Mathematical Modelling Using Predictive Biomarkers for the Outcome of Canine Leishmaniasis upon Chemotherapy
Abstract
1. Introduction
2. Materials and Methods
2.1. Ethics Approval
2.2. Animals and Sampling
2.3. Clinical Evaluation and Staging
2.4. Anti-Leishmania Chemotherapy
2.5. Hematological and Biochemical Parameters
2.6. Quantification of Total Globulin and Specific Anti-Leishmania Antibodies
2.7. Parasitic Load
2.8. Quantitative PCR
2.9. Statistical Analysis
3. Results
3.1. Responder Dogs Exhibit a Decrease in Splenic and Bone Marrow Parasite Loads and Improvement of Clinical Staging
3.2. Responder Dogs Display a Th1 Signature
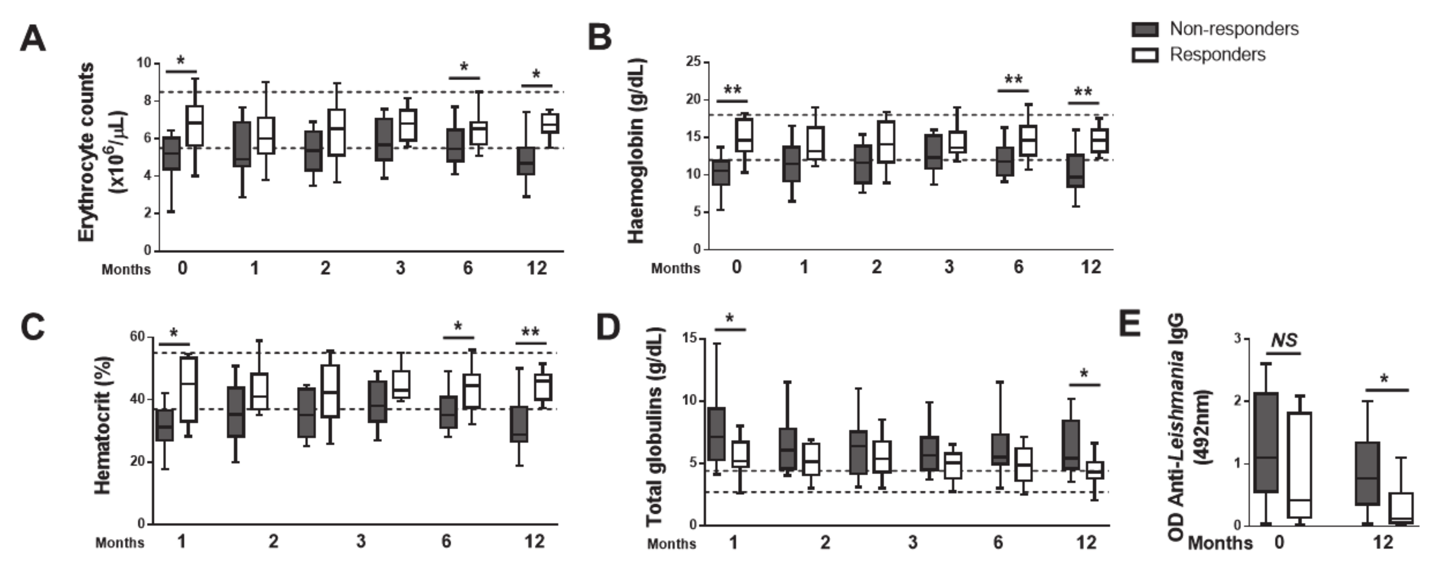
3.3. Non-Responder Dogs Failed to Restore the Hematological Parameters to Normal Reference Values
3.4. Serum Biochemistry Parameters Are Predictive of Visceral Organ Injury in Non-Responder Dogs
3.5. Development of a Mathematical Model with Predictive Value for the Success of CanL Chemotherapy
4. Discussion
Supplementary Materials
Author Contributions
Funding
Conflicts of Interest
Abbreviations
| AIC | Akaike information criterion | 
| ALT | Alanine aminotransferase | 
| AST | Aspartate transaminase | 
| Ca | Calcium | 
| CanL | Canine leishmaniasis | 
| CI | Confidence interval | 
| CK | Creatine kinase | 
| CK-MB | Creatine kinase MB | 
| DOAJ | Directory of open access journals | 
| GGT | Gamma-glutamyl transferase | 
| GNR | Group of non-responder dogs | 
| GR | Group of responder dogs | 
| IFNG/IFN-γ | Interferon-gamma | 
| IL1 | Interleukin-1 | 
| IL2 | Interleukin-2 | 
| IL4 | Interleukin-4 | 
| IL5 | Interleukin-5 | 
| IL10 | Interleukin-10 | 
| IL17 | Interleukin-17 | 
| IL22 | Interleukin-22 | 
| LD | Linear dichroism | 
| MDPI | Multidisciplinary Digital Publishing Institute | 
| P | Phosphorus | 
| q-PCR | Quantitative polymerase chain reaction | 
| RR | Relative risk | 
| Th1 | T helper 1 cell | 
| Th2 | T helper 2 cell | 
| TLA | Three letter acronym | 
| TNFA/TNF-α | Tumor necrosis factor alpha | 
| UPC | Urinary protein/creatinine ratio | 
References
- Sevá, A.P.; Ovallos, F.G.; Amaku, M.; Carrillo, E.; Moreno, J.; Galati, E.A.B.; Lopes, E.G.; Soares, R.M.; Ferreira, F. Canine-Based Strategies for Prevention and Control of Visceral Leishmaniasis in Brazil. PLoS ONE 2016, 11, e0160058. [Google Scholar]
- Lippi, I.; Guidi, G.; Marchetti, V.; Tognetti, R.; Meucci, V. Prognostic role of the product of serum calcium and phosphorus concentrations in dogs with chronic kidney disease: 31 cases (2008–2010). J. Am. Vet. Med. Assoc. 2014, 245, 1135–1140. [Google Scholar] [CrossRef] [PubMed]
- Paltrinieri, S.; Gradoni, L.; Roura, X.; Zatelli, A.; Zini, E. Laboratory tests for diagnosing and monitoring canine leishmaniasis. Vet. Clin. Pathol. 2016, 45, 552–578. [Google Scholar] [CrossRef]
- WHO. Leishmaniasis. Available online: https://www.who.int/leishmaniasis/burden/en/ (accessed on 20 November 2019).
- Magalhães-Junior, J.T.; Feitosa, T.; Porfirio-Passos, G.; Farias, D.; Roberto, C.; Barrouin-Melo, S.M. Xenodiagnosis on dogs with visceral leishmaniasis : Canine and sand fly aspects related to the parasite transmission. Vet. Parasitol. 2016, 223, 120–126. [Google Scholar] [CrossRef] [PubMed]
- Borja, L.S.; Sousa, O.M.F.; Solcà, M.D.S.; Bastos, L.A.; Bordoni, M.; Magalhães, J.T.; Larangeira, D.F.; Barrouin-Melo, S.M.; Fraga, D.B.M.; Veras, P.S.T. Parasite load in the blood and skin of dogs naturally infected by Leishmania infantum is correlated with their capacity to infect sand fly vectors. Vet. Parasitol. 2016, 132, 83–87. [Google Scholar] [CrossRef] [PubMed]
- Torrecilha, R.B.P.; Utsunomiya, Y.T.; Bosco, A.M.; Almeida, B.F.; Pereira, P.P.; Narciso, L.G.; Pereira, D.C.M.; Baptistiolli, L.; Calvo-bado, L.; Courtenay, O. Correlations between peripheral parasite load and common clinical and laboratory alterations in dogs with visceral leishmaniasis. Prev. Vet. Med. 2016, 132, 83–87. [Google Scholar] [CrossRef] [PubMed]
- Solano-Gallego, L.; Miró, G.; Koutinas, A.; Cardoso, L.; Pennisi, M.G.; Ferrer, L.; Bourdeau, P.; Oliva, G.; Baneth, G. The LeishVet Group LeishVet guidelines for the practical management of canine leishmaniosis. Parasites Vectors 2011, 4, 86. [Google Scholar] [CrossRef] [PubMed]
- Oliva, G.; Roura, X.; Crotti, A.; Maroli, M.; Castagnaro, M.; Gradoni, L.; Lubas, G.; Paltrinieri, S.; Zatelli, A.; Zini, E. Guidelines for treatment of leishmaniasis in dogs. J. Am. Vet. Med. Assoc. 2010, 236, 1192–1198. [Google Scholar] [CrossRef]
- Manna, L.; Corso, R.; Galiero, G.; Cerrone, A.; Muzj, P.; Gravino, A.E. Long-term follow-up of dogs with leishmaniosis treated with meglumine antimoniate plus allopurinol versus miltefosine plus allopurinol. Parasites Vectors 2015, 8, 289. [Google Scholar] [CrossRef]
- Marcondes, M.; Day, M.J. Current status and management of canine leishmaniasis in Latin America. Res. Vet. Sci. 2019, 123, 261–272. [Google Scholar] [CrossRef]
- Nogueira, S.; Avino, V.C.; Galvis-Ovallos, F.; Pereira-Chioccola, V.L.; Antonio, M.; Moreira, B.; Paula, A.; Lopes, P.; Molla, L.M.; Menz, I. Use of miltefosine to treat canine visceral leishmaniasis caused by Leishmania infantum in Brazil. Parasites Vectors 2019, 12, 79. [Google Scholar] [CrossRef] [PubMed]
- Da Silva, S.; Amorim, I.F.G.; Ribeiro, R.R.; Azevedo, E.G.; Demicheli, C.; Melo, M.N.; Tafuri, W.L.; Gontijo, N.F.; Michalick, M.S.M.; Frézard, F. Efficacy of combined therapy with liposome-encapsulated meglumine antimoniate and allopurinol in treatment of canine visceral leishmaniasis. Antimicrob. Agents Chemother. 2012, 56, 2858–2867. [Google Scholar] [CrossRef] [PubMed]
- Nery, G.; Becerra, D.R.D.; Borja, L.S.; Magalhães-Junior, J.T.; Souza, B.M.P.S.; Franke, C.R.; Veras, P.S.T.; Larangeira, D.F.; Barrouin-Melo, S.M. Evaluation of parasite infectivity for Lutzomyia longipalpis by xenodiagnosis in dogs treated for natural visceral leishmaniasis. Braz. J. Vet. Res. 2017, 37, 701–707. [Google Scholar]
- Ponte-Sucre, A.; Gamarro, F.; Dujardin, J.; Barrett, M.P.; Garcı, R.; Pountain, A.W.; Mwenechanya, R.; Papadopoulou, B. Drug resistance and treatment failure in leishmaniasis: A 21st century challenge. PLoS Negl. Trop. Dis. 2017, 11, e0006052. [Google Scholar] [CrossRef] [PubMed]
- Baxarias, M.; Álvarez-Fernández, A.; Martínez-Orellana, P.; Montserrat-Sangrà, S.; Ordeix, L.; Rojas, A.; Nachum-Biala, Y.; Baneth, G.; Solano-Gallego, L. Does co-infection with vector-borne pathogens play a role in clinical canine leishmaniosis? Parasites Vectors 2018, 11, 135. [Google Scholar] [CrossRef] [PubMed]
- Roura, X.; Fondati, A.; Lubas, G.; Gradoni, L.; Maroli, M.; Oliva, G.; Paltrinieri, S.; Zatelli, A.; Zini, E. Prognosis and monitoring of leishmaniasis in dogs: A working group report. Vet. J. 2013, 198, 43–47. [Google Scholar] [CrossRef] [PubMed]
- Maia, C.; Campino, L. Biomarkers Associated with Leishmania infantum Exposure, Infection, and Disease in Dogs. Front. Cell. Infect. Microbiol. 2018, 8, 302. [Google Scholar] [CrossRef] [PubMed]
- Sellon, R.K.; Menard, M.M.; Meuten, D.J.; Lengerich, E.J.; Steurer, F.J.; Breitschwerdt, E.B. Endemic Visceral Leishmaniasis in a Dog from Texas. J. Vet. Intern. Med. 1993, 7, 16–19. [Google Scholar] [CrossRef]
- Ciaramella, P. Canine Leishmaniasis: Therapeutic Aspects *. Compend. Contin. Educ. Pract. Vet. 2003, 25, 370–375. [Google Scholar]
- Noli, C.; Auxilia, S.T. Treatment of canine Old World visceral leishmaniasis. Vet. Dermatol. 2005, 16, 213–232. [Google Scholar]
- Pennisi, M.G.; De Majo, M.; Masucci, M.; Britti, D.; Vitale, F.; Del Maso, R. Efficacy of the treatment of dogs with leishmaniosis with a combination of metronidazole and spiramycin. Vet. Rec. 2005, 156, 346–349. [Google Scholar] [CrossRef] [PubMed]
- Barrouin-Melo, S.M.; Larangeira, D.F.; de Andrade Filho, F.A.; Trigo, J.; Julião, F.S.; Franke, C.R.; Palis Aguiar, P.H.; Conrado dos-Santos, W.L.; Pontes-de-Carvalho, L. Can spleen aspirations be safely used for the parasitological diagnosis of canine visceral leishmaniosis? A study on assymptomatic and polysymptomatic animals. Vet. J. 2006, 171, 331–339. [Google Scholar] [CrossRef] [PubMed]
- Paparcone, R.; Fiorentino, E.; Cappiello, S.; Gizzarelli, M.; Gradoni, L.; Oliva, G.; Manzillo, V.F. Sternal aspiration of bone marrow in dogs: A practical approach for canine leishmaniasis diagnosis and monitoring. J. Vet. Med. 2013, 2013, 217314. [Google Scholar] [CrossRef] [PubMed]
- Adamama-Moraitou, K.K.; Saridomichelakis, M.N.; Polizopoulou, Z.; Kritsepi, M.; Tsompanakou, A.; Koutinas, A.F. Short-term exogenous glucocorticosteroidal effect on iron and copper status in canine leismaniasis (Leishmania infantum). Can. J. Vet. Res. 2005, 69, 287–292. [Google Scholar]
- Cortese, L.; Pelagalli, A.; Piantedosi, D.; Mastellone, V.; Di Loria, A.; Lombardi, P.; Ciaramella, P.; Avallone, L. The effects of prednisone on haemostasis in leishmaniotic dogs treated with meglumine antimoniate and allopurinol. Vet. J. 2008, 177, 405–410. [Google Scholar] [CrossRef]
- Harvey, J.W.; Stevens, A.; Lowe, J.S.; Scott, I. Veterinary Hematology; Elsevier: St. Louis, MO, USA, 2012; ISBN 9781437701739. [Google Scholar]
- Costa, I.; Carvalho, F.; Magalhães, T.; Guedes De Pinho, P.; Silvestre, R.; Dinis-Oliveira, R.J. Promising blood-derived biomarkers for estimation of the postmortem interval. Toxicol. Res. (Camb) 2015, 4, 1443–1452. [Google Scholar] [CrossRef]
- Silvestre, R.; Santarém, N.; Cunha, J.; Cardoso, L.; Nieto, J.; Carrillo, E.; Moreno, J.; Cordeiro-da-Silva, A. Serological evaluation of experimentally infected dogs by LicTXNPx-ELISA and amastigote-flow cytometry. Vet. Parasitol. 2008, 158, 23–30. [Google Scholar] [CrossRef]
- Rolão, N.; Cortes, S.; Rodrigues, O.R.; Campino, L. Quantification of Leishmania infantum parasites in tissue biopsies by Real-Time polymerase chain reaction and polymerase chain reaction—Enzyme-linked immunosorbent assay real-time polymerase chain reaction and polymerase chain reaction—Enzyme-linked i. J. Parasitol. 2004, 90, 1150–1154. [Google Scholar] [CrossRef]
- R Core Team R: A Language and Environment for Statistical Computing; R Foundation for Statistical Computing: Vienna, Austria. Available online: https://www.r-project.org/ (accessed on 20 November 2019).
- Kosmidis I Bias Reduction in Binary-Response Generalized Linear Models_. R Package Version 0.6.2. Available online: https://cran.r-project.org/package=brglm%3E (accessed on 20 November 2019).
- Tourinho, B.D.; Amâncio, F.F.; Ferraz, M.L.; Carneiro, M. Prognostic factors for death from visceral leishmaniasis in patients treated with liposomal amphotericin B in an endemic state in Brazil. Trans. R. Soc. Trop. Med. Hyg. 2017, 111, 163–171. [Google Scholar] [CrossRef]
- Da Silva, T.A.M.; Morais, M.H.F.; Lopes, H.M.O.R.; Gonçalves, S.A.; Magalhães, F.D.C.; Amâncio, F.F.; Antunes, C.M.F.; Carneiro, M. Prognostic factors associated with death from visceral leishmaniasis: A case-control study in Brazil. Trans. R. Soc. Trop. Med. Hyg. 2020, 7, 346–354. [Google Scholar] [CrossRef]
- Belo, V.S.; Struchiner, C.J.; Barbosa, D.S.; Nascimento, B.W.L.; Horta, M.A.P.; da Silva, E.S.; Werneck, G.L. Risk Factors for Adverse Prognosis and Death in American Visceral Leishmaniasis: A Meta-analysis. PLoS Negl. Trop. Dis. 2014, 8, e2982. [Google Scholar] [CrossRef] [PubMed]
- Coura-Vital, W.; de Araújo, V.E.M.; Reis, I.A.; Amancio, F.F.; Reis, A.B.; Carneiro, M. Prognostic Factors and Scoring System for Death from Visceral Leishmaniasis: An Historical Cohort Study in Brazil. PLoS Negl. Trop. Dis. 2014, 8, e3374. [Google Scholar] [CrossRef] [PubMed]
- Costa, D.L.; Rocha, R.L.; de Brito Ferreira Chaves, E.; de Vasconcelos Batista, V.G.; Costa, H.L.; Nery Costa, C.H. Predicting death from kala-azar: Construction, development, and validation of a score set and accompanying software. Rev. Soc. Bras. Med. Trop. 2016, 49, 728–740. [Google Scholar] [CrossRef] [PubMed]
- Carrillo, E.; Moreno, J. Cytokine profiles in canine visceral leishmaniasis. Vet. Immunol. Immunopathol. 2009, 128, 67–70. [Google Scholar] [CrossRef] [PubMed]
- Moreno, J.; Alvar, J. Canine leishmaniasis: Epidemiological risk and the experimental model. Trends Parasitol. 2002, 18, 399–405. [Google Scholar] [CrossRef]
- Varma, N.; Naseem, S. Hematologic changes in visceral Leishmaniasis/Kala Azar. Indian J. Hematol. Blood Transfus. 2010, 26, 78–82. [Google Scholar] [CrossRef]
- De Pinho, F.A.; Vendrame, C.M.V.; MacIel, B.L.L.; Dos Santos Silva, L.; Miyashiro, S.I.; Jerônimo, S.M.B.; Goto, H. Association between insulin-like growth factor-i levels and the disease progression and anemia in visceral leishmaniasis. Am. J. Trop. Med. Hyg. 2019, 4, 808–815. [Google Scholar] [CrossRef]
- Madu, A.J.; Ughasoro, M.D. Anaemia of Chronic Disease: An In-Depth Review. Med. Princ. Pract. 2017, 26, 1–9. [Google Scholar] [CrossRef]
- Zaidi, A.; Singh, K.P.; Ali, V. Leishmania and its quest for iron: An update and overview. Mol. Biochem. Parasitol. 2017, 211, 15–25. [Google Scholar] [CrossRef]
- Laranjeira-Silva, M.F.; Hamza, I.; Pérez-Victoria, J.M. Iron and Heme Metabolism at the Leishmania–Host Interface. Trends Parasitol. 2020, 36, 279–289. [Google Scholar] [CrossRef]
- Poggiali, E.; Migone De Amicis, M.; Motta, I. Anemia of chronic disease: A unique defect of iron recycling for many different chronic diseases. Eur. J. Intern. Med. 2014, 25, 12–17. [Google Scholar] [CrossRef] [PubMed]
- Clark, M.A.; Goheen, M.M.; Fulford, A.; Prentice, A.M.; Elnagheeb, M.A.; Patel, J.; Fisher, N.; Taylor, S.M.; Kasthuri, R.S.; Cerami, C. Host iron status and iron supplementation mediate susceptibility to erythrocytic stage Plasmodium falciparum. Nat. Commun. 2014, 5, 4446. [Google Scholar] [CrossRef] [PubMed]
- Pieracci, F.M.; Barie, P.S. Iron and the risk of infection. Surg. Infect. (Larchmt) 2005, 6, 41–46. [Google Scholar] [CrossRef] [PubMed]
- Chen, T.K.; Knicely, D.H.; Grams, M.E. Chronic Kidney Disease Diagnosis and Management: A Review. J. Am. Med. Assoc. 2019, 13, 1294–1304. [Google Scholar] [CrossRef]
- Martorelli, C.R.; Kogika, M.M.; Chacar, F.C.; Caragelasco, D.S.; de Campos Fonseca Pinto, A.C.B.; Lorigados, C.A.B.; Andrade, L.C. Urinary fractional excretion of phosphorus in dogs with spontaneous chronic kidney disease. Vet. Sci. 2017, 4, 67. [Google Scholar] [CrossRef]
- Cortadellas, O.; Fernández-del Palacio, M.J.; Talavera, J.; Bayón, A. Serum phosphorus concentrations in dogs with leishmaniosis at different stages of chronic kidney disease. Vet. Rec. 2009, 164, 487–490. [Google Scholar] [CrossRef]
- Rougier, S.; Hasseine, L.; Delaunay, P.; Michel, G.; Marty, P. One-year clinical and parasitological follow-up of dogs treated with marbofloxacin for canine leishmaniosis. Vet. Parasitol. 2012, 186, 245–253. [Google Scholar] [CrossRef]
- Solano-Gallego, L.; Di Filippo, L.; Ordeix, L.; Planellas, M.; Roura, X.; Altet, L.; Martínez-orellana, P. Early reduction of Leishmania infantum—Specific antibodies and blood parasitemia during treatment in dogs with moderate or severe disease. Parasites Vectors 2016, 9, 235. [Google Scholar] [CrossRef]
- Zanette, M.F.; de Lima, V.M.F.; Laurenti, M.D.; Rossi, C.N.; Vides, J.P.; da Costa Vieira, R.F.; Biondo, A.W.; Marcondes, M. Serological cross-reactivity of Trypanosoma cruzi, Ehrlichia canis, Toxoplasma gondii, Neospora caninum and Babesia canis to Leishmania infantum chagasi tests in dogs. Rev. Soc. Bras. Med. Trop. 2014, 47, 105–107. [Google Scholar] [CrossRef]
- Kaneko, J.; Harvey, J.; Bruss, M. Clinical Biochemistry of Domestic Animals, 6th ed.; Academic Press: Cambridge, MA, USA, 2008; ISBN 9780123704917. [Google Scholar]
- Elin, R.J.; Utter, A.; Tan, H.K.; Corash, L. Effect of magnesium deficiency on erythrocyte aging in rats. Am. J. Pathol. 1980, 100, 765–778. [Google Scholar]
- Nicolato, R.D.C.; De Abreu, R.T.; Roatt, B.M.; Aguiar-Soares, R.D.D.O.; Reis, L.E.S.; Carvalho, M.D.G.; Carneiro, C.M.; Giunchetti, R.C.; Bouillet, L.E.M.; Lemos, D.S.; et al. Clinical forms of canine visceral leishmaniasis in naturally Leishmania infantum-infected dogs and related myelogram and hemogram changes. PLoS ONE 2013, 8, e82947. [Google Scholar] [CrossRef] [PubMed]
- Tonin, A.A.; Calado, A.M.C.; Bottari, N.B.; Dalenogare, D.; Thomé, G.R.; Duarte, T.; Duarte, M.M.M.F.; Morsch, V.M.; Schetinger, M.R.C.; Alves, L.C.; et al. Novel markers of inflammatory response and hepatic dysfunction in canine leishmaniasis. Comp. Immunol. Microbiol. Infect. Dis. 2016, 44, 61–64. [Google Scholar] [CrossRef] [PubMed]
- Meléndez-Lazo, A.; Ordeix, L.; Planellas, M.; Pastor, J.; Solano-Gallego, L. Clinicopathological findings in sick dogs naturally infected with Leishmania infantum: Comparison of five different clinical classification systems. Res. Vet. Sci. 2018, 117, 18–27. [Google Scholar] [CrossRef] [PubMed]
- Paltrinieri, S.; Pintore, L.; Balducci, F.; Giordano, A.; Costabile, A.; Bernardini, M. Serum creatine kinase isoenzymes and macroenzymes in dogs with different neurologic diseases. Vet. Clin. Pathol. 2017, 46, 91–99. [Google Scholar] [CrossRef] [PubMed]
- Hosein, S.; Blake, D.P.; Solano-Gallego, L. Insights on adaptive and innate immunity in canine leishmaniosis. Parasitology 2016, 144, 95–115. [Google Scholar] [CrossRef] [PubMed]
- Solano-Gallego, L.; Koutinas, A.; Miró, G.; Cardoso, L.; Pennisi, M.G.; Ferrer, L.; Bourdeau, P.; Oliva, G.; Baneth, G. Directions for the diagnosis, clinical staging, treatment and prevention of canine leishmaniosis. Vet. Parasitol. 2009, 165, 1–18. [Google Scholar] [CrossRef]
- Whitley, N.T.; Day, M.J. Immunomodulatory drugs and their application to the management of canine immune-mediated disease. J. Small Anim. Pract. 2011, 52, 70–85. [Google Scholar] [CrossRef]
- Miller, E. Immunosuppressive Therapy in the Treatment of Immune-mediated Disease. J. Vet. Intern. Med. 1992, 6, 206–213. [Google Scholar] [CrossRef]
- Moore, G.E.; Mahaffey, E.A.; Hoenig, M. Hematologic and serum biochemical effects of long-term administration of anti-inflammatory doses of prednisone in dogs. Am. J. Vet. Res. 1992, 53, 1033–1037. [Google Scholar]
- Muñoz, J.; Soblechero, P.; Duque, F.J.; Macías-García, B.; Ruiz, P.; Zaragoza, C.; Barrera, R. Effects of Oral Prednisone Administration on Serum Cystatin C in Dogs. J. Vet. Intern. Med. 2017, 31, 1765–1770. [Google Scholar] [CrossRef]
- Masters, A.K.; Berger, D.J.; Ware, W.A.; Langenfeld, N.R.; Coetzee, J.P.M.; Ward, J.L. Effects of short-term anti-inflammatory glucocorticoid treatment on clinicopathologic, echocardiographic, and hemodynamic variables in systemically healthy dogs. Am. J. Vet. Res. 2017, 79, 1–13. [Google Scholar] [CrossRef] [PubMed]
- Tinklenberg, R.L.; Murphy, S.D.; Mochel, J.P.; Seo, Y.-J.; Mahaffey, A.L.; Yan, Y.; Ward, J.L. Evaluation of dose-response effects of short-term oral prednisone administration on clinicopathologic and hemodynamic variables in healthy dogs. Am. J. Vet. Res. 2020, 81, 317–325. [Google Scholar] [CrossRef] [PubMed]
- Whittemore, J.C.; Mooney, A.P.; Price, J.M.; Thomason, J. Clinical, clinicopathologic, and gastrointestinal changes from aspirin, prednisone, or combination treatment in healthy research dogs: A double-blind randomized trial. J. Vet. Intern. Med. 2019, 33, 1977–1987. [Google Scholar] [CrossRef] [PubMed]





| Parameters | Responders (R) | p-Value (T0 vs T12) | Non Responders (NR) | p-Value (T0 vs. T12) | Normality Value | p-Value (T0 R vs. T0 NR) | ||
|---|---|---|---|---|---|---|---|---|
| Hematology | T0 | T12 | T0 | T12 | ||||
| Erythrocyte (x106/μL) | 6.68 | 6.73 | 0.497 | 5.01 | 4.97 | 0.940 | 5.5–8.5 | 0.033 | 
| Hemoglobin (g/dL) | 15.03 | 14.75 | 0.771 | 10.21 | 10.54 | 0.885 | 12–18 | 0.0002 | 
| Hematocrit (%) | 41.82 | 45.12 | 0.689 | 31.2 | 32.78 | 0.641 | 37–55 | 0.0023 | 
| Leucocytes (x103/μL) | 9.6 | 13 | 0.120 | 8.9 | 8,8 | 0.935 | 6–17 | 0.345 | 
| Lymphocytes (x103/mm3) | 1.69 | 1.92 | 0.373 | 1.92 | 1.41 | 0.181 | 1–4.8 | 0.406 | 
| Monocytes (/mm3) | 493 | 424 | 0.606 | 457 | 429 | 0.972 | 150–1350 | 0.776 | 
| Reticulocytes (x103/mm3) | 90 | 34.6 | 0.144 | 51.6 | 46.1 | 0.678 | <60 | 0.303 | 
| Serum biochemistry | ||||||||
| Total proteins (g/dL) | 8.6 | 7.7 | 0.102 | 9 | 8.6 | 0.254 | 5.4–7.1 | 0.426 | 
| Albumin (g/dL) | 2.79 | 3.04 | 0.167 | 2.21 | 2.54 | 0.260 | 2.6–3.3 | 0.017 | 
| Globulins (g/dL) | 5.7 | 4.3 | 0.032 | 6.7 | 6.2 | 0.186 | 2.7–4.4 | 0.045 | 
| Albumin/Globulin (A/G) ratio | 0,5 | 0,8 | 0.0682 | 0,4 | 0,5 | 0.242 | 0.5–1.7 | 0.081 | 
| Calcium (mg/dL) | 11.73 | 10.50 | 0.330 | 10.87 | 10.39 | 0.218 | 9–11.3 | 0.064 | 
| GGT (U/L) | 5.78 | 4.54 | 0.329 | 4.73 | 6.11 | 0.218 | 1–10 | 0.736 | 
| Creatinine (mg/dL) | 1.26 | 1.0 | 0.082 | 1.0 | 1.2 | 0.330 | 0.5–1.4 | 0.920 | 
| Urea (mg/dL) | 43.8 | 37.6 | 0.579 | 36.2 | 22.55 | 0.060 | 21–60 | 0.591 | 
| Cholesterol (mg/dL) | 22.9 | 33.5 | <0.0001 | 20.71 | 28.8 | 0.001 | 31–71 | 0.112 | 
| Magnesium (mg/dL) | 1.62 | 2.22 | 0.264 | 1.66 | 1.86 | 0.017 | 1.8–2.4 | 0.104 | 
| HDL (mg/dL) | 57.6 | 145.2 | <0.0001 | 45.5 | 112.9 | <0.0001 | 33–120 | 0.062 | 
| Triglycerides (mg/dL) | 75.72 | 73.42 | 0.853 | 72.7 | 100 | 0.029 | 20–112 | 0.333 | 
| ALT (UI/L) | 51.2 | 66.9 | 0.830 | 42.4 | 66.8 | 0.117 | 21–102 | 0.214 | 
| FA (UI/L) | 74.97 | 86.82 | 0.587 | 101 | 124.7 | 0.933 | 20–156 | 0.255 | 
| AST (UI/L) | 23.96 | 32.82 | 0.087 | 40.93 | 32.82 | 0.615 | 23–66 | 0.368 | 
| Glucose (mg/dL) | 93.7 | 90 | 0.472 | 90.8 | 87.5 | 0.617 | 65–118 | 0.497 | 
| Iron (μg/dL) | 280.07 | 85.29 | 0.094 | 360.4 | 142.2 | 0.075 | 30–180 | 0.149 | 
| Phosphorous (mg/dL) | 3.24 | 2.84 | 0.401 | 4.61 | 3.074 | 0.011 | 2.5–6.0 | 0.0085 | 
| Potassium (mmol/L) | 13.40 | 13.38 | 0.980 | 14.95 | 14.42 | 0.229 | 12.3–15.7 ** | 0.0023 | 
| CK (U/L) | 47.08 | 152.39 | <0.0001 | 37.35 | 87.79 | 0.106 | 100–200 ** | 0.504 | 
| CK-MB (U/L) | 145.71 | 24.84 | 0.310 | 82.07 | 38.07 | 0.121 | 31–38.8 | 0.432 | 
| Cholinesterase (U/L) | 4022.2 | 4200.5 | 0.737 | 3,198 | 2,807 | 0.911 | 1210–3020 | 0.057 | 
| UPC | 0.48 | 0.31 | 0.113 | 0.44 | 0,85 | 0.342 | 0.5 # | 0.833 | 
| Serologic | ||||||||
| ELISA (OD)—Anti-Leishmania IgG | 0.42 | 0.13 | 0.032 | 1.27 | 0.81 | 0.155 | 0.17** | 0.324 | 
| Parasite Load | ||||||||
| Spleen (Parasite Burden (log10)) | 3.225 | 1.398 | <0.0001 | 3.761 | 4.252 | 0.969 | 0.382 | |
| Bone marrow (Parasite Burden (log10)) | 2.580 | 0.408 | <0.0001 | 2.879 | 2.579 | 0.431 | 0.748 | |
© 2020 by the authors. Licensee MDPI, Basel, Switzerland. This article is an open access article distributed under the terms and conditions of the Creative Commons Attribution (CC BY) license (http://creativecommons.org/licenses/by/4.0/).
Share and Cite
de Sousa Gonçalves, R.; Alves de Pinho, F.; Dinis-Oliveira, R.J.; Azevedo, R.; Gaifem, J.; Farias Larangeira, D.; Ramos-Sanchez, E.M.; Goto, H.; Silvestre, R.; Barrouin-Melo, S.M. Mathematical Modelling Using Predictive Biomarkers for the Outcome of Canine Leishmaniasis upon Chemotherapy. Microorganisms 2020, 8, 745. https://doi.org/10.3390/microorganisms8050745
de Sousa Gonçalves R, Alves de Pinho F, Dinis-Oliveira RJ, Azevedo R, Gaifem J, Farias Larangeira D, Ramos-Sanchez EM, Goto H, Silvestre R, Barrouin-Melo SM. Mathematical Modelling Using Predictive Biomarkers for the Outcome of Canine Leishmaniasis upon Chemotherapy. Microorganisms. 2020; 8(5):745. https://doi.org/10.3390/microorganisms8050745
Chicago/Turabian Stylede Sousa Gonçalves, Rafaela, Flaviane Alves de Pinho, Ricardo Jorge Dinis-Oliveira, Rui Azevedo, Joana Gaifem, Daniela Farias Larangeira, Eduardo Milton Ramos-Sanchez, Hiro Goto, Ricardo Silvestre, and Stella Maria Barrouin-Melo. 2020. "Mathematical Modelling Using Predictive Biomarkers for the Outcome of Canine Leishmaniasis upon Chemotherapy" Microorganisms 8, no. 5: 745. https://doi.org/10.3390/microorganisms8050745
APA Stylede Sousa Gonçalves, R., Alves de Pinho, F., Dinis-Oliveira, R. J., Azevedo, R., Gaifem, J., Farias Larangeira, D., Ramos-Sanchez, E. M., Goto, H., Silvestre, R., & Barrouin-Melo, S. M. (2020). Mathematical Modelling Using Predictive Biomarkers for the Outcome of Canine Leishmaniasis upon Chemotherapy. Microorganisms, 8(5), 745. https://doi.org/10.3390/microorganisms8050745
 
        


 
       