Evaluation of the AllplexTM Gastrointestinal Panel—Parasite Assay for Protozoa Detection in Stool Samples: A Retrospective and Prospective Study
Abstract
1. Introduction
2. Materials and Methods
2.1. Clinical Samples
2.2. Multiplex PCR Testing
2.3. DNA Preservation in Cary-Blair Suspension
2.4. Statistical Analysis
3. Results
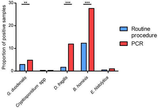
3.1. Retrospective Cohort
3.2. Prospective Cohort
3.3. Does the AllplexTM GIPPA Need Repeated Samples?
3.4. DNA Preservation in Cary-Blair Medium
4. Discussion
5. Conclusions
Author Contributions
Funding
Acknowledgments
Conflicts of Interest
References
- Troeger, C.; Forouzanfar, M.; Rao, P.C.; Khalil, I.; Brown, A.; Reiner, R.C.; Fullman, N.; Thompson, R.L.; Abajobir, A.; Ahmed, M.; et al. Estimates of global, regional, and national morbidity, mortality, and aetiologies of diarrhoeal diseases: A systematic analysis for the Global Burden of Disease Study 2015. Lancet Infect. Dis. 2017, 17, 909–948. [Google Scholar] [CrossRef]
- Abubakar, I.I.; Tillmann, T.; Banerjee, A. GBD 2013 Mortality and Causes of Death Collaborators. Global, regional, and national age-sex specific all-cause and cause-specific mortality for 240 causes of death, 1990–2013: A systematic analysis for the Global Burden of Disease Study 2013. Lancet 2015, 385, 117–171. [Google Scholar] [CrossRef]
- Ryan, U.; Hijjawi, N.; Xiao, L. Foodborne cryptosporidiosis. Int. J. Parasitol. 2018, 48, 1–12. [Google Scholar] [CrossRef] [PubMed]
- Stark, D.; Barratt, J.; Chan, D.; Ellis, J.T. Dientamoeba fragilis, the neglected trichomonad of the human bowel. Clin. Microbiol. Rev. 2016, 29, 553–580. [Google Scholar] [CrossRef] [PubMed]
- Adams, D.A.; Thomas, K.R.; Jajosky, R.A.; Foster, L.; Baroi, G.; Sharp, P.; Onweh, D.H.; Schley, A.W.; Anderson, W.J.; Nationally Notifiable Infectious Conditions Group. Summary of notifiable infectious diseases and conditions—United States, 2015. MMWR Morb. Mortal. Wkly. Rep. 2017, 64, 1–143. [Google Scholar] [CrossRef] [PubMed]
- Verweij, J.J. Application of PCR-based methods for diagnosis of intestinal parasitic infections in the clinical laboratory. Parasitology 2014, 141, 1863–1872. [Google Scholar] [CrossRef] [PubMed]
- Madison-Antenucci, S.; Relich, R.F.; Doyle, L.; Espina, N.; Fuller, D.; Karchmer, T.; Lainesse, A.; Mortensen, J.E.; Pancholi, P.; Veros, W.; et al. Multicenter evaluation of BD Max Enteric Parasite real-time PCR assay for detection of Giardia duodenalis, Cryptosporidium hominis, Cryptosporidium parvum, and Entamoeba histolytica. J. Clin. Microbiol. 2016, 54, 2681–2688. [Google Scholar] [CrossRef] [PubMed]
- Zahedi, A.; Paparini, A.; Jian, F.; Robertson, I.; Ryan, U. Public health significance of zoonotic Cryptosporidium species in wildlife: Critical insights into better drinking water management. Int. J. Parasitol. Parasites Wildl. 2015, 5, 88–109. [Google Scholar] [CrossRef] [PubMed]
- Mölling, P.; Nilsson, P.; Ennefors, T.; Ögren, J.; Florén, K.; Thulin Hedberg, S.; Sundqvist, M. Evaluation of the BD Max Enteric Parasite panel for clinical diagnostics. J. Clin. Microbiol. 2016, 54, 443–444. [Google Scholar] [CrossRef] [PubMed]
- Laude, A.; Valot, S.; Desoubeaux, G.; Argy, N.; Nourrisson, C.; Pomares, C.; Machouart, M.; Le Govic, Y.; Dalle, F.; Botterel, F.; et al. Is real-time PCR-based diagnosis similar in performance to routine parasitological examination for the identification of Giardia intestinalis, Cryptosporidium parvum/Cryptosporidium hominis and Entamoeba histolytica from stool samples? Evaluation of a new commercial multiplex PCR assay and literature review. Clin. Microbiol. Infect. 2016, 22, e1–e190. [Google Scholar] [CrossRef]
- Autier, B.; Belaz, S.; Razakandrainibe, R.; Gangneux, J.-P.; Robert-Gangneux, F. Comparison of three commercial multiplex PCR assays for the diagnosis of intestinal protozoa. Parasite 2018, 25, 48. [Google Scholar] [CrossRef] [PubMed]
- Morio, F.; Valot, S.; Laude, A.; Desoubeaux, G.; Argy, N.; Nourrisson, C.; Pomares, C.; Machouart, M.; Le Govic, Y.; Dalle, F.; et al. Evaluation of a new multiplex PCR assay (ParaGENIE G-Amoeba Real-Time PCR kit) targeting Giardia intestinalis, Entamoeba histolytica and Entamoeba dispar/moshkovskii from stool specimens: Evidence for the limited performances of microscopy-based approach for amoeba species identification. Clin. Microbiol. Infect. 2018, 24, 1205–1209. [Google Scholar] [CrossRef] [PubMed]
- Yoo, J.; Park, J.; Lee, H.K.; Yu, J.K.; Lee, G.D.; Park, K.G.; Oak, H.C.; Park, Y.J. Comparative evaluation of Seegene Allplex Gastrointestinal, Luminex xTAG Gastrointestinal Pathogen Panel, and BD MAX Enteric assays for detection of gastrointestinal pathogens in clinical stool specimens. Arch. Pathol. Lab. Med. 2019, 143, 999–1005. [Google Scholar] [CrossRef] [PubMed]
- Paulos, P.; Saugar, J.M.; de Lucio, A.; Fuentes, I.; Mateo, M.; Carmena, D. Comparative performance evaluation of four commercial multiplex real-time PCR assays for the detection of the diarrhoea-causing protozoa Cryptosporidium hominis/parvum, Giardia duodenalis and Entamoeba histolytica. PLoS ONE 2019, 14, e0215068. [Google Scholar] [CrossRef] [PubMed]
- Kuk, S.; Yazar, S.; Cetinkaya, U. Stool sample storage conditions for the preservation of Giardia intestinalis DNA. Mem. Inst. Oswaldo Cruz. 2012, 107, 965–968. [Google Scholar] [CrossRef] [PubMed]
- Roberts, T.; Barratt, J.; Harkness, J.; Ellis, J.; Stark, D. Comparison of microscopy, culture, and conventional polymerase chain reaction for detection of Blastocystis sp. in clinical stool samples. Am. J. Trop. Med. Hyg. 2011, 84, 308–312. [Google Scholar] [CrossRef] [PubMed]
- Belli, S.I.; Smith, N.C.; Ferguson, D.J.P. The coccidian oocyst: A tough nut to crack! Trends Parasitol. 2006, 22, 416–423. [Google Scholar] [CrossRef] [PubMed]
- The ANOFEL Cryptosporidium National Network. Laboratory-based surveillance for Cryptosporidium in France, 2006–2009. Euro Surveill. 2010, 15, 19642. [Google Scholar]


| Sampling Numbers | ||
|---|---|---|
| Retrospective Cohort | Prospective Cohort | |
| Included samples: | 99 | 586 |
| Total number | 103 | 588 |
| Invalid results (excluded for analysis) | 4 | 2 |
| Parasites detected by microscopy: | 99 | 95 |
| Giardia duodenalis | 32 | 17 |
| Cryptosporidium spp. 1 | 26 | 2 |
| C. parvum | 13 | Nd 2 |
| C. hominis | 5 | Nd 2 |
| C. felis | 4 | Nd 2 |
| C. canis | 1 | Nd 2 |
| C. cuniculus | 1 | Nd 2 |
| C. meleagridis | 1 | Nd 2 |
| Dientamoeba fragilis | 26 | 10 |
| Blastocystis hominis | 26 | 72 |
| Cyclospora cayetanensis | 4 | 0 |
| Entamoeba histolytica/dispar/moshkovskii | 14 | 4 |
| E. histolytica (identified by PCR) | 2 | 3 |
| Sensitivity% (n/N) | |
|---|---|
| Giardia duodenalis | 81% (26/32) |
| Cryptosporidium spp. | 100% (26/26) |
| Dientamoeba fragilis | 81% (21/26) |
| Blastocystis hominis | 100% (26/26) |
| Cyclospora cayetanensis | 100% (4/4) |
| Entamoeba histolytica/dispar/moshkovskii | nd 1 |
| Sensitivity | |||
|---|---|---|---|
| By Routine Procedure % (n/N) | By PCR % (n/N) | Statistical Significance 1 | |
| Giardia duodenalis | 60.7% (17/28) | 100% (28/28) | ** |
| Cryptosporidium spp. | 100% (2/2) | 100% (2/2) | ns |
| Dientamoeba fragilis | 13.8% (10/72) | 97.2% (70/72) | *** |
| Blastocystis hominis | 44.2% (72/163) | 99.4% (162/163) | *** |
| Cyclospora cayetanensis | na 2 | na 2 | na 2 |
| Entamoeba histolytica | 50% (3/6) | 100% (6/6) | ns |
| Sensitivity | |||
|---|---|---|---|
| By Routine Procedure on Multiple Consecutive Samples % (n/N) | By PCR on First Sample % (n/N) | Statistical Significance 1 | |
| Giardia duodenalis | 75% (3/4) | 75% (3/4) | ns |
| Dientamoeba fragilis | 15% (2/13) | 92% (12/13) | ** |
| Blastocystis hominis | 78% (25/32) | 94% (30/32) | * |
© 2020 by the authors. Licensee MDPI, Basel, Switzerland. This article is an open access article distributed under the terms and conditions of the Creative Commons Attribution (CC BY) license (http://creativecommons.org/licenses/by/4.0/).
Share and Cite
Autier, B.; Gangneux, J.-P.; Robert-Gangneux, F. Evaluation of the AllplexTM Gastrointestinal Panel—Parasite Assay for Protozoa Detection in Stool Samples: A Retrospective and Prospective Study. Microorganisms 2020, 8, 569. https://doi.org/10.3390/microorganisms8040569
Autier B, Gangneux J-P, Robert-Gangneux F. Evaluation of the AllplexTM Gastrointestinal Panel—Parasite Assay for Protozoa Detection in Stool Samples: A Retrospective and Prospective Study. Microorganisms. 2020; 8(4):569. https://doi.org/10.3390/microorganisms8040569
Chicago/Turabian StyleAutier, Brice, Jean-Pierre Gangneux, and Florence Robert-Gangneux. 2020. "Evaluation of the AllplexTM Gastrointestinal Panel—Parasite Assay for Protozoa Detection in Stool Samples: A Retrospective and Prospective Study" Microorganisms 8, no. 4: 569. https://doi.org/10.3390/microorganisms8040569
APA StyleAutier, B., Gangneux, J.-P., & Robert-Gangneux, F. (2020). Evaluation of the AllplexTM Gastrointestinal Panel—Parasite Assay for Protozoa Detection in Stool Samples: A Retrospective and Prospective Study. Microorganisms, 8(4), 569. https://doi.org/10.3390/microorganisms8040569

