Varying Opinions about Animal Welfare in the Australian Live Export Industry: A Survey
Simple Summary
Abstract
1. Introduction
2. Methods
3. Results
3.1. Demographics
“Lived in rural areas for many years with first-hand knowledge of animal transport practices and standards.”AWA respondent
“Work in the livestock industry.”AWA respondent
“As a compassionate human being I care about all animals. It is a mark of our humanity that we treat all living things with care and respect.”AWA respondent
“Citizen of country that exports livestock - worried about economic benefits of this”GP respondent
“Our family farm does not sell cattle direct to live export but what is happening in the export trades directly impacts on all Australian farmers”GP respondent
“I think live export is important, but represents very low value product and not a very good long term outlook.”GP respondent
“I work for a company that receives live export and it’s an important part of the Australian Beef industryGP respondent
“Just being a normal person who understands the necessity of animals to our whole existence”GP respondent
“I want to see the LE industry stop for good and as quickly as possible. There are other options - move to a chilled trade only, I believe it is only greed and laziness that is preventing this from happening.”GP respondent
“I am a sheep farmer, even though I do not supply to Live Ex (I’m in the South) I believe that the live export industry is an important link in the chain that is Aus Ag.”GP respondent
“Concern for animals and concern for Australian economy and the lost opportunity for value-adding through local slaughter”GP respondent
“The live export trade represents one of our society’s most egregious forms of animal use.”GP respondent
3.2. Sources of Knowledge Regarding the Live Export Industry
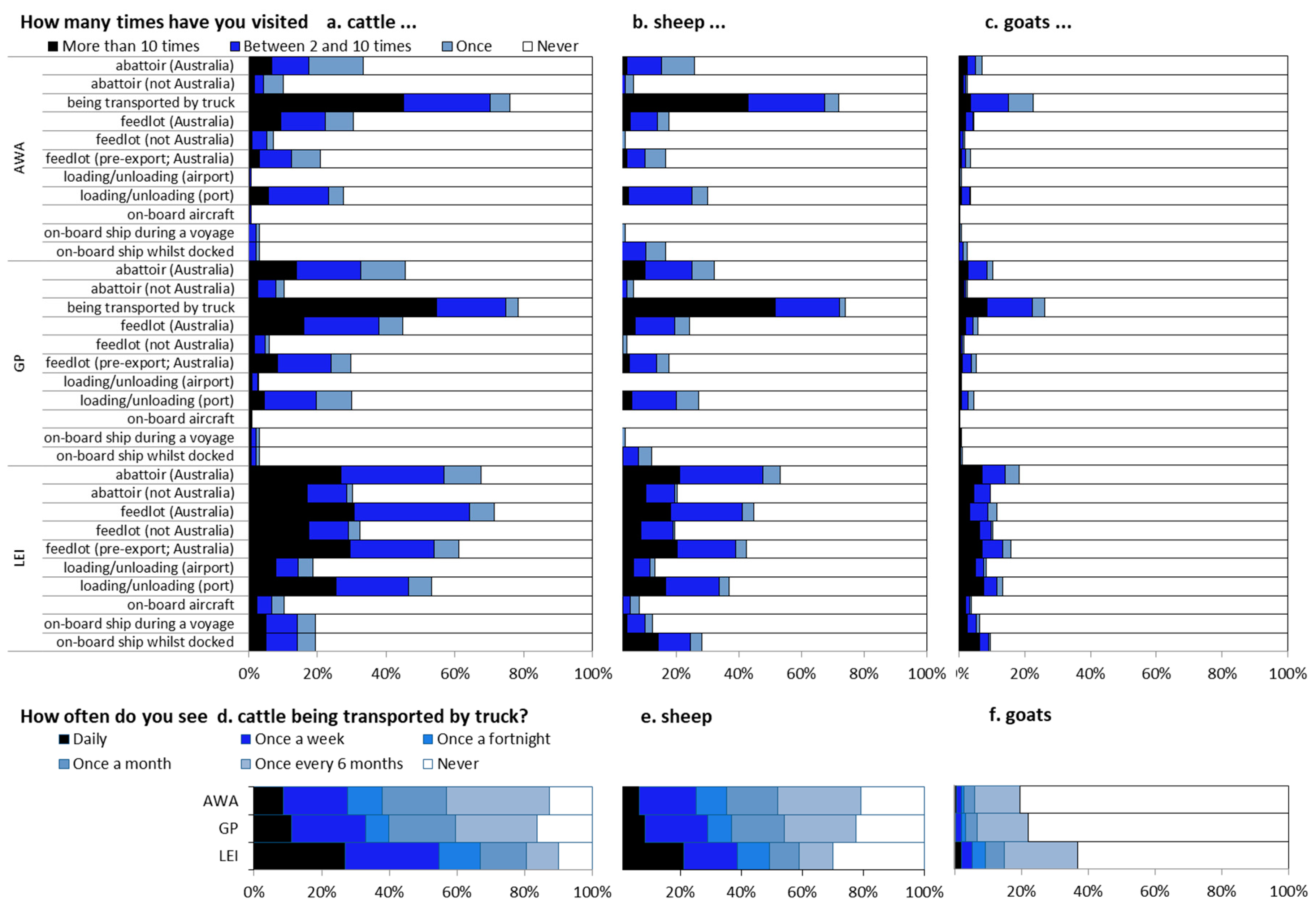
3.3. Experience
3.4. Opinions
3.5. Welfare Measures
4. Discussion
4.1. Some Expected, and Some Unexpected, Differences of Opinion
4.2. The Importance of Animal Welfare Measures Other than Just Recording Mortality
4.3. How the Live Export Industry has Already Changed
5. Conclusion
Supplementary Materials
Author Contributions
Funding
Acknowledgments
Conflicts of Interest
References
- LiveCorp. Annual Report 2018/19; LiveCorp: Sydney, Australia, 2019; Available online: https://livecorp.com.au/article/2irWvEVpR3XeeBTcDe3cnb (accessed on 12 October 2020).
- Department of Agriculture. Exporter Supply Chain Assurance System; Department of Agriculture: Canberra, Australia, 2015. [Google Scholar]
- Futureeye Pty Ltd. Commodity or Sentient Being—Australia’s Shifting Mindset on Farm Animal Welfare. Available online: https://www.agriculture.gov.au/animal/welfare/animal-welfare-in-australia#research-and-developmentORhttps://www.outbreak.gov.au/sites/default/files/documents/farm-animal-welfare.pdf (accessed on 17 April 2020).
- Kauppinen, T.; Vainio, A.; Valros, A.; Rita, H.; Vesala, K.M. Improving animal welfare: Qualitative and quantitative methodology in the study of farmers’ attitudes. Anim. Welf. 2010, 19, 523. [Google Scholar]
- Coleman, G. Public animal welfare discussions and outlooks in Australia. Anim. Front. 2018, 8, 14–19. [Google Scholar] [CrossRef] [PubMed]
- Degeling, C.; Johnson, J. Citizens, consumers and animals: What role do experts assign to public values in establishing animal welfare standards? J. Agric. Environ. Ethics 2015, 28, 961–976. [Google Scholar] [CrossRef]
- Izmirli, S.; Phillips, C.J.C. Attitudes to animal welfare and rights throughout the world in the modern era: A review. Eurasian J. Vet. Sci. 2012, 28, 65–68. [Google Scholar]
- McCarthy, M. Independent Review of Conditions for the Export of Sheep to the Middle East during the Northern Hemisphere Summer; Department of Agriculture and Water Resources, Australian Government: Canberra, Australia, 2018. [Google Scholar]
- Ferguson, D.M.; Schreurs, N.M.; Kenyon, P.R.; Jacob, R.H. Balancing consumer and societal requirements for sheep meat production: An Australasian perspective. Meat Sci. 2014, 98, 477–483. [Google Scholar] [CrossRef] [PubMed]
- Te Velde, H.; Aarts, N.; Van Woerkum, C. Dealing with ambivalence: Farmers’ and consumers’ perceptions of animal welfare in livestock breeding. J. Agric. Environ. Ethics 2002, 15, 203–219. [Google Scholar] [CrossRef]
- European Commission. Attitudes of consumers towards the welfare of farmed animals. Available online: https://ec.europa.eu/search/?QueryText=Attitudes+of+consumers+towards+the+welfare+of+farmed+animals.&op=Search&swlang=en&form_build_id=form-LPZT7ziM_EnlaYrMzrgCeEORuE6pTca79TT0UxnczDo&form_id=nexteuropa_europa_search_search_form (accessed on 17 April 2020).
- Vanhonacker, F.; Verbeke, W.; Van Poucke, E.; Tuyttens, F.A.M. Do citizens and farmers interpret the concept of farm animal welfare differently? Livest. Sci. 2008, 116, 126–136. [Google Scholar] [CrossRef]
- RMAC. The Meat Industry Strategic Plan 2015-2020; Red Meat Advisory Council Ltd.: Canberra, Australian, Australia, 2015. [Google Scholar]
- Dunston-Clarke, E.J.; Willis, R.S.; Fleming, P.A.; Barnes, A.L.; Miller, D.W.; Collins, T. Developing the framework for an animal welfare assessment protocol for the sea transport of livestock. Animals 2020, 10, 705. [Google Scholar] [CrossRef] [PubMed]
- Phillips, C.J.C. Ethical perspectives of the Australian live export trade. Aust. Vet. J. 2005, 83, 558–562. [Google Scholar] [CrossRef] [PubMed]
- Bennett, R.M.; Anderson, J.; Blaney, R.J.P. Moral intensity and willingness to pay concerning farm animal welfare issues and the implications for agricultural policy. J. Agric. Environ. Ethics 2002, 15, 187–202. [Google Scholar] [CrossRef]
- Colditz, I.G.; Ferguson, D.M.; Collins, T.; Matthews, L.; Hemsworth, P.H. A prototype tool to enable farmers to measure and improve the welfare performance of the farm animal enterprise: The unified field index. Animals 2014, 4, 446–462. [Google Scholar] [CrossRef]
- Fleming, P.A.; Wickham, S.L.; Dunston-Clarke, E.J.; Willis, R.S.; Barnes, A.L.; Miller, D.W.; Collins, T. Review of livestock welfare indicators relevant for the Australian live export industry. Available online: https://www.google.com/url?sa=t&rct=j&q=&esrc=s&source=web&cd=&ved=2ahUKEwjs9s6Uhq7sAhXlX3wKHQmnBkoQFjABegQIBhAC&url=https%3A%2F%2Fec.europa.eu%2Ffood%2Fsites%2Ffood%2Ffiles%2Fanimals%2Fdocs%2Faw_arch_euro_barometer25_en.pdf&usg=AOvVaw1maabJcUTvB4zhVwxbBF2N. (accessed on 12 April 2020).
- Sinclair, M.; Derkley, T.; Fryer, C.; Phillips, C.J.C. Australian public opinions regarding the live export trade before and after an animal welfare media expose. Animals 2018, 8, 106. [Google Scholar] [CrossRef]
- RSPCA. Media Release: New Poll Finds South Australian Opposition to Live Exports Highest in Country. Available online: https://www.rspcasa.org.au/new-poll-finds-south-aussies-against-live-export/ (accessed on 4 April 2020).
- Pines, M.; Petherick, C.; Gaughan, J.B.; Phillips, C.J.C. Developing Alternative Methods of Measuring Animal Welfare on Ships. Stage One: Survey of Industry Opinion; Meat & Livestock Australia: Sydney, Australia, 2004. [Google Scholar]
- Stinson, P.R. Two incidents that changed quality management in the Australian livestock export industry. Vet. Ital. 2007, 44, 177–186. [Google Scholar]
- EFSA. Scientific opninion: Statement on the use of animal-based measures to assess the welfare of animals. EFSA J. 2012, 10, 2767–2796. [Google Scholar]
- 60 Minutes. Sheep, Ships and Videotape. Available online: https://9now.nine.com.au/60-minutes/sheep-ships-and-videotapes/5c6e8bce-b910-4287-87f7-2ac7fa5a80eb (accessed on 17 April 2020).
- Australian Government. Independent Observations of Livestock Export Voyages by Sea. Available online: https://www.agriculture.gov.au/export/controlled-goods/live-animals/livestock/regulatory-framework/compliance-investigations/independent-observations-livestock-export-sea#2018 (accessed on 4 April 2020).
- Moss, P. Review of the Regulatory Capability and Culture of the Department of Agriculture and Water Resources in the Regulation of Live Animal Exports; Department of Agriculture and Water Resources, Government of Australia: Canberra, Australia, 2018. [Google Scholar]
- Rousing, T.; Bonde, M.; Sorensen, J.T. Aggregating welfare indicators into an operational welfare assessment system: A bottom-up approach. Acta Agric. Scand. Sect. A Anim. Sci. 2001, 30, 53–57. [Google Scholar]
- Main, D.; Mullan, S.; Atkinson, C.; Cooper, M.; Wrathall, J.; Blokhuis, H. Best practice framework for animal welfare certification schemes. Trends Food Sci. Technol. 2014, 37, 127–136. [Google Scholar] [CrossRef]
- VoconiQ. Live exports and the Australian community. A national survey; Voconiq: Queensland, Australia, 2020. [Google Scholar]








| Question | “Measure is Important” | “Measure is Practical” | ||||||||||
|---|---|---|---|---|---|---|---|---|---|---|---|---|
| AWA | GP | LEI | AWA | GP | LEI | |||||||
| Physiological measures | ||||||||||||
| Parasites | 99% | 97% | 94% | 95% | 91% | 88% | ||||||
| Physiological status | 99% | 94% | 94% | 96% | 91% | 91% | ||||||
| Body Condition Score | 97% | 95% | 94% | 96% | 94% | 94% | ||||||
| Behaviour | 99% | 96% | 91% | 95% | 90% | 82% | ||||||
| Body weight | 92% | 90% | 81% | 92% | 90% | 86% | ||||||
| Respiration rate | 96% | a | 89% | ab | 76% | b | 88% | a | 76% | a | 62% | b |
| Body temperature | 95% | a | 86% | a | 60% | b | 87% | a | 72% | b | 43% | c |
| Stress hormones | 96% | a | 83% | a | 55% | b | 76% | a | 55% | b | 29% | c |
| Rumination | 91% | a | 79% | b | 60% | b | 78% | a | 62% | b | 41% | c |
| Heart rate | 96% | a | 80% | b | 44% | c | 79% | a | 63% | b | 28% | c |
| Wool length | 68% | 68% | 71% | 83% | 78% | 79% | ||||||
| Meat quality | 49% | b | 66% | a | 72% | a | 62% | 64% | 67% | |||
| Health measures | ||||||||||||
| Injury/wounds | 100% | 100% | 99% | 98% | 98% | 96% | ||||||
| Presence of disease | 99% | 100% | 99% | 97% | 96% | 94% | ||||||
| Disease | 99% | 99% | 99% | 98% | 97% | 95% | ||||||
| Inability to stand | 100% | 100% | 97% | 99% | 99% | 95% | ||||||
| Infection | 99% | 99% | 97% | 96% | 95% | 89% | ||||||
| Lameness | 100% | 98% | 97% | 98% | 97% | 94% | ||||||
| Death | 99% | 98% | 97% | 98% | 97% | 95% | ||||||
| Pain | 99% | 94% | 84% | 87% | a | 73% | b | 53% | c | |||
| Nasal discharge | 97% | 93% | 84% | 97% | 88% | 81% | ||||||
| Faeces structure | 97% | 89% | 86% | 90% | 83% | 82% | ||||||
| Coughing | 97% | a | 91% | a | 75% | b | 95% | a | 82% | ab | 73% | b |
| Vocalisations | 97% | a | 87% | a | 65% | b | 93% | a | 81% | a | 65% | b |
| Sneezing | 93% | a | 78% | b | 53% | c | 93% | a | 74% | b | 56% | c |
| Environmental measures | ||||||||||||
| Amount of ventilation | 100% | 99% | 100% | 98% | 97% | 97% | ||||||
| Air quality | 100% | 97% | 94% | 96% | 93% | 85% | ||||||
| Amount of shade | 100% | 97% | 92% | 98% | 98% | 90% | ||||||
| Amount of shelter from weather | 99% | 97% | 92% | 98% | 96% | 90% | ||||||
| Air temperature | 99% | 95% | 89% | 98% | 96% | 89% | ||||||
| Humidity | 99% | 91% | 83% | 97% | 93% | 84% | ||||||
| Weather | 98% | a | 88% | ab | 81% | b | 96% | a | 92% | ab | 80% | b |
| Daily amount of light | 98% | a | 85% | a | 62% | b | 97% | a | 90% | a | 69% | b |
| Noise | 98% | a | 84% | b | 63% | c | 98% | a | 86% | a | 63% | b |
| Smell | 97% | a | 80% | b | 62% | c | 94% | a | 78% | b | 57% | c |
| Number of respondents n = | 279 | 401 | 241 | 279 | 401 | 241 | ||||||
© 2020 by the authors. Licensee MDPI, Basel, Switzerland. This article is an open access article distributed under the terms and conditions of the Creative Commons Attribution (CC BY) license (http://creativecommons.org/licenses/by/4.0/).
Share and Cite
Fleming, P.A.; Wickham, S.L.; Barnes, A.L.; Miller, D.W.; Collins, T. Varying Opinions about Animal Welfare in the Australian Live Export Industry: A Survey. Animals 2020, 10, 1864. https://doi.org/10.3390/ani10101864
Fleming PA, Wickham SL, Barnes AL, Miller DW, Collins T. Varying Opinions about Animal Welfare in the Australian Live Export Industry: A Survey. Animals. 2020; 10(10):1864. https://doi.org/10.3390/ani10101864
Chicago/Turabian StyleFleming, Patricia A., Sarah L. Wickham, Anne L. Barnes, David W. Miller, and Teresa Collins. 2020. "Varying Opinions about Animal Welfare in the Australian Live Export Industry: A Survey" Animals 10, no. 10: 1864. https://doi.org/10.3390/ani10101864
APA StyleFleming, P. A., Wickham, S. L., Barnes, A. L., Miller, D. W., & Collins, T. (2020). Varying Opinions about Animal Welfare in the Australian Live Export Industry: A Survey. Animals, 10(10), 1864. https://doi.org/10.3390/ani10101864

