Helicobacter Infection and Gastric Adenoma
Abstract
1. Introduction
2. Materials and Methods
- Three cases with mixed adenomas, two with combined PGA and FovA and one with PGA combined with TubA, were grouped together and classified as PGA since PGA is the prognostically relevant lesion [20];
- Seven cases with multiple TubAs were grouped together with singular TubAs;
- Patients with FAP (twenty-four TubAs and four FovAs) and Gardner syndrome (two TubAs) were grouped together and classified as Syndromic.
- We classified cases with any active H. pylori gastritis in antrum and/or corpus and corpus dominant H. pylori gastritis as “H. pylori gastritis”. In this group, we also included lymphocytic gastritis as it is frequently associated with active H. pylori gastritis [32] and as there were no patients with celiac disease;
- Cases with atrophic autoimmune gastritis (A-gastritis) in the corpus and chemical reactive gastritis (C-gastritis) in the antrum were classified as “A-gastritis”;
- Cases without any documented inflammation in the antrum and corpus were classified as “no gastritis”;
- “Ex-H. pylori gastritis” was used to classify cases with chronic, non-active gastritis.
3. Results
3.1. Clinicopathological Characteristics of the Cohort
3.2. Development of Adenoma Diagnosis with Time
3.3. Distribution of Adenoma Types by Gender and Age
3.4. Distribution of Gastric Adenoma Types by Localization
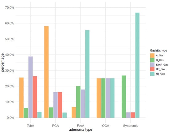
3.5. Association of Gastric Adenoma Types with Gastritis
3.6. Association of Gastritis Types with Intestinal Metaplasia and Atrophy with Regard to the OLGIM and OLGA Staging Systems
3.7. Association of Adenoma Types with Intestinal Metaplasia and Atrophy with Regard to the OLGIM and OLGA Staging Systems
4. Discussion
5. Conclusions
Author Contributions
Funding
Institutional Review Board Statement
Informed Consent Statement
Acknowledgments
Conflicts of Interest
References
- WHO Classification of Tumours Editorial Board. WHO Classification of Tumours. Digestive System Tumours, 5th ed.; International Agency for Research on Cancer: Lyon, France, 2019. [Google Scholar]
- Rugge, M.; Correa, P.; Dixon, M.F.; Hattori, T.; Leandro, G.; Lewin, K.; Riddell, R.H.; Sipponen, P.; Watanabe, H. Gastric dysplasia: The Padova international classification. Am. J. Surg. Pathol. 2000, 24, 167–176. [Google Scholar] [CrossRef]
- Stolte, M. The new Vienna classification of epithelial neoplasia of the gastrointestinal tract: Advantages and disadvantages. Virchows Arch. 2003, 442, 99–106. [Google Scholar] [CrossRef]
- Schlemper, R.J.; Riddell, R.H.; Kato, Y.; Borchard, F.; Cooper, H.S.; Dawsey, S.M.; Dixon, M.F.; Fenoglio-Preiser, C.M.; Flejou, J.F.; Geboes, K.; et al. The Vienna classification of gastrointestinal epithelial neoplasia. Gut 2000, 47, 251–255. [Google Scholar] [CrossRef]
- Ming, S.C. Dysplasia of gastric epithelium. Front. Gastrointest. Res. 1979, 4, 164–172. [Google Scholar] [CrossRef]
- Japanese Gastric Cancer Association. Japanese classification of gastric carcinoma: 3rd English edition. Gastric Cancer 2011, 14, 101–112. [Google Scholar] [CrossRef]
- Carmack, S.W.; Genta, R.M.; Schuler, C.M.; Saboorian, M.H. The current spectrum of gastric polyps: A 1-year national study of over 120,000 patients. Am. J. Gastroenterol. 2009, 104, 1524–1532. [Google Scholar] [CrossRef]
- Shaib, Y.H.; Rugge, M.; Graham, D.Y.; Genta, R.M. Management of gastric polyps: An endoscopy-based approach. Clin. Gastroenterol. Hepatol. 2013, 11, 1374–1384. [Google Scholar] [CrossRef]
- Brosens, L.A.; Wood, L.D.; Offerhaus, G.J.; Arnold, C.A.; Lam-Himlin, D.; Giardiello, F.M.; Montgomery, E.A. Pathology and Genetics of Syndromic Gastric Polyps. Int. J. Surg. Pathol. 2016, 24, 185–199. [Google Scholar] [CrossRef]
- Pimentel-Nunes, P.; Dinis-Ribeiro, M.; Ponchon, T.; Repici, A.; Vieth, M.; De Ceglie, A.; Amato, A.; Berr, F.; Bhandari, P.; Bialek, A.; et al. Endoscopic submucosal dissection: European Society of Gastrointestinal Endoscopy (ESGE) Guideline. Endoscopy 2015, 47, 829–854. [Google Scholar] [CrossRef]
- Rugge, M.; Cassaro, M.; Di Mario, F.; Leo, G.; Leandro, G.; Russo, V.M.; Pennelli, G.; Farinati, F.; Interdisciplinary Group on Gastric Epithelial, D. The long term outcome of gastric non-invasive neoplasia. Gut 2003, 52, 1111–1116. [Google Scholar] [CrossRef]
- Li, D.; Bautista, M.C.; Jiang, S.F.; Daryani, P.; Brackett, M.; Armstrong, M.A.; Hung, Y.Y.; Postlethwaite, D.; Ladabaum, U. Risks and Predictors of Gastric Adenocarcinoma in Patients with Gastric Intestinal Metaplasia and Dysplasia: A Population-Based Study. Am. J. Gastroenterol. 2016, 111, 1104–1113. [Google Scholar] [CrossRef] [PubMed]
- Tomasulo, J. Gastric polyps. Histologic types and their relationship to gastric carcinoma. Cancer 1971, 27, 1346–1355. [Google Scholar] [CrossRef]
- Kim, Y.J.; Park, J.C.; Kim, J.H.; Shin, S.K.; Lee, S.K.; Lee, Y.C.; Chung, J.B. Histologic diagnosis based on forceps biopsy is not adequate for determining endoscopic treatment of gastric adenomatous lesions. Endoscopy 2010, 42, 620–626. [Google Scholar] [CrossRef] [PubMed]
- Abraham, S.C.; Park, S.J.; Lee, J.H.; Mugartegui, L.; Wu, T.T. Genetic alterations in gastric adenomas of intestinal and foveolar phenotypes. Mod. Pathol. 2003, 16, 786–795. [Google Scholar] [CrossRef] [PubMed]
- Abraham, S.C.; Montgomery, E.A.; Singh, V.K.; Yardley, J.H.; Wu, T.T. Gastric adenomas: Intestinal-type and gastric-type adenomas differ in the risk of adenocarcinoma and presence of background mucosal pathology. Am. J. Surg. Pathol. 2002, 26, 1276–1285. [Google Scholar] [CrossRef] [PubMed]
- Park, D.Y.; Srivastava, A.; Kim, G.H.; Mino-Kenudson, M.; Deshpande, V.; Zukerberg, L.R.; Song, G.A.; Lauwers, G.Y. Adenomatous and foveolar gastric dysplasia: Distinct patterns of mucin expression and background intestinal metaplasia. Am. J. Surg. Pathol. 2008, 32, 524–533. [Google Scholar] [CrossRef]
- Chen, Z.M.; Scudiere, J.R.; Abraham, S.C.; Montgomery, E. Pyloric gland adenoma: An entity distinct from gastric foveolar type adenoma. Am. J. Surg. Pathol. 2009, 33, 186–193. [Google Scholar] [CrossRef]
- Wood, L.D.; Salaria, S.N.; Cruise, M.W.; Giardiello, F.M.; Montgomery, E.A. Upper GI tract lesions in familial adenomatous polyposis (FAP): Enrichment of pyloric gland adenomas and other gastric and duodenal neoplasms. Am. J. Surg. Pathol. 2014, 38, 389–393. [Google Scholar] [CrossRef]
- Vieth, M.; Kushima, R.; Borchard, F.; Stolte, M. Pyloric gland adenoma: A clinico-pathological analysis of 90 cases. Virchows Arch. 2003, 442, 317–321. [Google Scholar] [CrossRef]
- Kushima, R.; Ruthlein, H.J.; Stolte, M.; Bamba, M.; Hattori, T.; Borchard, F. ‘Pyloric gland-type adenoma’ arising in heterotopic gastric mucosa of the duodenum, with dysplastic progression of the gastric type. Virchows Arch. 1999, 435, 452–457. [Google Scholar] [CrossRef]
- Takei, K.; Watanabe, H.; Itoi, T.; Saito, T. p53 and Ki-67 immunoreactivity and nuclear morphometry of ‘carcinoma-in-adenoma’ and adenoma of the gall-bladder. Pathol. Int. 1996, 46, 908–917. [Google Scholar] [CrossRef]
- Matsubara, A.; Sekine, S.; Kushima, R.; Ogawa, R.; Taniguchi, H.; Tsuda, H.; Kanai, Y. Frequent GNAS and KRAS mutations in pyloric gland adenoma of the stomach and duodenum. J. Pathol. 2013, 229, 579–587. [Google Scholar] [CrossRef] [PubMed]
- Kushima, R.; Vieth, M.; Borchard, F.; Stolte, M.; Mukaisho, K.; Hattori, T. Gastric-type well-differentiated adenocarcinoma and pyloric gland adenoma of the stomach. Gastric Cancer 2006, 9, 177–184. [Google Scholar] [CrossRef] [PubMed]
- Lee, S.E.; Kang, S.Y.; Cho, J.; Lee, B.; Chang, D.K.; Woo, H.; Kim, J.W.; Park, H.Y.; Do, I.G.; Kim, Y.E.; et al. Pyloric gland adenoma in Lynch syndrome. Am. J. Surg. Pathol. 2014, 38, 784–792. [Google Scholar] [CrossRef] [PubMed]
- Vieth, M.; Kushima, R.; Mukaisho, K.; Sakai, R.; Kasami, T.; Hattori, T. Immunohistochemical analysis of pyloric gland adenomas using a series of Mucin 2, Mucin 5AC, Mucin 6, CD10, Ki67 and p53. Virchows Arch. 2010, 457, 529–536. [Google Scholar] [CrossRef]
- Ma, C.; Giardiello, F.M.; Montgomery, E.A. Upper tract juvenile polyps in juvenile polyposis patients: Dysplasia and malignancy are associated with foveolar, intestinal, and pyloric differentiation. Am. J. Surg. Pathol. 2014, 38, 1618–1626. [Google Scholar] [CrossRef]
- Ushiku, T.; Kunita, A.; Kuroda, R.; Shinozaki-Ushiku, A.; Yamazawa, S.; Tsuji, Y.; Fujishiro, M.; Fukayama, M. Oxyntic gland neoplasm of the stomach: Expanding the spectrum and proposal of terminology. Mod. Pathol. 2020, 33, 206–216. [Google Scholar] [CrossRef]
- Chan, K.; Brown, I.S.; Kyle, T.; Lauwers, G.Y.; Kumarasinghe, M.P. Chief cell-predominant gastric polyps: A series of 12 cases with literature review. Histopathology 2016, 68, 825–833. [Google Scholar] [CrossRef]
- Singhi, A.D.; Lazenby, A.J.; Montgomery, E.A. Gastric adenocarcinoma with chief cell differentiation: A proposal for reclassification as oxyntic gland polyp/adenoma. Am. J. Surg. Pathol. 2012, 36, 1030–1035. [Google Scholar] [CrossRef]
- Ueyama, H.; Matsumoto, K.; Nagahara, A.; Hayashi, T.; Yao, T.; Watanabe, S. Gastric adenocarcinoma of the fundic gland type (chief cell predominant type). Endoscopy 2014, 46, 153–157. [Google Scholar] [CrossRef]
- Wu, T.-T.; Hamilton, S.R. Lymphocytic Gastritis: Association with Etiology and Topology. Am. J. Surg. Pathol. 1999, 23, 153–158. [Google Scholar] [CrossRef]
- Rugge, M.; Correa, P.; Di Mario, F.; El-Omar, E.; Fiocca, R.; Geboes, K.; Genta, R.M.; Graham, D.Y.; Hattori, T.; Malfertheiner, P.; et al. OLGA staging for gastritis: A tutorial. Dig. Liver Dis. 2008, 40, 650–658. [Google Scholar] [CrossRef]
- Capelle, L.G.; de Vries, A.C.; Haringsma, J.; Ter Borg, F.; de Vries, R.A.; Bruno, M.J.; van Dekken, H.; Meijer, J.; van Grieken, N.C.; Kuipers, E.J. The staging of gastritis with the OLGA system by using intestinal metaplasia as an accurate alternative for atrophic gastritis. Gastrointest. Endosc. 2010, 71, 1150–1158. [Google Scholar] [CrossRef]
- Rugge, M.; Genta, R.M. Staging and grading of chronic gastritis. Hum. Pathol. 2005, 36, 228–233. [Google Scholar] [CrossRef]
- Rugge, M.; Genta, R.M.; Graham, D.Y.; Di Mario, F.; Vaz Coelho, L.G.; Kim, N.; Malfertheiner, P.; Sugano, K.; Tsukanov, V.; Correa, P. Chronicles of a cancer foretold: 35 years of gastric cancer risk assessment. Gut 2016, 65, 721–725. [Google Scholar] [CrossRef]
- Hattori, T. Morphological range of hyperplastic polyps and carcinomas arising in hyperplastic polyps of the stomach. J. Clin. Pathol. 1985, 38, 622–630. [Google Scholar] [CrossRef]
- Kushima, R.; Muller, W.; Stolte, M.; Borchard, F. Differential p53 protein expression in stomach adenomas of gastric and intestinal phenotypes: Possible sequences of p53 alteration in stomach carcinogenesis. Virchows Arch. 1996, 428, 223–227. [Google Scholar] [CrossRef]
- Rubio, C.A.; Kato, Y.; Kitagawa, T.; Sugano, H.; Grimelius, L. Intramucosal cysts of the stomach. VIII: Histochemical studies. APMIS 1988, 96, 627–634. [Google Scholar] [CrossRef]
- Borchard, F.; Ghanei, A.; Koldovsky, U.; Hengels, K.J.; Bückmann, F.W. Gastrale Differenzierung in Adenomen der Magenschleimhaut. Immunhistochemische und elektronenmikroskopische Untersuchungen. Verh. Dtsch. Ges. Pathol. 1990, 74, 528. [Google Scholar]
- Vieth, M.; Montgomery, E.A. Some observations on pyloric gland adenoma: An uncommon and long ignored entity! J. Clin. Pathol. 2014, 67, 883–890. [Google Scholar] [CrossRef]
- Park, J.Y.; Cornish, T.C.; Lam-Himlin, D.; Shi, C.; Montgomery, E. Gastric lesions in patients with autoimmune metaplastic atrophic gastritis (AMAG) in a tertiary care setting. Am. J. Surg. Pathol. 2010, 34, 1591–1598. [Google Scholar] [CrossRef] [PubMed]
- Nakamura, S.; Matsumoto, T.; Kobori, Y.; Iida, M. Impact of Helicobacter pylori infection and mucosal atrophy on gastric lesions in patients with familial adenomatous polyposis. Gut 2002, 51, 485–489. [Google Scholar] [CrossRef] [PubMed]
- Hackeng, W.M.; Montgomery, E.A.; Giardiello, F.M.; Singhi, A.D.; Debeljak, M.; Eshleman, J.R.; Vieth, M.; Offerhaus, G.J.; Wood, L.D.; Brosens, L.A. Morphology and genetics of pyloric gland adenomas in familial adenomatous polyposis. Histopathology 2017, 70, 549–557. [Google Scholar] [CrossRef] [PubMed]
- Hashimoto, T.; Ogawa, R.; Matsubara, A.; Taniguchi, H.; Sugano, K.; Ushiama, M.; Yoshida, T.; Kanai, Y.; Sekine, S. Familial adenomatous polyposis-associated and sporadic pyloric gland adenomas of the upper gastrointestinal tract share common genetic features. Histopathology 2015, 67, 689–698. [Google Scholar] [CrossRef] [PubMed]
- Park, J.G.; Park, K.J.; Ahn, Y.O.; Song, I.S.; Choi, K.W.; Moon, H.Y.; Choo, S.Y.; Kim, J.P. Risk of gastric cancer among Korean familial adenomatous polyposis patients. Report of three cases. Dis. Colon Rectum 1992, 35, 996–998. [Google Scholar] [CrossRef]














| Clinicopathological Variables | n (%) * |
|---|---|
| Gender | |
| Male | 570 (53.9) |
| Female | 488 (46.1) |
| Type of Adenoma | |
| Intestinal-type adenoma | 943 (89.1) |
| Pyloric gland adenoma | 36 (3.4) |
| Foveolar-type adenoma | 45 (4.3) |
| Oxyntic gland adenoma | 4 (0.4) |
| Adenoma associated with hereditary tumor syndromes ** | 30 (2.8) |
| Localization of Adenoma | |
| Antrum | 575 (54.4) |
| Corpus | 346 (32.7) |
| Intermediate zone | 68 (6.4) |
| Cardia | 39 (3.7) |
| Remaining stomach | 29 (2.7) |
| Cardia and antrum *** | 1 (0.1) |
| Type of Gastritis | |
| No gastritis | 78 (7.8) |
| H. pylori gastritis | 214 (21.4) |
| Corpus dominant H. pylori gastritis | 20 (2.0) |
| Ex-H. pylori gastritis | 359 (36.0) |
| Chemical reactive gastritis | 74 (7.4) |
| Autoimmune gastritis | 248 (24.8) |
| Lymphocytic gastritis | 5 (0.5) |
| Crohn’s gastritis | 1 (0.1) |
| NA | 59 |
| OLGIM classification | |
| 0 | 419 (43.2) |
| I | 319 (32.9) |
| II | 119 (12.3) |
| III | 89 (9.2) |
| IV | 24 (2.5) |
| NA | 88 |
| OLGA classification | |
| 0 | 430 (44.6) |
| I | 175 (18.2) |
| II | 277 (28.7) |
| III | 69 (7.2) |
| IV | 13 (1.3) |
| NA | 94 |
| Adenoma Type | Mean (SD) | Median |
|---|---|---|
| TubA | 71.1 (11.5) | 73 |
| PGA | 74.8 (8.8) | 74.5 |
| FovA | 62.4 (13.4) | 67 |
| OGA | 68.3 (10.1) | 70.5 |
| Syndromic | 42.8 (13.5) | 43 |
Publisher’s Note: MDPI stays neutral with regard to jurisdictional claims in published maps and institutional affiliations. |
© 2021 by the authors. Licensee MDPI, Basel, Switzerland. This article is an open access article distributed under the terms and conditions of the Creative Commons Attribution (CC BY) license (http://creativecommons.org/licenses/by/4.0/).
Share and Cite
Bertz, S.; Angeloni, M.; Drgac, J.; Falkeis, C.; Lang-Schwarz, C.; Sterlacci, W.; Veits, L.; Hartmann, A.; Vieth, M. Helicobacter Infection and Gastric Adenoma. Microorganisms 2021, 9, 108. https://doi.org/10.3390/microorganisms9010108
Bertz S, Angeloni M, Drgac J, Falkeis C, Lang-Schwarz C, Sterlacci W, Veits L, Hartmann A, Vieth M. Helicobacter Infection and Gastric Adenoma. Microorganisms. 2021; 9(1):108. https://doi.org/10.3390/microorganisms9010108
Chicago/Turabian StyleBertz, Simone, Miriam Angeloni, Jan Drgac, Christina Falkeis, Corinna Lang-Schwarz, William Sterlacci, Lothar Veits, Arndt Hartmann, and Michael Vieth. 2021. "Helicobacter Infection and Gastric Adenoma" Microorganisms 9, no. 1: 108. https://doi.org/10.3390/microorganisms9010108
APA StyleBertz, S., Angeloni, M., Drgac, J., Falkeis, C., Lang-Schwarz, C., Sterlacci, W., Veits, L., Hartmann, A., & Vieth, M. (2021). Helicobacter Infection and Gastric Adenoma. Microorganisms, 9(1), 108. https://doi.org/10.3390/microorganisms9010108

