Application of Fungus Enzymes in Spent Mushroom Composts from Edible Mushroom Cultivation for Phthalate Removal
Abstract
:1. Introduction
2. Materials and Methods
2.1. Chemicals
2.2. Sampling and Spent Mushroom Compost
2.3. Analysis of Remaining Phthalates in Experimental Samples
2.4. Batch Experiments
2.5. Metaproteomic Analysis of Fungus Extracellular Enzymes from SMCs by Mass Spectrometry
2.6. Adsorption Experiments
2.7. Bioreactor Experiments
3. Results
3.1. Tests of Phthalate Degradation using Enzyme Extracts of SMCs
3.2. Tests of Phthalate Degradation using SMC Enzyme Extracts with Mediators
3.3. Analysis of Fungus Extracellular Enzymes in SMCs
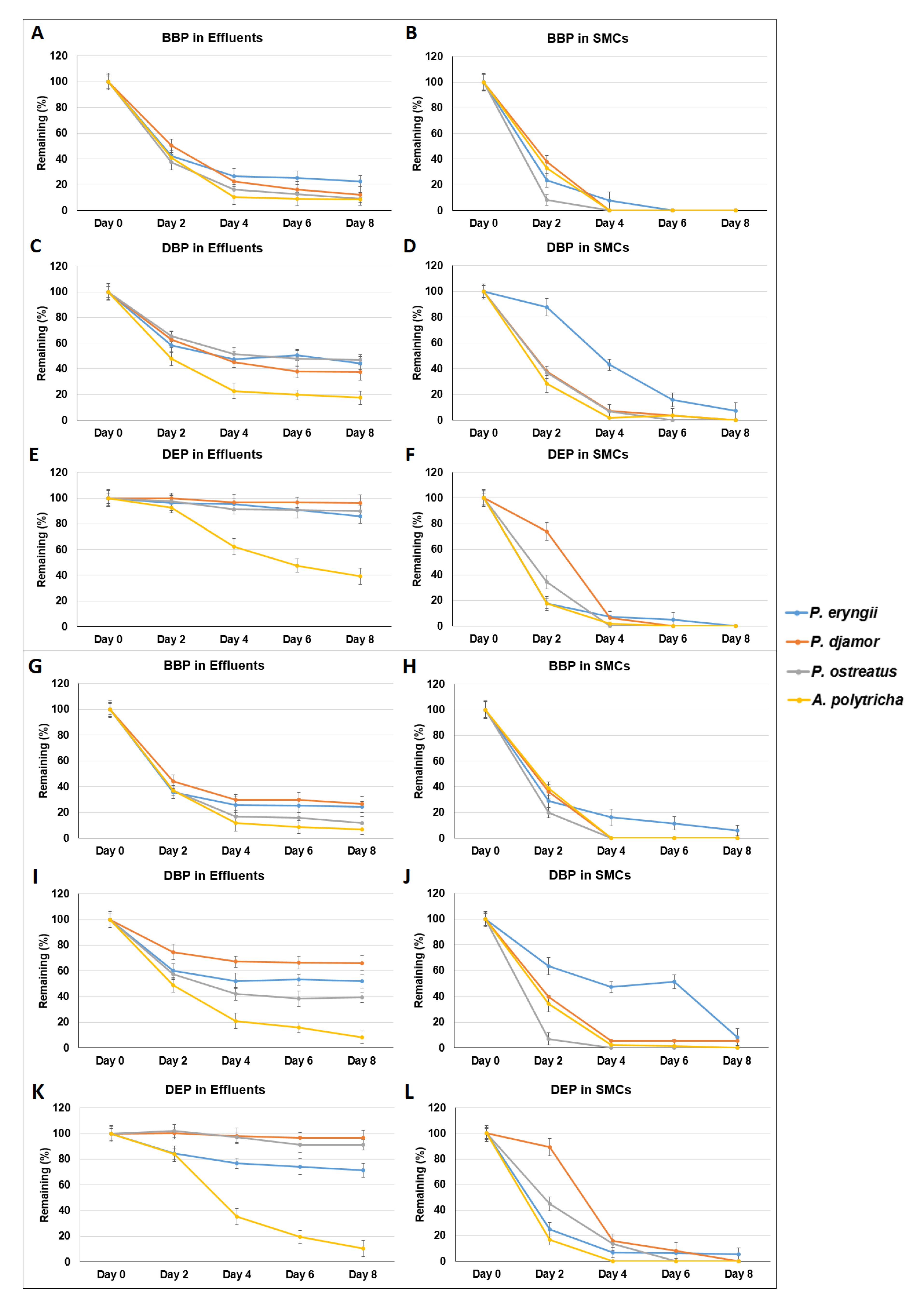
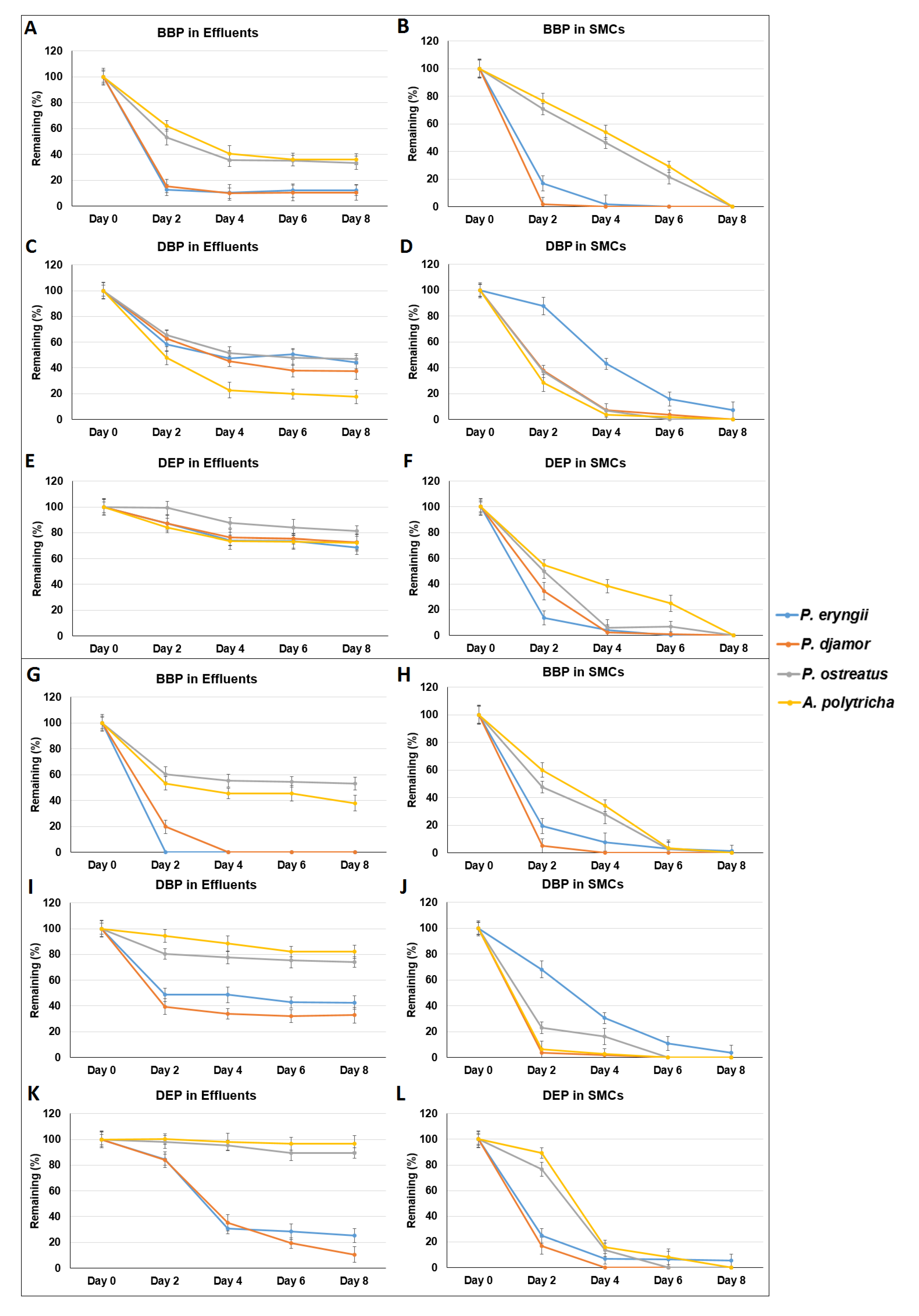
3.4. Direct Application of SMCs for Phthalate Removal
4. Discussions
5. Conclusions
Supplementary Materials
Author Contributions
Funding
Conflicts of Interest
References
- Lau, K.; Tsang, Y.; Chiu, S. Use of spent mushroom compost to bioremediate PAH-contaminated samples. Chemosphere 2003, 52, 1539–1546. [Google Scholar] [CrossRef]
- Akhtar, N.; Mannan, M.A.-U. Mycoremediation: Expunging environmental pollutants. Biotechnol. Rep. 2020, 26, e00452. [Google Scholar] [CrossRef] [PubMed]
- Manavalan, T.; Manavalan, A.; Heese, K. Characterization of Lignocellulolytic Enzymes from White-Rot Fungi. Curr. Microbiol. 2015, 70, 485–498. [Google Scholar] [CrossRef]
- Bourbonnais, R.; Paice, M.G. Oxidation of non-phenolic substrates. An expanded role for laccase in lignin biodegradation. FEBS Lett. 1990, 267, 99–102. [Google Scholar] [CrossRef] [Green Version]
- Ashe, B.; Nguyen, L.N.; Hai, F.I.; Lee, D.J.; van de Merwe, J.P.; Leusch, F.D.L.; Price, W.E.; Nghiem, L.D. Impacts of re-dox-mediator type on trace organic contaminants degradation by laccase: Degradation efficiency, laccase stability and efflu-ent toxicity. Int. Biodeterior. Biodegrad. 2016, 113, 169–176. [Google Scholar] [CrossRef] [Green Version]
- More, S.S.; Renuka, P.S.; Pruthvi, K.; Swetha, M.; Malini, S.; Veena, S.M. Isolation, Purification, and Characterization of Fungal Laccase from Pleurotus sp. Enzym. Res. 2011, 2011, 7. [Google Scholar] [CrossRef] [PubMed] [Green Version]
- Barrios-Estrada, C.; Rostro-Alanis, M.D.J.; Muñoz-Gutiérrez, B.D.; Iqbal, H.M.; Kannan, S.; Parra-Saldívar, R. Emergent contaminants: Endocrine disruptors and their laccase-assisted degradation – A review. Sci. Total. Environ. 2018, 612, 1516–1531. [Google Scholar] [CrossRef] [PubMed]
- Barrios-Estrada, C.; Rostro-Alanis, M.D.J.; Parra, R.; Belleville, M.-P.; Sanchez-Marcano, J.; Iqbal, H.M.; Parra-Saldívar, R. Potentialities of active membranes with immobilized laccase for Bisphenol A degradation. Int. J. Biol. Macromol. 2018, 108, 837–844. [Google Scholar] [CrossRef]
- Kupski, L.; Salcedo, G.M.; Caldas, S.S.; de Souza, T.D.; Furlong, E.B.; Primel, E.G. Optimization of a laccase-mediator sys-tem with natural redox-mediating compounds for pesticide removal. Environ. Sci. Pollut. Res. 2019, 26, 5131–5139. [Google Scholar] [CrossRef]
- Grijalva-Bustamante, G.; Evans-Villegas, A.; Del Castillo-Castro, T.; Castillo-Ortega, M.; Cruz-Silva, R.; Huerta, F.; Morallon, E. Enzyme mediated synthesis of polypyrrole in the presence of chondroitin sulfate and redox mediators of natural origin. Mater. Sci. Eng. C 2016, 63, 650–656. [Google Scholar] [CrossRef] [Green Version]
- Liao, C.-S.; Yuan, S.-Y.; Hung, B.-H.; Chang, B.-V. Removal of organic toxic chemicals using the spent mushroom compost of Ganoderma lucidum. J. Environ. Monit. 2012, 14, 1983–1988. [Google Scholar] [CrossRef]
- Yang, C.-W.; Chen, W.-Z.; Chang, B.-V. Biodegradation of tetrabromobisphenol-A in sludge with spent mushroom compost. Int. Biodeterior. Biodegradation 2017, 119, 387–395. [Google Scholar] [CrossRef]
- Chang, B.-V.; Fan, S.-N.; Tsai, Y.-C.; Chung, Y.-L.; Tu, P.-X.; Yang, C.-W. Removal of emerging contaminants using spent mushroom compost. Sci. Total. Environ. 2018, 634, 922–933. [Google Scholar] [CrossRef]
- Yang, C.W.; Tsai, L.L.; Chang, B.V. Fungi extracellular enzyme-containing microcapsules enhance degradation of sul-fonamide antibiotics in mangrove sediments. Environ. Sci. Pollut. Res. 2018, 25, 10069–10079. [Google Scholar] [CrossRef] [PubMed]
- Heudorf, U.; Mersch-Sundermann, V.; Angerer, J. Phthalates: Toxicology and exposure. Int. J. Hyg. Environ. Health 2007, 210, 623–634. [Google Scholar] [CrossRef]
- Sathyanarayana, S.; Karr, C.J.; Lozano, P.; Brown, E.; Calafat, A.M.; Liu, F.; Swan, S. Baby Care Products: Possible Sources of Infant Phthalate Exposure. Pediatrics 2008, 121, e260–e268. [Google Scholar] [CrossRef]
- Erythropel, H.C.; Maric, M.; Nicell, J.; Leask, R.; Yargeau, V. Leaching of the plasticizer di(2-ethylhexyl)phthalate (DEHP) from plastic containers and the question of human exposure. Appl. Microbiol. Biotechnol. 2014, 98, 9967–9981. [Google Scholar] [CrossRef]
- Zota, A.R.; Phillips, C.A.; Mitro, S. Recent Fast Food Consumption and Bisphenol A and Phthalates Exposures among the U.S. Population in NHANES, 2003–2010. Environ. Health Perspect. 2016, 124, 1521–1528. [Google Scholar] [CrossRef]
- Wang, Y.; Zhu, H.; Kannan, K. A Review of Biomonitoring of Phthalate Exposures. Toxics 2019, 7, 21. [Google Scholar] [CrossRef] [Green Version]
- Karačonji, I.B.; Jurica, S.A.; Lasić, D.; Jurica, K. Facts about phthalate toxicity in humans and their occurrence in alcoholic beverages. Arch. Ind. Hyg. Toxicol. 2017, 68, 81–92. [Google Scholar] [CrossRef] [PubMed] [Green Version]
- Staples, C.A.; Peterson, D.R.; Parkerton, T.F.; Adams, W.J. The environmental fate of phthalate esters: A literature review. Chemosphere 1997, 35, 667–749. [Google Scholar] [CrossRef]
- Zhang, L.; Liu, J.; Liu, H.; Wan, G.; Zhang, S. The occurrence and ecological risk assessment of phthalate esters (PAEs) in urban aquatic environments of China. Ecotoxicology 2015, 24, 967–984. [Google Scholar] [CrossRef]
- Hermabessiere, L.; Dehaut, A.; Paul-Pont, I.; Lacroix, C.; Jezequel, R.; Soudant, P.; Duflos, G. Occurrence and effects of plastic additives on marine environments and organisms: A review. Chemosphere 2017, 182, 781–793. [Google Scholar] [CrossRef] [PubMed] [Green Version]
- Das, M.T.; Kumar, S.S.; Ghosh, P.; Shah, G.; Malyan, S.K.; Bajar, S.; Thakur, I.S.; Singh, L. Remediation strategies for mit-igation of phthalate pollution: Challenges and future perspectives. J. Hazard. Mater. 2020, 6, 124496. [Google Scholar]
- Salthammer, T. Emerging indoor pollutants. Int. J. Hyg. Environ. Health 2020, 224, 113423. [Google Scholar] [CrossRef] [PubMed]
- Praveena, S.M.; Teh, S.W.; Rajendran, R.K.; Kannan, N.; Lin, C.-C.; Abdullah, R.; Kumar, S. Recent updates on phthalate exposure and human health: A special focus on liver toxicity and stem cell regeneration. Environ. Sci. Pollut. Res. 2018, 25, 11333–11342. [Google Scholar] [CrossRef]
- Radke, E.G.; Braun, J.M.; Meeker, J.D.; Cooper, G.S. Phthalate exposure and male reproductive outcomes: A systematic review of the human epidemiological evidence. Environ. Int. 2018, 121, 764–793. [Google Scholar] [CrossRef]
- Dutta, S.; Haggerty, D.K.; Rappolee, D.A.; Ruden, D.M. Phthalate Exposure and Long-Term Epigenomic Consequences: A Review. Front. Genet. 2020, 11, 405. [Google Scholar] [CrossRef]
- Arzuaga, X.; Walker, T.; Yost, E.E.; Radke, E.G.; Hotchkiss, A.K. Use of the Adverse Outcome Pathway (AOP) framework to evaluate species concordance and human relevance of Dibutyl phthalate (DBP)-induced male reproductive toxicity. Reprod. Toxicol. 2020, 96, 445–458. [Google Scholar] [CrossRef]
- Bølling, A.K.; Sripada, K.; Becher, R.; Bekö, G. Phthalate exposure and allergic diseases: Review of epidemiological and experimental evidence. Environ. Int. 2020, 139, 105706. [Google Scholar] [CrossRef]
- Gao, D.W.; Wen, Z.D. Phthalate esters in the environment: A critical review of their occurrence, biodegradation, and re-moval during wastewater treatment processes. Sci. Total Environ. 2016, 541, 986–1001. [Google Scholar] [CrossRef]
- Tang, Y.; Zhang, Y.; Jiang, L.; Yang, C.; Rittmann, B.E. Enhanced dimethyl phthalate biodegradation by accelerating phthalic acid di-oxygenation. Biogeochem. 2017, 28, 413–421. [Google Scholar] [CrossRef] [PubMed]
- Ahmadi, E.; Yousefzadeh, S.; Ansari, M.; Ghaffari, H.R.; Azari, A.; Miri, M.; Mesdaghinia, A.; Nabizadeh, R.; Kakavandi, B.; Ahmadi, P.; et al. Performance, kinetic, and biodegradation pathway evaluation of anaerobic fixed film fixed bed reactor in re-moving phthalic acid esters from wastewater. Sci. Rep. 2017, 7, 41020. [Google Scholar] [CrossRef]
- Pérez, M.A.; Tlecuitl-Beristain, S.; García-Dávila, J.; Santacruz-Juárez, E.; González-Pérez, M.; Gutiérrez-Ruíz, M.C.; Sánchez, C. Mineralization of high concentrations of the endocrine disruptor dibutyl phthalate by Fusarium culmorum. 3 Biotech. 2018, 8, 42. [Google Scholar] [CrossRef] [PubMed]
- Cohen, L.P.R.; Persky, L.; Hadar, Y. Biotechnological applications and potential of wood-degrading mushrooms of the genus Pleurotus. Appl. Microbiol. Biotechnol. 2002, 58, 582–594. [Google Scholar] [CrossRef]
- Sánchez, C. Cultivation of Pleurotus ostreatus and other edible mushrooms. Appl. Microbiol. Biotechnol. 2010, 85, 1321–1337. [Google Scholar] [CrossRef] [PubMed]
- Hwang, S.-S.; Choi, H.T.; Song, H.-G. Biodegradation of endocrine-disrupting phthalates by Pleurotus ostreatus. J. Microbiol. Biotechnol. 2008, 18, 767–772. [Google Scholar] [PubMed]
- Kim, Y.-M.; Song, H.-G. Effect of fungal pellet morphology on enzyme activities involved in phthalate degradation. J. Microbiol. 2009, 47, 420–424. [Google Scholar] [CrossRef]
- Hwang, S.S.; Kim, H.Y.; Ka, J.O.; Song, H.G. Changes in the activities of enzymes involved in the degradation of bu-tylbenzyl phthalate by Pleurotus ostreatus. J. Microbiol. Biotechnol. 2012, 22, 239–243. [Google Scholar] [CrossRef] [Green Version]
- Ahuactzin-Pérez, M.; Tlecuitl-Beristain, S.; García-Dávila, J.; Santacruz-Juárez, E.; González-Pérez, M.; Gutiérrez-Ruíz, M.C.; Sánchez, C. A novel biodegradation pathway of the endocrine-disruptor di(2-ethyl hexyl) phthalate by Pleurotus os-treatus based on quantum chemical investigation. Ecotoxicol. Environ. Saf. 2018, 147, 494–499. [Google Scholar] [CrossRef]
- Ahuactzin-Pérez, M.; Tlécuitl-Beristain, S.; García-Dávila, J.; Santacruz-Juárez, E.; González-Pérez, M.; Gutiérrez-Ruíz, M.C.; Sánchez, C. Kinetics and pathway of biodegradation of dibutyl phthalate by Pleurotus ostreatus. Fungal Biol. 2018, 122, 991–997. [Google Scholar] [CrossRef] [PubMed]








Publisher’s Note: MDPI stays neutral with regard to jurisdictional claims in published maps and institutional affiliations. |
© 2021 by the authors. Licensee MDPI, Basel, Switzerland. This article is an open access article distributed under the terms and conditions of the Creative Commons Attribution (CC BY) license (https://creativecommons.org/licenses/by/4.0/).
Share and Cite
Chang, B.-V.; Yang, C.-P.; Yang, C.-W. Application of Fungus Enzymes in Spent Mushroom Composts from Edible Mushroom Cultivation for Phthalate Removal. Microorganisms 2021, 9, 1989. https://doi.org/10.3390/microorganisms9091989
Chang B-V, Yang C-P, Yang C-W. Application of Fungus Enzymes in Spent Mushroom Composts from Edible Mushroom Cultivation for Phthalate Removal. Microorganisms. 2021; 9(9):1989. https://doi.org/10.3390/microorganisms9091989
Chicago/Turabian StyleChang, Bea-Ven, Chiao-Po Yang, and Chu-Wen Yang. 2021. "Application of Fungus Enzymes in Spent Mushroom Composts from Edible Mushroom Cultivation for Phthalate Removal" Microorganisms 9, no. 9: 1989. https://doi.org/10.3390/microorganisms9091989
APA StyleChang, B.-V., Yang, C.-P., & Yang, C.-W. (2021). Application of Fungus Enzymes in Spent Mushroom Composts from Edible Mushroom Cultivation for Phthalate Removal. Microorganisms, 9(9), 1989. https://doi.org/10.3390/microorganisms9091989
