Differences in Non-Pathogenic Lung-Colonizing Bacteria Among Patients with Different Types of Pneumonia: A Retrospective Study
Abstract
1. Introduction
2. Materials and Methods
2.1. Ethics Approval and Consent to Participate
2.2. Patient Cohort and Study Design
2.3. Definitions
2.4. Collection of BALF
2.5. Cytokine Level Measurement
2.6. Nucleic Acid Extraction, Library Preparation, and Sequencing
2.7. Bioinformatic Analyses
2.8. Data Collection
2.9. Quantification and Statistical Analysis
3. Results
3.1. Baseline Characteristics of All Patients
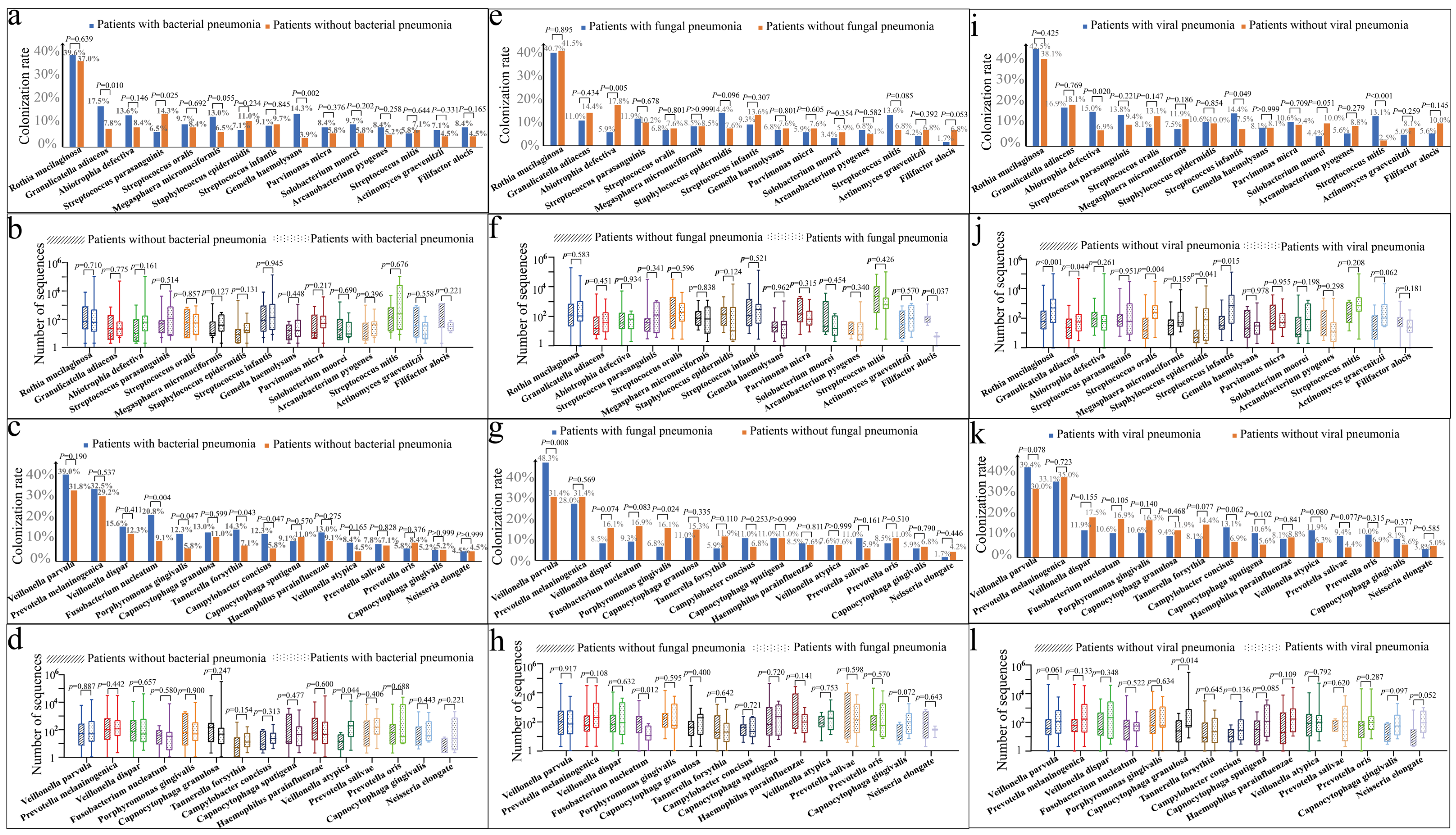
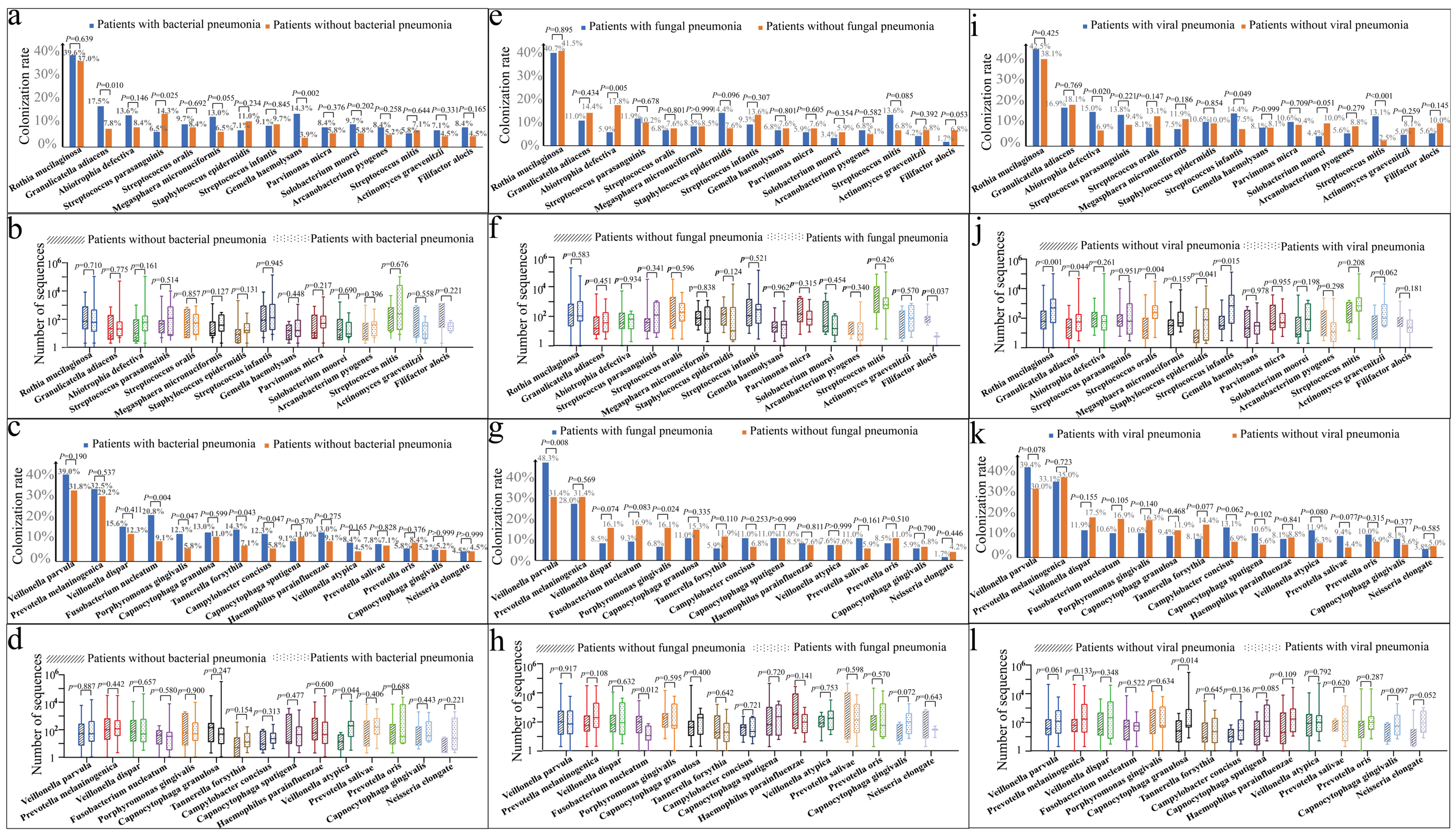
3.2. Differences in Non-Pathogenic Bacterial Flora Colonizing the Lungs Between Patients with and Those Without Bacterial Pneumonia
3.3. Differences in Non-Pathogenic Bacterial Flora Colonizing the Lungs Between Patients with and Those Without Fungal Pneumonia
3.4. Differences in Non-Pathogenic Bacterial Flora Colonizing the Lungs Between Patients with and Those Without Viral Pneumonia
3.5. Impact of Rothia Mucilaginosa Colonization in Patients with Pneumonia
3.6. Impact of Veillonella Parvula Colonization in Patients with Pneumonia
3.7. Impact of Prevotella Melaninogenica Colonization in Patients with Pneumonia
3.8. Correlations Among Non-Pathogenic Colonizing Bacteria and Cytokine Levels
3.9. Comparison of Microbial Diversity of Non-Pathogenic Lung-Colonizing Bacteria in Patients with Different Types of Pneumonia
4. Discussion
Limitations of the Study
5. Conclusions
Supplementary Materials
Author Contributions
Funding
Institutional Review Board Statement
Informed Consent Statement
Data Availability Statement
Conflicts of Interest
Abbreviations
| BALF | Bronchoalveolar lavage fluid |
| IFN | Interferon |
| ICU | Intensive care unit |
| mNGS | Metagenomic next-generation sequencing |
| PSM | Propensity score matching |
| MODS | Multiple organ dysfunction syndrome |
| NTC | Non-template control |
| RPM | Reads per million |
| IQR | Interquartile range |
| CHD | Coronary heart disease |
| COPD | Chronic obstructive pulmonary disease |
| ACE | Abundance-based coverage estimator |
References
- Ramirez, J.A.; Wiemken, T.L.; Peyrani, P.; Arnold, F.W.; Kelley, R.; Mattingly, W.A.; Nakamatsu, R.; Pena, S.; Guinn, B.E.; Furmanek, S.P.; et al. Adults hospitalized with pneumonia in the United States: Incidence, epidemiology, and mortality. Clin. Infect. Dis. 2017, 65, 1806–1812. [Google Scholar] [CrossRef]
- Fan, G.; Zhou, Y.; Zhou, F.; Yu, Z.; Gu, X.; Zhang, X.; Liu, Z.; Zhou, M.; Cao, B. The mortality and years of life lost for community-acquired pneumonia before and during COVID-19 pandemic in China. Lancet Reg. Health West. Pac. 2024, 42, 100968. [Google Scholar] [CrossRef] [PubMed]
- Azoulay, E.; Russell, L.; Van de Louw, A.; Metaxa, V.; Bauer, P.; Povoa, P.; Montero, J.G.; Loeches, I.M.; Mehta, S.; Puxty, K.; et al. Diagnosis of severe respiratory infections in immunocompromised patients. Intensive Care Med. 2020, 46, 298–314. [Google Scholar] [CrossRef]
- Seo, S.; Renaud, C.; Kuypers, J.M.; Chiu, C.Y.; Huang, M.L.; Samayoa, E.; Xie, H.; Yu, G.; Fisher, C.E.; Gooley, T.A.; et al. Idiopathic pneumonia syndrome after hematopoietic cell transplantation: Evidence of occult infectious etiologies. Blood 2015, 125, 3789–3797. [Google Scholar] [CrossRef]
- Filkins, L.M.; Bryson, A.L.; Miller, S.A.; Mitchell, S.L. Navigating clinical utilization of direct-from-specimen metagenomic pathogen detection: Clinical applications, limitations, and testing recommendations. Clin. Chem. 2020, 66, 1381–1395. [Google Scholar] [CrossRef]
- Toma, I.; Siegel, M.O.; Keiser, J.; Yakovleva, A.; Kim, A.; Davenport, L.; Devaney, J.; Hoffman, E.P.; Alsubail, R.; Crandall, K.A.; et al. Single-molecule long-read 16S sequencing to characterize the lung microbiome from mechanically ventilated patients with suspected pneumonia. J. Clin. Microbiol. 2014, 52, 3913–3921. [Google Scholar] [CrossRef]
- Shenoy, M.K.; Iwai, S.; Lin, D.L.; Worodria, W.; Ayakaka, I.; Byanyima, P.; Kaswabuli, S.; Fong, S.; Stone, S.; Chang, E.; et al. Immune response and mortality risk relate to distinct lung microbiomes in patients with HIV and pneumonia. Am. J. Respir. Crit. Care Med. 2017, 195, 104–114. [Google Scholar] [CrossRef]
- Langelier, C.; Kalantar, K.L.; Moazed, F.; Wilson, M.R.; Crawford, E.D.; Deiss, T.; Belzer, A.; Bolourchi, S.; Caldera, S.; Fung, M.; et al. Integrating host response and unbiased microbe detection for lower respiratory tract infection diagnosis in critically ill adults. Proc. Natl Acad. Sci. USA 2018, 115, E12353–E12362. [Google Scholar] [CrossRef]
- Pendleton, K.M.; Erb-Downward, J.R.; Bao, Y.; Branton, W.R.; Falkowski, N.R.; Newton, D.W.; Huffnagle, G.B.; Dickson, R.P. Rapid pathogen identification in bacterial pneumonia using real-time metagenomics. Am. J. Respir. Crit. Care Med. 2017, 196, 1610–1612. [Google Scholar] [CrossRef] [PubMed]
- Dickson, R.P.; Erb-Downward, J.R.; Martinez, F.J.; Huffnagle, G.B. The microbiome and the respiratory tract. Annu. Rev. Physiol. 2016, 78, 481–504. [Google Scholar] [CrossRef] [PubMed]
- Natalini, J.G.; Singh, S.; Segal, L.N. The dynamic lung microbiome in health and disease. Nat. Rev. Microbiol. 2023, 21, 222–235. [Google Scholar] [CrossRef] [PubMed]
- O’Dwyer, D.N.; Zhou, X.; Wilke, C.A.; Xia, M.; Falkowski, N.R.; Norman, K.C.; Arnold, K.B.; Huffnagle, G.B.; Murray, S.; Erb-Downward, J.R.; et al. Lung dysbiosis, inflammation, and injury in hematopoietic cell transplantation. Am. J. Respir. Crit. Care Med. 2018, 198, 1312–1321. [Google Scholar] [CrossRef]
- Segal, L.N.; Clemente, J.C.; Tsay, J.C.J.; Koralov, S.B.; Keller, B.C.; Wu, B.G.; Li, Y.; Shen, N.; Ghedin, E.; Morris, A.; et al. Enrichment of the lung microbiome with oral taxa is associated with lung inflammation of a Th17 phenotype. Nat. Microbiol. 2016, 1, 16031. [Google Scholar] [CrossRef] [PubMed]
- Chen, H.; Zhan, M.; Liu, S.; Balloux, F.; Wang, H. Unraveling the potential of metagenomic next-generation sequencing in infectious disease diagnosis: Challenges and prospects. Sci. Bull. 2024, 69, 1586–1589. [Google Scholar] [CrossRef]
- Rodino, K.G.; Simner, P.J. Status check: Next-generation sequencing for infectious-disease diagnostics. J. Clin. Investig. 2024, 134, e178003. [Google Scholar] [CrossRef]
- Jiang, L.; Han, L.; Zhong, Y.; Zhang, M.; Li, J.; Rao, G.; Xiang, S. High utility of bronchoalveolar lavage fluid metagenomic next-generation sequencing approach for etiological diagnosis of pneumonia. BMC Infect. Dis. 2024, 24, 1232. [Google Scholar] [CrossRef]
- Shi, Y.; Peng, J.M.; Hu, X.Y.; Yang, Q.W.; Wang, Y. Metagenomic next-generation sequencing for detecting aspergillosis pneumonia in immunocompromised patients: A retrospective study. Front. Cell. Infect. Microbiol. 2023, 13, 1209724. [Google Scholar] [CrossRef] [PubMed]
- Amar, Y.; Lagkouvardos, I.; Silva, R.L.; Ishola, O.A.; Foesel, B.U.; Kublik, S.; Schöler, A.; Niedermeier, S.; Bleuel, R.; Zink, A.; et al. Pre-digest of unprotected DNA by benzonase improves the representation of living skin bacteria and efficiently depletes host DNA. Microbiome 2021, 9, 123. [Google Scholar] [CrossRef]
- Zhu, N.; Zhou, D.; Xiong, W.; Zhang, X.; Li, S. Performance of mNGS in bronchoalveolar lavage fluid for the diagnosis of invasive pulmonary aspergillosis in non-neutropenic patients. Front. Cell. Infect. Microbiol. 2023, 13, 1271853. [Google Scholar] [CrossRef]
- Miller, S.; Naccache, S.N.; Samayoa, E.; Messacar, K.; Arevalo, S.; Federman, S.; Stryke, D.; Pham, E.; Fung, B.; Bolosky, W.J.; et al. Laboratory validation of a clinical metagenomic sequencing assay for pathogen detection in cerebrospinal fluid. Genome Res. 2019, 29, 831–842. [Google Scholar] [CrossRef]
- Li, H.; Gao, H.; Meng, H.; Wang, Q.; Li, S.; Chen, H.; Li, Y.; Wang, H. Detection of pulmonary infectious pathogens from lung biopsy tissues by metagenomic next-generation sequencing. Front. Cell. Infect. Microbiol. 2018, 8, 205. [Google Scholar] [CrossRef]
- Xu, Y.; Kang, L.; Shen, Z.; Li, X.; Wu, W.; Ma, W.; Fang, C.; Yang, F.; Jiang, X.; Gong, S.; et al. Dynamics of severe acute respiratory syndrome coronavirus 2 genome variants in the feces during convalescence. J. Genet. Genom. 2020, 47, 610–617. [Google Scholar] [CrossRef] [PubMed]
- Bolger, A.M.; Lohse, M.; Usadel, B. Trimmomatic: A flexible trimmer for Illumina sequence data. Bioinformatics 2014, 30, 2114–2120. [Google Scholar] [CrossRef] [PubMed]
- Li, H.; Durbin, R. Fast and accurate short read alignment with burrows-wheeler transform. Bioinformatics 2009, 25, 1754–1760. [Google Scholar] [CrossRef]
- Zhang, X.; Chen, H.; Han, D.; Wu, W. Clinical usefulness of metagenomic next-generation sequencing for Rickettsia and Coxiella burnetii diagnosis. Eur. J. Clin. Microbiol. Infect. Dis. 2023, 42, 681–689. [Google Scholar] [CrossRef]
- Hu, C.Y.; Cui, W.S.; Lei, Y.; Tang, Y.W.; Zhang, Y.Y.; Su, Q.M.; Peng, F.; Zeng, Y.F.; Song, J.L.; Luo, C.N.; et al. Comparison of azvudine and nirmatrelvir/ritonavir and combined use in patients with COVID-19. Infect. Drug Resist. 2023, 16, 7797–7808. [Google Scholar] [CrossRef]
- Li, Y.; Fu, X.; Ma, J.; Zhang, J.; Hu, Y.; Dong, W.; Wan, Z.; Li, Q.; Kuang, Y.Q.; Lan, K.; et al. Altered respiratory virome and serum cytokine profile associated with recurrent respiratory tract infections in children. Nat. Commun. 2019, 10, 2288. [Google Scholar] [CrossRef]
- Cheng, C.; Wang, Z.; Wang, J.; Ding, C.; Sun, C.; Liu, P.; Xu, X.; Liu, Y.; Chen, B.; Gu, B. Characterization of the lung microbiome and exploration of potential bacterial biomarkers for lung cancer. Transl. Lung Cancer Res. 2020, 9, 693–704. [Google Scholar] [CrossRef]
- Checinska, A.; Probst, A.J.; Vaishampayan, P.; White, J.R.; Kumar, D.; Stepanov, V.G.; Fox, G.E.; Nilsson, H.R.; Pierson, D.L.; Perry, J.; et al. Microbiomes of the dust particles collected from the international space station and spacecraft assembly facilities. Microbiome 2015, 3, 50. [Google Scholar] [CrossRef] [PubMed]
- Zhang, Y.J.; Yang, W.J.; Liu, D.; Cao, Y.Q.; Zheng, Y.Y.; Han, Y.C.; Jin, R.S.; Han, Y.; Wang, X.Y.; Pan, A.S.; et al. COVID-19 and early-stage lung cancer both featuring ground-glass opacities: A propensity score-matched study. Transl. Lung Cancer Res. 2020, 9, 1516–1527. [Google Scholar] [CrossRef]
- Yang, Q.; Zhou, Y.; Wang, X.; Gao, S.; Xiao, Y.; Zhang, W.; Hu, Y.; Wang, Y. Effect of hypertension on outcomes of adult inpatients with COVID-19 in Wuhan, China: A propensity score-matching analysis. Respir. Res. 2020, 21, 172. [Google Scholar] [CrossRef]
- Zimmermann, A.; Knecht, H.; Häsler, R.; Zissel, G.; Gaede, K.I.; Hofmann, S.; Nebel, A.; Müller-Quernheim, J.; Schreiber, S.; Fischer, A. Atopobium and fusobacterium as novel candidates for sarcoidosis-associated microbiota. Eur. Respir. J. 2017, 50, 1600746. [Google Scholar] [CrossRef]
- Jin, H.; Hu, G.; Sun, C.; Duan, Y.; Zhang, Z.; Liu, Z.; Zhao, X.M.; Chen, W.H. mBodyMap: A curated database for microbes across human body and their associations with health and diseases. Nucleic Acids Res. 2022, 50, D808–D816. [Google Scholar] [CrossRef] [PubMed]
- Erb-Downward, J.R.; Thompson, D.L.; Han, M.K.; Freeman, C.M.; McCloskey, L.; Schmidt, L.A.; Young, V.B.; Toews, G.B.; Curtis, J.L.; Sundaram, B.; et al. Analysis of the lung microbiome in the “healthy” smoker and in COPD. PLoS ONE 2011, 6, e16384. [Google Scholar] [CrossRef] [PubMed]
- Zhao, J.; Schloss, P.D.; Kalikin, L.M.; Carmody, L.A.; Foster, B.K.; Petrosino, J.F.; Cavalcoli, J.D.; VanDevanter, D.R.; Murray, S.; Li, J.Z.; et al. Decade-long bacterial community dynamics in cystic fibrosis airways. Proc. Natl Acad. Sci. USA 2012, 109, 5809–5814. [Google Scholar] [CrossRef] [PubMed]
- Morris, A.; Beck, J.M.; Schloss, P.D.; Campbell, T.B.; Crothers, K.; Curtis, J.L.; Flores, S.C.; Fontenot, A.P.; Ghedin, E.; Huang, L.; et al. Comparison of the respiratory microbiome in healthy nonsmokers and smokers. Am. J. Respir. Crit. Care Med. 2013, 187, 1067–1075. [Google Scholar] [CrossRef]
- Wypych, T.P.; Wickramasinghe, L.C.; Marsland, B.J. The influence of the microbiome on respiratory health. Nat. Immunol. 2019, 20, 1279–1290. [Google Scholar] [CrossRef]
- Rogers, G.B.; Zain, N.M.M.; Bruce, K.D.; Burr, L.D.; Chen, A.C.; Rivett, D.W.; McGuckin, M.A.; Serisier, D.J. A novel microbiota stratification system predicts future exacerbations in bronchiectasis. Ann. Am. Thorac. Soc. 2014, 11, 496–503. [Google Scholar] [CrossRef]
- Goto, T. Microbiota and lung cancer. Semin. Cancer Biol. 2022, 86, 1–10. [Google Scholar] [CrossRef]
- Charlson, E.S.; Diamond, J.M.; Bittinger, K.; Fitzgerald, A.S.; Yadav, A.; Haas, A.R.; Bushman, F.D.; Collman, R.G. Lung-enriched organisms and aberrant bacterial and fungal respiratory microbiota after lung transplant. Am. J. Respir. Crit. Care Med. 2012, 186, 536–545. [Google Scholar] [CrossRef]
- Fodor, A.A.; Klem, E.R.; Gilpin, D.F.; Elborn, J.S.; Boucher, R.C.; Tunney, M.M.; Wolfgang, M.C. The adult cystic fibrosis airway microbiota is stable over time and infection type, and highly resilient to antibiotic treatment of exacerbations. PLoS ONE 2012, 7, e45001. [Google Scholar] [CrossRef] [PubMed]
- Salk, H.M.; Simon, W.L.; Lambert, N.D.; Kennedy, R.B.; Grill, D.E.; Kabat, B.F.; Poland, G.A. Taxa of the nasal microbiome are associated with influenza-specific IgA response to live attenuated influenza vaccine. PLoS ONE 2016, 11, e0162803. [Google Scholar] [CrossRef]
- Hilty, M.; Burke, C.; Pedro, H.; Cardenas, P.; Bush, A.; Bossley, C.; Davies, J.; Ervine, A.; Poulter, L.; Pachter, L.; et al. Disordered microbial communities in asthmatic airways. PLoS ONE 2010, 5, e8578. [Google Scholar] [CrossRef]
- Perea, L.; Bottier, M.; Cant, E.; Richardson, H.; Dicker, A.J.; Shuttleworth, M.; Giam, Y.H.; Abo-Leyah, H.; Finch, S.; Huang, J.T.J.; et al. Airway IL-1β is related to disease severity and mucociliary function in bronchiectasis. Eur. Respir. J. 2024, 64, 2301966. [Google Scholar] [CrossRef] [PubMed]
- Thorsen, J.; Rasmussen, M.A.; Waage, J.; Mortensen, M.; Brejnrod, A.; Bønnelykke, K.; Chawes, B.L.; Brix, S.; Sørensen, S.J.; Stokholm, J.; et al. Infant airway microbiota and topical immune perturbations in the origins of childhood asthma. Nat. Commun. 2019, 10, 5001. [Google Scholar] [CrossRef] [PubMed]







| Before PSM | After PSM | |||||
|---|---|---|---|---|---|---|
| Characteristics | Patients with Rothia mucilaginosa Colonization (n = 195) | Patients Without Rothia mucilaginosa Colonization (n = 288) | p-Value | Patients with Rothia mucilaginosa Colonization (n = 175) | Patients Without Rothia mucilaginosa Colonization (n = 175) | Adjusted p-Value |
| Age, years | 63 (51–70) | 63 (48–71) | 0.945 | 63 (50–69) | 61 (48–71) | 0.894 |
| Sex (men) | 133 (68.2%) | 165 (57.3%) | 0.015 | 116 (66.3%) | 114 (65.1%) | 0.822 |
| Comorbidities | ||||||
| Hypertension | 44 (22.6%) | 83 (28.8%) | 0.125 | 38 (21.7%) | 38 (21.7%) | >0.999 |
| Diabetes | 32 (16.4%) | 58 (20.1%) | <0.001 | 28 (16.0%) | 27 (15.4%) | 0.883 |
| CHD | 10 (5.1%) | 26 (9.0%) | 0.109 | 7 (4.0%) | 5 (2.9%) | 0.557 |
| COPD | 28 (14.4%) | 35 (12.2%) | 0.480 | 23 (13.1%) | 23 (13.1%) | >0.999 |
| Pneumonia | ||||||
| Bacterial pneumonia | 135 (69.2%) | 186 (64.6%) | 0.288 | 118 (67.4%) | 119 (68.0%) | 0.909 |
| Fungal pneumonia | 49 (25.1%) | 72 (25.0%) | 0.975 | 40 (22.9%) | 40 (22.9%) | >0.999 |
| Viral pneumonia | 71 (36.4%) | 97 (33.7%) | 0.537 | 65 (37.1%) | 63 (36.0%) | 0.824 |
| Antibiotic use | ||||||
| Cumulative type of antibiotic use | 2 (1–3) | 2 (1–4) | 0.001 | 2 (1–3) | 2 (1–3) | 0.615 |
| Cumulative antibiotic use time | 8 (6–13) | 10 (7–15) | 0.022 | 8 (6–12) | 9 (6–13) | 0.629 |
| Disease severity | ||||||
| Severe pneumonia | 26 (13.3%) | 47 (16.3) | 0.369 | 17 (9.7%) | 17 (9.7%) | >0.999 |
| Laboratory results | ||||||
| WBC (109/L) | 7.81 (6.03–9.53) | 7.41 (5.84–10.16) | 0.830 | 7.67 (5.96–9.46) | 7.42 (5.82–10.18) | 0.786 |
| LY (109/L) | 1.43 (0.98–2.00) | 1.48 (1.01–2.00) | 0.705 | 1.46 (1.01–2.02) | 1.49 (1.05–2.00) | 0.931 |
| Mono (109/L) | 0.55 (0.42–0.77) | 0.53 (0.38–0.74) | 0.296 | 0.54 (0.42–0.76) | 0.53 (0.39–0.74) | 0.423 |
| NE (109/L) | 5.47 (3.73–7.17) | 5.21 (3.42–7.91) | 0.944 | 5.28 (3.60–7.00) | 5.05 (3.39–7.59) | 0.631 |
| TD (μmol/L) | 10.4 (8.1–14.1) | 10.5 (8.1–13.5) | 0.674 | 10.4 (8.4–13.8) | 10.40 (8.10–13.50) | 0.725 |
| Cr (μmol/L) | 73 (62–90) | 69 (57–87) | 0.023 | 73 (62–89) | 72 (57–89) | 0.299 |
| AST (U/L) | 22 (17–26) | 21 (17–28) | 0.933 | 21 (17–25) | 20 (17–26) | 0.720 |
| ALT (U/L) | 16 (11–26) | 16 (11–27) | 0.744 | 16 (11–25) | 16 (10–24) | 0.740 |
| DD (μmol/L) | 2.0 (1.6–2.8) | 2.0 (1.6–2.7) | 0.983 | 2.0 (1.6–2.8) | 2.0 (1.5–2.7) | 0.924 |
| ID (μmol/L) | 8.2 (6.5–11.5) | 8.5 (6.5–10.9) | 0.681 | 8.2 (6.6–11.4) | 8.5 (6.4–11) | 0.868 |
| ALB (g/L) | 36.0 (32.5–38.9) | 34.8 (30.8–38.7) | 0.045 | 36.3 (33.2–38.9) | 35.2 (31.0–38.9) | 0.143 |
| CK-MB (ng/mL) | 10 (2–15) | 10 (3–15) | 0.661 | 10 (3–15) | 10 (3–15) | 0.887 |
| cTnI-HS (ng/mL) | 0.004 (0.003–0.009) | 0.006 (0.003–0.011) | 0.059 | 0.004 (0.002–0.008) | 0.005 (0.003–0.009) | 0.070 |
| IL-2 (pg/mL) | 0.34 (0.01–0.96) | 0.40 (0.01–1.00) | 0.609 | 0.42 (0.01–1.01) | 0.35 (0.01–0.99) | 0.786 |
| IL-4 (pg/mL) | 0.30 (0.01–0.64) | 0.25 (0.01–0.63) | 0.594 | 0.33 (0.01–0.64) | 0.26 (0.01–0.64) | 0.663 |
| IL-6 (pg/mL) | 70.21 (11.88–193.82) | 83.80 (13.59–220.89) | 0.525 | 70.21 (11.51–190.29) | 93.79 (15.58–257.28) | 0.173 |
| IL-10 (pg/mL) | 8.51 (2.47–39.36) | 9.05 (2.40–35.15) | 0.924 | 7.97 (2.45–39.36) | 9.31 (2.31–36.38) | 0.855 |
| TNF-α (pg/mL) | 1.65 (0.01–6.86) | 1.08 (0.01–6.03) | 0.435 | 2.04 (0.01–7.72) | 1.81 (0.01–7.07) | 0.516 |
| IFN-γ (pg/mL) | 1.91 (0.01–6.98) | 1.58 (0.01–7.52) | 0.886 | 2.08 (0.01–7.07) | 1.85 (0.01–7.36) | 0.986 |
| Before PSM | After PSM | |||||
|---|---|---|---|---|---|---|
| Characteristics | Patients with Veillonella parvula Colonization (n = 165) | Patients Without Veillonella parvula Colonization (n = 318) | p-Value | Patients with Veillonella parvula Colonization (n = 164) | Patients Without Veillonella parvula Colonization (n = 164) | Adjusted p-Value |
| Age, years | 65 (54–73) | 61 (48–69) | 0.005 | 65 (54–73) | 64 (52–71) | 0.380 |
| Sex (men) | 106 (64.2%) | 192 (60.4%) | 0.407 | 106 (64.6%) | 108 (65.9%) | 0.817 |
| Comorbidities | ||||||
| Hypertension | 49 (29.7%) | 78 (24.5%) | 0.221 | 48 (29.3%) | 46 (28.0%) | 0.807 |
| Diabetes | 40 (24.2%) | 50 (15.7%) | 0.023 | 39 (23.8%) | 32 (19.5%) | 0.348 |
| CHD | 17 (10.3%) | 19 (6.0%) | 0.086 | 17 (10.4%) | 15 (9.1%) | 0.710 |
| COPD | 23 (13.9%) | 40 (12.6%) | 0.674 | 23 (14.0%) | 20 (12.2%) | 0.624 |
| Pneumonia | ||||||
| Bacterial pneumonia | 113 (68.5%) | 208 (65.4%) | 0.497 | 112 (68.3%) | 119 (72.6%) | 0.397 |
| Fungal pneumonia | 57 (34.5%) | 64 (20.1%) | 0.001 | 56 (34.1%) | 54 (32.9%) | 0.815 |
| Viral pneumonia | 66 (40.0%) | 102 (32.1%) | 0.083 | 66 (40.2%) | 66 (40.2%) | >0.999 |
| Antibiotic use | ||||||
| Cumulative type of antibiotic use | 2 (1–4) | 2 (1–4) | 0.410 | 2 (1–4) | 2 (1–4) | 0.595 |
| Cumulative antibiotic use time | 9 (7–14) | 9 (6–13) | 0.283 | 9 (7–14) | 10 (7–15) | 0.657 |
| Disease severity | ||||||
| Severe pneumonia | 26 (15.8%) | 47 (14.8%) | 0.779 | 26 (15.9%) | 31 (18.9%) | 0.804 |
| Laboratory results | ||||||
| WBC (109/L) | 7.66 (6.15–10.43) | 7.47 (5.84–9.74) | 0.376 | 7.66 (6.13–10.47) | 7.21 (5.79–9.69) | 0.241 |
| LY (109/L) | 1.24 (0.89–1.93) | 1.56 (1.10–2.02) | 0.004 | 1.24 (0.88–1.92) | 1.46 (0.98–1.94) | 0.154 |
| Mono (109/L) | 0.56 (0.39–0.80) | 0.53 (0.40–0.74) | 0.372 | 0.56 (0.39–0.80) | 0.53 (0.39–0.74) | 0.461 |
| NE (109/L) | 5.66 (3.79–7.77) | 5.21 (3.40–7.22) | 0.136 | 5.66 (3.78–7.79) | 5.05 (3.40–7.15) | 0.144 |
| TD (μmol/L) | 10.2 (7.4–13.3) | 10.5 (8.3–13.8) | 0.123 | 10.2 (7.4–13.3) | 10.8 (8.5–14.4) | 0.059 |
| Cr (μmol/L) | 72 (60–90) | 70 (58–86) | 0.095 | 72 (60–90) | 72.5 (59.3–89.8) | 0.576 |
| AST (U/L) | 21 (17–26) | 21 (17–28) | 0.901 | 21 (17–26) | 22 (18–31) | 0.297 |
| ALT (U/L) | 15 (10–27) | 16 (11–26) | 0.299 | 15 (10–27) | 17 (11–33) | 0.172 |
| DD (μmol/L) | 2.0 (1.6–2.9) | 2.0 (1.5–2.7) | 0.820 | 2.0 (1.6–2.9) | 2.2 (1.6–3.2) | 0.356 |
| ID (μmol/L) | 7.9 (5.9–10.7) | 8.5 (6.9–11.3) | 0.058 | 8.0 (5.9–10.8) | 8.6 (6.8–11.4) | 0.073 |
| ALB (g/L) | 34.8 (30.5–38.1) | 35.3 (31.8–39.0) | 0.035 | 34.8 (30.5–38.1) | 34.9 (30.9–38.5) | 0.524 |
| CK-MB (ng/mL) | 9 (2–16) | 10 (3–15) | 0.605 | 10 (2–16) | 10 (3–15) | 0.926 |
| cTnI-HS (ng/mL) | 0.006 (0.003–0.013) | 0.005 (0.002–0.009) | 0.010 | 0.006 (0.003–0.013) | 0.006 (0.003–0.012) | 0.561 |
| IL-2 (pg/mL) | 0.34 (0.01–0.92) | 0.44 (0.01–1.01) | 0.553 | 0.34 (0.01–0.90) | 0.33 (0.01–0.90) | 0.892 |
| IL-4 (pg/mL) | 0.31 (0.01–0.63) | 0.25 (0.01–0.63) | 0.766 | 0.31 (0.01–0.62) | 0.22 (0.01–0.60) | 0.410 |
| IL-6 (pg/mL) | 91.44 (29.27–206.78) | 63.48 (9.09–221.41) | 0.112 | 91.30 (29.10–206.54) | 64.78 (9.32–241.30) | 0.294 |
| IL-10 (pg/mL) | 10.97 (3.11–40.57) | 8.22 (2.26–35.20) | 0.150 | 10.97 (3.08–40.59) | 7.67 (2.33–29.61) | 0.171 |
| TNF-α (pg/mL) | 1.81 (0.01–6.41) | 0.88 (0.01–6.05) | 0.675 | 1.74 (0.01–6.42) | 0.64 (0.01–7.74) | 0.840 |
| IFN-γ (pg/mL) | 2.23 (0.01–7.23) | 1.55 (0.01–7.36) | 0.392 | 2.22 (0.01–7.07) | 1.48 (0.01–7.01) | 0.352 |
| Before PSM | After PSM | |||||
|---|---|---|---|---|---|---|
| Characteristics | Patients with Prevotella melaninogenica Colonization (n = 160) | Patients Without Prevotella melaninogenica Colonization (n = 323) | p-Value | Patients with Prevotella melaninogenica Colonization (n = 154) | Patients Without Prevotella melaninogenica Colonization (n = 154) | Adjusted p-Value |
| Age, years | 60.5 (46–69.75) | 63 (51–71) | 0.114 | 60 (46 –69) | 60 (46–68) | 0.750 |
| Sex (men) | 100 (62.5%) | 198 (61.3%) | 0.799 | 95 (61.7%) | 92 (59.7%) | 0.726 |
| Comorbidities | ||||||
| Hypertension | 42 (26.3%) | 85 (26.3%) | 0.998 | 39 (25.3%) | 33 (21.4%) | 0.419 |
| Diabetes | 16 (10.0%) | 74 (22.9%) | 0.001 | 15 (9.7%) | 7 (4.5%) | 0.077 |
| CHD | 13 (8.1%) | 23 (7.1%) | 0.692 | 11 (7.1%) | 8 (5.2%) | 0.477 |
| COPD | 22 (13.8%) | 41 (12.7%) | 0.746 | 22 (14.3%) | 20 (13.0%) | 0.740 |
| Pneumonia | ||||||
| Bacterial pneumonia | 113 (70.6%) | 208 (64.4%) | 0.172 | 108 (70.1%) | 96 (62.3%) | 0.148 |
| Fungal pneumonia | 33 (20.6%) | 88 (27.2%) | 0.114 | 31 (20.1%) | 38 (24.7%) | 0.339 |
| Viral pneumonia | 55 (34.4%) | 113 (35.0%) | 0.895 | 54 (35.1%) | 51 (33.1%) | 0.718 |
| Antibiotic use | ||||||
| Cumulative type of antibiotic use | 2 (1–3) | 2 (1–4) | <0.001 | 2 (1 –3) | 2 (1–3) | 0.477 |
| Cumulative antibiotic use time | 8 (5–12) | 10 (7–15) | <0.001 | 8 (5 –12) | 8 (6–12) | 0.331 |
| Disease severity | ||||||
| Severe pneumonia | 18 (11.3) | 55 (17.0) | 0.095 | 13 (8.4%) | 16 (10.4%) | 0.558 |
| Laboratory results | ||||||
| WBC (109/L) | 7.52 (5.85–9.38) | 7.59 (5.96–10.09) | 0.443 | 7.52 (5.82 –9.07) | 7.12 (5.73–9.46) | 0.802 |
| LY (109/L) | 1.51 (0.97–2.02) | 1.44 (0.99–1.98) | 0.720 | 1.52 (1.04 –2.02) | 1.55 (1.13–2.01) | 0.752 |
| Mono (109/L) | 0.55 (0.42–0.74) | 0.53 (0.38–0.77) | 0.665 | 0.55 (0.41 –0.74) | 0.53 (0.36–0.75) | 0.463 |
| NE (109/L) | 5.29 (3.36–7.00) | 5.37 (3.63–7.90) | 0.172 | 5.16 (3.32 –6.98) | 4.95 (3.43–7.28) | 0.691 |
| TD (μmol/L) | 10.4 (8.1–13.8) | 10.5 (8.2–13.7) | 0.742 | 10.4 (8.1–13.7) | 10.95 (8.85–14.45) | 0.153 |
| Cr (μmol/L) | 71 (60–84) | 71 (59–90) | 0.962 | 72 (60–84) | 72 (58–89) | 0.725 |
| AST (U/L) | 21 (17–27) | 21 (17–28) | 0.551 | 21 (17–26) | 21 (17–27) | 0.546 |
| ALT (U/L) | 16 (12–24) | 16 (10–27) | 0.661 | 15 (12–24) | 16 (10–27) | 0.972 |
| DD (μmol/L) | 1.9 (1.5–2.9) | 2.1 (1.6–2.7) | 0.131 | 1.9 (1.5–2.8) | 2.1 (1.7–2.7) | 0.050 |
| ID (μmol/L) | 8.2 (6.5–11.3) | 8.5 (6.5–11.0) | 0.918 | 8.2 (6.5–11.3) | 8.9 (6.9–11.5) | 0.106 |
| ALB (g/L) | 36.4 (33.2–38.9) | 34.9 (31.0–38.6) | 0.054 | 36.8 (33.3–38.9) | 35.9 (32.6–39.5) | 0.863 |
| CK-MB (ng/mL) | 10 (2–15) | 10 (3–15) | 0.420 | 10 (2–15) | 10 (5–16) | 0.098 |
| cTnI-HS (ng/mL) | 0.190 | 0.201 | ||||
| >ULN | 23 (14.4%) | 62 (19.2%) | 19 (12.3%) | 27 (17.5%) | ||
| ≤ULN | 137 (85.6%) | 261 (80.8%) | 135 (87.7%) | 127 (82.5%) | ||
| IL-2 (pg/mL) | 0.36 (0.01–1.10) | 0.39 (0.01–0.91) | 0.500 | 0.39 (0.01–1.11) | 0.34 (0.01–0.81) | 0.273 |
| IL-4 (pg/mL) | 0.35 (0.01–0.67) | 0.21 (0.01–0.60) | 0.026 | 0.35 (0.02–0.69) | 0.21 (0.01–0.57) | 0.014 |
| IL-6 (pg/mL) | 74.52 (11.95–215.81) | 73.06 (13.56–211.26) | 0.715 | 74.52 (12.08–210.78) | 79.95 (12.97–211.80) | 0.880 |
| IL-10 (pg/mL) | 12.01 (3.42–38.83) | 8.02 (2.29–37.99) | 0.280 | 12.61 (3.51–39.18) | 7.44 (2.10–46.10) | 0.442 |
| TNF-α (pg/mL) | 2.09 (0.01–7.34) | 0.69 (0.01–5.88) | 0.010 | 2.49 (0.01–7.45) | 1.39 (0.01–6.03) | 0.053 |
| IFN-γ (pg/mL) | 2.45 (0.02–7.23) | 1.42 (0.01–7.36) | 0.110 | 2.75 (0.06–7.56) | 1.72 (0.01–7.66) | 0.228 |
Disclaimer/Publisher’s Note: The statements, opinions and data contained in all publications are solely those of the individual author(s) and contributor(s) and not of MDPI and/or the editor(s). MDPI and/or the editor(s) disclaim responsibility for any injury to people or property resulting from any ideas, methods, instructions or products referred to in the content. |
© 2025 by the authors. Licensee MDPI, Basel, Switzerland. This article is an open access article distributed under the terms and conditions of the Creative Commons Attribution (CC BY) license (https://creativecommons.org/licenses/by/4.0/).
Share and Cite
Hu, C.-Y.; Yao, S.-F.; Li, Y.-F.; Wang, Q.-Z.; Li, Y.-J.; Sun, C.; Liu, J.; Zhao, Z.-X. Differences in Non-Pathogenic Lung-Colonizing Bacteria Among Patients with Different Types of Pneumonia: A Retrospective Study. Microorganisms 2025, 13, 2099. https://doi.org/10.3390/microorganisms13092099
Hu C-Y, Yao S-F, Li Y-F, Wang Q-Z, Li Y-J, Sun C, Liu J, Zhao Z-X. Differences in Non-Pathogenic Lung-Colonizing Bacteria Among Patients with Different Types of Pneumonia: A Retrospective Study. Microorganisms. 2025; 13(9):2099. https://doi.org/10.3390/microorganisms13092099
Chicago/Turabian StyleHu, Cheng-Yi, Shu-Fang Yao, Yan-Fang Li, Qi-Zhi Wang, Yu-Jun Li, Cheng Sun, Jun Liu, and Zhu-Xiang Zhao. 2025. "Differences in Non-Pathogenic Lung-Colonizing Bacteria Among Patients with Different Types of Pneumonia: A Retrospective Study" Microorganisms 13, no. 9: 2099. https://doi.org/10.3390/microorganisms13092099
APA StyleHu, C.-Y., Yao, S.-F., Li, Y.-F., Wang, Q.-Z., Li, Y.-J., Sun, C., Liu, J., & Zhao, Z.-X. (2025). Differences in Non-Pathogenic Lung-Colonizing Bacteria Among Patients with Different Types of Pneumonia: A Retrospective Study. Microorganisms, 13(9), 2099. https://doi.org/10.3390/microorganisms13092099

