Isolation and Characterization of Microalgae Isolates from Hydroponic Effluent Water: Metagenomics and Biotechnological Insights
Abstract
1. Introduction
2. Materials and Methods
2.1. Sampling and Nutrient Enrichment
2.2. Metagenomics Analysis
2.2.1. DNA Extraction
2.2.2. Shotgun Sequencing and Metagenomics Analysis
2.2.3. Mapping
2.3. Isolation of Microalgal Strains
2.4. Taxonomic Classification
2.5. Growth and Kinetics Evaluation
2.6. Biochemical Characterization of Microalgal Biomass
2.7. Statistical Analysis
3. Results and Discussion
3.1. Deciphering the Microbiome Profile of Hydroponic Nutrient Solution Before and After Photosynthetic Microorganism Bloom
3.2. Microalgal Strains from Hydroponic Effluent Algal Bloom
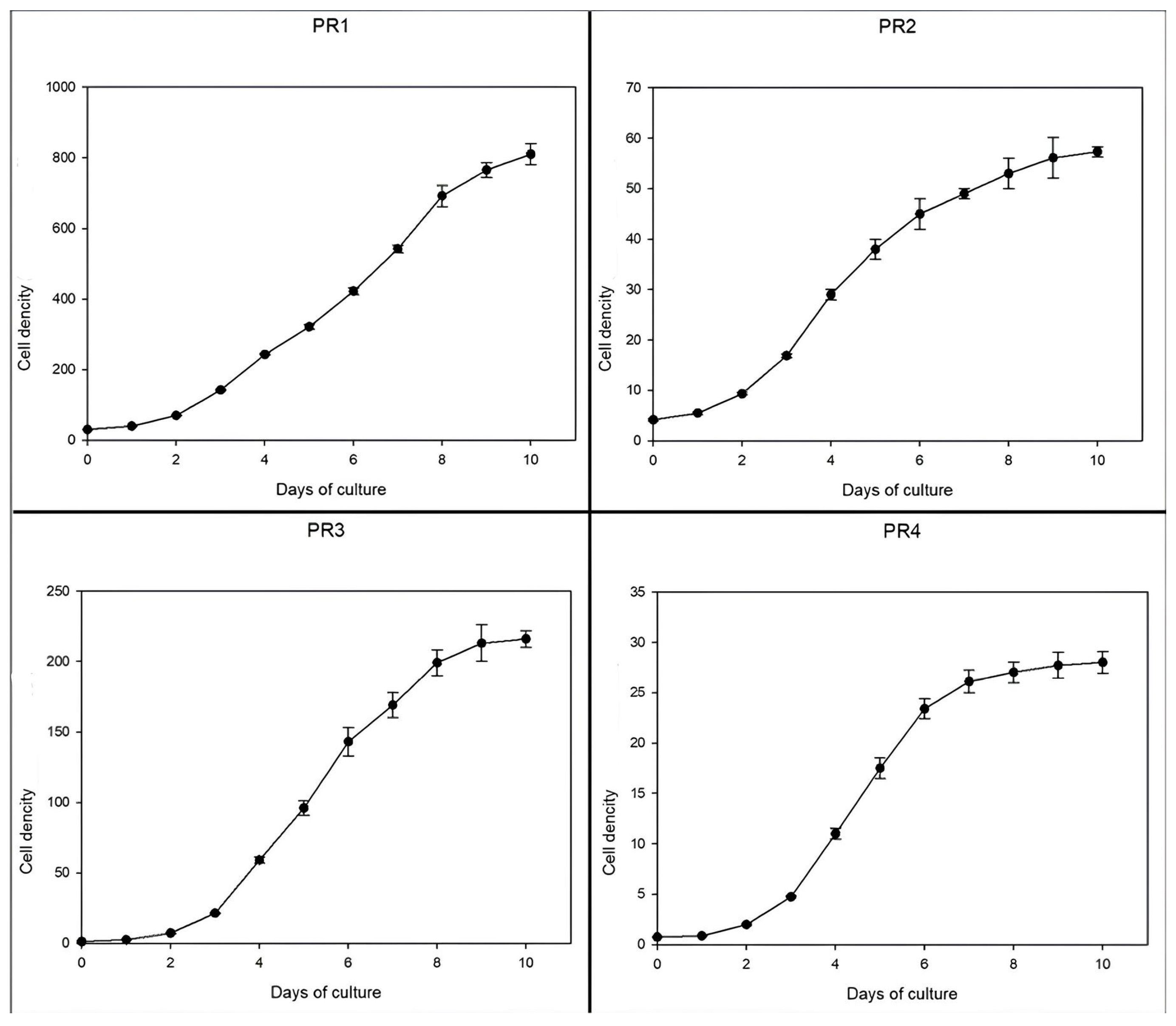
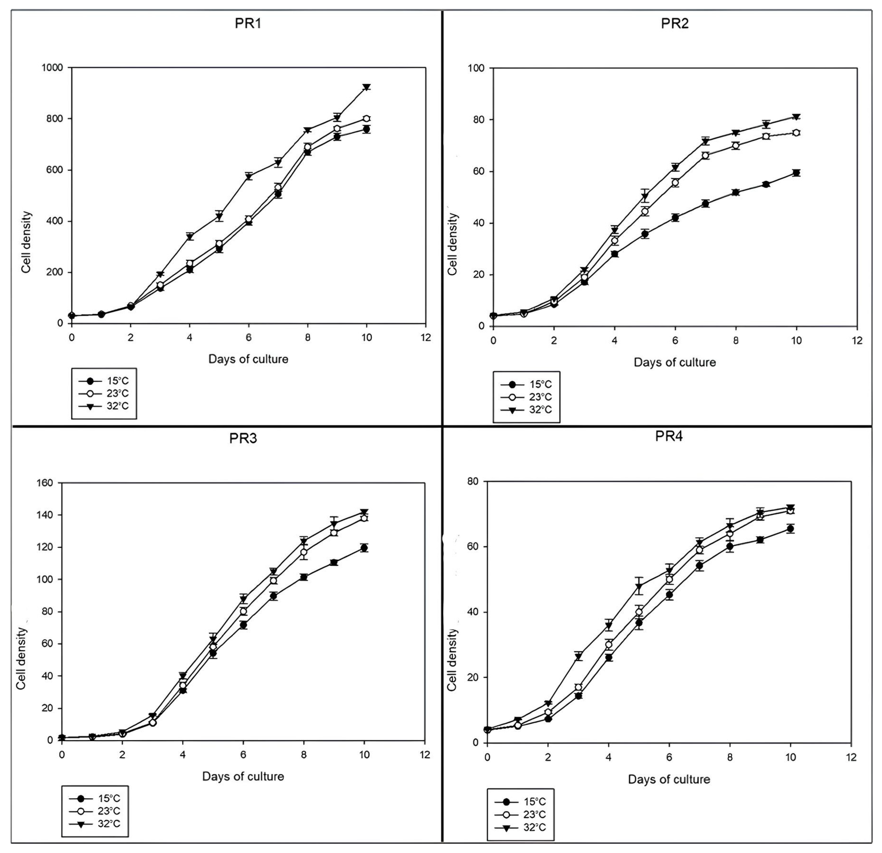
3.3. Growth Evaluation and Kinetics Measurements Under Different Temperature Regimes
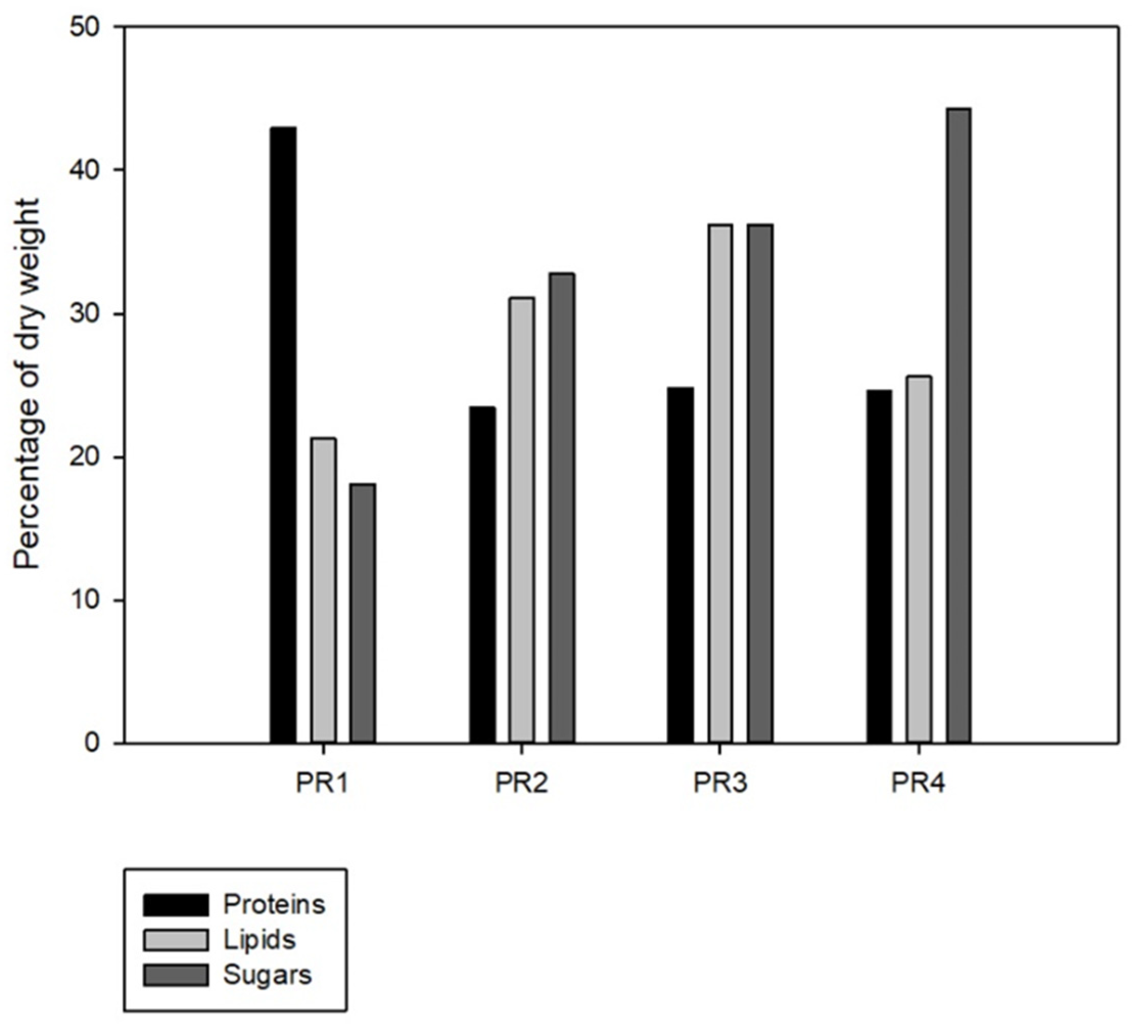
3.4. Biochemical Profiling and Valorization of Microalgal Biomass
4. Conclusions
Supplementary Materials
Author Contributions
Funding
Institutional Review Board Statement
Informed Consent Statement
Data Availability Statement
Conflicts of Interest
References
- Udayan, A.; Pandey, A.K.; Sharma, P.; Kumar, S. Emerging industrial applications of microalgae: Challenges and future perspectives. Syst. Microbiol. Biomanuf. 2021, 1, 411–431. [Google Scholar] [CrossRef]
- Occhipinti, P.S.; Russo, N.; Foti, P.; Zingale, I.M.; Pino, A.; Romeo, F.V.; Randazzo, C.L.; Caggia, C. Current challenges of microalgae applications: Exploiting the potential of non-conventional microalgae species. J. Sci. Food Agric. 2024, 104, 3823–3833. [Google Scholar] [CrossRef]
- Tahat, M.; Alananbeh, K.M.; Othman, Y.A.; Leskovar, D.I. Soil health and sustainable agriculture. Sustainability 2020, 12, 4859. [Google Scholar] [CrossRef]
- Quintero-Angel, M.; González-Acevedo, A. Tendencies and challenges for the assessment of agricultural sustainability. Agric. Ecosyst. Environ. 2018, 254, 273–281. [Google Scholar] [CrossRef]
- Jan, S.; Rashid, Z.; Ahngar, T.A.; Iqbal, S.; Naikoo, M.A.; Majeed, S.; Bhat, T.A.; Gul, R.; Nazir, I. Hydroponics—A review. Int. J. Curr. Microbiol. Appl. Sci. 2020, 9, 1779–1787. [Google Scholar] [CrossRef]
- Mai, C.; Mojiri, A.; Palanisami, S.; Altaee, A.; Huang, Y.; Zhou, J.L. Wastewater hydroponics for pollutant removal and food production: Principles, progress and future outlook. Water 2023, 15, 2614. [Google Scholar] [CrossRef]
- Abdelfattah, A.; Ali, S.S.; Ramadan, H.; El-Aswar, E.I.; Eltawab, R.; Ho, S.-H.; Elsamahy, T.; Li, S.; El-Sheekh, M.M.; Schagerl, M.; et al. Microalgae-based wastewater treatment: Mechanisms, challenges, recent advances, and future prospects. Environ. Sci. Ecotechnol. 2023, 13, 100205. [Google Scholar] [CrossRef]
- Dammak, I.; Fersi, M.; Hachicha, R.; Abdelkafi, S. Current insights into growing microalgae for municipal wastewater treatment and biomass generation. Resources 2023, 12, 119. [Google Scholar] [CrossRef]
- Pathom-aree, W.; Sensupa, S.; Wichaphian, A.; Sriket, N.; Kitwetch, B.; Pekkoh, J.; Sattayawat, P.; Lomakool, S.; Chromkaew, Y.; Srinuanpan, S. An innovative co-cultivation of microalgae and actinomycete-inoculated lettuce in a hydroponic deep-water culture system for the sustainable development of a food–agriculture–energy nexus. Horticulturae 2024, 10, 70. [Google Scholar] [CrossRef]
- Rubert, A.; Costa, J.A.; Colla, L.M.; Hemkemeier, M. Valorization of liquid digestate from wastewater and microalgae: A promising proposal for nutrient recovery in hydroponic systems. Environ. Dev. Sustain. 2024, 27, 25429–25464. [Google Scholar] [CrossRef]
- Ajeng, A.A.; Rosli, N.S.M.; Abdullah, R.; Yaacob, J.S.; Qi, N.C.; Loke, S.P. Resource recovery from hydroponic wastewaters using microalgae-based biorefineries: A circular bioeconomy perspective. J. Biotechnol. 2022, 360, 11–22. [Google Scholar] [CrossRef]
- Bawiec, A.; Pawęska, K.; Richter, D.; Pietryka, M. Hydroponic Nature-Based Wastewater Treatment: Changes in Algal Communities and the Limitations of Laser Granulometry for Taxonomic Identification. Sustainability 2026, 18, 909. [Google Scholar] [CrossRef]
- Abate, R.; Oon, Y.S.; Oon, Y.L.; Bi, Y. Microalgae-bacteria nexus for environmental remediation and renewable energy resources: Advances, mechanisms and biotechnological applications. Heliyon 2024, 10, e31170. [Google Scholar] [CrossRef] [PubMed]
- Renganathan, P.; Puente, E.O.R.; Sukhanova, N.V.; Gaysina, L.A. Hydroponics with microalgae and cyanobacteria: Emerging trends and opportunities in modern agriculture. BioTech 2024, 13, 27. [Google Scholar] [CrossRef]
- Nwachukwu, B.C.; Babalola, O.O. Metagenomics: A tool for exploring key microbiome with the potentials for improving sustainable agriculture. Front. Sustain. Food Syst. 2022, 6, 886987. [Google Scholar] [CrossRef]
- Natarajan, V.P.; Zhang, X.; Morono, Y.; Inagaki, F.; Wang, F. A modified SDS-based DNA extraction method for high quality environmental DNA from seafloor environments. Front. Microbiol. 2016, 7, 986. [Google Scholar] [CrossRef]
- Wood, D.E.; Lu, J.; Langmead, B. Improved metagenomic analysis with Kraken 2. Genome Biol. 2019, 20, 257. [Google Scholar] [CrossRef]
- Bray, J.R.; Curtis, J.T. An ordination of the upland forest communities of southern Wisconsin. Ecol. Monogr. 1957, 27, 326–349. [Google Scholar] [CrossRef]
- Lu, J.; Breitwieser, F.P.; Thielen, P.; Salzberg, S.L. Bracken: Estimating species abundance in metagenomics data. PeerJ Comput. Sci. 2017, 3, e104. [Google Scholar] [CrossRef]
- Yang, Y.; Ge, S.; Pan, Y.; Qian, W.; Wang, S.; Zhang, J.; Zhuang, L.L. Screening of microalgae species and evaluation of algal-lipid stimulation strategies for biodiesel production. Sci. Total Environ. 2023, 857, 159281. [Google Scholar] [CrossRef]
- Kumar, N.; Banerjee, C.; Jagadevan, S. Identification, characterization, and lipid profiling of microalgae Scenedesmus sp. NC1, isolated from coal mine effluent with potential for biofuel production. Biotechnol. Rep. 2021, 30, e00621. [Google Scholar] [CrossRef]
- Kimura, M. A simple method for estimating evolutionary rates of base substitutions through comparative studies of nucleotide sequences. J. Mol. Evol. 1980, 16, 111–120. [Google Scholar] [CrossRef]
- Nei, M.; Kumar, S. Molecular Evolution and Phylogenetics; Oxford University Press: Oxford, UK, 2000. [Google Scholar]
- Waghmare, A.G.; Salve, M.K.; LeBlanc, J.G.; Shalini, S.A. Concentration and characterization of microalgae proteins from Chlorella pyrenoidosa. Bioresour. Bioprocess. 2016, 3, 16. [Google Scholar] [CrossRef]
- Wang, Y.; Tibbetts, S.M.; McGinn, P.J. Microalgae as sources of high-quality protein for human food and protein supplements. Foods 2021, 10, 3002. [Google Scholar] [CrossRef] [PubMed]
- Zavřel, T.; Očenášová, P.; Sinetova, M.A.; Červený, J. Determination of storage (starch/glycogen) and total saccharides content in algae and cyanobacteria by a phenol-sulfuric acid method. Bio Protoc. 2018, 8, e2966. [Google Scholar] [CrossRef]
- León-Vaz, A.; León, R.; Vigara, J.; Funk, C. Exploring Nordic microalgae as a potential novel source of antioxidant and bioactive compounds. New Biotechnol. 2023, 73, 1–8. [Google Scholar] [CrossRef]
- Tiong, I.K.R.; Nagappan, T.; Abdul Wahid, M.E.; Tengku Muhammad, T.S.; Tatsuki, T.; Satyantini, W.H.; Mahasri, G.; Sorgeloos, P.; Sung, Y.Y. Antioxidant capacity of five microalgae species and their effect on heat shock protein 70 expression in the brine shrimp Artemia. Aquac. Rep. 2020, 18, 100433. [Google Scholar] [CrossRef]
- Lichtenthaler, H.K.; Buschmann, C. Chlorophylls and carotenoids: Measurement and characterization by UV-VIS spectroscopy. Curr. Protoc. Food Anal. Chem. 2001, 1, F4.3.1–F4.3.8. [Google Scholar] [CrossRef]
- Spencer, L.; Costine, B.; Irwin, T.; Dixit, A.; Spern, C.; Diaz, A.; Lozzi, B.; Li, W.; Khodadad, C.; Smith, T.; et al. Substrate Matters: Ionic Silver Alters Lettuce Growth, Nutrient Uptake, and Root Microbiome in a Hydroponics System. Microorganisms 2024, 12, 515. [Google Scholar] [CrossRef]
- Schwarz, D.; Krienitz, L. Do Algae Cause Growth-Promoting Effects on Vegetables Grown Hydroponically. Fertigation: Optimizing the Utilization of Water and Nutrients; International Potash Institute: Beijing, China, 2005; pp. 161–170. [Google Scholar]
- Su, M.; Dell’Orto, M.; D’Imporzano, G.; Bani, A.; Dumbrell, A.J.; Adani, F. The structure and diversity of microalgae-microbial consortia isolated from various local organic wastes. Bioresour. Technol. 2022, 347, 126416. [Google Scholar] [CrossRef]
- Sriket, N.; Wichaphian, A.; Kamngoen, A.; Pekkoh, J.; Chromkaew, Y.; Pathom-aree, W.; Maneechote, W.; Cheirsilp, B.; Srinuanpan, S. Hydroponic effluent recycling and resource recovery using heterotrophic Chlorella microalgae: Advancing a circular bioeconomy. J. Water Process Eng. 2024, 67, 106176. [Google Scholar] [CrossRef]
- Schwarz, D.; Gross, W. Algae affecting lettuce growth in hydroponic systems. J. Hortic. Sci. Biotechnol. 2004, 79, 554–559. [Google Scholar] [CrossRef]
- Camargo, E.C.; Casali, C.A.; Lombardi, A.T.; Lima, M.I.S. Coupling microalgal cultures with hydroponics: Prospection for clean biotechnology processes. J. Algal Biomass Util. 2015, 6, 88–94. [Google Scholar]
- Huo, S.; Liu, J.; Addy, M.; Chen, P.; Necas, D.; Cheng, P.; Ruan, R. The influence of microalgae on vegetable production and nutrient removal in greenhouse hydroponics. J. Clean. Prod. 2020, 243, 118563. [Google Scholar] [CrossRef]
- Zheng, D.; Zou, L.; Zou, J.; Li, Q.; Lu, S. Refining taxonomic identification of microalgae through molecular and genetic evolution: A case study of Prorocentrum lima and Prorocentrum arenarium. Microbiol. Spectr. 2024, 12, e02367-23. [Google Scholar] [CrossRef] [PubMed]
- Chae, H.; Kim, E.J.; Kim, H.S.; Choi, H.G.; Kim, S.; Kim, J.H. Morphology and phylogenetic relationships of two Antarctic strains within the genera Carolibrandtia and Chlorella (Chlorellaceae, Trebouxiophyceae). Algae 2023, 38, 241–252. [Google Scholar] [CrossRef]
- Godínez-Ortega, J.L.; Peralta-Soriano, L.; Lugo-Vázquez, A.; Escobar-Oliva, M.A.; Sánchez-Rodríguez, M.D.R.; Oliva-Martínez, M.G. Morphochemical characterization of Chlamydomonas during its blooming in a Mexican urban lake. Hidrobiológica 2023, 33, 1–14. [Google Scholar] [CrossRef]
- Oda, Y.; Sakamoto, M.; Miyabara, Y. Colony formation in three species of the family Scenedesmaceae (Desmodesmus subspicatus, Scenedesmus acutus, Tetradesmus dimorphus) exposed to sodium dodecyl sulfate and its interference with grazing of Daphnia galeata. Arch. Environ. Contam. Toxicol. 2022, 82, 37–47. [Google Scholar] [CrossRef]
- Jo, S.-W.; Hong, J.W.; Do, J.-M.; Na, H.; Kim, J.-J.; Park, S.-I.; Kim, Y.-S.; Kim, I.-S.; Yoon, H.-S. Nitrogen deficiency-dependent abiotic stress enhances carotenoid production in indigenous green microalga Scenedesmus rubescens KNUA042, for use as a potential resource of high value products. Sustainability 2020, 12, 5445. [Google Scholar] [CrossRef]
- El-Hadary, M.H.; Elsaied, H.E.; Khalil, N.M.; Mikhail, S.K. Molecular taxonomical identification and phylogenetic relationships of some marine dominant algal species during red tide and harmful algal blooms along Egyptian coasts in the Alexandria region. Environ. Sci. Pollut. Res. 2022, 29, 53403–53419. [Google Scholar] [CrossRef]
- Ballesteros, I.; Terán, P.; Guamán-Burneo, C.; González, N.; Cruz, A.; Castillejo, P. DNA barcoding approach to characterize microalgae isolated from freshwater systems in Ecuador. Neotrop. Biodivers. 2021, 7, 170–183. [Google Scholar] [CrossRef]
- Lortou, U.; Gkelis, S. Polyphasic taxonomy of green algae strains isolated from Mediterranean freshwaters. J. Biol. Res-Thessalon. 2019, 26, 11. [Google Scholar] [CrossRef]
- Wang, Q.; Song, H.; Liu, X.; Liu, B.; Hu, Z.; Liu, G. Morphology and molecular phylogeny of coccoid green algae Coelastrella sensu lato (Scenedesmaceae, Sphaeropeales), including the description of three new species and two new varieties. J. Phycol. 2019, 55, 1290–1305. [Google Scholar] [CrossRef] [PubMed]
- Hadi, S.I.I.A.; Santana, H.; Brunale, P.P.M.; Gomes, T.G.; Oliveira, M.D.; Matthiensen, A.; Oliveira, M.E.C.; Silva, F.C.P.; Brasil, B.S.A.F. DNA Barcoding Green Microalgae Isolated from Neotropical Inland Waters. PLoS ONE 2016, 11, e0149284. [Google Scholar] [CrossRef] [PubMed]
- Zou, S.; Fei, C.; Wang, C.; Gao, Z.; Bao, Y.; He, M.; Wang, C. How DNA barcoding can be more effective in microalgae identification: A case of cryptic diversity revelation in Scenedesmus (Chlorophyceae). Sci. Rep. 2016, 6, 36822. [Google Scholar] [CrossRef]
- Jeong, H.; Lim, J.M.; Park, J.; Sim, Y.M.; Choi, H.G.; Lee, J.; Jeong, W.J. Plastid and mitochondrion genomic sequences from Arctic Chlorella sp. ArM0029B. BMC Genom. 2014, 15, 286. [Google Scholar] [CrossRef] [PubMed]
- Liu, C.; Huang, X.; Wang, X.; Zhang, X.; Li, G. Phylogenetic studies on two strains of Antarctic ice algae based on morphological and molecular characteristics. Phycologia 2006, 45, 190–198. [Google Scholar] [CrossRef]
- Lemieux, C.; Otis, C.; Turmel, M. Chloroplast phylogenomic analysis resolves deep-level relationships within the green algal class Trebouxiophyceae. BMC Evol. Biol. 2014, 14, 211. [Google Scholar] [CrossRef]
- Kessler, E.; Schäfer, M.; Hümmer, C.; Kloboucek, A.; Huss, V.A.R. Physiological, biochemical, and molecular characters for the taxonomy of the subgenera of Scenedesmus (Chlorococcales, Chlorophyta). Bot. Acta 1997, 110, 244–250. [Google Scholar] [CrossRef]
- Sciuto, K.; Lewis, L.A.; Verleyen, E.; Moro, I.; La Rocca, N. Chodatodesmus australis sp. nov. (Scenedesmaceae, Chlorophyta) from Antarctica, with the emended description of the genus Chodatodesmus, and circumscription of Flechtneria rotunda gen. et sp. nov. J. Phycol. 2015, 51, 1172–1188. [Google Scholar] [CrossRef]
- Znad, H.; Al Ketife, A.M.; Judd, S.; AlMomani, F.; Vuthaluru, H.B. Bioremediation and nutrient removal from wastewater by Chlorella vulgaris. Ecol. Eng. 2018, 110, 1–7. [Google Scholar] [CrossRef]
- Kong, Q.X.; Li, L.; Martinez, B.; Chen, P.; Ruan, R. Culture of microalgae Chlamydomonas reinhardtii in wastewater for biomass feedstock production. Appl. Biochem. Biotechnol. 2010, 160, 9–18. [Google Scholar] [CrossRef]
- Lv, J.; Guo, B.; Feng, J.; Liu, Q.; Nan, F.; Liu, X.; Xie, S. Integration of wastewater treatment and flocculation for harvesting biomass for lipid production by a newly isolated self-flocculating microalga Scenedesmus rubescens SX. J. Clean. Prod. 2019, 240, 118211. [Google Scholar] [CrossRef]
- Chaisutyakorn, P.; Praiboon, J.; Kaewsuralikhit, C. The effect of temperature on growth and lipid and fatty acid composition on marine microalgae used for biodiesel production. J. Appl. Phycol. 2018, 30, 37–45. [Google Scholar] [CrossRef]
- Gonçalves, A.L.; Pires, J.C.; Simoes, M. The effects of light and temperature on microalgal growth and nutrient removal: An experimental and mathematical approach. RSC Adv. 2016, 6, 22896–22907. [Google Scholar] [CrossRef]
- Becker, E.W. Micro-algae as a source of protein. Biotechnol. Adv. 2007, 25, 207–210. [Google Scholar] [CrossRef]
- Visca, A.; Di Caprio, F.; Spinelli, R.; Altimari, P.; Cicci, A.; Iaquaniello, G.; Toro, L.; Pagnanelli, F. Microalgae cultivation for lipids and carbohydrates production. Chem. Eng. Trans. 2017, 57, 127–132. [Google Scholar]
- Metsoviti, M.N.; Papapolymerou, G.; Karapanagiotidis, I.T.; Katsoulas, N. Comparison of growth rate and nutrient content of five microalgae species cultivated in greenhouses. Plants 2019, 8, 279. [Google Scholar] [CrossRef] [PubMed]
- Aremu, A.O.; Masondo, N.A.; Molnár, Z.; Stirk, W.A.; Ördög, V.; Van Staden, J. Changes in phytochemical content and pharmacological activities of three Chlorella strains grown in different nitrogen conditions. J. Appl. Phycol. 2016, 28, 149–159. [Google Scholar] [CrossRef]
- Yaakob, M.A.; Mohamed, R.M.S.R.; Al-Gheethi, A.; Aswathnarayana Gokare, R.; Ambati, R.R. Influence of nitrogen and phosphorus on microalgal growth, biomass, lipid, and fatty acid production: An overview. Cells 2021, 10, 393. [Google Scholar] [CrossRef]
- Sharma, R. Effects of culture conditions on growth and biochemical profile of Chlorella vulgaris. J. Plant Pathol. Microb. 2012, 3, 131. [Google Scholar] [CrossRef]
- Darwish, R.; Gedi, M.A.; Akepach, P.; Assaye, H.; Zaky, A.S.; Gray, D.A. Chlamydomonas reinhardtii is a potential food supplement with the capacity to outperform Chlorella and Spirulina. Appl. Sci. 2020, 10, 6736. [Google Scholar] [CrossRef]
- Vieira, M.V.; Turkiewicz, I.P.; Tkacz, K.; Fuentes-Grünewald, C.; Pastrana, L.M.; Fuciños, P.; Wojdyło, A.; Nowicka, P. Microalgae as a Potential Functional Ingredient: Evaluation of the Phytochemical Profile, Antioxidant Activity and In-Vitro Enzymatic Inhibitory Effect of Different Species. Molecules 2021, 26, 7593. [Google Scholar] [CrossRef] [PubMed]
- Khodadadianzaghmari, F.; Jahadi, M.; Goli, M. Biochemical profile of Scenedesmus isolates, with a main focus on the fatty acid profile. Food Sci. Nutr. 2024, 12, 5922–5931. [Google Scholar] [CrossRef]
- Kafyra, M.S.G.; Papadaki, S.; Chronis, M.; Krokida, M. Microalgae-based innovative animal fat and protein replacers for application in functional baked products. Open Agric. 2018, 3, 427–436. [Google Scholar] [CrossRef]
- Sandgruber, G.; Gielsdorf, A.; Bailer, A.; Schenz, B.; Mueller, S.; Schwerdtle, T.; Stangl, G.; Griehl, C.; Lorkowski, S.; Dawczynski, C. Variability in macro- and micronutrients of 15 commercially available microalgae powders. Mar. Drugs 2021, 19, 310. [Google Scholar] [CrossRef]
- Chen, Y.; Du, H.; Liang, H.; Hong, T.; Li, T. Enhanced carotenoid production in Chlamydomonas reinhardtii by overexpression of endogenous and exogenous beta-carotene ketolase (BKT) genes. Int. J. Mol. Sci. 2023, 24, 11382. [Google Scholar] [CrossRef]
- Goiris, K.; Van Colen, W.; Wilches, I.; León-Tamariz, F.; De Cooman, L.; Muylaert, K. Impact of nutrient stress on antioxidant production in three species of microalgae. Algal Res. 2015, 7, 51–57. [Google Scholar] [CrossRef]
- Li, H.B.; Cheng, K.W.; Wong, C.C.; Fan, K.W.; Chen, F.; Jiang, Y. Evaluation of antioxidant capacity and total phenolic content of different fractions of selected microalgae. Food Chem. 2007, 102, 771–776. [Google Scholar] [CrossRef]
- Grande, T.; Vornoli, A.; Lubrano, V.; Vizzarri, F.; Raffaelli, A.; Gabriele, M.; Novoa, J.; Sandoval, C.; Longo, V.; Echeverria, M.C.; et al. Chlamydomonas agloeformis from the Ecuadorian highlands: Nutrients and bioactive compounds profiling and in vitro antioxidant activity. Foods 2023, 12, 3147. [Google Scholar] [CrossRef] [PubMed]
- Goiris, K.; Muylaert, K.; Fraeye, I.; Foubert, I.; De Brabanter, J.; Cooman, L. Antioxidant potential of microalgae in relation to their phenolic and carotenoid content. J. Appl. Phycol. 2012, 24, 1477–1486. [Google Scholar] [CrossRef]
- Bulut, O.; Akın, D.; Altun Sonmez, C.; Oktem, A.; Yücel, M.; Oktem, H. Phenolic compounds, carotenoids, and antioxidant capacities of a thermo-tolerant Scenedesmus sp. (Chlorophyta) extracted with different solvents. J Appl. Phycol. 2019, 31, 1675–1683. [Google Scholar] [CrossRef]
- Gauthier, M.R.; Senhorinho, G.N.A.; Scott, J.A. Microalgae under environmental stress as a source of antioxidants. Algal Res. 2020, 52, 102104. [Google Scholar] [CrossRef]






| Number of Raw Reads | Classified Reads | Chordate Reads | Unclassified Reads | Microbial Reads | Bacterial Reads | Viral Reads | |
|---|---|---|---|---|---|---|---|
| Before Algal Bloom | 29,987,991 | 3,128,798 | 70,138 | 26,859,193 | 3,055,247 | 3,024,768 | 419 |
| 16,872,682 | 5,246,396 | 25,980 | 11,626,286 | 5,219,118 | 5,200,169 | 9111 | |
| After Algal Bloom | 13,914,993 | 11,353,400 | 22,075 | 2,561,593 | 11,331,060 | 11,327,903 | 118 |
| 21,480,190 | 8,168,392 | 48,739 | 13,311,798 | 8,117,462 | 8,100,898 | 364 |
| Pairwise Average Bray–Curtis Index | Average Shannon’s Diversity | SE± | Average Simpson’s Index of Diversity | SE± | Average Fisher’s Index | SE± | |
|---|---|---|---|---|---|---|---|
| Before Algal Bloom | 0.651 | 3.30 | 0.90 | 0.73 | 0.17 | 138.42 | 9.61 |
| After Algal Bloom | 1.39 | 0.58 | 0.36 | 0.14 | 117.61 | 38.32 |
| Strain | Chl a (mg/g DW) | Chl b (mg/g DW) | Carotenoids (mg/g DW) | Flavonoids (mg Catechin/g DW) | Phenolics (mg Gallic Acid/g DW) | TEAC (mg Trolox/g DW) |
|---|---|---|---|---|---|---|
| PR1 | 14.68 ± 0.313 a | 8.19 ± 0.343 a | 2.06 ± 0.068 b | 1.38 ± 0.111 b | 2.95 ± 0.242 b | 6.62 ± 0.083 c |
| PR2 | 10.54 ± 0.221 b | 5.63 ± 0.154 b | 3.06 ± 0.022 a | 3.57 ± 0.062 a | 3.99 ± 0.059 a | 13.86 ± 0.380 b |
| PR3 | 8.62 ± 0.131 c | 5.26 ± 0.095 b | 3.00 ± 0.043 a | 3.56 ± 0.074 a | 4.48 ± 0.058 a | 19.08 ± 0.139 a |
| PR4 | 1.75 ± 0.015 d | 1.27 ± 0.009 a | 0.54 ± 0.012 c | 1.08 ± 0.026 b | 0.88 ± 0.041 c | 4.31 ± 0.668 d |
Disclaimer/Publisher’s Note: The statements, opinions and data contained in all publications are solely those of the individual author(s) and contributor(s) and not of MDPI and/or the editor(s). MDPI and/or the editor(s) disclaim responsibility for any injury to people or property resulting from any ideas, methods, instructions or products referred to in the content. |
© 2026 by the authors. Licensee MDPI, Basel, Switzerland. This article is an open access article distributed under the terms and conditions of the Creative Commons Attribution (CC BY) license.
Share and Cite
Ntzouvaras, A.; Koletti, A.; Zografaki, M.E.; Marka, S.; Skliros, D.; Vasilakis, G.; Karavidas, I.; Koukouvinis, A.K.; Efrose, R.C.; Kalloniati, C.; et al. Isolation and Characterization of Microalgae Isolates from Hydroponic Effluent Water: Metagenomics and Biotechnological Insights. Microorganisms 2026, 14, 582. https://doi.org/10.3390/microorganisms14030582
Ntzouvaras A, Koletti A, Zografaki ME, Marka S, Skliros D, Vasilakis G, Karavidas I, Koukouvinis AK, Efrose RC, Kalloniati C, et al. Isolation and Characterization of Microalgae Isolates from Hydroponic Effluent Water: Metagenomics and Biotechnological Insights. Microorganisms. 2026; 14(3):582. https://doi.org/10.3390/microorganisms14030582
Chicago/Turabian StyleNtzouvaras, Alexandros, Aikaterini Koletti, Maria Eleftheria Zografaki, Sofia Marka, Dimitrios Skliros, Gabriel Vasilakis, Ioannis Karavidas, Adonis Konstantinos Koukouvinis, Rodica C. Efrose, Chrysanthi Kalloniati, and et al. 2026. "Isolation and Characterization of Microalgae Isolates from Hydroponic Effluent Water: Metagenomics and Biotechnological Insights" Microorganisms 14, no. 3: 582. https://doi.org/10.3390/microorganisms14030582
APA StyleNtzouvaras, A., Koletti, A., Zografaki, M. E., Marka, S., Skliros, D., Vasilakis, G., Karavidas, I., Koukouvinis, A. K., Efrose, R. C., Kalloniati, C., Tzovenis, I., & Flemetakis, E. (2026). Isolation and Characterization of Microalgae Isolates from Hydroponic Effluent Water: Metagenomics and Biotechnological Insights. Microorganisms, 14(3), 582. https://doi.org/10.3390/microorganisms14030582

