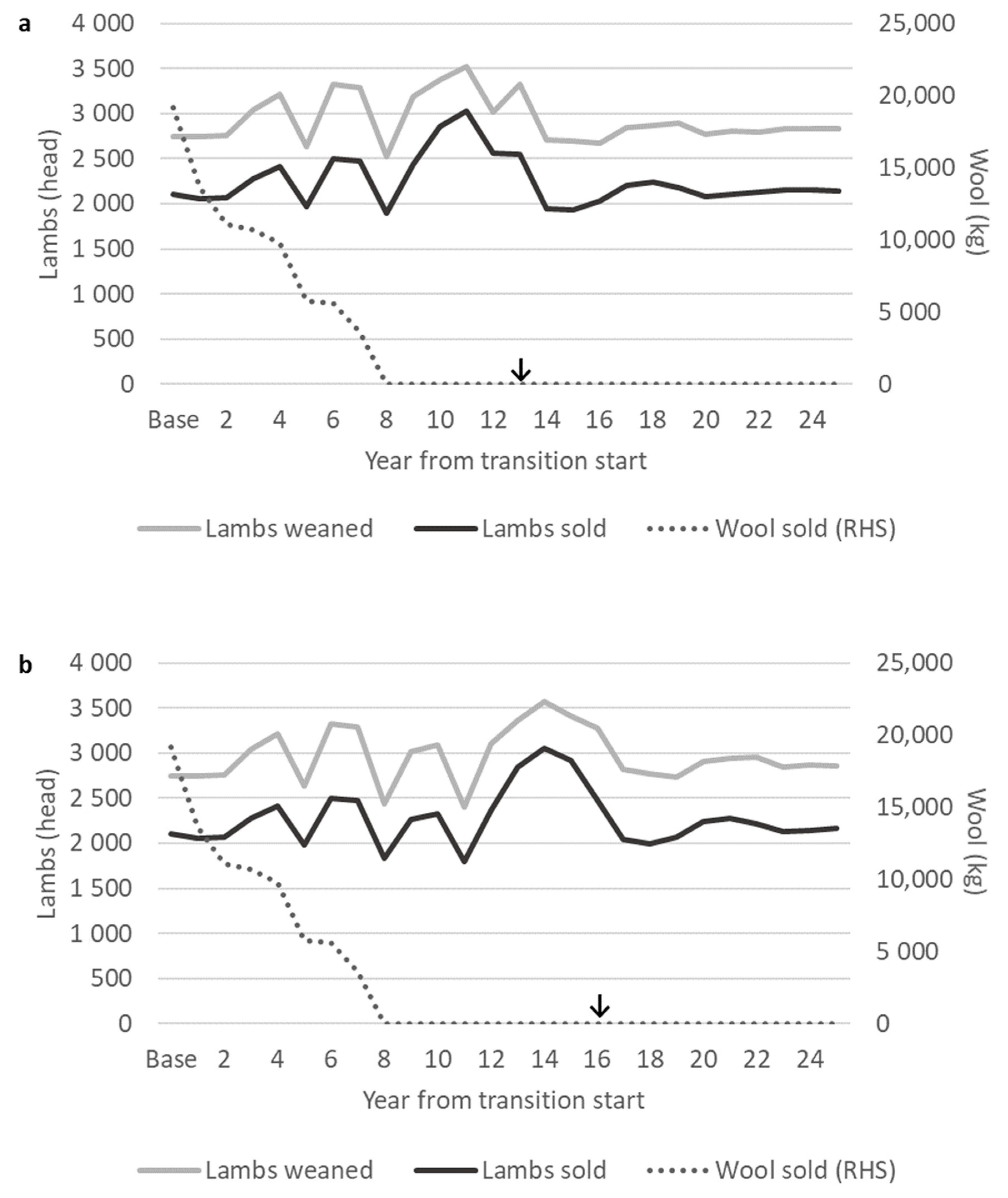
3.4. Production
3.5. Economics
3.5.1. Cashflow During Transition
3.5.2. Net Present Value Analysis
3.5.3. Wool Price Sensitivity Analysis
3.5.4. Operating Profit
3.6. General Discussion
4. Conclusions
Supplementary Materials
Author Contributions
Funding
Conflicts of Interest
References
- Farm Facts. Available online: http://www.beeflambnz.com/sites/default/files/data/files/nz-farm-facts-compendium-2017.pdf. (accessed on 5 February 2020).
 - Benchmark Your Farm. Available online: https://beeflambnz.com/data-tools/benchmark-your-farm. (accessed on 5 February 2020).
 - Lamb Crop 2019. Available online: https://beeflambnz.com/sites/default/files/data/files/P19030%20Lamb%20Crop%20Report%202019.pdf (accessed on 12 August 2020).
 - Slee, J. Fleece shedding, staple length and fleece weight in experimental Wiltshire Horn-Scottish Blackface sheep crosses. J. Agric. Sci. 1959, 53, 209–223. [Google Scholar] [CrossRef]
 - Slee, J. Birthcoat shedding in Wiltshire Horn lambs. Anim. Sci. 1963, 5, 301–316. [Google Scholar] [CrossRef]
 - Tierney, M. Easy care Merinos through cross-breeding with Wiltshire Horn sheep. Wool Tech. Sheep Breed. 1978, 26, 21–25. [Google Scholar]
 - Johnson, P.; O’Connell, D.; Dodds, K.; Sumner, R.; McEwan, J.; Pearson, A. Wool shedding as a trait for genetic improvement using marker assisted selection? In Proceedings of the Association for the Advancement of Animal Breeding and Genetics, Armidale, Australia, 17 September 2007; pp. 541–544. [Google Scholar]
 - Scobie, D.; Bray, A.; O’Connell, D. The ethically improved sheep concept. In Proceedings of the New Zealand Society of Animal Production 57, Lincoln, New Zealand, 1997; pp. 84–87. [Google Scholar]
 - Matika, O.; Bishop, S.; Pong-Wong, R.; Riggio, V.; Headon, D. Genetic factors controlling wool shedding in a composite Easycare sheep flock. Anim. Genet. 2013, 44, 742–749. [Google Scholar] [CrossRef] [PubMed]
 - Pollott, G. A suggested mode of inheritance for wool shedding in sheep. J. Anim. Sci. 2011, 89, 2316–2325. [Google Scholar] [CrossRef] [PubMed]
 - Litherland, A.; Jorenson, E.; Niezen, J.; Bishop, D. A pilot evaluation of shedding sheep breeds compared with non- shedding breeds for susceptibility to nematodes and flystrike. In Proceedings of the New Zealand Society of Animal Production 52, New Zealand, January 1992; pp. 233–236. [Google Scholar]
 - Rathie, K.; Tierney, M.; Mulder, J. Assessing Wiltshire Horn-Merino crosses. 1. Wool shedding, blowfly strike and wool production traits. Aust. J. Exp. Agric. 1994, 34, 717–728. [Google Scholar] [CrossRef]
 - Scobie, D.; O’Connell, D. Breech bareness reduces flystrike in New Zealand crossbred sheep. Anim. Prod. Sci. 2010, 50, 599–602. [Google Scholar] [CrossRef]
 - O’Connell, D.; Scobie, D.; Hickey, S.; Sumner, R.; Pearson, A. Selection for yearling fleece weight and its effect on fleece shedding in New Zealand Wiltshire sheep. Anim. Prod. Sci. 2012, 52, 456–462. [Google Scholar] [CrossRef]
 - García, S. Systems, component, and modelling studies of pasture-based dairy systems in which the cows calve at different times of the year. Ph.D. Thesis, Massey University, Palmerston North, New Zealand, 2000. [Google Scholar]
 - Farrell, L.J.; Tozer, P.R.; Kenyon, P.R.; Ramilan, T.; Cranston, L.M. The effect of ewe wastage in New Zealand sheep and beef farms on flock productivity and farm profitability. Agric. Syst. 2019, 174, 125–132. [Google Scholar] [CrossRef]
 - Farrell, L.J.; Kenyon, P.R.; Tozer, P.R.; Ramilan, T.; Cranston, L.M. Quantifying sheep enterprise profitability with varying flock replacement rates, lambing rates, and breeding strategies in New Zealand. Agric. Syst. 2020, 184. [Google Scholar] [CrossRef]
 - Farrell, L.J.; Tozer, P.R.; Kenyon, P.R.; Cranston, L.M.; Ramilan, T. Producing higher value wool through a transition from Romney to Merino crossbred i: Flock dynamics, feed demand, and production of lambs and wool. Small Rumin. Res. 2020, 192. [Google Scholar] [CrossRef]
 - Farrell, L.J.; Tozer, P.R.; Kenyon, P.R.; Cranston, L.M.; Ramilan, T. Producing higher value wool through a transition from Romney to Merino crossbred i: Cashflow and profit. Small Rumin. Res. 2020, 192. [Google Scholar] [CrossRef]
 - STELLA Architect. Available online: https://www.iseesystems.com/store/products/stella-architect.aspx (accessed on 14 September 2020).
 - Cranston, L.; Ridler, A.; Greer, A.; Kenyon, P. Sheep Production. In Livestock Production in New Zealand; Stafford, K., Ed.; Massey University Press: Palmerston North, New Zealand, 2017; pp. 84–122. [Google Scholar]
 - Amer, P.; McEwan, J.; Dodds, K.; Davis, G. Economic values for ewe prolificacy and lamb survival in New Zealand sheep. Livest. Prod. Sci. 1999, 58, 75–90. [Google Scholar] [CrossRef]
 - Kelly, R.W. Components of reproductive wastage in sheep. Sheep Beef Cattle Vet. N. Z. Vet. Assoc. 1980, 10, 78–93. [Google Scholar]
 - Brown, G.; Turner, H.; Young, S.; Dolling, C. Vital statistics for an experimental flock of Merino sheep. III. Factors affecting wool and body characteristics, including the effect of age of ewe and its possible interaction with method of selection. Aust. J. Agric. Res. 1966, 17, 557–581. [Google Scholar] [CrossRef]
 - McLaughlin, J. Management of weaner sheep in western Victoria. 2. The effects of supplements of oat grain or pasture hay or the periodic grazing of a green fodder crop upon current and subsequent production. Aust. J. Exp. Agric. 1973, 13, 637–642. [Google Scholar] [CrossRef]
 - Rose, M. The effects of age, year and lambing performance on greasy wool production in Merino ewes in North-West Queensland. Aust. Soc. Anim. Prod. 1974, 10, 367–371. [Google Scholar]
 - Allain, D.; Pena, B.; Foulquie, D.; Bourdillon, Y.; François, D. Introgression of wool-shedding genes into the Romane breed sheep. In Proceedings of the World Congress on Genetics Applied to Livestock Production 10, Vancouver, BC, Canada, 17–22 August 2014. [Google Scholar]
 - CSIRO. Nutrient Requirements of Domesticated Ruminants; CSIRO: Collingwood, Australia, 2007. [Google Scholar]
 - Nicol, A.M.; Brookes, I.M. The metabolisable energy requirements of grazing livestock. In Pasture and Supplements for Grazing Animals; Rattray, P.V., Brookes, I.M., Nicol, A.M., Eds.; New Zealand Society of Animal Production Occasional Publication: Hamilton, New Zealand, 2007; pp. 151–172. [Google Scholar]
 - Thomson, B.; Muir, P.; Smith, N. Litter size, lamb survival, birth and twelve week weight in lambs born to cross-bred ewes. In Proceedings of the New Zealand Grassland Association 66, Ashburton, New Zealand, January 2004; pp. 233–237. [Google Scholar]
 - Kenyon, P.; Blair, H.; Jenkinson, C.; Morris, S.; Mackenzie, D.; Peterson, S.; Firth, E.; Johnston, P. The effect of ewe size and nutritional regimen beginning in early pregnancy on ewe and lamb performance to weaning. N. Z. J. Agric. Res. 2009, 52, 203–212. [Google Scholar] [CrossRef]
 - Corner, R.; Mulvaney, F.; Morris, S.; West, D.; Morel, P.; Kenyon, P. A comparison of the reproductive performance of ewe lambs and mature ewes. Small Rumin. Res. 2013, 114, 126–133. [Google Scholar] [CrossRef]
 - Morris, S.; Kenyon, P. Intensive sheep and beef production from pasture—A New Zealand perspective of concerns, opportunities and challenges. Meat Sci. 2014, 98, 330–335. [Google Scholar] [CrossRef] [PubMed]
 - Kenyon, P.; Morris, S.; McCutcheon, S. Does an increase in lamb birth weight through mid-pregnancy shearing necessarily mean an increase in lamb survival rates to weaning? In Proceedings of the New Zealand Society of Animal Production 62, Palmerston North, New Zealand, January 2002; pp. 53–56. [Google Scholar]
 - Kemp, P.D.; Kenyon, P.R.; Morris, S.T. The use of legume and herb forage species to create high performance pastures for sheep and cattle grazing systems. Rev. Bras. Zootecn. 2010, 39, 169–174. [Google Scholar] [CrossRef]
 - Golding, K.; Wilson, E.; Kemp, P.; Pain, S.; Kenyon, P.; Morris, S.; Hutton, P. Mixed herb and legume pasture improves the growth of lambs post-weaning. Anim. Prod. Sci. 2011, 51, 717–723. [Google Scholar] [CrossRef]
 - Jenkinson, C.; Kenyon, P.; Blair, H.; Breier, B.; Gluckman, P. Maternal constraint in sheep breeds with diverse birth weight. In Proceedings of the New Zealand Society of Animal Production 67, Wanaka, New Zealand, January 2007; pp. 187–191. [Google Scholar]
 - Litherland, A.; Dynes, R.; Moss, R. Factors affecting dressing-out percentage of lambs. In Proceedings of the New Zealand Society of Animal Production 70, Invercargill, New Zealand, June 2010; pp. 121–126. [Google Scholar]
 - Inventas Media; AgBrief: Wellington, New Zealand, 2019.
 - Trafford, G.; Trafford, S. Farm Technical Manual; Lincoln University: Christchurch, New Zealand, 2011. [Google Scholar]
 - Askin, D.; Askin, V. Financial Budget Manual Volume 40; Lincoln University: Lincoln, New Zealand, 2018. [Google Scholar]
 - Robison, L.J.; Barry, P.J. Present Value Models and Investment Analysis; Academic Page: Alabama, AL, USA, 1996. [Google Scholar]
 - Retail Interest Rates on Lending and Deposits-B3. Available online: https://www.rbnz.govt.nz/statistics/b3 (accessed on 10 February 2020).
 - Business and Rural Loan Interest Rates and Fees. Available online: https://www.asb.co.nz/business-loans/interest-rates-fees.html (accessed on 26 February 2020).
 - Sales Reports. Available online: https://www.cpwool.co.nz/sales-reports/ (accessed on 28 August 2020).
 - Shadbolt, N.; Martin, S. Farm Management in New Zealand; Oxford University Press: Docklands, Australia, 2005. [Google Scholar]
 - National Average Market Values of Specified Livestock Determination 2018. Available online: https://www.taxtechnical.ird.govt.nz/determinations/livestock/average-market-value/national-average-market-values-of-specified-livestock-determination-2018. (accessed on 7 September 2020).
 - Sumner, R.; Scobie, D.; O’Connell, D.; Henderson, H. Relative performance of Wiltshire and Perendale sheep. In Proceedings of the New Zealand Society of Animal Production 72, Christchurch, New Zealand, June 2012; pp. 28–34. [Google Scholar]
 - Allain, D.; Cano, M.; Foulquié, D.; Autran, P.; Tosser-Klopp, G.; Moreno, C.; Mulsant, P.; François, D. QTL detection and fine mapping of birthcoat type in sheep. In Proceedings of the Annual Meeting of the European Federation of Animal Science (EAAP) 62, Stavanger, Norway, September 2011; p. 385. [Google Scholar]
 - Jurado, N.V.; Leymaster, K.A.; Kuehn, L.A.; Lewis, R.M. Genetic analysis of wool shedding scores of ewes from a composite flock using a threshold model and Bayesian methodologies. In Proceedings of the 10th World Congress on Genetics Applied to Livestock Production, Vancouver, BC, Canada, 17–22 August 2014. [Google Scholar]
 - Jurado, N.V.; Leymaster, K.A.; Kuehn, L.A.; Lewis, R.M. Genetic relationship between wool shedding in ewe-lambs and ewes. J. Anim. Sci. 2017, 95, 94–95. [Google Scholar] [CrossRef]
 - Shearing Expenses up 25%. Available online: https://farmersweekly.co.nz/section/sheep-2/view/shearing-expenses-up-2 (accessed on 31 August 2020).
 - Wodzicka-Tomaszewska, M. The effect of shearing on sheep. In Proceedings of the Ruakura Farmers Conference, Hamilton, New Zealand, June 1963; pp. 28–39. [Google Scholar]
 









| Cull Rate for Ewes of Various Age Classes (%) 2 | |||
|---|---|---|---|
| Ewe Type | Base Romney | Final Cross ⅞W⅛R | Final Cross Straightbred | 
| Self-replacing base Romney | Two-to-five-year-olds: 19 Six-year-olds: 100  | - | - | 
| Romney | - | Two-to-four-year-olds: 4 Five-year-olds: 100  | Two-to-four-year-olds: 4 Five-year-olds: 100  | 
| ½W½R | - | Two-to-three-year-olds: 4 Four-year-olds: 33 Five-year-olds: 100  | Two-to-three-year-olds: 4 Four-year-olds: 33 Five-year-olds: 100  | 
| ¾W¼R | - | Two-to-three-year-olds: 4 Four-year-olds: 33 Five-year-olds: 100  | Two-to-four-year-olds: 4 Five-year-olds: 100  | 
| ⅞W⅛R | - | Two-to-five-year-olds: 4 | Two-to-four-year-olds: 4 Five-year-olds: 100  | 
| Straightbred | - | - | Two-to-five-year-olds: 4 | 
| Self-replacing ⅞W⅛R | - | Two-to-five-year-olds: 19 Six-year-olds: 100  | - | 
| Self-replacing straightbred | - | - | Two-to-five-year-olds: 19 Six-year-olds: 100  | 
| Sheep Class | Timing of Sale | Value ($/head) 1 | Price Data | 
|---|---|---|---|
| Y3 to 6 ewes | Early December 2 | 113.73 | [2] | 
| Y2 ewes | 134.64 | ||
| Prime lambs | Early February | 107.44 | [39] | 
| Mid-February | 107.10 | ||
| Store lambs | Mid-February | 84.00 | 
| Shedding Score | Equivalent Shearing Required | Expense ($/head) | 
|---|---|---|
| 0–0.99 | Twice per year and crutch | 10.98 | 
| 1.00–1.99 | Twice per year | 8.98 | 
| 2.00–2.99 | Once per year | 4.89 | 
| 3.00–3.99 | Back wool removal 2 | 2.00 | 
| 4.00–5.00 | Nil 3 | 0.00 | 
| Cross | Pre-selection Average Shedding Score with Standard Deviation | Post-selection Average Shedding Score | 
|---|---|---|
| Romney | 0 ± 0 | 0 | 
| ½W½R | 2.5 ± 0.95 | 3.14 | 
| ¾W¼R | 4.07 ± 0.33 | 4.29 | 
| ⅞W⅛R | 4.64 ± 0.23 | 4.8 | 
| Straightbred | 4.9 ± 0.10 | 4.97 | 
| Final Cross ⅞W⅛R | Final Cross Straightbred | |||
|---|---|---|---|---|
| Cross | T (years) | Flock Average Age (years) | T (years) | Flock Average Age (years) | 
| Romney | T0 | 3.45 | T0 | 3.45 | 
| T4 | 4.46 | T4 | 4.46 | |
| ½W½R | T7 | 4.02 | T7 | 4.02 | 
| ¾W¼R | T11 | 4.48 | T9 | 3.77 | 
| ⅞W⅛R | T13 | 3.92 | T15 | 4.99 | 
| T25 | 3.48 | - | - | |
| Straightbred | T16 | 3.45 | ||
| T25 | 3.40 | |||
| Scenario | 15 Years 1 | 25 Years | ||
|---|---|---|---|---|
| 6% Discount Rate 2 | 10% Discount Rate | 6% Discount Rate | 10% Discount Rate | |
| Wool Price $2.15/kg Greasy 3 | ||||
| Base Romney | 3,622,240 | 2,910,060 | 4,660,704 | 3,407,450 | 
| Final cross ⅞W⅛R | 3,875,321 | 3,115,634 | 4,980,752 | 3,645,054 | 
| Final cross straightbred | 3,871,501 | 3,116,354 | 4,978,018 | 3,646,396 | 
| Wool price $1.15/kg Greasy | ||||
| Base Romney | 3,378,108 | 2,713,927 | 4,346,581 | 3,177,795 | 
| Final cross ⅞W⅛R | 3,772,669 | 3,021,288 | 4,878,100 | 3,550,708 | 
| Final cross straightbred | 3,806,774 | 3,046,451 | 4,910,665 | 3,575,082 | 
| Wool Price $3.15/kg Greasy | ||||
| Base Romney | 3,872,050 | 3,110,753 | 4,982,132 | 3,642,447 | 
| Final cross ⅞W⅛R | 3,978,503 | 3,210,510 | 5,083,974 | 3,739,946 | 
| Final cross straightbred | 4,012,361 | 3,235,480 | 5,116,252 | 3,764,111 | 
| Wool Price 4.15 $/kg Greasy | ||||
| Base Romney | 4,116,182 | 3,306,886 | 5,296,255 | 3,872,103 | 
| Final cross ⅞W⅛R | 4,092,195 | 3,311,438 | 5,223,204 | 3,853,103 | 
| Final cross straightbred | 4,097,288 | 3,319,807 | 5,218,817 | 3,857,043 | 
Publisher’s Note: MDPI stays neutral with regard to jurisdictional claims in published maps and institutional affiliations.  | 
© 2020 by the authors. Licensee MDPI, Basel, Switzerland. This article is an open access article distributed under the terms and conditions of the Creative Commons Attribution (CC BY) license (http://creativecommons.org/licenses/by/4.0/).
Share and Cite
Farrell, L.J.; Morris, S.T.; Kenyon, P.R.; Tozer, P.R. Modelling a Transition from Purebred Romney to Fully Shedding Wiltshire–Romney Crossbred. Animals 2020, 10, 2066. https://doi.org/10.3390/ani10112066
Farrell LJ, Morris ST, Kenyon PR, Tozer PR. Modelling a Transition from Purebred Romney to Fully Shedding Wiltshire–Romney Crossbred. Animals. 2020; 10(11):2066. https://doi.org/10.3390/ani10112066
Chicago/Turabian StyleFarrell, Lydia Jane, Stephen Todd Morris, Paul R. Kenyon, and Peter R. Tozer. 2020. "Modelling a Transition from Purebred Romney to Fully Shedding Wiltshire–Romney Crossbred" Animals 10, no. 11: 2066. https://doi.org/10.3390/ani10112066
APA StyleFarrell, L. J., Morris, S. T., Kenyon, P. R., & Tozer, P. R. (2020). Modelling a Transition from Purebred Romney to Fully Shedding Wiltshire–Romney Crossbred. Animals, 10(11), 2066. https://doi.org/10.3390/ani10112066
        
