Metabarcoding Unveils Seasonal Soil Microbiota Shifts and Their Influence on Boletus edulis and Boletus reticulatus Mycelium in Quercus robur Stands
Abstract
1. Introduction
2. Materials and Methods
2.1. Study Site, Soil Characteristics and Climate
2.2. Experimental Design
2.3. Metabarcoding Analysis for Bacterial and Fungal Identification
2.4. Molecular Detection and Quantification of B. edulis and B. reticulatus Mycelium
2.5. Alpha Diversity Parameters
2.6. Statistical Analysis
3. Results
3.1. Soil Characterization and Climatic Conditions
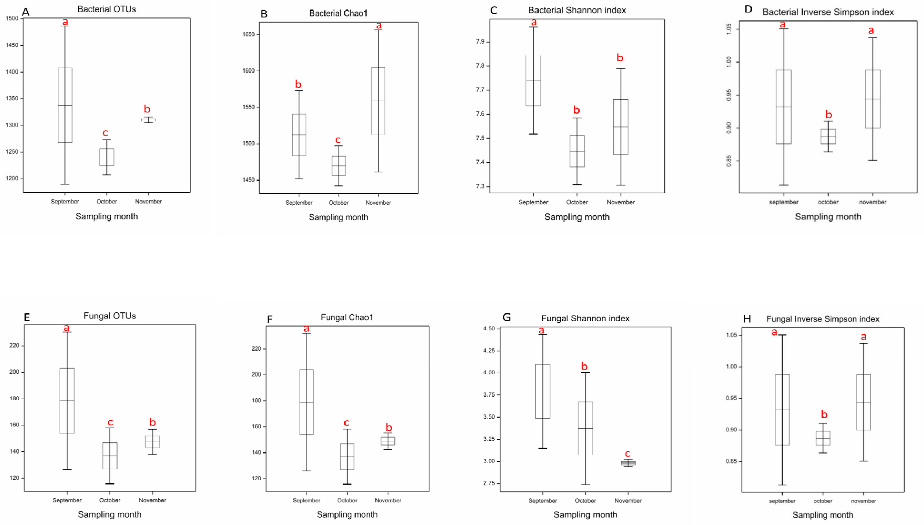
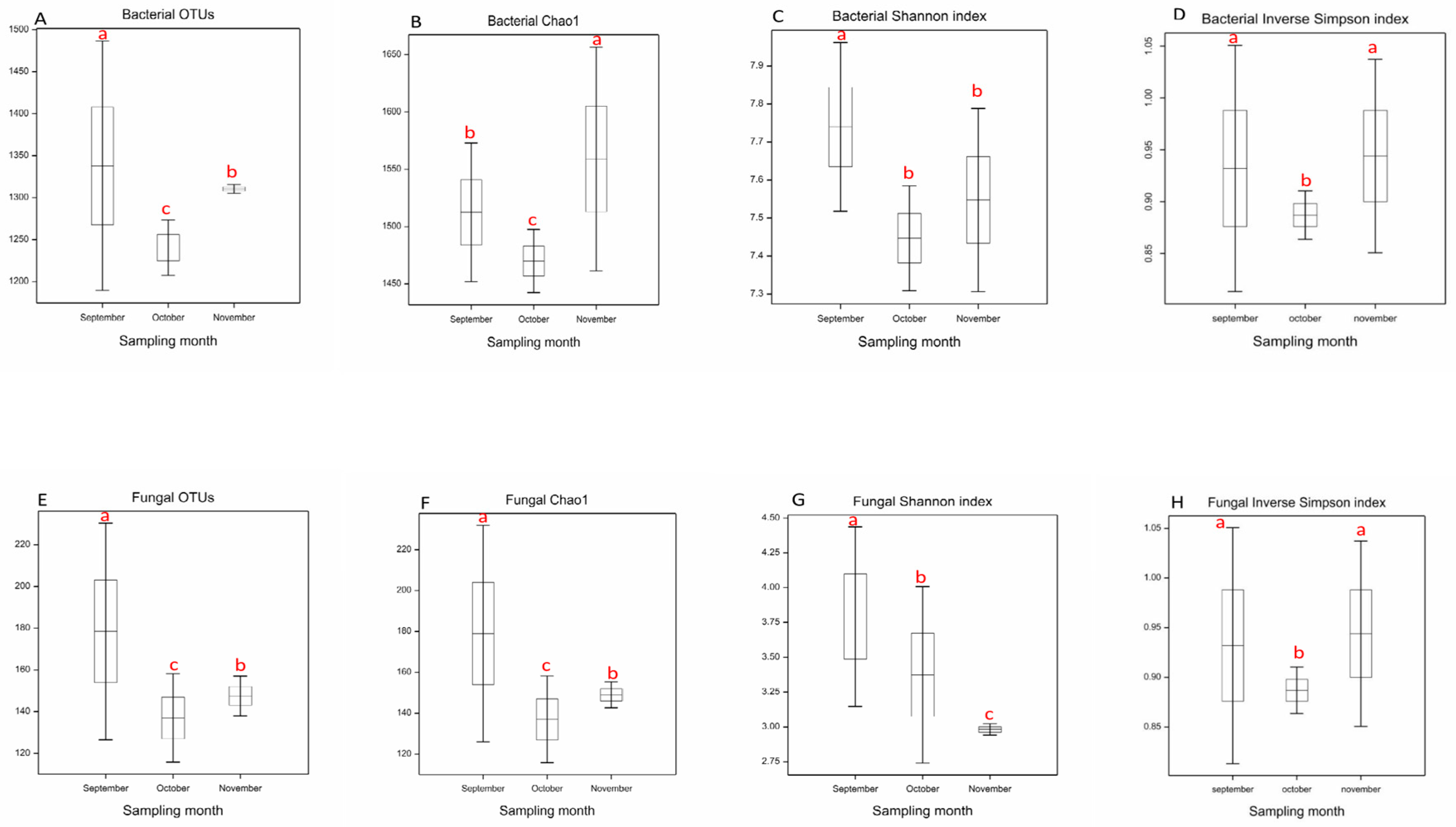
3.2. Bacterial Community
3.3. Fungal Community
3.4. Boletus edulis and B. reticulatus Mycelium Prevalence and Concentration
3.5. Correlations Between B. edulis and B. reticulatus Mycelium Concentration and Soil Microbiota
4. Discussion
4.1. Bacterial Community Structure and Correlations with B. edulis and B. reticulatus Mycelium Concentration
4.2. Fungal Community Structure and Interaction with B. edulis and B. reticulatus Mycelium
4.3. B. edulis and B. reticulatus Mycelium Prevalence and Concentration
5. Conclusions
Supplementary Materials
Author Contributions
Funding
Institutional Review Board Statement
Informed Consent Statement
Data Availability Statement
Acknowledgments
Conflicts of Interest
References
- Baarda, P. Atlantic oakwoods in Great Britain: Factors influencing their definition, distribution and occurrence. Bot. J. Scotl. 2005, 57, 1–19. [Google Scholar] [CrossRef]
- Ministerio para la Transición Ecológica y el Reto Demográfico. Cuarto Inventario Forestal Nacional. Área de Inventario y Estadísticas Forestales, Dirección General de Desarrollo Rural y Política Forestal, Ministerio de Agricultura y Pesca, Alimentación y Medio Ambiente. Madrid, España. 2013. Available online: https://www.miteco.gob.es/es/biodiversidad/temas/inventarios-nacionales/inventario-forestal-nacional/cuarto_inventario.html (accessed on 14 August 2025).
- Martín, A.; Raviña, M.D.; Carballas, T. Seasonal changes in the carbohydrate pool of an Atlantic forest soil under different vegetation types. Span. J. Soil Sci. 2011, 1, 38–53. [Google Scholar] [CrossRef]
- Alberdi, I.; Vallejo Bombín, R.; Álvarez González, J.-G.; Condés Ruiz, S.; González Ferreiro, E.; Guerrero García, S.; Hernández Mateo, L.; Martínez Jáuregui, M.; Montes Pita, F.; de Oliveira Rodríguez, N.; et al. The multi-objective Spanish National Forest Inventory. For. Syst. 2017, 26, e04S. [Google Scholar] [CrossRef]
- Carballas, T.; Martín, A.; Raviña, M.D. Efecto de los incendios forestales sobre los suelos de Galicia. In Efectos de los Incendios Forestales Sobre los Suelos en España: El Estado de la Cuestión Visto por los Científicos Españoles; Cerdà, A., Mataix Solera, J., Eds.; Cátedra Divulgación de la Ciencia, Universitat de Valencia: Valencia, Spain, 2009. [Google Scholar]
- Gómez-García, E. Estimating the changes in tree carbon stocks in Galician forests (NW Spain) between 1972 and 2009. For. Ecol. Manag. 2009, 467, 118–157. [Google Scholar] [CrossRef]
- Newton, A.C.; Haigh, J.M. Diversity of ectomycorrhizal fungi in Britain: A test of the species–area relationship, and the role of host specificity. New Phytol. 1998, 138, 619–627. [Google Scholar] [CrossRef]
- O’Hanlon, R.; Harrington, T.J. The macrofungal diversity and community of Atlantic oak (Quercus petraea and Q. robur) forests in Ireland. An. Jard. Bot. Madr. 2012, 69, 107–117. [Google Scholar] [CrossRef]
- Tyler, G. Tree species affinity of decomposer and ectomycorrhizal macrofungi in beech (Fagus sylvatica L.), oak (Quercus robur L.) and hornbeam (Carpinus betulus L.) forests. For. Ecol. Manag. 1992, 47, 269–284. [Google Scholar] [CrossRef]
- Trocha, L.K.; Kałucka, I.; Stasińska, M.; Nowak, W.; Dabert, M.; Leski, T.; Rudawska, M.; Oleksyn, J. Ectomycorrhizal fungal communities of native and non-native Pinus and Quercus species in a common garden of 35-year-old trees. Mycorrhiza 2012, 22, 121–134. [Google Scholar] [CrossRef]
- Santolamazza-Carbone, S.; Durán-Otero, M.; Calviño-Cancela, M. Context dependency, co-introductions, novel mutualisms, and host shifts shaped the ectomycorrhizal fungal communities of the alien tree Eucalyptus globulus. Sci. Rep. 2019, 9, 7121. [Google Scholar] [CrossRef]
- Ruiz Gómez, F.J.; Navarro-Cerrillo, R.M.; Pérez-de-Luque, A.; Oβwald, W.; Vannini, A.; Morales-Rodríguez, C. Assessment of functional and structural changes of soil fungal and oomycete communities in holm oak declined dehesas through metabarcoding analysis. Sci. Rep. 2019, 9, 5315. [Google Scholar] [CrossRef]
- Martinová, V.; Van Geel, M.; Lievens, B.; Honnay, O. Strong differences in Quercus robur-associated ectomycorrhizal fungal communities along a forest-city soil sealing gradient. Fungal Ecol. 2016, 20, 88–96. [Google Scholar] [CrossRef]
- Sapp, M.; Lewis, E.; Moss, S.; Barrett, B.; Kirk, S.; Elphinstone, J.G.; Denman, S. Metabarcoding of bacteria associated with the acute oak decline syndrome in England. Forests 2016, 7, 95. [Google Scholar] [CrossRef]
- Popova, A.; Popova, V.; Dorofeeva, V.; Sorokopudova, O. Anthropogenic environmental pressure influence on oak forest biodiversity and Quercus robur mithosis pathologies. IOP Conf. Ser. Earth Environ. Sci. 2019, 226, 012022. [Google Scholar] [CrossRef]
- Sitta, N.; Davoli, P. Edible ectomycorrhizal mushrooms: International markets and regulations. In Edible Ectomycorrhizal Mushrooms: Current Knowledge and Future Prospects; Springer: Berlin/Heidelberg, Germany, 2013; pp. 355–380. [Google Scholar]
- Sitta, N.; Davoli, P. Edible Ectomycorrhizal Mushrooms: Current Knowledge and Future Prospects. Soil Biol. 2012, 34, 355–380. [Google Scholar]
- Meotto, F.; Pellegrino, S. The performance in the field of oaks and sweet chestnuts in mycorrhizal association with Boletus edulis. Bull. Inf. Agrar. 1989, 46, 57–61. [Google Scholar]
- Salerni, E.; Perini, C. Experimental study for increasing productivity of Boletus edulis s.l. in Italy. For. Ecol. Manag. 2004, 201, 161–170. [Google Scholar] [CrossRef]
- Peintner, U.; Iotti, M.; Klotz, P.; Bonuso, E.; Zambonelli, A. Soil fungal communities in a Castanea sativa (chestnut) forest producing large quantities of Boletus edulis sensu lato (porcini): Where is the mycelium of porcini? Environ. Microbiol. 2017, 9, 880–889. [Google Scholar] [CrossRef]
- Ambrosio, E.; Zotti, M. Mycobiota of three Boletus edulis (and allied species) productive sites. Sydowia 2015, 67, 197–216. [Google Scholar]
- Martínez-Peña, F.; De-Miguel, S.; Pukkala, T.; Bonet, J.A.; Ortega-Martínez, P.; Aldea, J.; de Aragón, J.M. Yield models for ectomycorrhizal mushrooms in Pinus sylvestris forests with special focus on Boletus edulis and Lactarius group deliciosus. For. Ecol. Manag. 2012, 282, 63–69. [Google Scholar] [CrossRef]
- Parladé, J.; Martínez-Peña, F.; Pera, J. Effects of forest management and climatic variables on the mycelium dynamics and sporocarp production of the ectomycorrhizal fungus Boletus edulis. For. Ecol. Manag. 2017, 390, 73–79. [Google Scholar] [CrossRef]
- De la Varga, H.; Águeda, B.; Ágreda, T.; Martínez-Peña, F.; Parladé, J.; Pera, J. Seasonal dynamics of Boletus edulis and Lactarius deliciosus extraradical mycelium in pine forests of central Spain. Mycorrhiza 2013, 23, 391–402. [Google Scholar] [CrossRef]
- Mediavilla, O.; Hernández-Rodríguez, M.; Olaizola, J.; Santos-del-Blanco, L.; Oria-de-Rueda, J.A.; Martín-Pinto, P. Insights into the dynamics of Boletus edulis mycelium and fruiting after fire prevention management. For. Ecol. Manag. 2017, 404, 108–114. [Google Scholar] [CrossRef]
- Mediavilla, O.; Geml, J.; Olaizola, J.; Oria-de-Rueda, J.A.; Baldrian, P.; Martín-Pinto, P. Effect of forest fire prevention treatments on bacterial communities associated with productive Boletus edulis sites. Microb. Biotechnol. 2019, 12, 1188–1198. [Google Scholar] [CrossRef] [PubMed]
- Santolamazza-Carbone, S.; Iglesias-Bernabé, L.; Sinde-Stompel, E.; Gallego, P.P. Soil microbiota impact on Boletus edulis mycelium in chestnut orchards of different ages. Appl. Soil Ecol. 2023, 185, 104790. [Google Scholar] [CrossRef]
- Falandysz, J.; Krasińska, G.; Pankavec, S.; Nnorom, I.C. Mercury in certain Boletus mushrooms from Poland and Belarus. J. Environ. Sci. Health Part B 2014, 49, 690–695. [Google Scholar] [CrossRef] [PubMed]
- Jančo, I.; Hrstková, M.; Tirdiľová, I.; Lošák, T.; Árvay, J. The relationship between risk elements contamination of wild edible mushrooms (Boletus reticulatus Schaeff.) and underlying soil substrate. J. Microbiol. Biotechnol. Food Sci. 2019, 9, 657–660. [Google Scholar] [CrossRef]
- Yamanaka, K.; Namba, K.; Tajiri, A. Fruit body formation of Boletus reticulatus in pure culture. Mycoscience 2000, 41, 189–191. [Google Scholar] [CrossRef]
- Lei, Z.; Zhang, C.; Li, Y.; Yi, L.; Shang, Y. Species-specific gene, spt5, in the qualitative and quantitative detection of Boletus reticulatus. J. Food Qual. 2022, 2022, 5526810. [Google Scholar] [CrossRef]
- Garbaye, J. Tansley Review No. 76 Helper bacteria: A new dimension to the mycorrhizal symbiosis. New Phytol. 1994, 128, 197–210. [Google Scholar] [CrossRef]
- Frey-Klett, P.; Garbaye, J.; Tarkka, M. The mycorrhiza helper bacteria revisited. New Phytol. 2007, 176, 22–36. [Google Scholar] [CrossRef]
- Deveau, A.; Labbé, J. Mycorrhiza helper bacteria. In Molecular Mycorrhizal Symbiosis; Martin, F., Ed.; John Wiley & Sons, Inc.: Hoboken, NJ, USA, 2016. [Google Scholar] [CrossRef]
- Mediavilla, O.; Olaizola, J.; Santos-del-Blanco, L.; Oria-de-Rueda, J.A.; Martín-Pinto, P. Mycorrhization between Cistus ladanifer L. and Boletus edulis Bull is enhanced by the mycorrhiza helper bacteria Pseudomonas fluorescens Migula. Mycorrhiza 2016, 26, 161–168. [Google Scholar] [CrossRef] [PubMed]
- Wu, X.Q.; Hou, L.L.; Sheng, J.M.; Ren, J.H.; Zheng, L.; Chen, D.; Ye, J.R. Effects of ectomycorrhizal fungus Boletus edulis and mycorrhiza helper Bacillus cereus on the growth and nutrient uptake by Pinus thunbergii. Biol. Fertil. Soils 2012, 48, 385–391. [Google Scholar] [CrossRef]
- Semenov, M.V. Metabarcoding and metagenomics in soil ecology research: Achievements, challenges, and prospects. Biol. Bull. Rev. 2021, 11, 40–53. [Google Scholar] [CrossRef]
- Qin, Y.; Li, Q.Q.; Zheng, Y.H.; Ding, G.L.; Guo, X. Bacteria diversity of shiroes soil growing three species of wild Boletus. Microbiol. China 2016, 43, 2148–2153. [Google Scholar] [CrossRef]
- Koskinen, J.; Roslin, T.; Nyman, T.; Abrego, N.; Michell, C.; Vesterinen, E.J. Finding flies in the mushroom soup: Host specificity of fungus-associated communities revisited with a novel molecular method. Mol. Ecol. 2019, 28, 190–202. [Google Scholar] [CrossRef]
- Sun, S.; Li, S.; Avera, B.N.; Strahm, B.D.; Badgley, B.D. Soil bacterial and fungal communities show distinct recovery patterns during forest ecosystem restoration. Appl. Environ. Microbiol. 2017, 83, e00966-17. [Google Scholar] [CrossRef]
- Rodríguez-Alleres, M.; Varela, M.E.; Benito, E. Natural severity of water repellency in pine forest soils from NW Spain and influence of wildfire severity on its persistence. Geoderma 2012, 191, 125–131. [Google Scholar] [CrossRef]
- Santolamazza-Carbone, S.; Iglesias-Bernabé, L.; Landin, M.; Rueda, E.B.; Barreal, M.E.; Gallego, P.P. Artificial intelligence unveils key interactions between soil properties and climate factors on Boletus edulis and B. reticulatus mycelium in chestnut orchards of different ages. Front. Soil Sci. 2023, 3, 1159793. [Google Scholar] [CrossRef]
- USDA. Soil Survey Laboratory Methods Manual. In Soil Survey Investigation Report No. 42; Burt, R., Ed.; Scientific Publishers: New York, NY, USA, 2012. [Google Scholar]
- Olsen, S.R.; Dean, L.A. Phosphorus. In Methods of Soil Analysis. Part 2. Chemical and Microbiological Properties; Black, C.A., Ed.; American Society of Agronomy: Madison, WI, USA, 1965; pp. 1035–1049. [Google Scholar]
- De la Varga, H.; Águeda, B.; Martínez-Peña, F.; Parladé, J.; Pera, J. Quantification of extraradical soil mycelium and ectomycorrhizas of Boletus edulis in a Scots pine forest with variable sporocarp productivity. Mycorrhiza 2012, 22, 59–68. [Google Scholar] [CrossRef]
- Klindworth, A.; Pruesse, E.; Schweer, T.; Peplies, J.; Quast, C.; Horn, M.; Glöckner, F.O. Evaluation of general 16S ribosomal RNA gene PCR primers for classical and next-generation sequencing-based diversity studies. Nucleic Acids Res. 2013, 41, e1. [Google Scholar] [CrossRef] [PubMed]
- White, T.J.; Bruns, T.; Lee, S.J.W.T.; Taylor, J. Amplification and direct sequencing of fungal ribosomal RNA genes for phylogenies. In PCR Protocols: A Guide to Methods and Applications; Innis, M.A., Gelfand, D.H., Sninsky, J.J., White, T.J., Eds.; Academic Press: San Diego, CA, USA, 1990; pp. 315–322. [Google Scholar]
- Gardes, M.; Bruns, T.D. ITS primers with enhanced specificity for Basidiomycetes: Application to the identification of mycorrhizae and rusts. Mol. Ecol. 1993, 2, 113–118. [Google Scholar] [CrossRef]
- Chen, S.; Zhou, Y.; Chen, Y.; Gu, J. fastp: An ultra-fast all-in-one FASTQ preprocessor. Bioinformatics 2018, 34, i884–i890. [Google Scholar] [CrossRef]
- Magoč, T.; Salzberg, S.L. FLASH: Fast length adjustment of short reads to improve genome assemblies. Bioinformatics 2011, 27, 2957–2963. [Google Scholar] [CrossRef]
- Caporaso, J.G.; Kuczynski, J.; Stombaugh, J.; Bittinger, K.; Bushman, F.D.; Costello, E.K.; Fierer, N.; González Peña, A.; Goodrich, J.K.; Gordon, J.I. QIIME allows analysis of high-throughput community sequencing data. Nat. Methods 2010, 7, 335–336. [Google Scholar] [CrossRef] [PubMed]
- Li, W.; Fu, L.; Niu, B.; Wu, S.; Wooley, J. Ultrafast clustering algorithms for metagenomic sequence analysis. Brief. Bioinform. 2012, 13, 656–668. [Google Scholar] [CrossRef]
- Bokulich, N.A.; Subramanian, S.; Faith, J.J.; Gevers, D.; Gordon, J.I.; Knight, R.; Mills, D.A.; Caporaso, J.G. Quality-filtering vastly improves diversity estimates from Illumina amplicon sequencing. Nat. Methods 2013, 10, 57–59. [Google Scholar] [CrossRef] [PubMed]
- Tedersoo, L.; Bahram, M.; Zinger, L.; Nilsson, R.H.; Kennedy, P.G.; Yang, T.; Anslan, S.; Mikryukov, V. Best practices in metabarcoding of fungi: From experimental design to results. Mol. Ecol. 2022, 31, 2769–2795. [Google Scholar] [CrossRef]
- Somerfield, P.J.; Clarke, K.R.; Gorley, R.N. Analysis of similarities (ANOSIM) for 2-way layouts using a generalised ANOSIM statistic, with comparative notes on Permutational Multivariate Analysis of Variance (PERMANOVA). Austral. Ecol. 2021, 46, 911–926. [Google Scholar] [CrossRef]
- García-Alvarez, A.; Ibañez, J.J. Seasonal fluctuations and crop influence on microbiota and enzyme activity in fully developed soils of central Spain. Arid Soil Res. Rehabil. 1994, 8, 161–178. [Google Scholar] [CrossRef]
- Li, Y.; Adams, J.; Shi, Y.; Wang, H.; He, J.S.; Chu, H. Distinct Soil Microbial Communities in habitats of differing soil water balance on the Tibetan Plateau. Sci Rep. 2017, 7, 46407. [Google Scholar] [CrossRef]
- Heal, O.W.; Anderson, J.M.; Swift, M.J. Plant litter quality and decomposition: An historical overview. In Driven by Nature: Plant Litter Quality and Decomposition; Cadisch, G., Giller, K.E., Eds.; CAB International: Wallingford, UK, 1997. [Google Scholar]
- Davey, M.P.; Berg, B.; Emmett, B.A.; Rowland, P. Decomposition of oak leaf litter is related to initial litter Mn concentrations. Can. J. Bot. 2007, 85, 16–24. [Google Scholar] [CrossRef]
- Sariyildiz, T. Effects of gap-size classes on long-term litter decomposition rates of beech, oak and chestnut species at high elevations in northeast Turkey. Ecosystems 2008, 11, 841–853. [Google Scholar] [CrossRef]
- Ponce, R.A.; Agueda, B.; Agreda, T.; Modrego, M.P.; Aldea, J.; Fernandez-Toiran, L.M.; Martinez-Pena, F. Rockroses and Boletus edulis ectomycorrhizal association: Realized niche and climatic suitability in Spain. Fungal Ecol. 2011, 4, 224–232. [Google Scholar] [CrossRef]
- Qu, Z.; Liu, B.; Ma, Y.; Sun, H. Differences in bacterial community structure and potential functions among Eucalyptus plantations with different ages and species of trees. Appl. Soil Ecol. 2020, 149, 103515. [Google Scholar] [CrossRef]
- Kim, H.S.; Lee, S.H.; Jo, H.Y.; Finneran, K.T.; Kwon, M.J. Diversity and composition of soil Acidobacteria and Proteobacteria communities as a bacterial indicator of past land-use change from forest to farmland. Sci. Total Environ. 2021, 797, 148944. [Google Scholar] [CrossRef] [PubMed]
- Shen, C.; Xiong, J.; Zhang, H.; Feng, Y.; Lin, X.; Li, X.; Liang, W.; Chu, H. Soil pH drives the spatial distribution of bacterial communities along elevation on Changbai Mountain. Soil Biol. Biochem. 2013, 57, 204–211. [Google Scholar] [CrossRef]
- Sikorski, J.; Baumgartner, V.; Birkhofer, K.; Boeddinghaus, R.S.; Bunk, B.; Fischer, M.; Fosel, B.U.; Friedrich, M.W.; Goker, M.; Holzel, N.; et al. The evolution of ecological diversity in Acidobacteria. Front. Microbiol. 2022, 13, 715637. [Google Scholar] [CrossRef]
- Yu, W.Y.; Peng, M.H.; Wang, J.J.; Ye, W.Y.; Li, Y.L.; Zhang, T.; Wang, A.R.; Zhang, D.M.; Wang, Z.H.; Lu, G.D.; et al. Microbial community associated with ectomycorrhizal Russula symbiosis and dominated nature areas in southern China. FEMS Microbiol. Lett. 2021, 368, fnab028. [Google Scholar] [CrossRef] [PubMed]
- Dash, B.; Nayak, S.; Pahari, A.; Nayak, S.K. Verrucomicrobia in soil: An agricultural perspective. In Frontiers in Soil and Environmental Microbiology; CRC Press: Boca Raton, FL, USA, 2020; pp. 37–46. [Google Scholar]
- Ofek, M.; Hadar, Y.; Minz, D. Ecology of Root Colonizing Massilia (Oxalobacteraceae). PLoS ONE 2012, 7, e40117. [Google Scholar] [CrossRef]
- Nasslahsen, B.; Prin, Y.; Ferhout, H.; Smouni, A.; Duponnois, R. Mycorrhizae helper bacteria for managing the mycorrhizal soil infectivity. Front. Soil Sci. 2022, 2, 979246. [Google Scholar] [CrossRef]
- Madhaiyan, M.; Poonguzhali, S.; Lee, J.S.; Senthilkumar, M.; Lee, K.C.; Sundaram, S. Mucilaginibacter gossypii sp. nov. and Mucilaginibacter gossypiicola sp. nov., plant-growth-promoting bacteria isolated from cotton rhizosphere soils. Int. J. Syst. Evol. Microbiol. 2010, 60, 2451–2457. [Google Scholar] [CrossRef]
- Dakora, F.D. Defining new roles for plant and rhizobial molecules in sole and mixed plant cultures involving symbiotic legumes. New Phytol. 2003, 158, 39–49. [Google Scholar] [CrossRef]
- Tanaka, M.; Nara, K. Phylogenetic diversity of non-nodulating Rhizobium associated with pine ectomycorrhizae. FEMS Microbiol. Ecol. 2009, 69, 329–343. [Google Scholar] [CrossRef]
- Ivanova, A.A.; Naumoff, D.G.; Miroshnikov, K.K.; Liesack, W.; Dedysh, S.N. Comparative genomics of four Isosphaeraceae planctomycetes: A common pool of plasmids and glycoside hydrolase genes shared by Paludisphaera borealis PX4T, Isosphaera pallida IS1BT, Singulisphaera acidiphila DSM 18658T, and strain SH-PL62. Front. Microbiol. 2017, 8, 412. [Google Scholar] [CrossRef] [PubMed]
- Halsey, J.A.; de Cássia Pereira e Silva, M.; Andreote, F.D. Bacterial selection by mycospheres of Atlantic Rainforest mushrooms. Antonie Van Leeuwenhoek 2016, 109, 1353–1365. [Google Scholar] [CrossRef] [PubMed]
- Krivtsov, V.; Liddell, K.; Bezginova, T.; Salmond, R.; Staines, H.J.; Watling, R.; Garside, A.; Thompson, J.A.; Griffiths, B.S.; Brendler, A. Forest litter bacteria: Relationships with fungi, microfauna, and litter composition over a winter-spring period. Pol. J. Ecol. 2005, 53, 383–394. [Google Scholar]
- Voříšková, J.; Brabcová, V.; Cajthaml, T.; Baldrian, P. Seasonal dynamics of fungal communities in a temperate oak forest soil. New Phytol. 2014, 201, 269–278. [Google Scholar] [CrossRef]
- Yilmaz, N.; Houbraken, J.; Hoekstra, E.S.; Frisvad, J.C.; Visagie, C.M.; Samson, R.A. Delimitation and characterization of Talaromyces purpurogenus and related species. Persoonia 2012, 29, 39–54. [Google Scholar] [CrossRef]
- Baptista, P.; Reis, F.; Pereira, E.; Tavares, R.M.; Santos, P.M.; Richard, F.; Selosse, M.A.; Lino-Neto, T. Soil DNA pyrosequencing and fruitbody surveys reveal contrasting diversity for various fungal ecological guilds in chestnut orchards. Environ. Microbiol. Rep. 2005, 7, 946–954. [Google Scholar] [CrossRef]
- Hall, I.R.; Yun, W.; Amicucci, A. Cultivation of edible ectomycorrhizal mushrooms. Trends Biotechnol. 2003, 21, 433–438. [Google Scholar] [CrossRef]
- Straker, C. Ericoid mycorrhiza: Ecological and host specificity. Mycorrhiza 1996, 6, 215–225. [Google Scholar] [CrossRef]
- Pellegrino, S.; Bounous, G. Evolution of Amanita caesarea (Scop.: Fr.) Pers. and Boletus edulis Bull.: Fr. synthetic ectomycorrhizae on European chestnut (Castanea sativa Mill.) seedlings under field conditions. In II International Symposium on Chestnut; International Society for Horticultural Science: Leuven, Belgium, 1999; Volume 494, pp. 201–206. [Google Scholar] [CrossRef]
- Barroetaveña, C.; La Manna, L.; Alonso, M.V. Variables affecting Suillus luteus fructification in ponderosa pine plantations of Patagonia (Argentina). For. Ecol. Manag. 2008, 256, 1868–1874. [Google Scholar] [CrossRef]
- Kottke, I.; Oberwinkler, F. Comparative studies on the mycorrhization of Larix decidua and Picea abies by Suillus grevillei. Trees 1988, 2, 115–128. [Google Scholar] [CrossRef]
- Lazarevic, J.S.; Keca, N.D.; Martinovic, A.B. Mycorrhization of containerized Pinus nigra seedlings with Suillus granulatus under open field conditions. For. Syst. 2012, 21, 498–507. [Google Scholar] [CrossRef]
- Paz, A.; Bellanger, J.M.; Lavoise, C.; Molia, A.; Ławrynowicz, M.; Larsson, E.; Ibarguren, I.O.; Jeppson, M.; Læssøe, T.; Sauve, M.; et al. The genus Elaphomyces (Ascomycota, Eurotiales): A ribosomal DNA-based phylogeny and revised systematics of European deer truffles. Persoonia 2017, 38, 197–239. [Google Scholar] [CrossRef]
- Charria-Girón, E.; Surup, F.; Marin-Felix, Y. Diversity of biologically active secondary metabolites in the ascomycete order Sordariales. Mycol. Prog. 2022, 21, 43. [Google Scholar] [CrossRef]
- Diamandis, S.; Perlerou, C. The mycoflora of the chestnut ecosystems in Greece. For. Snow Landsc. Res. 2001, 76, 499–504. [Google Scholar]
- Laganà, A.; Salerni, E.; Barluzzi, C.; Perini, C.; Dominicis, V.D. Macrofungi as long-term indicators of forest health and management in central Italy. Cryptogam. Mycol. 2002, 23, 39–50. [Google Scholar]
- Polemis, E.; Dimou, D.M.; Pountzas, L. Mycodiversity studies in selected ecosystems of Greece: 5. Basidiomycetes associated with woods dominated by Castanea sativa (Nafpactia Mts., central Greece). Mycotaxon 2011, 115, 535. [Google Scholar]
- Ozimek, E.; Hanaka, A. Mortierella Species as the Plant Growth-Promoting Fungi Present in the Agricultural Soils. Agriculture 2021, 11, 7. [Google Scholar] [CrossRef]
- Ozimek, E.; Jaroszuk-Ściseł, J.; Bohacz, J.; Korniłłowicz-Kowalska, T.; Tyśkiewicz, R.; Słomka, A.; Nowak, A.; Hanaka, A. Synthesis of indoleacetic acid, gibberellic acid and ACC-deaminase by Mortierella strains promote winter wheat seedlings growth under different conditions. Int. J. Mol. Sci. 2018, 19, 3218. [Google Scholar] [CrossRef] [PubMed]
- Li, F.; Zhang, S.; Wang, Y.; Li, Y.; Li, P.; Chen, L.; Jie, X.; Hu, D.; Feng, B.; Yue, K.; et al. Rare fungus, Mortierella capitata, promotes crop growth by stimulating primary metabolisms related genes and reshaping rhizosphere bacterial community. Soil Biol. Biochem. 2020, 151, 108017. [Google Scholar] [CrossRef]
- Johnson, D.; IJdo, M.; Genney, D.R.; Anderson, I.C.; Alexander, I.J. How do plants regulate the function, community structure, and diversity of mycorrhizal fungi? J. Exp. Bot. 2005, 56, 1751–1760. [Google Scholar] [CrossRef]
- Agerer, R. Exploration types of ectomycorrhizae: A proposal to classify ectomycorrhizal mycelial systems according to their patterns of differentiation and putative ecological importance. Mycorrhiza 2001, 11, 107–114. [Google Scholar] [CrossRef]
- Mandolini, E.; Bacher, M.; Peintner, U. Ectomycorrhizal communities of adult and young European larch are diverse and dynamics at high altitudinal sites. Plant Soil 2025, 506, 691–707. [Google Scholar] [CrossRef] [PubMed]
- Unuk Nahberger, T.; Kraigher, H.; Grebenc, T. High Spatial but Low Temporal Variability in Ectomycorrhizal Community Composition in Abies alba Forest Stands. Microorganisms 2025, 13, 308. [Google Scholar] [CrossRef] [PubMed]






| Bacteria | |||||
| September/October (22.02%) | September/November (20.06%) | October/November (14.13%) | |||
| Species | Contrib.% | Species | Contrib.% | Species | Contrib.% |
| Edaphobacter | 8.67 | Edaphobacter | 7.94 | Chthoniobacter | 5.59 |
| Acidobacterium | 7.61 | Acidobacterium | 6.80 | Bradyrhizobium | 5.10 |
| Chthoniobacter | 5.18 | Chthoniobacter | 6.28 | Paludibaculum | 4.40 |
| Paludibaculum | 4.80 | Paludibaculum | 5.37 | Acidibacter | 4.22 |
| Aciditerrimonas | 3.40 | Limisphaera | 3.55 | Acidobacterium | 3.70 |
| Bradyrhizobium | 3.19 | Povalibacter | 2.93 | Rhodoplanes | 3.26 |
| Fungi | |||||
| September/October (49.65%) | September/November (54.46%) | October/November (52.53%) | |||
| Species | Contrib.% | Species | Contrib.% | Species | Contrib.% |
| Inocybe renispora | 9.46 | Hydnellum concrescens | 10.81 | Hydnellum concrescens | 12.69 |
| Russula grata | 6.83 | Russula grata | 10.64 | Russula grata | 11.35 |
| Cortinarius sp. | 5.04 | Inocybe renispora | 8.30 | Russula sp. | 8.22 |
| Cortinarius torvus | 4.94 | Russula sp. | 7.25 | Cortinarius sp. | 5.17 |
| Cortinarius diasemospermus | 4.72 | Cortinarius torvus | 4.33 | Cortinarius diasemospermus | 4.83 |
| Russula sp. | 4.16 | Russula virescens | 3.72 | Inocybe renispora | 3.43 |
| Boletus edulis | Boletus reticulatus | ||||||
|---|---|---|---|---|---|---|---|
| Experimental Stand | Sampling Point | September | October | November | September | October | November |
| 1 | 1 | 0 | 2.46 × 10−6 | 2.40 × 10−6 | 6.88 × 10−9 | 2.08 × 10−7 | 3.46 × 10−8 |
| 1 | 2 | 2.36 × 10−7 | 1.19 × 10−6 | 1.23 × 10−6 | 1.16 × 10−9 | 1.75 × 10−8 | 7.16 × 10−9 |
| 1 | 3 | 2.28 × 10−8 | 7.84 × 10−7 | 1.15 × 10−6 | 1.31 × 10−9 | 2.14 × 10−8 | 1.90 × 10−9 |
| 1 | 4 | 3.12 × 10−8 | 5.15 × 10−7 | 1.35 × 10−7 | 1.31 × 10−9 | 6.48 × 10−8 | 3.06 × 10−10 |
| 1 | 5 | 1.05 × 10−7 | 5.94 × 10−7 | 4.33 × 10−7 | 3.18 × 10−10 | 0 | 0 |
| 2 | 1 | 2.31 × 10−7 | 1.42 × 10−6 | 5.05 × 10−6 | 0 | 0 | 8.68 × 10−8 |
| 2 | 2 | 8.60 × 10−7 | 2.01 × 10−6 | 4.63 × 10−6 | 4.36 × 10−8 | 5.20 × 10−9 | 2.18 × 10−10 |
| 2 | 3 | 1.88 × 10−7 | 4.49 × 10−6 | 1.37 × 10−5 | 2.04 × 10−9 | 1.47 × 10−10 | 9.00 × 10−9 |
| 2 | 4 | 3.03 × 10−7 | 2.1 × 10−6 | 5.62 × 10−6 | 0 | 0 | 2.92 × 10−10 |
| 2 | 5 | 1.84 × 10−8 | 1.41 × 10−6 | 8.77 × 10−6 | 1.40 × 10−9 | 6.64 × 10−7 | 0 |
| Mean value per month | 1.99 × 10−7 | 1.69 × 10−6 | 4.31 × 10−6 | 5.80 × 10−9 | 9.81 × 10−8 | 1.40 × 10−8 | |
| Total mean value | B. edulis: 2.07 × 10−6 | B. reticulatus: 3.93 × 10−8 | |||||
| Boletus edulis | Boletus reticulatus | |||||
|---|---|---|---|---|---|---|
| Parameters | September | October | November | September | October | November |
| Mean T (°C) | 0.026 | 0.326 | 0.199 | −0.035 | 0.236 | 0.051 |
| Maximum T (°C) | 0.186 | 0.414 * | 0.324 | 0.010 | 0.171 | −0.180 |
| Minimum T (°C) | −0.023 | 0.207 | 0.274 | −0.083 | 0.289 | 0.049 |
| RH (%) | −0.052 | −0.160 | 0.079 | −0.022 | −0.160 | 0.150 |
| P (mm) | 0.061 | −0.281 | 0.007 | 0.016 | 0.029 | 0.123 |
| PET (mm) | 0.035 | 0.230 | 0.197 | 0.024 | 0.134 | −0.041 |
| WB (mm) | −0.101 | −0.317 | −0.036 | 0.104 | 0.009 | 0.083 |
| Taxon | Boletus edulis | Boletus reticulatus |
|---|---|---|
| Acidobacteria | ||
| Acidobacterium | −0.943 * | −0.771 * |
| Edaphobacter | 0.771 * | 0.600 * |
| Occallatibacter | 0.200 | −0.314 |
| Paludibaculum | −0.771 * | −0.429 |
| Silvibacterium | 0.086 | 0.086 |
| Terracidiphilus | −0.771 * | −0.771 * |
| Terriglobus 1 | −0.029 | −0.493 |
| Vicinamibacter | −0.429 | −0.943 * |
| Actinobacteria | ||
| Aciditerrimonas | −0.886 * | −0.886 * |
| Actinoallomurus | −0.257 | −0.600 * |
| Actinomadura | −0.200 | −0.543 |
| Actinocorallia | −0.486 | −0.829 * |
| Arthrobacter 2 | −0.771 * | −0.771 * |
| Conexibacter 1 | −0.600 * | −0.620 * |
| Gaiella | −0.657 * | −0.657 * |
| Mycobacterium | −0.543 | −0.886 * |
| Solirubrobacter | −0.371 | −0.714 * |
| Streptacidiphilus | −0.986 * | −0.725 * |
| Armatimonadetes | ||
| Fimbriimonas | −0.943 * | −0.600 * |
| Bacteroidetes | ||
| Chryseolinea | 0.486 | 0.143 |
| Flavitalea | −0.841 * | −0.754 * |
| Mucilaginibacter 1 | −0.143 | 0.771 * |
| Puia | −0.771 * | −0.943 * |
| Candidatus Melainabacteria | ||
| Vampirovibrio | 0.471 | 0.557 |
| Chlamydiae | ||
| Candidatus Protochlamydia | −0.371 | −0.371 |
| Neochlamydia | −0.543 | −0.714 * |
| Parachlamydia | −0.516 | 0.213 |
| Simkania | −0.551 | −0.683 * |
| Chloroflexi | ||
| Dehalogenimonas | −0.189 | −0.109 |
| Dictyobacter | −0.246 | −0.572 |
| Ktedonobacter | −0.714 * | −0.546 |
| Thermanaerothrix | 0.551 | 0.464 |
| Thermogemmatispora | −0.143 | −0.314 |
| Thermomarinilinea | 0.464 | 0.029 |
| Thermomicrobium | −0.213 | 0.871 * |
| Thermosporothrix | −0.595 | −0.771 * |
| Firmicutes | ||
| Bacillus 2 | −0.232 | −0.232 |
| Brockia | 0.257 | 0.429 |
| Desulfofundulus | −0.714 * | −0.714 * |
| Desulfotomaculum | −0.657 * | −0.829 * |
| Gelria | −0.657 * | −0.314 |
| Natranaerobaculum | 0.371 | 0.200 |
| Risungbinella | −0.771 * | 1.000 * |
| Thermanaeromonas | 0.200 | 0.371 |
| Thermoflavimicrobium | −0.486 | −0.143 |
| Gemmatimonadetes | ||
| Gemmatimonas 1 | 0.429 | 0.086 |
| Gemmatirosa | −0.429 | −0.771 * |
| Roseisolibacter | −0.257 | −0.600 * |
| Nitrospirae | ||
| Nitrospira | −0.371 | 0.143 |
| Planctomycetes | ||
| Aquisphaera | −0.754 * | −0.928 * |
| Fimbriiglobus | −0.348 | −0.696 * |
| Gemmata | 0.429 | 0.257 |
| Gimesia | −0.116 | −0.377 |
| Limnoglobus | 0.429 | 0.429 |
| Singulisphaera | 0.771 * | 0.600 * |
| Tepidisphaera | −0.829 * | −0.314 |
| Thermostilla | 0.086 | 0.086 |
| Zavarzinella | −0.203 | −0.116 |
| Proteobacteria | ||
| Acidibacter | 0.086 | −0.257 |
| Acidibrevibacterium | −0.486 | −0.829 |
| Aliidongia | −0.314 | −0.314 |
| Azospirillum 1–2 | 0.086 | 0.086 |
| Bradyrhizobium 2 | 0.429 | 0.257 |
| Burkholderia 2 | −0.486 | −0.129 |
| Massilia | 0.771 * | 0.943 * |
| Povalibacter | 0.143 | −0.143 |
| Rhizobium 2 | 0.671 * | 0.743 * |
| Pseudomonas 2 | 0.543 | 0.543 |
| Rhizomicrobium | −0.371 | −0.371 |
| Rhodoplanes | −0.257 | −0.600 * |
| Stella 1 | 0.086 | 0.086 |
| Synergistetes | ||
| Thermanaerovibrio | 0.200 | 0.029 |
| Thaumarchaeota | ||
| Nitrosopumilus | −0.093 | 0.000 |
| Nitrososphaera | 0.928 * | 0.580 |
| Verrucomicrobia | ||
| Chthoniobacter | 0.257 | −0.429 |
| Lacunisphaera | 0.714 * | 0.886 * |
| Limisphaera | 0.314 | 0.314 |
| Opitutus 1 | 0.257 | 0.257 |
| Terrimicrobium | 0.257 | −0.429 |
| Total significant correlations | 24 (30%) | 30 (38%) |
| Total positive significant correlations | 6 | 8 |
| Total negative significant correlations | 18 | 22 |
| Boletus edulis | Boletus reticulatus | |
|---|---|---|
| Taxon | Ascomycota | |
| Acidomelania panicicola | −0.338 | 0.068 |
| Alternaria alternata | 0.068 | −0.034 |
| Anthracobia melaloma | −0.131 | −0.655 |
| Unidentified Ascomycota | −0.543 | −0.886 * |
| Aspergillus sp. | −0.135 | 0.270 |
| Aspergillus fumigatus | −0.414 | −0.414 |
| Aspergillus niger | 0.486 | 0.314 |
| Cenococcum geophilum | −0.621 | −0.828 * |
| Cladophialophora sp.1 | 0.371 | 0.371 |
| Unidentified Chaetotriales | −0.152 | 0.395 |
| Chalara sp. | 0.655 | 0.131 |
| Cladophialophora sp.1 | 0.371 | 0.371 |
| Cladophialophora sp.2 | −0.600 | −0.600 |
| Coniella sp. | −0.698 * | −0.152 |
| Coniochaeta sp. | −0.143 | 0.029 |
| Cyclaneusma minus | −0.778 * | −0.372 |
| Cyphellophora sp. | −0.131 | −0.655 |
| Diaporthe sp. | −0.393 | −0.131 |
| Diplogelasinospora | 0.522 | 0.174 |
| Elaphomyces | −0.086 | 0.600 * |
| Eurotiales | −0.371 | −0.371 |
| Fusarium sp. | −0.655 | −0.371 |
| Unidentified Helotiales | −0.143 | 0.200 |
| Unidentified Hypocreales | 0.116 | 0.203 |
| Meliniomyces sp. | −0.030 | 0.152 |
| Metapochonia sp. | 0.551 | 0.464 |
| Metapochonia bulbillosa | −0.314 | −0.657 |
| Metarhizium anisopliae | −0.551 | −0.464 |
| Metarhizium flavoviride | −0.338 | 0.068 |
| Oidiodendron sp. | −0.371 | −0.371 |
| Oidiodendron myxotrichoides | −0.845 * | −0.439 |
| Parateratosphaeria | −0.135 | 0.270 |
| Penicillium sp. | −0.257 | 0.086 |
| Pezicula sp. | −0.406 | 0.290 |
| Pyrenochaeta | 0.101 | 0.507 |
| Unidentified Sordariales | 0.759 | 0.941 * |
| Sporothrix inflata | −0.429 | 0.086 |
| Talaromyces leycettanus | 0.679 * | 0.586 |
| Trichoderma hamatum | −0.714 * | −0.543 |
| Basidiomycota | ||
| Unidentified Agaricales | 0.257 | 0.257 |
| Unidentified Agaromycetes | −0.655 | −0.393 |
| Amanita sp.1 | −0.257 | 0.257 |
| Amanita sp.2 | 0.455 | −0.372 |
| Amanita sp.3 | 0.455 | −0.091 |
| Amanita alboflavescens | −0.371 | −0.371 |
| Amanita ceciliae | 0.388 | 0.034 |
| Amanita fulva | 0.455 | −0.091 |
| Amanita gemmata | 0.741 * | 0.439 |
| Astraeus sp. | 0.393 | 0.655 * |
| Buckleyzyma sp. | −0.131 | −0.655 * |
| Byssocorticium sp. | 0.086 | 0.429 |
| Clavaria sp. | 0.655 * | 0.131 |
| Clitopilus prunulus | −0.655 * | −0.393 |
| Cortinarius sp. | 0.200 | 0.543 |
| Cortinarius croceus | −0.507 | −0.101 |
| Cortinarius diasemospermus | 0.087 | 0.522 |
| Cortinarius purpurascens | −0.755 * | −0.393 |
| Cortinarius torvus | 0.152 | 0.334 |
| Cryptococcus sp. | 0.131 | 0.393 |
| Cutaneotrichosporon sp. | −0.655 * | −0.393 |
| Entoloma sp. | 0.393 | 0.655 * |
| Exobasidium maculosum | 0.655 | −0.393 |
| Galerina sp. | −0.131 | −0.655 * |
| Geminibasidium sp. | 0.314 | −0.200 |
| Gymnopilus penetrans | −0.304 | 0.101 |
| Hydnellum concrescens | −0.372 | −0.676 * |
| Hygrophoropsis aurantiaca | −0.655 * | −0.393 |
| Hypholoma sp. | −0.135 | 0.270 |
| Inocybe sp.1 | 0.338 | 0.034 |
| Inocybe sp.2 | 0.845 * | 0.541 |
| Inocybe krieglsteineri | 0.030 | 0.577 |
| Inocybe renispora | 0.273 | −0.273 |
| Inocybe striaepes | 0.131 | 0.393 |
| Lyophyllum shimeji | −0.439 | −0.541 |
| Microstroma sp. | 0.101 | 0.507 |
| Mycena sp. | −0.655 * | −0.393 |
| Pholiota highlandensis | −0.131 | −0.655 * |
| Rhizopogon sp. | −0.393 | −0.131 |
| Russula sp.1 | 0.200 | −0.314 |
| Russula sp.2 | 0.038 | 0.034 |
| Russula cyanoxantha | 0.638 | 0.638 |
| Russula densifolia | 0.655 | 0.131 |
| Russula grata | 0.143 | −0.543 |
| Russula parazurea | −0.655 | −0.393 |
| Russula violeipes | −0.131 | −0.655 |
| Russula virescens | −0.943 * | −0.429 |
| Sarcodon sp. | −0.393 | −0.131 |
| Scleroderma citrinum | 0.889 * | 0.395 |
| Scleroderma polyrhizum | −0.393 | −0.131 |
| Scytinostroma | −0.655 * | −0.393 |
| Unidentified Sebacinaceae | 0.638 | 0.638 |
| Sistotrema sp. | −0.068 | 0.338 |
| Solicoccozyma sp. | −0.655 * | −0.393 |
| Spencerozyma | −0.213 | −0.030 |
| Suillus sp. | 0.655 * | 0.131 |
| Thelephora sp. | −0.232 | −0.145 |
| Unidentified Thelephoraceae | 0.273 | 0.273 |
| Tomentella sp. | −0.395 | −0.577 |
| Tomentella botryoides | −0.600 | −0.943 * |
| Tomentellopsis sp. | −0.200 | −0.029 |
| Trichoderma hamatum | −0.714 | −0.543 |
| Tricholoma saponaceum | −0.638 * | −0.551 |
| Trichosporon sp. | −0.655 * | −0.393 |
| Xenasmatella sp. | −0.030 | 0.152 |
| Mortierellomycota | ||
| Mortierella sp. | 0.714 * | 0.714 * |
| Mucoromycota | ||
| Umbellopsis sp. | −0.086 | 0.257 |
| Gongronella sp. | −0.516 | 0.030 |
| Total significant correlations | 21 (20%) | 12 (11%) |
| Total positive significant correlations | 7 | 5 |
| Total negative significant correlations | 14 | 7 |
Disclaimer/Publisher’s Note: The statements, opinions and data contained in all publications are solely those of the individual author(s) and contributor(s) and not of MDPI and/or the editor(s). MDPI and/or the editor(s) disclaim responsibility for any injury to people or property resulting from any ideas, methods, instructions or products referred to in the content. |
© 2025 by the authors. Licensee MDPI, Basel, Switzerland. This article is an open access article distributed under the terms and conditions of the Creative Commons Attribution (CC BY) license (https://creativecommons.org/licenses/by/4.0/).
Share and Cite
Santolamazza-Carbone, S.; Iglesias-Bernabé, L.; Benito-Rueda, E.; Barreal, E.; Gallego, P.P. Metabarcoding Unveils Seasonal Soil Microbiota Shifts and Their Influence on Boletus edulis and Boletus reticulatus Mycelium in Quercus robur Stands. Microorganisms 2025, 13, 2196. https://doi.org/10.3390/microorganisms13092196
Santolamazza-Carbone S, Iglesias-Bernabé L, Benito-Rueda E, Barreal E, Gallego PP. Metabarcoding Unveils Seasonal Soil Microbiota Shifts and Their Influence on Boletus edulis and Boletus reticulatus Mycelium in Quercus robur Stands. Microorganisms. 2025; 13(9):2196. https://doi.org/10.3390/microorganisms13092196
Chicago/Turabian StyleSantolamazza-Carbone, Serena, Laura Iglesias-Bernabé, Elena Benito-Rueda, Esther Barreal, and Pedro Pablo Gallego. 2025. "Metabarcoding Unveils Seasonal Soil Microbiota Shifts and Their Influence on Boletus edulis and Boletus reticulatus Mycelium in Quercus robur Stands" Microorganisms 13, no. 9: 2196. https://doi.org/10.3390/microorganisms13092196
APA StyleSantolamazza-Carbone, S., Iglesias-Bernabé, L., Benito-Rueda, E., Barreal, E., & Gallego, P. P. (2025). Metabarcoding Unveils Seasonal Soil Microbiota Shifts and Their Influence on Boletus edulis and Boletus reticulatus Mycelium in Quercus robur Stands. Microorganisms, 13(9), 2196. https://doi.org/10.3390/microorganisms13092196

