Seroprevalence Study of Anti-HEV IgG among Different Adult Populations in Corsica, France, 2019
Abstract
1. Introduction
2. Materials and Methods
2.1. Ethics
2.2. Study Populations
2.3. Questionnaire
2.4. Blood Samples and Laboratory Methods
2.4.1. Blood Samples
2.4.2. Anti-HEV IgG Detection
2.5. Statistical Analysis
2.5.1. Sample Size
2.5.2. Seroprevalence and Epidemiological Factors Analysis
3. Results
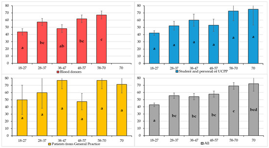
3.1. Anti-HEV IgG Seroprevalence
3.2. Risk Factors Associated with Anti-HEV IgG Seroprevalence
3.2.1. Univariate Analysis
3.2.2. Multivariate Analysis
4. Discussion
Author Contributions
Funding
Acknowledgments
Conflicts of Interest
Appendix A
- -
- Age
- -
- Gender
- -
- Situation
- -
- Professional activity
- -
- Educational level
- -
- ZIP code
- -
- Type of residence
- -
- Water distribution
- -
- Sewage disposal
- -
- Contact with wastewater
- -
- Consumption water
- -
- Hunting
- -
- Breeding
- -
- Home at one kilometer of a farm or a breeding
- -
- Skinning or butchering activity
- -
- Contact with different animals
- -
- Eating habits and type of cooking
- -
- Clinical factors (presence of chronic diseases, transplantation, blood transfusion, immunosuppression, and a past HEV infection during the life of the individual) except for blood donors
| Blood Donors | Student and Personal of UCPP | Patient of General Practice | Overall | ||||||
|---|---|---|---|---|---|---|---|---|---|
| n | % | n | % | n | % | n | % | ||
| Gender | Men | 201 | 43.0 | 149 | 37.9 | 36 | 51.4 | 386 | 41.5 | 
| Women | 266 | 57.0 | 244 | 62.1 | 34 | 48.6 | 544 | 58.5 | |
| Age groups | 18–27 | 126 | 27.0 | 242 | 61.6 | 6 | 8.6 | 374 | 40.2 | 
| 28–37 | 101 | 21.6 | 67 | 17.0 | 5 | 7.1 | 173 | 18.6 | |
| 38–47 | 83 | 17.8 | 35 | 8.9 | 13 | 18.6 | 131 | 14.1 | |
| 48–57 | 84 | 18.0 | 34 | 8.7 | 19 | 27.1 | 137 | 14.7 | |
| 58–70 | 73 | 15.6 | 11 | 2.8 | 13 | 18.6 | 97 | 10.4 | |
| 70 | 4 | 1.0 | 14 | 20.0 | 18 | 1.9 | |||
| Graduate studies level | Pre bac | 87 | 18.6 | 30 | 7.6 | 42 | 60.0 | 159 | 17.1 | 
| Bac | 145 | 31.0 | 180 | 45.8 | 8 | 11.4 | 333 | 35.8 | |
| Post bac | 232 | 49.7 | 179 | 45.5 | 20 | 28.6 | 431 | 46.3 | |
| Professional activity | No | 64 | 13.7 | 112 | 28.5 | 1 | 1.4 | 177 | 19.0 | 
| Yes | 403 | 86.3 | 281 | 71.5 | 69 | 98.6 | 753 | 81.0 | |
| Kind of habitation | Apartment | 179 | 38.3 | 182 | 46.3 | 23 | 32.9 | 384 | 41.3 | 
| Individual House | 284 | 60.8 | 204 | 51.9 | 47 | 67.1 | 535 | 57.5 | |
| Farm | 4 | 0.9 | 6 | 1.5 | 0 | 0.0 | 4 | 0.4 | |
| Hunters | No | 447 | 95.7 | 350 | 89.1 | 64 | 91.4 | 861 | 92.6 | 
| Yes | 20 | 4.3 | 43 | 10.9 | 6 | 8.6 | 69 | 7.4 | |
| Breeders | No | 442 | 94.6 | 366 | 93.1 | 65 | 92.9 | 873 | 93.9 | 
| Yes | 25 | 5.4 | 27 | 6.9 | 5 | 7.1 | 57 | 6.1 | |
| Skinning and butchering | No | 449 | 96.1 | 354 | 90.1 | 61 | 87.1 | 864 | 92.9 | 
| Yes | 18 | 3.9 | 39 | 9.9 | 9 | 12.9 | 66 | 7.1 | |
| Contact with wastewater | No | 450 | 96.4 | 383 | 97.5 | 67 | 95.7 | 900 | 96.8 | 
| Yes | 17 | 3.6 | 10 | 2.5 | 3 | 4.3 | 30 | 3.2 | |
| Housing water | Private | 22 | 4.7 | 19 | 4.1 | 2 | 0.4 | 43 | 9.2 | 
| Collective | 429 | 91.9 | 360 | 91.6 | 69 | 98.6 | 858 | 92.3 | |
| Total | 467 | 50.2 | 393 | 42.3 | 70 | 7.5 | 930 | 100.0 | |
| Food Products | Cooking | OR [95% CI] | p-Value | 
|---|---|---|---|
| Little wild game | Well-cooked | Reference | 0.45337 | 
| Raw | INF | ||
| Rare/Medium | 0.85 [0.51;1.4] | ||
| Big wild game | Well-cooked | Reference | 0.23411 | 
| Raw | INF | ||
| Rare/Medium | 0.75 [0.5;1.15] | ||
| Pork | Well-cooked | Reference | 0.2255 | 
| Raw | 0.99 [0.4;2.49] | ||
| Rare/Medium | 0.69 [0.46;1.05] | ||
| Sausages and pâtés | Well-cooked | Reference | 0.81779 | 
| Raw | 0.87 [0.53;1.45] | ||
| Rare/Medium | 0.9 [0.56;1.44] | ||
| Liver | Well-cooked | Reference | 0.18698 | 
| Raw | INF | ||
| Rare/Medium | 0.71 [0.38;1.34] | ||
| Figatellu | Well-cooked | Reference | 0.86939 | 
| Raw | 1.18 [0.62;2.32] | ||
| Rare/Medium | 1.05 [0.67;1.64] | ||
| Offal | Well-cooked | Reference | 0.17264 | 
| Rare/Medium | 0.65 [0.35;1.21] | ||
| Beef | Well-cooked | Reference | 0.60331 | 
| Raw | 1.29 [0.77;2.2] | ||
| Rare/Medium | 1.01 [0.75;1.36] | ||
| Poultry | Well-cooked | Reference | 0.51125 | 
| Raw | INF | ||
| Rare/Medium | 0.97 [0.66;1.41] | ||
| Shellfish | Well-cooked | Reference | 0.40387 | 
| Raw | 1.24 [0.86;1.8] | ||
| Rare/Medium | 1.3 [0.79;2.14] | ||
| Fish | Well-cooked | Reference | 0.7241 | 
| Raw | 1.07 [0.73;1.58] | ||
| Rare/Medium | 1.16 [0.8;1.69] | 
References
- Kamar, N.; Bendall, R.; Legrand-Abravanel, F.; Xia, N.S.; Ijaz, S.; Izopet, J.; Dalton, H.R. Hepatitis E. Lancet 2012, 379, 2477–2488. [Google Scholar] [CrossRef]
- Tam, A.W.; Smith, M.M.; Guerra, M.E.; Huang, C.C.; Bradley, D.W.; Fry, K.E.; Reyes, G.R. Hepatitis E virus (HEV): molecular cloning and sequencing of the full-length viral genome. Virology 1991, 185, 120–131. [Google Scholar] [CrossRef]
- International Committee on Taxonomy of viruses Hepeviridae. Available online: https://talk.ictvonline.org/ictv-reports/ictv_online_report/positive-sense-rna-viruses/w/hepeviridae (accessed on 11 March 2019).
- Doceul, V.; Bagdassarian, E.; Demange, A.; Pavio, N. Zoonotic hepatitis E virus: Classi fi cation, animal reservoirs and transmission routes. Viruses 2016, 8, 270. [Google Scholar] [CrossRef]
- Pavio, N.; Meng, X.J.; Renou, C. Zoonotic hepatitis E: animal reservoirs and emerging risks. Vet. Res. 2010, 41, 46. [Google Scholar] [CrossRef] [PubMed]
- Geng, Y.; Wang, Y. Epidemiology of hepatitis E. Adv. Exp. Med. Biol. 2016, 948, 39–59. [Google Scholar] [PubMed]
- Adlhoch, C.; Avellon, A.; Baylis, S.A.; Ciccaglione, A.R.; Couturier, E.; de Sousa, R.; Epstein, J.; Ethelberg, S.; Faber, M.; Feher, A.; et al. Hepatitis E virus: Assessment of the epidemiological situation in humans in Europe, 2014/15. J. Clin. Virol. 2016, 82, 9–16. [Google Scholar] [CrossRef] [PubMed]
- Capai, L.; Falchi, A.; Charrel, R. Meta-analysis of human IgG anti-HEV seroprevalence in industrialized countries and a review of literature. Viruses 2019, 11, 84. [Google Scholar] [CrossRef]
- Mansuy, J.M.; Gallian, P.; Dimeglio, C.; Saune, K.; Arnaud, C.; Pelletier, B.; Morel, P.; Legrand, D.; Tiberghien, P.; Izopet, J. A nationwide survey of hepatitis E viral infection in French blood donors. Hepatology 2016, 63, 1145–1154. [Google Scholar] [CrossRef]
- Couturier, E.; Abravanel, F.; Figoni, J.; Van Cauteren, D.; Septfons, A.; Lhomme, S.; Durand, J.; Izopet, J.; De Valk, H. Hepatitis E surveillance in France 2002–2016. 2018, 28, 566–574. Bull. Epidémiol. Hebd. 2018, 28, 566–574. [Google Scholar]
- Pavio, N.; Laval, M.; Maestrini, O.; Casabianca, F.; Charrier, F.; Jori, F. Possible foodborne transmission of hepatitis E virus from domestic pigs and wild boars from corsica. Emerg. Infect Dis. 2016, 22, 2197–2199. [Google Scholar] [CrossRef]
- Renou, C.; Roque-Afonso, A.M.; Pavio, N. Foodborne transmission of hepatitis E virus from raw pork liver sausage, France. Emerg. Infect Dis. 2014, 20, 1945–1947. [Google Scholar] [CrossRef] [PubMed]
- Lapa, D.; Capobianchi, M.R.; Garbuglia, A.R. Epidemiology of hepatitis E virus in european countries. Int. J Mol Sci 2015, 16, 25711–25743. [Google Scholar] [CrossRef] [PubMed]
- Wilhelm, B.; Waddell, L.; Greig, J.; Young, I. Systematic review and meta-analysis of the seroprevalence of hepatitis E virus in the general population across non-endemic countries. PLoS ONE 2019, 14, e0216826. [Google Scholar] [CrossRef] [PubMed]
- Zhang, J.; Ge, S.X.; Huang, G.Y.; Li, S.W.; He, Z.Q.; Wang, Y.B.; Zheng, Y.J.; Gu, Y.; Ng, M.H.; Xia, N.S. Evaluation of antibody-based and nucleic acid-based assays for diagnosis of hepatitis E virus infection in a rhesus monkey model. J. Med. Virol. 2003, 71, 518–526. [Google Scholar] [CrossRef]
- Avellon, A.; Morago, L.; Garcia-Galera del Carmen, M.; Munoz, M.; Echevarria, J.M. Comparative sensitivity of commercial tests for hepatitis E genotype 3 virus antibody detection. J. Med. Virol. 2015, 87, 1934–1939. [Google Scholar] [CrossRef]
- Arya, R.; Antonisamy, B.; Kumar, S. Sample size estimation in prevalence studies. Indian J. Pediatr. 2012, 79, 1482–1488. [Google Scholar] [CrossRef]
- R Core Team. R: A Language and Environment for Statistical Computing, 2015. R Foundation for Statistical Computing. Available online: https://www.r-project.org/ (accessed on 10 February 2015).
- Izopet, J.; Labrique, A.B.; Basnyat, B.; Dalton, H.R.; Kmush, B.; Heaney, C.D.; Nelson, K.E.; Ahmed, Z.B.; Zaman, K.; Mansuy, J.M.; et al. Hepatitis E virus seroprevalence in three hyperendemic areas: Nepal, Bangladesh and southwest France. J. Clin. Virol. 2015, 70, 39–42. [Google Scholar] [CrossRef]
- Mansuy, J.M.; Saune, K.; Rech, H.; Abravanel, F.; Mengelle, C.; L Homme, S.; Destruel, F.; Kamar, N.; Izopet, J. Seroprevalence in blood donors reveals widespread, multi-source exposure to hepatitis E virus, southern France, October 2011. Eurosurveillance 2015, 20, 27–34. [Google Scholar] [CrossRef]
- Christensen, P.B.; Engle, R.E.; Hjort, C.; Homburg, K.M.; Vach, W.; Georgsen, J.; Purcell, R.H. Time trend of the prevalence of hepatitis E antibodies among farmers and blood donors: a potential zoonosis in Denmark. Clin. Infect Dis. 2008, 47, 1026–1031. [Google Scholar] [CrossRef]
- Slot, E.; Hogema, B.M.; Riezebos-Brilman, A.; Kok, T.M.; Molier, M.; Zaaijer, H.L. Silent hepatitis E virus infection in Dutch blood donors, 2011 to 2012. Eurosurveillance 2013, 18. [Google Scholar] [CrossRef]
- Olsoy, I.B.; Henriksen, S.; Weissbach, F.H.; Larsen, M.; Borgen, K.; Abravanel, F.; Kamar, N.; Paulssen, E.J.; Hirsch, H.H.; Rinaldo, C.H. Seroprevalence of hepatitis E virus (HEV) in a general adult population in Northern Norway: the Tromso study. Med. Microbiol. Immunol. 2019. [Google Scholar]
- Zhou, Y. Immunobiology and host response to HEV. Adv. Exp. Med. Biol. 2016, 948, 113–141. [Google Scholar] [PubMed]
- Mansuy, J.M.; Bendall, R.; Legrand-Abravanel, F.; Saune, K.; Miedouge, M.; Ellis, V.; Rech, H.; Destruel, F.; Kamar, N.; Dalton, H.R.; et al. Hepatitis E virus antibodies in blood donors, France. Emerging Infect. Dis. 2011, 17, 2309–2312. [Google Scholar] [CrossRef] [PubMed]
- Petrovic, T.; Lupulovic, D.; Jimenez de Oya, N.; Vojvodic, S.; Blazquez, A.B.; Escribano-Romero, E.; Martin-Acebes, M.A.; Potkonjak, A.; Milosevic, V.; Lazic, S.; et al. Prevalence of hepatitis E virus (HEV) antibodies in Serbian blood donors. J. Infect Dev. Ctries. 2014, 8, 1322–1327. [Google Scholar] [CrossRef]
- Pittaras, T.; Valsami, S.; Mavrouli, M.; Kapsimali, V.; Tsakris, A.; Politou, M. Seroprevalence of hepatitis E virus in blood donors in Greece. Vox sanguinis 2014, 106, 387. [Google Scholar] [CrossRef]
- European Association for the Study of the Liver. EASL clinical practice guidelines on hepatitis E virus infection. J. Hepatol. 2018, 68, 1256–1271. [Google Scholar] [CrossRef]
- De Keukeleire, S.; Reynders, M. Hepatitis E: An underdiagnosed, emerging infection in nonendemic regions. J. Clin. Transl. Hepatol. 2015, 3, 288–291. [Google Scholar]
- Xin, S.; Xiao, L. Clinical manifestations of hepatitis E. Adv. Exp. Med. Biol. 2016, 948, 175–189. [Google Scholar]
- Teixeira, J.; Mesquita, J.R.; Pereira, S.S.; Oliveira, R.M.; Abreu-Silva, J.; Rodrigues, A.; Myrmel, M.; Stene-Johansen, K.; Overbo, J.; Goncalves, G.; et al. Prevalence of hepatitis E virus antibodies in workers occupationally exposed to swine in Portugal. Med. Microbiol. Immunol. 2017, 206, 77–81. [Google Scholar] [CrossRef]
- Jori, F.; Laval, M.; Maestrini, O.; Casabianca, F.; Charrier, F.; Pavio, N. Assessment of domestic pigs, wild boars and feral hybrid pigs as reservoirs of hepatitis E virus in Corsica, France. Viruses 2016, 8, 236. [Google Scholar] [CrossRef]
- Capai, L.F.C.; Maestrini, O.; Villechenaud, N.; Masse, S.; Bosseur, F.; De Lamballerie, X.; Charrel, R.; Falchi, A. Drastic decline of hepatitis E virus detection in domestic pigs after the age of 6 months, Corsica, France. Transbound. Emerg. Dis. 2019. [Google Scholar] [CrossRef] [PubMed]
- Schielke, A.; Ibrahim, V.; Czogiel, I.; Faber, M.; Schrader, C.; Dremsek, P.; Ulrich, R.G.; Johne, R. Hepatitis E virus antibody prevalence in hunters from a district in Central Germany, 2013: a cross-sectional study providing evidence for the benefit of protective gloves during disembowelling of wild boars. BMC Infect. Dis. 2015, 15, 440. [Google Scholar] [CrossRef] [PubMed]
- Berto, A.; Grierson, S.; Hakze-van der Honing, R.; Martelli, F.; Johne, R.; Reetz, J.; Ulrich, R.G.; Pavio, N.; Van der Poel, W.H.; Banks, M. Hepatitis E virus in pork liver sausage, France. Emerg. Infect. Dis. 2013, 19, 264–266. [Google Scholar] [CrossRef] [PubMed]
- Colson, P.; Borentain, P.; Queyriaux, B.; Kaba, M.; Moal, V.; Gallian, P.; Heyries, L.; Raoult, D.; Gerolami, R. Pig liver sausage as a source of hepatitis E virus transmission to humans. J. Infect. Dis. 2010, 202, 825–834. [Google Scholar] [CrossRef]
- Pavio, N.; Merbah, T.; Thebault, A. Frequent hepatitis E virus contamination in food containing raw pork liver, France. Emerg. Infect. Dis. 2014, 20, 1925–1927. [Google Scholar] [CrossRef]
- Mooij, S.H.; Hogema, B.M.; Tulen, A.D.; van Pelt, W.; Franz, E.; Zaaijer, H.L.; Molier, M.; Hofhuis, A. Risk factors for hepatitis E virus seropositivity in Dutch blood donors. BMC Infect. Dis. 2018, 18, 173. [Google Scholar] [CrossRef]
- Van Gageldonk-Lafeber, A.B.; van der Hoek, W.; Borlee, F.; Heederik, D.J.; Mooi, S.H.; Maassen, C.B.; Yzermans, C.J.; Rockx, B.; Smit, L.A.; Reimerink, J.H. Hepatitis E virus seroprevalence among the general population in a livestock-dense area in the Netherlands: a cross-sectional population-based serological survey. BMC Infect. Dis. 2017, 17, 21. [Google Scholar] [CrossRef]
- Barnaud, E.; Rogee, S.; Garry, P.; Rose, N.; Pavio, N. Thermal inactivation of infectious hepatitis E virus in experimentally contaminated food. Appl. Environ. Microbiol. 2012, 78, 5153–5159. [Google Scholar] [CrossRef]
- Emerson, S.U.; Arankalle, V.A.; Purcell, R.H. Thermal stability of hepatitis E virus. J. Infect. Dis. 2005, 192, 930–933. [Google Scholar] [CrossRef]
- Yugo, D.M.; Meng, X.J. Hepatitis E virus: foodborne, waterborne and zoonotic transmission. Int. J. Environ. Res. Public Health 2013, 10, 4507–4533. [Google Scholar] [CrossRef]
- Wichmann, O.; Schimanski, S.; Koch, J.; Kohler, M.; Rothe, C.; Plentz, A.; Jilg, W.; Stark, K. Phylogenetic and case-control study on hepatitis E virus infection in Germany. J. Infect Dis. 2008, 198, 1732–1741. [Google Scholar] [CrossRef] [PubMed]
- Bouwknegt, M.; Lodder-Verschoor, F.; van der Poel, W.H.; Rutjes, S.A.; de Roda Husman, A.M. Hepatitis E virus RNA in commercial porcine livers in The Netherlands. J. Food Prot. 2007, 70, 2889–2895. [Google Scholar] [CrossRef] [PubMed]
- Szabo, K.; Trojnar, E.; Anheyer-Behmenburg, H.; Binder, A.; Schotte, U.; Ellerbroek, L.; Klein, G.; Johne, R. Detection of hepatitis E virus RNA in raw sausages and liver sausages from retail in Germany using an optimized method. Int. J. Food Microbiol. 2015, 215, 149–156. [Google Scholar] [CrossRef] [PubMed]
- Giannini, P.; Jermini, M.; Leggeri, L.; Nuesch-Inderbinen, M.; Stephan, R. Detection of hepatitis E virus RNA in raw cured sausages and raw cured sausages containing pig liver at retail stores in Switzerland. J. Food Prot. 2018, 81, 43–45. [Google Scholar] [CrossRef]
- Cossaboom, C.M.; Heffron, C.L.; Cao, D.; Yugo, D.M.; Houk-Miles, A.E.; Lindsay, D.S.; Zajac, A.M.; Bertke, A.S.; Elvinger, F.; Meng, X.J. Risk factors and sources of foodborne hepatitis E virus infection in the United States. J. Med. Virol. 2016, 88, 1641–1645. [Google Scholar] [CrossRef]
- Alfonsi, V.; Romano, L.; Ciccaglione, A.R.; La Rosa, G.; Bruni, R.; Zanetti, A.; Della Libera, S.; Iaconelli, M.; Bagnarelli, P.; Capobianchi, M.R.; et al. Hepatitis E in Italy: 5 years of national epidemiological, virological and environmental surveillance, 2012 to 2016. Euro. Surveill. 2018, 23. [Google Scholar] [CrossRef]
- Agence de l’eau Rhône Méditerranée Corse. RAPPORT d’activité 2017. Available online: https://www.eaurmc.fr/jcms/pro_73733/fr/rapport-d-activite-2017 (accessed on 31 December 2017).
- Iaconelli, M.; Purpari, G.; Della Libera, S.; Petricca, S.; Guercio, A.; Ciccaglione, A.R.; Bruni, R.; Taffon, S.; Equestre, M.; Fratini, M.; et al. Hepatitis A and E viruses in wastewaters, in river waters, and in bivalve molluscs in Italy. Food Environ. Virol. 2015, 7, 316–324. [Google Scholar] [CrossRef]
- Kokkinos, P.; Kozyra, I.; Lazic, S.; Soderberg, K.; Vasickova, P.; Bouwknegt, M.; Rutjes, S.; Willems, K.; Moloney, R.; de Roda Husman, A.M.; et al. Virological quality of irrigation water in leafy green vegetables and berry fruits production chains. Food Environ. Virol. 2017, 9, 72–78. [Google Scholar] [CrossRef]
- Maunula, L.; Kaupke, A.; Vasickova, P.; Soderberg, K.; Kozyra, I.; Lazic, S.; van der Poel, W.H.; Bouwknegt, M.; Rutjes, S.; Willems, K.A.; et al. Tracing enteric viruses in the European berry fruit supply chain. Int. J. Food Microbiol. 2013, 167, 177–185. [Google Scholar] [CrossRef]
- Brassard, J.; Gagne, M.J.; Genereux, M.; Cote, C. Detection of human food-borne and zoonotic viruses on irrigated, field-grown strawberries. Appl. Environ. Microbiol. 2012, 78, 3763–3766. [Google Scholar] [CrossRef]
- Kokkinos, P.; Kozyra, I.; Lazic, S.; Bouwknegt, M.; Rutjes, S.; Willems, K.; Moloney, R.; de Roda Husman, A.M.; Kaupke, A.; Legaki, E.; et al. Harmonised investigation of the occurrence of human enteric viruses in the leafy green vegetable supply chain in three European countries. Food Environ. Virol. 2012, 4, 179–191. [Google Scholar] [CrossRef] [PubMed]
- Ceylan, A.; Ertem, M.; Ilcin, E.; Ozekinci, T. A special risk group for hepatitis E infection: Turkish agricultural workers who use untreated waste water for irrigation. Epidemiol. Infect. 2003, 131, 753–756. [Google Scholar] [CrossRef] [PubMed]
- O’Hara, Z.; Crossan, C.; Craft, J.; Scobie, L. First report of the presence of hepatitis E virus in scottish-harvested shellfish purchased at retail level. Food Environ. Virol. 2018, 10, 217–221. [Google Scholar]
- Crossan, C.; Baker, P.J.; Craft, J.; Takeuchi, Y.; Dalton, H.R.; Scobie, L. Hepatitis E virus genotype 3 in shellfish, United Kingdom. Emerging Infect. Dis. 2012, 18, 2085–2087. [Google Scholar] [CrossRef] [PubMed]
- Li, T.C.; Miyamura, T.; Takeda, N. Detection of hepatitis E virus RNA from the bivalve Yamato-Shijimi (Corbicula japonica) in Japan. Am. J. Trop. Med. Hyg. 2007, 76, 170–172. [Google Scholar] [CrossRef] [PubMed]
- Rivadulla, E.; Varela, M.F.; Mesquita, J.R.; Nascimento, M.S.J.; Romalde, J.L. Detection of hepatitis E virus in shellfish harvesting areas from Galicia (Northwestern Spain). Viruses 2019, 11, 618. [Google Scholar] [CrossRef] [PubMed]
- Oliveira, R.; Mesquita, J.R.; Pereira, S.; Abreu-Silva, J.; Teixeira, J.; Nascimento, M.S.J. Seroprevalence of hepatitis E virus antibodies in Portuguese children. Pediatr. Infect. Dis. J. 2017, 36, 623–626. [Google Scholar] [CrossRef]


| INF: Infinite | BD | UCPP | |||||||||
| NA: Missing Values | n | Anti-HEV IgG Positive | OR [95% CI] | p-Value | n | Anti-HEV IgG Positive | OR [95% CI] | p-Value | |||
| Parameters | Variables | n | % | n | % | ||||||
| Gender | Female | 266 | 128 | 48.1 | Reference | 0.00169 * | 244 | 107 | 43.9 | Reference | 0.05807 | 
| Male | 201 | 126 | 62.7 | 1.81 [1.25–2.64] | 149 | 80 | 53.7 | 1.48 [0.99–2.24] | |||
| Age groups | 18–27 | 126 | 55 | 43.7 | Reference | 0.00633 * | 242 | 102 | 42.1 | Reference | 0.07139 | 
| 28–37 | 101 | 58 | 57.4 | 1.74 [1.03–2.97] | 67 | 35 | 52.2 | 1.5 [0.87–2.59] | |||
| 38–47 | 83 | 40 | 48.2 | 1.2 [0.69–2.1] | 35 | 21 | 60.0 | 2.06 [1.01–4.32] | |||
| 48–57 | 84 | 52 | 61.9 | 2.1 [1.2–3.71] | 34 | 18 | 52.9 | 1.54 [0.75–3.2] | |||
| 58–70 | 73 | 49 | 67.1 | 2.64 [1.46–4.87] | 11 | 8 | 72.7 | 3.66 [1.03–17.02] | |||
| 70 | NA | 4 | 3 | 75.0 | 4.12 [0.52–83.9] | ||||||
| Hunting | No | 447 | 240 | 53.7 | 2.01 [0.79–5.77] | 0.14486 | 350 | 159 | 45.4 | 2.24 [1.17–4.45] | 0.01428 * | 
| Yes | 20 | 14 | 70.0 | 43 | 28 | 65.1 | |||||
| Breeding | No | 442 | 235 | 53.2 | 2.79 [1.15–7.78] | 0.02165 * | 366 | 173 | 47.3 | 1.2 [0.55–2.66] | 0.64555 | 
| Yes | 25 | 19 | 76.0 | 27 | 14 | 51.9 | |||||
| Skinning and butchering | No | 449 | 240 | 53.5 | 3.05 [1.07–10.88] | 0.03549 * | 354 | 160 | 45.2 | 2.73 [1.37–5.75] | 0.00403 * | 
| Yes | 18 | 14 | 77.8 | 39 | 27 | 69.2 | |||||
| Contact with wastewater | No | 450 | 243 | 54.0 | 1.56 [0.58–4.6] | 0.37978 | 383 | 181 | 47.3 | 1.67 [0.47–6.64] | 0.42524 | 
| Yes | 17 | 11 | 64.7 | 10 | 6 | 60.0 | |||||
| Tap water | No | 41 | 23 | 56.1 | 0.92 [0.47–1.74] | 0.78775 | 25 | 11 | 44.0 | 1.16 [0.52–2.69] | 0.71415 | 
| Yes | 410 | 221 | 53.9 | 360 | 172 | 47.8 | |||||
| Bottled water | No | 15 | 10 | 66.7 | 0.57 [0.17–1.63] | 0.29725 | 10 | 5 | 50.0 | 0.88 [0.24–3.19] | 0.835 | 
| Yes | 440 | 234 | 53.2 | 375 | 175 | 46.7 | |||||
| Water fountains in the villages | No | 213 | 102 | 47.9 | 1.58 [1.08–2.33] | 0.01895 * | 168 | 69 | 41.1 | 1.51 [1–2.29] | 0.05103 | 
| Yes | 211 | 125 | 59.2 | 199 | 102 | 51.3 | |||||
| Mountain spring waters | No | 207 | 96 | 46.4 | 1.76 [1.2–2.6] | 0.00401 * | 182 | 86 | 47.3 | 0.96 [0.64–1.45] | 0.83939 | 
| Yes | 212 | 128 | 60.4 | 184 | 85 | 46.2 | |||||
| Little wild game | No | 295 | 150 | 50.8 | 1.45 [0.97–2.18] | 0.06953 | 227 | 100 | 44.1 | 1.34 [0.89–2.02] | 0.16436 | 
| Yes | 145 | 87 | 60.0 | 154 | 79 | 51.3 | |||||
| Big wild game | No | 175 | 79 | 45.1 | 1.8 [1.23–2.65] | 0.00264 * | 123 | 45 | 36.6 | 1.84 [1.19–2.88] | 0.00591 * | 
| Yes | 268 | 160 | 59.7 | 260 | 134 | 51.5 | |||||
| Pork | No | 30 | 9 | 30.0 | 2.95 [1.36–6.92] | 0.00579 * | 26 | 6 | 23.1 | 3.26 [1.35–9.09] | 0.0075 * | 
| Yes | 421 | 235 | 55.8 | 356 | 176 | 49.4 | |||||
| Sausages and pâtés | No | 52 | 18 | 34.6 | 2.47 [1.37–4.62] | 0.00263 * | 26 | 7 | 26.9 | 2.6 [1.11–6.78] | 0.027 * | 
| Yes | 388 | 220 | 56.7 | 358 | 175 | 48.9 | |||||
| Liver | No | 301 | 147 | 48.8 | 1.82 [1.2–2.77] | 0.00463 * | 255 | 110 | 43.1 | 1.56 [1.01–2.42] | 0.04589 * | 
| Yes | 134 | 85 | 63.4 | 120 | 65 | 54.2 | |||||
| Figatellu | No | 69 | 18 | 26.1 | 4.14 [2.37–7.53] | 2.46 × 10−8 * | 65 | 18 | 27.7 | 2.71 [1.53–4.98] | 0.00049 * | 
| Yes | 374 | 222 | 59.4 | 322 | 164 | 50.9 | |||||
| Fittonu | No | 218 | 94 | 43.1 | 2.6 [1.76–3.86] | 1.82 × 10−6 * | 175 | 64 | 36.6 | 2.24 [1.47–3.42] | 0.00015 * | 
| Yes | 211 | 140 | 66.4 | 190 | 107 | 56.3 | |||||
| Offal | No | 281 | 136 | 48.4 | 1.86 [1.25–2.78] | 0.00213 * | 247 | 103 | 41.7 | 1.78 [1.15–2.76] | 0.009 * | 
| Yes | 159 | 101 | 63.5 | 125 | 70 | 56.0 | |||||
| Beef | No | 16 | 8 | 50.0 | 1.18 [0.43–3.27] | 0.74187 | 15 | 9 | 60.0 | 0.58 [0.19–1.64] | 0.3031 | 
| Yes | 430 | 233 | 54.2 | 368 | 171 | 46.5 | |||||
| Poultry | No | 16 | 8 | 50.0 | 1.18 [0.43–3.28] | 0.73897 | 19 | 9 | 47.4 | 0.99 [0.39–2.56] | 0.99112 | 
| Yes | 437 | 237 | 54.2 | 362 | 171 | 47.2 | |||||
| Shellfish | No | 76 | 38 | 50.0 | 1.2 [0.73–1.97] | 0.47138 | 71 | 24 | 33.8 | 1.98 [1.17–3.45] | 0.01107 * | 
| Yes | 376 | 205 | 54.5 | 314 | 158 | 50.3 | |||||
| Fish | No | 22 | 10 | 45.5 | 1 [0.41–2.36] | 0.99845 | 31 | 10 | 32.3 | 1.98 [0.93–4.51] | 0.07726 | 
| Yes | 431 | 235 | 54.5 | 352 | 171 | 48.6 | |||||
| Organic fruits and vegetables | No | 62 | 27 | 43.5 | 1.64 [0.96–2.84] | 0.07122 | 30 | 12 | 40.0 | 1.4 [0.66–3.07] | 0.38191 | 
| Yes | 383 | 214 | 55.9 | 348 | 168 | 48.3 | |||||
| Wild berries | No | 234 | 115 | 49.1 | 1.57 [1.07–2.31] | 0.02001 * | 194 | 84 | 43.3 | 1.32 [0.88–1.99] | 0.17687 | 
| Yes | 199 | 120 | 60.3 | 179 | 90 | 50.3 | |||||
| Total | 467 | 254 | 54.4 | 393 | 187 | 47.6 | |||||
| PGP | Overall | ||||||||||
| n | Anti-HEV IgG Positive | OR [95% CI] | p-Value | n | Anti-HEV IgG Positive | OR [95% CI] | p-Value | ||||
| Parameters | Variables | n | % | n | % | ||||||
| Gender | Female | 34 | 20 | 58.8 | Reference | 0.35362 | 544 | 255 | 46.9 | Reference | 0.00009 * | 
| Male | 36 | 25 | 69.4 | 1.59 [0.6–4.33] | 386 | 231 | 59.8 | 1.69 [1.3–2.2] | |||
| Age groups | 18-27 | 6 | 3 | 50.0 | Reference | 0.40753 | 374 | 160 | 42.8 | Reference | 0.00001 * | 
| 28-37 | 5 | 3 | 60.0 | 1.5 [0.13–19.11] | 173 | 96 | 55.5 | 1.67 [1.16–2.4] | |||
| 38-47 | 13 | 10 | 76.9 | 3.33 [0.43–29.22] | 131 | 71 | 54.2 | 1.58 [1.06–2.37] | |||
| 48-57 | 19 | 9 | 47.4 | 0.9 [0.13–5.99] | 137 | 79 | 57.7 | 1.82 [1.23–2.71] | |||
| 58-70 | 13 | 10 | 76.9 | 3.33 [0.43–29.22] | 97 | 67 | 69.1 | 2.99 [1.87–4.87] | |||
| 70 | 14 | 10 | 71.4 | 2.5 [0.34–19.67] | 18 | 13 | 72.2 | 3.48 [1.28–11.02] | |||
| Hunting | No | 64 | 39 | 60.9 | INF | 0.01785 * | 861 | 438 | 50.9 | 2.21 [1.32–3.82] | 0.0024 * | 
| Yes | 6 | 6 | 100.0 | 69 | 48 | 69.6 | |||||
| Breeding | No | 65 | 41 | 63.1 | 2.34 [0.32–47.23] | 0.42697 | 873 | 449 | 51.4 | 1.75 [1.01–3.11] | 0.04641 * | 
| Yes | 5 | 4 | 80.0 | 57 | 37 | 64.9 | |||||
| Skinning and butchering | No | 61 | 36 | 59.0 | INF | 0.00322 * | 864 | 436 | 50.5 | 3.07 [1.76–5.64] | 0.00005 * | 
| Yes | 9 | 9 | 100.0 | 66 | 50 | 75.8 | |||||
| Contact with wastewater | No | 67 | 42 | 62.7 | INF | 0.09878 | 900 | 466 | 51.8 | 1.86 [0.88–4.19] | 0.1043 | 
| Yes | 3 | 3 | 100.0 | 30 | 20 | 66.7 | |||||
| Tap water | No | 15 | 6 | 40.0 | 3.66 [1.14–12.58] | 0.02965 * | 81 | 40 | 49.4 | 1.13 [0.71–1.78] | 0.60849 | 
| Yes | 55 | 39 | 70.9 | 825 | 432 | 52.4 | |||||
| Bottled water | No | 2 | 2 | 100.0 | INF | 0.17973 | 27 | 17 | 63.0 | 0.62 [0.27–1.34] | 0.22479 | 
| Yes | 68 | 43 | 63.2 | 883 | 452 | 51.2 | |||||
| Water fountains in the villages | No | 35 | 21 | 60.0 | 1.39 [0.52–3.8] | 0.50842 | 416 | 192 | 46.2 | 1.5 [1.15–1.97] | 0.00289 * | 
| Yes | 34 | 23 | 67.6 | 444 | 250 | 56.3 | |||||
| Mountain spring waters | No | 42 | 23 | 54.8 | 2.89 [1.01–9.21] | 0.04808 * | 431 | 205 | 47.6 | 1.36 [1.04–1.79] | 0.02331 * | 
| Yes | 27 | 21 | 77.8 | 423 | 234 | 55.3 | |||||
| Little wild game | No | 46 | 27 | 58.7 | 1.99 [0.69–6.38] | 0.20866 | 568 | 277 | 48.8 | 1.38 [1.05–1.82] | 0.02055 * | 
| Yes | 23 | 17 | 73.9 | 322 | 183 | 56.8 | |||||
| Big wild game | No | 22 | 10 | 45.5 | 3.14 [1.1–9.25] | 0.03188 | 320 | 134 | 41.9 | 1.84 [1.4–2.43] | 0.00001 * | 
| Yes | 47 | 34 | 72.3 | 575 | 328 | 57.0 | |||||
| Pork | No | 1 | 0 | 0.0 | INF | 0.14871 | 57 | 15 | 26.3 | 3.27 [1.83–6.18] | 0.00004 * | 
| Yes | 69 | 45 | 65.2 | 846 | 456 | 53.9 | |||||
| Sausages and pâtés | No | 5 | 2 | 40.0 | 2.93 [0.45–23.52] | 0.25158 | 83 | 27 | 32.5 | 2.44 [1.52–3.99] | 0.00017 * | 
| Yes | 65 | 43 | 66.2 | 811 | 438 | 54.0 | |||||
| Liver | No | 48 | 28 | 58.3 | 2.29 [0.75–7.92] | 0.1474 | 604 | 285 | 47.2 | 1.7 [1.28–2.28] | 0.00028 * | 
| Yes | 21 | 16 | 76.2 | 275 | 166 | 60.4 | |||||
| Figatellu | No | 6 | 2 | 33.3 | 4.1 [0.74–31.28] | 0.1066 | 140 | 38 | 27.1 | 3.48 [2.35–5.24] | 1.88 × 10−10 | 
| Yes | 64 | 43 | 67.2 | 760 | 429 | 56.4 | |||||
| Fittonu | No | 35 | 17 | 48.6 | 4.08 [1.46–12.47] | 0.00694 * | 428 | 175 | 40.9 | 2.46 [1.87–3.24] | 8.41 × 10−11 | 
| Yes | 34 | 27 | 79.4 | 435 | 274 | 63.0 | |||||
| Offal | No | 39 | 26 | 66.7 | 0.75 [0.28–2.02] | 0.56837 | 567 | 265 | 46.7 | 1.72 [1.3–2.28] | 0.00012 * | 
| Yes | 30 | 18 | 60.0 | 314 | 189 | 60.2 | |||||
| Beef | No | 5 | 1 | 20.0 | 8.38 [1.15–169.46] | 0.0349 * | 36 | 18 | 50.0 | 1.08 [0.55–2.11] | 0.82208 | 
| Yes | 65 | 44 | 67.7 | 863 | 448 | 51.9 | |||||
| Poultry | No | 2 | 1 | 50.0 | 1.83 [0.07–47.76] | 0.67522 | 37 | 18 | 48.6 | 1.15 [0.59–2.24] | 0.67789 | 
| Yes | 68 | 44 | 64.7 | 867 | 452 | 52.1 | |||||
| Shellfish | No | 15 | 7 | 46.7 | 2.49 [0.77–8.21] | 0.12501 | 162 | 69 | 42.6 | 1.57 [1.11–2.21] | 0.00988 * | 
| Yes | 54 | 37 | 68.5 | 744 | 400 | 53.8 | |||||
| Fish | No | 3 | 1 | 33.3 | 3.83 [0.35–84.93] | 0.26558 | 56 | 21 | 37.5 | 1.61 [0.94–2.83] | 0.08474 | 
| Yes | 67 | 44 | 65.7 | 850 | 450 | 52.9 | |||||
| Organic fruits and vegetables or personal vegetable garden | No | 11 | 8 | 72.7 | 0.61 [0.12–2.38] | 0.49248 | 103 | 47 | 45.6 | 1.34 [0.89–2.03] | 0.1605 | 
| Yes | 58 | 36 | 62.1 | 789 | 418 | 53.0 | |||||
| Wild berries | No | 37 | 19 | 51.4 | 3.38 [1.21–10.26] | 0.01937 * | 465 | 218 | 46.9 | 1.52 [1.17–1.99] | 0.00203 * | 
| Yes | 32 | 25 | 78.1 | 410 | 235 | 57.3 | |||||
| Total | 70 | 45 | 64.3 | 930 | 486 | 52.3 | |||||
| BD | UCPP | PGP | Overall Glm | Overall Lmer Fixed Subpopulations | |||||||
|---|---|---|---|---|---|---|---|---|---|---|---|
| Parameters | Variables | aOR [95% CI] | p-Value | aOR [95% CI] | p-Value | aOR [95% CI] | p-Value | aOR [95% CI] | p-Value | aOR [95% CI] | p-Value | 
| Gender | Male | 1.58 [1.05–2.39] | 0.02973 | NS | NS | NS | NS | ||||
| Figatellu | 2.82 [1.54–5.34] | 0.00065 | 2.22 [1.45–3.45] | 0.00023 | 1.77 [1.04–3.01] | 0.035 | |||||
| Fittonu | 1.97 [1.29–3.03] | 0.00183 | 2.14 [1.4–3.28] | 0.00039 | 4.35 [1.48–13.92] | 0.00696 | 1.95 [1.45–2.64] | 0.00001 | 1.95 [1.38–2.74] | 0.00013 | |
| Skinning and butchering | 3.52 [1.09–15.83] | 0.03451 | 2.43 [1.16–5.38] | 0.01764 | 7.88 e6 [0–INF] | 0.00294 | 2.76 [1.51–5.37] | 0.00077 | 3.45 [1.37–8.71] | 0.0087 | |
| Age groups | 18–27 | NS | NS | NS | Reference | 0.00272 | NS | ||||
| 28–37 | 1.61 [1.09–2.38] | ||||||||||
| 38–47 | 1.52 [0.98–2.37] | ||||||||||
| 48–57 | 1.54 [1–2.38] | ||||||||||
| 58–70 | 2.44 [1.45–4.19] | ||||||||||
| 70 | 3.46 [1.17–12.65] | ||||||||||
© 2019 by the authors. Licensee MDPI, Basel, Switzerland. This article is an open access article distributed under the terms and conditions of the Creative Commons Attribution (CC BY) license (http://creativecommons.org/licenses/by/4.0/).
Share and Cite
Capai, L.; Masse, S.; Gallian, P.; Souty, C.; Isnard, C.; Blanchon, T.; Peres, B.; de Lamballerie, X.; Charrel, R.; Falchi, A. Seroprevalence Study of Anti-HEV IgG among Different Adult Populations in Corsica, France, 2019. Microorganisms 2019, 7, 460. https://doi.org/10.3390/microorganisms7100460
Capai L, Masse S, Gallian P, Souty C, Isnard C, Blanchon T, Peres B, de Lamballerie X, Charrel R, Falchi A. Seroprevalence Study of Anti-HEV IgG among Different Adult Populations in Corsica, France, 2019. Microorganisms. 2019; 7(10):460. https://doi.org/10.3390/microorganisms7100460
Chicago/Turabian StyleCapai, Lisandru, Shirley Masse, Pierre Gallian, Cécile Souty, Christine Isnard, Thierry Blanchon, Brigitte Peres, Xavier de Lamballerie, Rémi Charrel, and Alessandra Falchi. 2019. "Seroprevalence Study of Anti-HEV IgG among Different Adult Populations in Corsica, France, 2019" Microorganisms 7, no. 10: 460. https://doi.org/10.3390/microorganisms7100460
APA StyleCapai, L., Masse, S., Gallian, P., Souty, C., Isnard, C., Blanchon, T., Peres, B., de Lamballerie, X., Charrel, R., & Falchi, A. (2019). Seroprevalence Study of Anti-HEV IgG among Different Adult Populations in Corsica, France, 2019. Microorganisms, 7(10), 460. https://doi.org/10.3390/microorganisms7100460
 
        



 
       