Abstract
Fomes fomentarius (L.) Fr. has been valued since the 15th century across Europe, including the Balkan region, for its medicinal and traditional uses such as tinder production, spiritual practices, wound healing, and hemostasis. This study analyzes three Balkan strains, focusing on micro- and macroelements, polyamines (PAs), and phenolic compounds in hot water (H2O), chloroform (CHCl3), hydroethanolic (EtOH), and hydromethanolic (MeOH) extracts. Micro- and macroelements were determined using atomic absorption spectrophotometry (AAS), while PAs were quantified using high-performance liquid chromatography with fluorescence detection (HPLC-FD). Phenolic profiles were determined using liquid chromatography–mass spectrometry (LC-MS/MS), with total phenolic content (TPC) assessed using the Folin–Ciocalteu method. Antioxidant activity was evaluated via DPPH, ABTS, NO scavenging, lipid peroxidation inhibition, and FRAP assays, alongside anti-acetylcholinesterase and antiproliferative activity assessments. This study represents the first investigation of PA profiles in F. fomentarius, with total PA levels ranging from 32.67 to 2910.09 nmol/g dry weight (d.w.). The Bosnian strain exhibited the highest PA levels, with spermidine (SPD) concentrations ranging from 899.96 to 2910.09 nmol/g d.w. LC-MS/MS analysis identified several bioactive phenolics, including amentoflavone, baicalein, chrysoeriol, esculetin, and scopoletin—reported here for the first time in this fungus. The H2O and EtOH extracts from the Croatian and Serbian strains showed higher TPC levels, correlating with notable antioxidant activity. The EtOH and MeOH extracts demonstrated significant anti-acetylcholinesterase and antiproliferative activities, emphasizing their medicinal potential. These findings highlight the therapeutic potential of polar extracts from Balkan F. fomentarius.
1. Introduction
Mushrooms have long been valued for their medicinal properties due to the presence of bioactive compounds with significant health-promoting effects [,]. These properties include antidiabetic, anti-inflammatory, antiproliferative, antimicrobial, antioxidant, and neuroprotective activities [,,,,,,]. Over 2000 species of edible and medicinal mushrooms have been documented, many of which have been used in traditional medicine across various regions, particularly in Asia. Key species such as Fomes fomentarius, Cordyceps sinensis, Ganoderma lucidum, Lentinula edodes, and Lenzites betulinus have long been integral to folk remedies in countries like China, Japan, Korea, and India for the treatment of various ailments, including inflammation, cancer, and neurodegenerative diseases [,,,,,].
Reactive oxygen species (ROS), known for their role in oxidative stress, have been linked to numerous diseases, including cancer and Alzheimer’s disease []. Alzheimer’s disease, characterized by a deficiency in acetylcholine, is often targeted using acetylcholinesterase (AChE) inhibitors. Mushrooms, owing to their notable antioxidant potential, offer a promising approach for managing oxidative stress and related pathological conditions []. While their anti-AChE and antioxidant properties have been largely attributed to polysaccharides and phenolic compounds, secondary metabolites like polyamines (PAs) remain underexplored []. PA degradation contributes to oxidative stress by generating reactive aldehydes and ROS, partly due to reduced PA levels. However, PAs themselves act as potent antioxidants and ROS scavengers []. The age-related decline in PA levels has long been associated with cognitive and behavioral impairments []. This observation supports the hypothesis that maintaining SPD levels during aging may promote longevity, potentially achievable through dietary supplementation to restore PA levels [].
Among these, F. fomentarius (L.) Fr., known as “Iceman’s mushroom” due to its discovery alongside a 5000-year-old mummy, has demonstrated a range of therapeutic properties, including antioxidant, anti-inflammatory, anti-AChE, and antiproliferative effects [,,].
F. fomentarius is widely distributed across the Northern Hemisphere, typically growing on hardwood trees such as beech, birch, and oak [,,]. The medicinal potential of both its fruiting bodies and mycelia has been extensively studied, with recent research highlighting its rich mycochemical composition, including phenolics, benzofurans, coumarins, triterpenoids, and polysaccharides like β-glucans [,,]. These compounds are linked to the mushroom’s antiproliferative and antioxidant activities, with specific polyphenols and triterpenoids playing crucial roles in modulating oxidative stress and inhibiting cell proliferation [,]. Furthermore, studies have shown that bioactive compounds in F. fomentarius can reduce AChE activity, suggesting its potential as a neuroprotective agent in conditions such as Alzheimer’s disease [,].
Ethnological studies reveal that Fomes fomentarius (tinder fungus or hoof fungus) has a longstanding role in traditional medicine and various practical applications. It is one of the earliest documented medicinal mushrooms, used for fire-starting, preservation, first aid, insect repellents, and spiritual rituals [,,]. Fruiting bodies were employed in ceremonial smoking rituals in Germany and Austria and in West Siberia, where the Khanty burned them to ward off the deceased’s influence [].
F. fomentarius was used to treat bladder disorders, dysmenorrhea, hemorrhoids, gastroenteric issues, inflammation, pain, and various cancers [,,]. It featured in a Japanese anticancer beverage [] and is noted in the traditional pharmacopeias of China, India, Korea, and Hungary for addressing cirrhosis, gastrointestinal disorders, inflammation, and oral ulcers [,]. Referred to as “mykes” in ancient Greece, it first appeared during Hippocrates’ era for cauterizing wounds and treating inflamed organs [].
The Okanagan-Colville Indians used it for rheumatism, and it was widely applied as a styptic, earning the name “agaric of the surgeons” []. Hieronymus Bock recommended it as an emetic against mushroom poisoning in the 15th century. Moreover, it was used globally as an iodine-infused dressing for wounds and burns and sold in pharmacies as styptic bandages [,].
Despite its extensive global use, data on traditional applications of F. fomentarius in the Balkan region remain scarce. One study documented aspects such as harvesting methods, timing, storage techniques, preparations, and the ethnomycological use of its fruiting bodies []. Unique preparations of this species were traditionally prevalent in Corund, Lupeni, Odorheiu Secuiesc, and Sumuleu Ciuc in Transylvania (Romania). In other areas of the Balkan region, there is a lack of data indicating the use of this species for pharmacological purposes, although it was noted that people in certain regions, such as Croatia and Bulgaria, were aware of its health benefits [,]. Alongside very limited information regarding the ethnomedicinal use of this species in Serbia, Živković et al. [] conducted the first ethnomycological study, documenting the use of 85 fungal species from 28 families for food and medicinal purposes, among which F. fomentarius (known as “trud” in Serbian) was used preventatively in the form of tea (one spoon of dried and ground mushroom is boiled in 1 L of water for 30 min). Collectively, this suggests a mycophilic consumption behavior among people in the Balkan region, excluding Slovenia [].
In this study, we conducted a comparative analysis of three strains of F. fomentarius collected from the Balkan region, focusing on their mycochemical composition and biological activities. This research aims to provide a comprehensive understanding of the chemical diversity and biological potential of these unexplored strains, which could offer significant benefits in the prevention and treatment of oxidative stress-related diseases such as cancer and neurodegenerative disorders.
2. Materials and Methods
2.1. Mushroom Material
Fruiting bodies of F. fomentarius (Ph. Basidiomycota, Cl. Agaricomycetes, O. Polyporales, Fam. Polyporaceae, Gen. Fomes) were collected in January 2018 from “Štrbački Buk” National Park, Donji Lapac, Croatia (FC; 44.5594° N, 16.0033° E); in April 2018 from “Fruška Gora” National Park, Serbia (FS; 45.1678° N, 19.7140° E); and in October 2018 from Vrelo Bosne, Sarajevo, Bosnia and Herzegovina (FB; 43.8161° N, 18.2714° E) (Figure 1).

Figure 1.
Geographical distribution of sampled Fomes fomentarius specimens across the Balkans. The map shows sampling localities in Croatia (FC), Bosnia and Herzegovina (FB), and Serbia (FS). The designated markers indicate specific collection sites: “Štrbački Buk” National Park (FC), Vrelo Bosne (FB), and “Fruška Gora” National Park (FS). (Map image sourced from Google Maps).
The identification of mushroom species was based on detailed macroscopic (color, shape, size and hyphal structures) and microscopic morphological characteristics, using specific identification keys as described in Rašeta et al. []. The samples were identified and authenticated by Dr. Eleonora Čapelja and subsequently deposited in the ProFungi Laboratory, Department of Biology and Ecology, Faculty of Sciences, University of Novi Sad, under the following voucher numbers: FC 12-00725, FS 12-00726, and FB 12-00662. Although molecular identification such as ITS (rDNA) barcoding was not performed due to the unavailability of suitable material for DNA extraction (as the fruiting bodies were fully processed for chemical and biological analyses), species determination was conducted with great care. Multiple authoritative taxonomic keys were consulted, and identification was confirmed by experienced mycologists. We acknowledge this as a limitation of the study and intend to incorporate molecular confirmation in future work to enhance taxonomic accuracy and reproducibility.
2.2. Extract Preparation
The fruiting bodies were sectioned, air-dried, and stored in dark containers at room temperature. The detailed procedure for extract preparation can be found in Rašeta et al. [], where hot water (H2O), hydroethanolic (EtOH), chloroform (CHCl3), and hydromethanolic (MeOH) extracts were prepared according to the methods outlined by Rašeta et al. [] and Gąsecka et al. []. The powdered fruiting bodies were mixed with solvent at a ratio of 1:10. Samples were macerated (IKA KS 4000i control) for 8 h, centrifuged (Sigma 3–30 K, Burlington, MA, USA) at 3999× g for 15 min at 4 °C, filtered through Whatman No.4 paper (Maidstone, Kent, UK), and evaporated under vacuum (Büchi R-210; Buchi Labortechnik AG, Flawil, Switzerland) at 40 °C to dryness, except for the H2O extract, which was lyophilized (ChristAlpha, Martin Christ Gefriertrocknungsanlagen GmbH, Osterode am Harz, Germany). The dry residues were dissolved in dimethyl sulfoxide (DMSO). All prepared extracts were stored at 4 °C for further use.
2.3. Mycochemical Characterization
2.3.1. Atomic Absorption Spectrophotometry (AAS)
Macro- (Ca and Mg) and microelements (Cr, Cu, Mn, Fe, and Zn) in the powdered fungal samples were quantified using atomic absorption spectrophotometry (FS AAS240/GTA120, Agilent) following the method described by Kebert et al. [].
2.3.2. HPLC-FD Determination of Selected Polyamine Content
The PA profile and content of three main PAs, putrescine (PUT), SPD, and spermine (SPM), were determined in the mushroom material using high-performance liquid chromatography coupled with a fluorescence detector (HPLC-FD) using a method described by Scaramagli et al. [], after derivatization of PAs with dansyl-chloride as a pre-treatment.
2.3.3. LC/MS-MS Quantification of Phenolic Compounds and Total Phenolic Content (TPC) Determination
To quantify the selected phenolic compounds and quinic acid in the analyzed extracts, we utilized the liquid chromatography coupled with tandem mass-spectrometric detection (LC-MS/MS) technique in accordance with the protocol established by Orčić et al. []. The concentrations of standard phenolic compounds and quinic acid were determined by referencing a calibration curve generated from a series of dilutions of a standard mixture. Data were collected in dynamic MRM mode, with peak areas quantified using MassHunter software. Calibration curves were generated using OriginPro. Detailed retention times and MS parameters are provided in Table S1.
The total phenolic content (TPC) was measured using the Folin–Ciocalteu (FC) method, as described by Singleton et al. []. This approach relies on the spectrophotometric detection of phenolic compounds through their reaction with FC reagent, forming a colored complex. Absorbance was measured at 760 nm, and TPC was expressed as milligrams of gallic acid equivalents per gram of dry weight (mg GAE/g d.w.), based on a standard calibration curve.
2.3.4. Determination of Total Carbohydrate Content
The total carbohydrate content (TCC) was determined using the phenol–sulfuric acid method, following the procedure outlined by Rašeta et al. []. This method involved the use of concentrated H2SO4 and 5% phenol. Absorbance was recorded at 490 nm for glucose, and a calibration curve was generated to quantify TC in the fungal extracts. The results were expressed as milligrams of glucose equivalents per gram of dry weight (mg GluE/g d.w.).
2.4. Biological Activities
2.4.1. Determination of Antioxidant Activity
Antioxidant activity was evaluated through a series of standard radical scavenging assays, including DPPH [], ABTS [], and NO radical scavenging []. Additionally, Fe2+/ascorbate-induced lipid peroxidation was assessed [], and the reducing power of the fungal extracts was measured using the FRAP assay [].
In the DPPH assay, a mixture of 60 μL of 90 µM DPPH reagent, 180 μL of MeOH, and 10 μL of extract/standard was incubated in the dark at room temperature for 30 min, and the absorbance was measured at 515 nm []. For the ABTS assay, 290 μL of ABTS reagent (7 mM ABTS, 2.45 mM K2S2O8) was mixed with 10 μL of extract/standard, incubated at room temperature for 5 min, and the absorbance was recorded at 734 nm []. The NO radical scavenging assay involved mixing 15 μL of extract/standard, 250 μL of sodium nitroprusside (10 mmol/L), and 250 μL of phosphate buffer (pH 7.4). After 90 min of light exposure, 500 μL of Griess reagent was added, and the absorbance was measured at 546 nm []. Lipid peroxidation inhibition was assessed using a TBA assay with polyunsaturated fatty acids derived from linseed oil (69.7% linolenic acid, 13.5% linoleic acid). The fatty acids were emulsified in phosphate buffer containing 0.25% Tween-80, sonicated for 1 h, and mixed with FeSO4, ascorbic acid, and test samples (0.13–232 mg/mL). After a 1 h incubation at 37 °C, EDTA and a TBA mixture were added, followed by heating, centrifugation, and absorbance measurement of malondialdehyde (MDA) at 532 nm []. The FRAP assay involved adding 10 μL of extract/standard to 225 μL of FRAP reagent (TPTZ, FeCl3, acetate buffer) and 22.5 μL of distilled water (dH2O), with the absorbance recorded at 593 nm after 6 min [].
The radical scavenging capacity (RSC) for DPPH and lipid peroxidation inhibition is expressed as IC50 values (μg/mL), whereas for NO radicals, RSC is expressed as IC25 values (μg/mL). For the ABTS assay, the results were derived from a Trolox calibration curve and expressed as milligrams of Trolox equivalents per gram of dry weight (mg TE/g d.w.). For the FRAP assay, the reduction potential was calibrated using ascorbic acid, with the results expressed as milligrams of ascorbic acid equivalents per gram of dry weight (mg AAE/g d.w.). Propyl gallate (PG) was used as the positive control in all assays.
2.4.2. Determination of Anti-Acetylcholinesterase Activity (Anti-AChE)
To assess the neuroprotective activity of the fungal extracts, a modified method by Ellman et al. [], as described in Pintać et al. [], was used. Galantamine served as the positive control for comparison of its IC50 value with that of the extracts.
2.4.3. Determination of Antiproliferative Activity
Cell culturing
Human breast cancer cell lines (MCF7, T47D, and MDA-MB-231), a cervical cancer cell line (HeLa), and an ovarian cancer cell line (A2780) were purchased from ECACC (European Collection of Cell Cultures, Salisbury, UK), while SiHa cells (cervical cancer) were obtained from ATCC (American Tissue Culture Collection, Manassas, VA, USA). The cells were cultivated in a minimal essential medium supplemented with 10% fetal bovine serum, 1% nonessential amino acids, and an antibiotic-antimycotic mixture. All media and supplements were purchased from Lonza Group Ltd. (Basel, Switzerland). The cells were cultivated at 37 °C in a humidified atmosphere containing 5% CO2.
Antiproliferative activity (MTT assay)
The growth inhibitory activity of the extracts was determined using the MTT method against a panel of human cancer cell lines of gynecological origin [].
2.5. Statistical Analysis
Three different strains of F. fomentarius were utilized and each experiment was conducted three times, except for the examination of antiproliferative activity, which was performed twice. The outcomes were reported as average values with either standard deviation (SD) or standard error of the mean (SEM), depending on the antiproliferative assay. One-way analysis of variance (ANOVA) and Tukey’s HSD test were carried out to test for any significant differences between the means; the mean values of antioxidant activities between two extracts or two treatments were analyzed by an independent samples t-test. Correlations were obtained with Pearson’s correlation coefficient in bivariate correlations. Differences between means at a 5% (p < 0.05) level were considered significant. For defining the variability in chemical composition and biological activity between the investigated extracts, principal component analysis (PCA) was applied using PAST version 3.16 [].
3. Results and Discussion
3.1. Mycochemical Profile
3.1.1. Macro- and Microelement Content and Biological Significance
The mineral composition of F. fomentarius included two macroelements (Mg and Ca) and five microelements (Cr, Cu, Mn, Fe and Zn), as shown in Figure 2a,b.

Figure 2.
Mineral composition of dried samples of Fomes fomentarius from three different Balkan localities. (a) Macroelement content (mg/g d.w.); (b) Microelement content (mg/kg d.w.). Strains are labeled as follows: FB—Bosnia and Herzegovina; FC—Croatia; FS—Serbia. Data are presented as mean ± standard deviation (SD). Statistical analysis was performed using one-way ANOVA followed by Tukey’s Honestly Significant Difference (HSD) post hoc test (p < 0.05). Abbreviation: d.w.—dry weight.
Among the analyzed strains, the Serbian strain (FS) exhibited the highest mean concentrations of macroelements, with Ca at 9.93 ± 0.21 mg/g d.w. and Mg at 2.28 ± 0.17 mg/g d.w. Across all strains, Ca was found in significantly higher concentrations (7.30–9.93 mg/g d.w.) compared to Mg (1.42–2.28 mg/g d.w.), resulting in relatively high Ca/Mg ratios. This Ca/Mg ratio is biologically significant due to its critical role in physiological processes, particularly bone health []. An optimal balance of calcium and magnesium is essential for calcium absorption, bone mineralization, and the prevention of conditions such as osteoporosis []. Low magnesium intake can impair calcium metabolism and decrease bone density, while a favorable Ca/Mg ratio has been linked to improved skeletal outcomes in both animal and human studies []. Therefore, F. fomentarius—particularly the FS strain—may represent a valuable dietary source of calcium with a beneficial Ca/Mg profile. The observed high calcium content likely reflects the mineral-rich wood substrates of this parasitic/saprotrophic species. Similar patterns were reported by Karaman and Matavulj [], who found elevated Ca concentrations in lignicolous mushroom substrates compared to wild-growing fungi.
Regarding microelements, significant accumulation of Zn, Fe, and Cu was noted, while Mn and Cr were present in lower concentrations (Mn: 5.24–8.05 mg/kg d.w.; Cr: 2.05–3.12 mg/kg d.w., p < 0.01). Fe was the most abundant, with the Croatian strain (FC) showing the highest Fe concentration (48.07 ± 0.54 mg/kg d.w.), followed by the FB and FS strains (27.36–27.78 mg/kg d.w.). This aligns with previous findings of Fe hyperaccumulation in lignicolous fungi such as Meripilus giganteus and F. fomentarius []. Cu was the second most prevalent element (25.90–34.27 mg/kg d.w.), with Zn also present at substantial levels, both essential for human health []. The FC strain had the highest Cu and Zn contents, consistent with earlier studies on Cu and Zn accumulation in lignicolous and tericolous fungi []. Mn and Cr were detected in lower amounts, ranging from 5.24 to 8.05 mg/kg d.w. for Mn and 2.05 to 3.12 mg/kg d.w. for Cr (p < 0.01). These concentrations are comparable to previously published data on edible fungi from Serbia [] and India [].
Compared to Turkish strains [], Balkan F. fomentarius exhibited significantly higher concentrations of Ca and Mg, reinforcing its value as a natural source of minerals vital for bone health and osteoporosis prevention []. Notably, Fe levels approached recommended daily intake values, suggesting potential applications as a dietary supplement [].
Although Serbian researchers have extensively reported on the mineral composition of various lignicolous and tericolous mushrooms [,,,,], this study presents the first comparative analysis of F. fomentarius strains from the Balkan region. These results underscore the species’ capacity to effectively accumulate essential biogenic minerals, particularly Fe, and reveal notable inter-strain differences likely influenced by substrate type and geographic origin.
Environmental factors, including habitat, geographical location, and substrate type, significantly affect mineral uptake [,]. Additional influences include genotype, ecotype, growth conditions, and mycelial age [,]. For example, strains from the Balkans exhibited much higher macroelement concentrations than those from Uşak, Turkey, where Ca and Mg levels were reported at 0.1814 mg/g d.w. and 0.1816 mg/g d.w., respectively [].
These findings emphasize the adaptability of F. fomentarius in mineral absorption directly from the wood substrate and indirectly from the surrounding soil, supporting its reputation as one of the most effective accumulators of Fe among fungi [,]. The high mineral content of F. fomentarius further validates its potential as a source of bioactive compounds and food supplements, particularly for mitigating mineral deficiencies and promoting bone health. However, its hard texture makes it unsuitable for direct consumption, necessitating its use in processed forms such as extracts or supplements [].
3.1.2. Content of Polyamines
Despite extensive research on PAs in plant- and animal-derived foods, their occurrence in wild-growing mushrooms remains notably scarce []. In mushrooms, SPD is generally the dominant PA, while putrescine (PUT) and SPD are associated with a range of morphological, physiological, and metabolic processes. SPM, however, is not consistently present in mushrooms [].
This study is the first to investigate the PA profile in F. fomentarius, analyzing three strains collected from the Balkan region. The results confirmed the presence of all three PAs, with total levels ranging from 32.67 to 2910.09 nmol/g d.w. (Figure 3). Among the strains, the FB strain exhibited the highest concentrations, while the FC strain had the lowest.

Figure 3.
Polyamine content of dried samples of Fomes fomentarius from three different Balkan localities, expressed as putrescine, spermidine, and spermine levels (nmol/g d.w.). Strains are labeled as follows: FB—Bosnia and Herzegovina; FC—Croatia; FS—Serbia. Data are presented as mean ± standard deviation (SD). Statistical analysis was performed using one-way ANOVA followed by Tukey’s Honestly Significant Difference (HSD) post hoc test (p < 0.05). Abbreviation: d.w.—dry weight.
SPD was found to be the predominant PA across the strains, with concentrations ranging from 899.96 to 2910.09 nmol/g d.w., except in the FC strain, where its concentration was significantly lower (270.65 ± 14.72 nmol/g d.w.). The FB strain had the highest SPD levels (2910.09 ± 196.45 nmol/g d.w.). These findings indicate that SPD may be commonly present in F. fomentarius, although its concentration varied substantially among the analyzed strains. SPM was present in the lowest concentrations (32.67–54.35 nmol/g d.w.), with the FB strain again showing the highest level (54.35 ± 3.02 nmol/g d.w.). By contrast, PUT was predominant in the FC strain (278.56 ± 5.58 nmol/g d.w.), with concentrations higher than those reported for some edible wild mushrooms [,].
The results align with the observations by Dadáková et al. [], who noted significantly higher levels of SPD in fungi compared to other foods. The SPD concentrations in F. fomentarius determined in this study far exceed those reported for other fungal species, such as A. bisporus, L. edodes, and Pleurotus spp., which range between 32.30–71.30 mg/kg d.w. [], and A. bisporus and X. badius, with values of 404–604 mg/kg d.w []. SPD plays a crucial role in cellular metabolism and growth, and its abundance in fungi has been previously documented as among the highest found in food [,].
The remarkably high SPD levels detected in F. fomentarius may be attributed to several species-specific physiological and ecological factors. F. fomentarius is a long-lived perennial polypore with robust wood-decaying capabilities and the ability to form dense, persistent fruiting bodies that can remain viable over extended periods []. Unlike the short-lived fruiting bodies of species such as A. bisporus or Pleurotus spp., which are typically ephemeral [], the perennial and woody structures of F. fomentarius may enable cumulative polyamine accumulation over time. This extended lifespan allows for prolonged metabolic activity, potentially contributing to the gradual buildup of polyamines such as SPD. While specific longitudinal studies of polyamine accumulation in F. fomentarius are lacking, research on other long-lived fungi has demonstrated significant levels of these compounds [], suggesting that a similar trend may apply. Moreover, polyamines like SPD are involved in stress tolerance, maintenance of cell wall integrity, and fungal morphogenesis []—all of which are critical for ligninolytic fungi that colonize and decompose resilient, nutrient-poor woody substrates []. Elevated SPD levels may thus reflect an adaptive response to persistent environmental stress and interspecific competition within the wood decay niche. Previous studies have also linked high polyamine concentrations to oxidative stress responses and sustained substrate colonization, further supporting this hypothesis. Nonetheless, additional research is needed to elucidate the regulatory mechanisms governing polyamine biosynthesis and storage in this ecologically and biochemically distinct species.
To our knowledge, the SPD levels detected in this study represent the highest recorded in mushrooms to date. Based on these findings, F. fomentarius may be considered a promising and underexplored source of PAs, particularly SPD. However, given the limited number of strains analyzed, further investigation involving a broader population of F. fomentarius is required to confirm ubiquity and variability of SPD content in this species. According to the classification proposed by Kalač [], the analyzed strains constitute a significant reservoir of bioactive PAs. Nevertheless, additional studies are needed to fully elucidate the biological roles of these compounds and to assess their potential applications as dietary supplements or therapeutic agents.
3.1.3. Phenolic Content Determined by LC-MS/MS
The LC-MS/MS analysis of the F. fomentarius extracts revealed quinic acid (58.99–996.78 μg/g d.w.) and scopoletin (23.63–853.07 μg/g d.w.) as the predominant compounds, particularly in the FS and FB strains (Table 1 and Figure S1).

Table 1.
Concentrations of selected phenolic compounds determined using the LC-MS/MS method in the analyzed extracts of three different Fomes fomentarius strains.
These compounds were identified in F. fomentarius for the first time. The highest concentrations were found in the FB strain’s MeOH extract (quinic acid, 996.78 ± 99.68 μg/g d.w.) and the FS strain’s EtOH extract (scopoletin, 853.07 ± 68.25 μg/g d.w.). Quinic acid was detected in almost all extracts, except for the nonpolar CHCl3 extracts and the FS EtOH extract (Figure S1). Additionally, chlorogenic acid, a derivative of quinic acid, was identified at 6.74 ± 0.34 μg/g d.w. in the MeOH extract, although its concentration was much lower than previously reported by Bal et al. [].
Among the flavonoids, baicalein was detected only in the FS strain, specifically in the EtOH and H2O extracts (44.63 ± 8.93 μg/g d.w. and 147.50 ± 29.50 μg/g d.w., respectively). Amentoflavone was also identified, marking its first occurrence in F. fomentarius. The FC strain’s CHCl3 extract was notable for having the highest concentration of baicalein and the exclusive presence of amentoflavone, indicating a unique phenolic profile.
To identify strain-specific compounds and evaluate the impact of solvents, principal component analysis (PCA) was applied (Figure 4).

Figure 4.
PCA analysis of Fomes fomentarius extracts and identified polyphenolics using LC-MS/MS analysis. Distribution of variables in (above) the score plot and (below) the loading plot of the first two principal components. The following abbreviations are used for the examined parameters: FB—strain sampled from Bosnia and Herzegovina; FC—strain sampled from Croatia; FS—strain sampled from Serbia; 70% EtOH—hydroethanolic extract prepared with 70% EtOH; H2O—hot water extract; 80% MeOH—hydromethanolic extract prepared with 80% MeOH; CHCl3—chloroform extract.
PCA revealed variances of 34.5% for PC1 and 22.1% for PC2. Baicalein significantly contributed to the negative part of PC1, while protocatechuic acid had the greatest loading in the positive part. The FC strain clustered uniquely in the negative part of both axes, with the highest baicalein content and exclusive presence of chrysoeriol and amentoflavone. By contrast, the FB MeOH extract, which was located in the positive parts of both axes, had the highest concentrations of all tested phenolic compounds, including quinic acid.
Hydroxycinnamic acids were more prevalent than hydroxybenzoic acids in the extracts, often found as glycosylated derivatives or esters of quinic acid, shikimic acid, or tartaric acid []. The presence of quinic acid and scopoletin in F. fomentarius was notable, as quinic acid had not been detected in previous studies []. Compared to other mushrooms, such as Coprinus comatus and C. truncorum from Serbia [], F. fomentarius contained significantly higher quinic acid levels, ranging from 1.59 to 215 μg/g d.w. Similarly, scopoletin concentrations in F. fomentarius were much higher than those reported for C. comatus and C. truncorum (1.11–1.97 μg/g d.w.) in previous studies using the same method []. Regarding the most present compounds, quinic acid (996.78 μg/g d.w. in the MeOH extract; 414.18 μg/g d.w. in the EtOH extract) and scopoletin (853.07 μg/g d.w. in the MeOH extract) were the predominant phenolic compounds identified in F. fomentarius. While quinic acid is a common metabolite in fungi, its concentration in F. fomentarius notably exceeds levels typically reported for other medicinal polypores, such as Ganoderma spp. (3.05–10.90 μg/g d.w.) [], Trametes versicolor (~200–400 μg/g d.w.) [], and Stereum subtomentosum (9.70–191.60 μg/g d.w.) []. These results suggest that F. fomentarius is a particularly rich source of this compound, which is known for its broad-spectrum bioactivities, including antioxidant, antimicrobial, and antidiabetic effects []. Scopoletin, by contrast, is a coumarin compound rarely detected in fungi. To our knowledge, this is the first report of scopoletin in F. fomentarius, positioning it as a novel source. Scopoletin has demonstrated notable antifungal properties, including 68.2% inhibition of Candida tropicalis biofilms at its MIC, which is significantly more effective than fluconazole (250 μg/L vs. 50 μg/L MIC) []. Han et al. [], summarized that scopoletin can activate some key antioxidant enzymes, such as superoxide dismutase (SOD), glutathione peroxidase (GPX), and glutathione-S-transferase (GST), thereby enhancing the cellular antioxidant defense system. The presence of scopoletin has also been confirmed in the wild edible fungi Chroogomphus rutilus.
The unusually high levels observed in F. fomentarius are thus ecologically and pharmacologically relevant. The co-occurrence of quinic acid and scopoletin in substantial concentrations may contribute to synergistic antioxidant and antifungal effects, offering a promising profile for potential therapeutic applications. Further studies are warranted to explore this synergistic effect and to elucidate the underlying biosynthetic pathways.
A total of six novel phenolic compounds were identified in F. fomentarius extracts—amentoflavone, baicalein, chrysoeriol, cinnamic acid, esculetin, and scopoletin—along with quinic acid, bringing the total number of phenolic compounds reported for this species to 19, as documented in various studies [,,,]. Among them, chrysoeriol and cinnamic acid were identified, with concentrations below the limit of quantification (LoQ) but above the limit of detection (LoD).
Comparative analyses indicated that the Serbian strain exhibited a greater diversity and quantity of phenolics compared to strains from Poland [] and Turkey [,].
The phenolic content was highest in the FB and FS strains, while the FC strain exhibited relatively lower phenolic levels. This disparity could be attributed to the presence of other bioactive or unexamined phenolics in the FC strain, along with factors such as geographical origin, climate differences, sampling periods, and the age of the fruiting bodies. For example, the FC strain was collected during the winter, which may have influenced its phenolic profile.
Consistent with prior research [,,], the highest phenolic content was typically extracted using polar solvents such as MeOH and EtOH. These results emphasize that the phenolic profile of F. fomentarius is strongly influenced by both the strain and the extraction solvent used.
3.1.4. TPC and TCC Content
The total phenolic content (TPC) and total carbohydrate content (TCC) of F. fomentarius strains were evaluated across various extracts (Figure 5a,b).

Figure 5.
Total phenolic content (TPC) and total carbohydrate content (TCC) of Fomes fomentarius extracts from three different Balkan localities. (a) Total phenolic content (TPC); (b) Total carbohydrate content (TCC). Strains are labeled as follows: FB—Bosnia and Herzegovina; FC—Croatia; FS—Serbia. Extracts include: EtOH—70% hydroethanolic extract; MeOH—80% hydromethanolic extract; H2O—hot water extract; CHCl3—chloroform extract. Results are expressed as gallic acid equivalents (GAE) for TPC and glucose equivalents (GluE) for TCC, both per gram of dry weight (d.w.). Data are presented as mean ± standard deviation (SD). Statistical analysis was performed using one-way ANOVA followed by Tukey’s Honestly Significant Difference (HSD) post hoc test (p < 0.05).
Among the extracts, the highest TPC was observed in the FS strain’s EtOH extract, with a value of 441.16 ± 1.85 mg GAE/g d.w., while the CHCl3 extracts exhibited the lowest TPC values, ranging from 14.30 to 72.55 mg GAE/g d.w. Similarly, the highest TCC was found in the FS strain’s MeOH extract, with a concentration of 227.20 ± 0.12 mg GluE/g d.w., while the lowest values were recorded in the CHCl3 extracts (10.24–20.26 mg GluE/g d.w.). These results highlight the efficiency of polar solvents (EtOH and MeOH) in extracting phenolic compounds and carbohydrates, consistent with prior findings that nonpolar extracts, primarily composed of triterpenoids and other nonpolar compounds, contain lower levels of phenolics and carbohydrates.
When compared to the values reported in the existing literature, the TPC values observed in this study were significantly higher. For example, Karaman et al. [] reported TPC values of 43.06 ± 0.19 mg GAE/g d.w. and 82.54 ± 0.12 mg GAE/g d.w. for Serbian F. fomentarius samples prepared using EtOH and MeOH extracts [], respectively, while the current study recorded considerably higher amounts in the polar extracts. Similarly, Orhan and Üstün [] reported a TPC value of 47.29 ± 1.37 mg GAE/mg extract for 85% EtOH extracts of F. fomentarius. This study’s findings align with Karadeniz et al. [], who noted that EtOH is highly effective in phenolic extraction. However, disparities in TPC among studies may be attributed to various factors, including geographical origin, climatic conditions, harvesting location, extraction methods, mushroom developmental stage, and whether results are expressed on a dry or fresh weight basis [].
Regarding TCC, limited data are available for F. fomentarius. The TCC values observed in this study were lower than those reported in previous studies. Vazirian et al. [] recorded a total polysaccharide content of 533.0 ± 2.0 mg/g, while Deveci et al. [] reported a total carbohydrate content of 73.31 ± 6.35%. Despite these discrepancies, the MeOH extracts in this study consistently exhibited the highest carbohydrate concentrations. The variability in TCC can be influenced by environmental factors such as geographical origin, climate, and the developmental stage of fruiting bodies []. Additionally, the distribution of certain mushroom species is region-specific, influenced by climate, soil composition, rainfall patterns, and seasonal variations. These environmental factors affect their growth, ultimately influencing both their fruiting bodies and mycelial development [].
The results highlight the superior efficiency of polar solvents (MeOH and EtOH) in extracting both TPC and TCC, corroborating prior research [,,]. This underscores the influence of solvent polarity on phenolic and carbohydrate extraction from F. fomentarius. Furthermore, the notable differences in TPC and TCC across strains and extraction methods suggest that geographic origin and substrate composition significantly impact the composition of phenolics and carbohydrates in F. fomentarius.
3.2. Antioxidant Activity
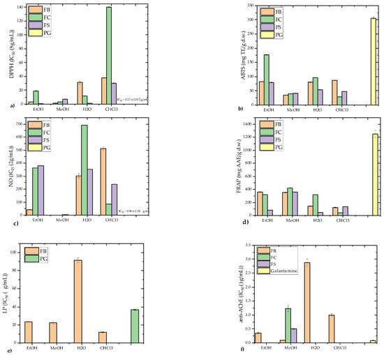
The antioxidant activities of F. fomentarius extracts were evaluated using DPPH, ABTS, NO scavenging, lipid peroxidation (LP) inhibition, and FRAP assays (Figure 6a–e).

Figure 6.
Antioxidant and anti-acetycholinesterase activities of Fomes fomentarius extracts from three Balkan localities. (a) DPPH scavenging activity; (b) ABTS scavenging activity; (c) NO scavenging activity; (d) Ferric reducing antioxidant power (FRAP assay); (e) Fe2⁺/ascorbate-induced lipid peroxidation (LP, tested only in FB strain extracts); (f) Anti-acetylcholinesterase (AChE) activity (tested only in FB strain extracts, and MeOH extracts of FC and FS). Strains are labeled as follows: FB—Bosnia and Herzegovina; FC—Croatia; FS—Serbia. Abbreviations: EtOH—hydroethanolic extract prepared with 70% EtOH; MeOH—hydromethanolic extract prepared with 80% MeOH; H2O—hot water extract; CHCl3—chloroform extract; PG—propyl gallate; d.w.—dry weight; DPPH—radical scavenger capacity against 2,2-diphenyl-1-picrylhydrazyl radical, DPPH•; ABTS—radical scavenger capacity against 2,2′-azino-bis(3-ethylbenzothiazoline-6-sulfonic acid), ABTS•+; NO—radical scavenging capacity against NO•; FRAP—ferric reducing antioxidant power; AAE—ascorbic acid equivalents; TE—Trolox equivalents. Data are expressed per gram of dry weight (d.w.) and presented as mean ± standard deviation (SD). Statistical analysis was performed using one-way ANOVA followed by Tukey’s Honestly Significant Difference (HSD) post hoc test (p < 0.05).
The results, compared to the standard antioxidant propyl gallate (PG), revealed that the polar extracts (EtOH, MeOH) demonstrated significantly higher antioxidant activity than the nonpolar CHCl3 extracts, with one notable exception: the FB strain’s CHCl3 extract showed the strongest LP inhibition activity (IC50 = 11.88 ± 0.50 μg/mL) (Figure 6e). The FS strain’s EtOH extract exhibited the strongest DPPH scavenging activity (IC50 = 0.78 ± 0.02 μg/mL) (Figure 6a), while the FC strain’s EtOH extract demonstrated remarkable ABTS scavenging capacity (176.46 ± 0.46 mg TE/g d.w.) (Figure 6b). The FB strain’s MeOH extract showed the highest NO radical scavenging activity (IC25 = 0.27 ± 0.01 μg/mL) (Figure 6c), surpassing the activity of PG (IC25 = 0.96 ± 0.02 μg/mL). The FRAP assay results highlighted the MeOH extracts as having the strongest reducing power (352.19–423.78 mg AAE/g d.w.), closely followed by the FB strain’s EtOH extract (362.76 mg AAE/g d.w.) (Figure 6d).
The DPPH scavenging activities of the polar extracts (IC50 values ranging from 0.78 to 31.40 μg/mL) were notably stronger than the values reported in previous studies. For instance, Karaman et al. [] reported a slightly higher IC50 value for EtOH extracts (10.87 ± 0.11 μg/mL). Orhan and Üstün [] recorded moderate DPPH inhibition (24.32–26.14%) in 85% EtOH extracts at higher concentrations (250–5000 μg/mL), while Ilyashenka [] found considerably weaker activity in ethyl acetate (IC50 = 515.6 ± 100.5 μg/mL) and EtOH (IC50 = 751.2 ± 19.3 μg/mL) extracts. Similarly, the ABTS scavenging capacity of the FC strain’s EtOH extract (176.46 ± 0.46 mg TE/g d.w.) aligned with the findings by Darkal et al. [], who reported excellent ABTS activity (IC50 = 0.005–0.04% w/v) in F. fomentarius. By contrast, melanins extracted from F. fomentarius exhibited weaker antioxidant activity [].
In the FRAP assay, the MeOH extracts consistently exhibited the strongest reducing power, reflecting their robust electron-donating ability. These results corroborate findings by Darkal et al. [], who demonstrated superior FRAP activity in milled F. fomentarius samples. Interestingly, the exceptional LP inhibition by the FB strain’s CHCl3 extract, typically uncharacteristic for nonpolar extracts, warrants further investigation.
PCA of the antioxidant results (Figure 7 and Figure 8) revealed that the sample groups were influenced by the extraction solvents used.

Figure 7.
PCA analysis of analyzed Fomes fomentarius extracts and conducted antioxidant assays. Distribution of variables in (above) the score plot and (below) the loading plot of the first two principal components. The following abbreviations are used for the examined parameters: FB—strain sampled from Bosnia and Herzegovina; FC—strain sampled from Croatia; FS—strain sampled from Serbia; 70% EtOH—hydroethanolic extract prepared with 70% EtOH; H2O—hot water extract; 80% MeOH—hydromethanolic extract prepared with 80% MeOH; CHCl3—chloroform extract; DPPH–radical scavenger capacity against 2,2-diphenyl-1-picrylhydrazyl radical, DPPH•; ABTS—radical scavenger capacity against 2,2’-azino-bis(3-ethylbenzothiazoline-6-sulfonic acid), ABTS•+; NO—radical scavenging capacity against NO•; LP—lipid peroxidation assay; FRAP—ferric reducing antioxidant power.

Figure 8.
PCA analysis of analyzed Fomes fomentarius extracts, mycochemical profile including TPC, TCC, and PAs and conducted antioxidant assays and measured anti-AChE properties. Distribution of variables in (above) the score plot and (below) the loading plot of the first two principal components. The following abbreviations are used for the examined parameters: FB—strain sampled from Bosnia and Herzegovina; FC—strain sampled from Croatia; FS—strain sampled from Serbia; 70% EtOH—hydroethanolic extract prepared with 70% EtOH; H2O—hot water extract; 80% MeOH—hydromethanolic extract prepared with 80% MeOH; CHCl3—chloroform extract; anti-AChE—anti-acetylcholinesterase; DPPH—radical scavenger capacity against 2,2-diphenyl-1-picrylhydrazyl radical, DPPH•; ABTS—radical scavenger capacity against 2,2’-azino-bis(3-ethylbenzothiazoline-6-sulfonic acid), ABTS•+; NO—radical scavenging capacity against NO•; LP—lipid peroxidation assay; FRAP—ferric reducing antioxidant power; TPC—total phenolic content; TCC—total carbohydrate content; PAs—polyamines; PUT—putrescine; SPD—spermidine; SPM—spermine.
The MeOH extracts from all three strains clustered in the first quadrant, indicating high NO scavenging and FRAP activity alongside the highest TCC levels. The CHCl3 extracts grouped in the negative part of PC1, showing the lowest antioxidant potential and TPC/TCC values. The FS and FC H2O and EtOH extracts grouped together, reflecting moderate antioxidant activity.
The results highlight a strong correlation between the antioxidant activity and the TPC and TCC levels of the extracts. This is consistent with previous research showing that the antioxidant potential of mushrooms is strongly associated with their phenolic content [,,,]. Phenolic compounds such as quinic acid and scopoletin play key roles in scavenging free radicals, with quinic acid known as a pro-metabolite of nicotinamide and tryptophan [] and scopoletin acting as a superoxide scavenger [].
In addition to phenolic compounds, carbohydrates, particularly polysaccharides, significantly contribute to the antioxidant potential of F. fomentarius. Polysaccharides are known to enhance the immune response and reduce oxidative stress through NO scavenging, as observed in samples with the highest TCC values []. Their antioxidant activity is influenced by factors such as monosaccharide composition, molecular weight, and protein content [].
Interestingly, PAs, particularly SPD, may also contribute to antioxidant effects (Figure 7). The FB strain, with the highest PA content, exhibited notable NO scavenging activity. PAs act as free radical scavengers and metal chelators, mitigating oxidative damage, but can also generate pro-oxidative effects by producing hydrogen peroxide during catabolism [,]. This dual role underscores their complexity, as PAs may prevent chronic diseases while posing risks for cancer patients [,].
3.3. Anti-Acetylcholinesterase Activity
The neuroprotective potential of F. fomentarius extracts was evaluated by their potential to inhibit AChE, a critical therapeutic target in the treatment of Alzheimer’s disease and other neurodegenerative disorders. AChE inhibition enhances acetylcholine levels in the brain, improving cholinergic functions and alleviating Alzheimer’s disease symptoms []. FDA-approved AChE inhibitors such as galantamine and rivastigmine are primarily derived from natural sources [,,], highlighting the importance of exploring bioactive compounds from fungi and other natural materials for therapeutic applications.
Among the analyzed extracts, the MeOH extract of the FB strain exhibited the strongest AChE inhibitory activity (IC50 = 0.099 mg/mL), followed by the EtOH (0.351 mg/mL) and CHCl3 (1.003 mg/mL) extracts, while the H2O extract had the weakest effect (IC50 = 2.881 mg/mL) (Figure 6f). These findings are consistent with prior studies showing weaker AChE inhibition in nonpolar extracts []. The potent activity of the FB strain extracts strongly correlated with their higher levels of PAs, particularly SPD and SPM. PAs have been linked to neuroprotective effects, memory enhancement, and the regulation of acetylcholine metabolism in low doses [,].
The inhibitory activity of F. fomentarius extracts in this study was superior to previously reported values for related mushroom species. For example, Orhan and Üstün [] reported modest AChE inhibition (15 ± 1.82%) in 85% EtOH extracts of F. fomentarius from Turkey, and Dundar et al. [] found little to no activity in other Turkish strains. Similarly, extracts of Ganoderma lucidum from Slovenia, including MeOH and EtOH extracts, exhibited lower activity compared to the MeOH extracts in this study []. Recent findings by Rašeta et al. [] also highlight significant AChE inhibition in polar extracts of other fungal species from Serbia, further supporting the potential of F. fomentarius as a source of AChE inhibitors.
PCA revealed strong associations between the levels of PAs, TPC, TCC, and AChE inhibition (Figure 8). PC1 and PC2 explained 93.19% of the variance, with distinct clustering of the MeOH extracts in the first and third quadrants, alongside variables related to anti-AChE activity, DPPH, and FRAP assays. PUT and SPM clustered with anti-AChE activity, while SPD aligned with LP inhibition in the positive sections of both PCs. These patterns highlight the complementary roles of PAs, phenolic compounds, and carbohydrates in contributing to the neuroprotective potential of the extracts.
The MeOH extracts, particularly those from the FB strain, were rich in phenolic compounds such as quinic, p-hydroxybenzoic, cinnamic, p-coumaric, and caffeic acids, all of which have been identified as effective AChE inhibitors [,]. The higher TCC levels in the MeOH extracts also contribute to their observed activity, as carbohydrates and polysaccharides have been shown to play roles in neuroprotection and antioxidant activity [,].
The role of PAs in AChE inhibition remains an area of growing interest. Studies suggest that PAs such as SPD and SPM can either inhibit or stimulate AChE activity depending on the acetylcholine concentration []. Low doses of PAs have been shown to support memory enhancement and regulate NMDA receptors, while higher concentrations may result in pro-oxidative effects through hydrogen peroxide production []. Furthermore, SPD and SPM have demonstrated neuroprotective properties by modulating acetylcholine metabolism and receptor assembly [,].
3.4. Antiproliferative Activity
The antiproliferative potential of F. fomentarius extracts was assessed using the MTT assay on human cancer cell lines, including breast (MDA-MB-231, T47D, MCF7), cervical (HeLa, SiHa), and ovarian (A2780) cancer cells. Extracts prepared with different solvents from the FB strain showed varied effects on the cancer cells (Table 2).

Table 2.
The antiproliferative activity of the selected Fomes fomentarius extracts.
The H2O extract had the mildest effect, with the most notable impact on the MCF-7 breast cancer cell line. Conversely, the CHCl3 extract showed more potent inhibition of cancer cell viability, especially affecting the T47D breast cancer line, while the MeOH and EtOH extracts, particularly from the FB strain, were identified as the most effective in inhibiting cancer cell growth.
The MeOH extracts of the FC and FS strains were further tested and found to significantly inhibit cancer cell viability, particularly in the A2780 (ovarian cancer) and MCF-7 (breast cancer) lines, although the FS extract generally exhibited stronger activity than the FC extract (Table 2). These results are in accordance with earlier studies, such as the study by Shnyreva et al. [], who demonstrated that F. fomentarius MeOH–CHCl3 extracts exhibited antiproliferative activity against solid tumor cell lines.
In comparison with previous studies, the F. fomentarius extracts demonstrated higher activity against the HeLa cell line than reported by Dundar et al. [], with their MeOH extract showing an IC50 value of 22.45 mg/mL. However, the results were lower compared to those reported by Kolundžić et al. [], where cyclohexane, dichloromethane, MeOH, and H2O extracts exhibited an IC50 range of 8.31–51.87 μg/mL. These findings suggest that F. fomentarius extracts from Serbia might have a specific mechanism of action that selectively targets cancer cells while being non-toxic to normal cells, as demonstrated in a 2016 study [].
The antiproliferative activity of these extracts correlated with their TPC and TCC levels, as presented in Figure S2. Flavonoids such as baicalein, chrysoeriol, and amentoflavone did not correlate with this activity, but coumarins like scopoletin and esculetin showed a weakly positive correlation. Cinnamic acid exhibited a negative correlation. However, other phenolic compounds, such as quinic acid, showed a moderate to high positive correlation with antiproliferative activity. Specifically, the MeOH FS extract, which had a high concentration of quinic acid, showed strong activity against the MDA-MB-231 breast cancer line, with a high correlation coefficient of 0.92.
Caffeic acid displayed the highest positive correlation (1.0) with the inhibition of MDA-MB-231 cell viability (Figure S1), highlighting its role as a potent antitumor agent, consistent with findings by Rosendahl et al. []. Conversely, flavonoids such as baicalein, chrysoeriol, and amentoflavone showed no significant correlation with antiproliferative activity, while coumarins (scopoletin and esculetin) demonstrated a weakly positive correlation. Interestingly, cinnamic acid exhibited a negative correlation with this activity.
The observed antiproliferative activity of the F. fomentarius extracts may be attributed to the synergistic effects of their bioactive components. Phenolic acids, particularly caffeic and quinic acids, have well-documented antitumor properties. For instance, quinic acid is recognized for its ability to enhance immune responses and induce apoptosis in cancer cells []. Caffeic acid is known to inhibit key signaling pathways involved in tumor progression [].
Moreover, the selectivity of F. fomentarius extracts in targeting cancer cells while sparing normal cells is of particular interest for therapeutic applications. These findings align with recent studies highlighting the potential of fungal melanins from F. fomentarius to display protective and differentiative properties in neuroblastoma cells [].
4. Conclusions
This study provides the first global documentation of polyamine levels in F. fomentarius and identifies six previously unreported phenolic compounds, including quinic acid. The extracts, particularly those obtained with methanol, exhibited strong neuroprotective and antiproliferative activities, highlighting the therapeutic relevance of this species. The significant acetylcholinesterase (AChE) inhibitory activity, especially in the polar extracts, suggests potential applications in the treatment of Alzheimer’s disease and other neurodegenerative conditions. Compounds such as quinic, p-hydroxybenzoic, and caffeic acids likely contributed to these effects, as indicated by their strong correlation with the observed bioactivity. Additionally, the extracts showed pronounced antiproliferative effects against several human cancer cell lines, particularly ovarian (A2780) and breast (MCF-7, MDA-MB-231) cancers. Their selectivity toward malignant cells, combined with low toxicity toward normal cells, positions F. fomentarius as a promising source of targeted anticancer agents, supporting its traditional medicinal use. These findings underscore the potential of F. fomentarius as a rich source of natural bioactive compounds for developing novel therapeutics for neurodegenerative diseases and cancer. Furthermore, its mineral content and antioxidant constituents support its use as a functional food supplement aimed at reducing oxidative stress, enhancing neuroprotection, and potentially lowering cancer risk. Continued evidence-based ethnopharmacological research is essential to validate these applications and facilitate its integration into modern medicine.
Supplementary Materials
The following supporting information can be downloaded at: https://www.mdpi.com/article/10.3390/microorganisms13061210/s1, Table S1: Optimized dynamic MRM parameters for all quantified compounds in the analyzed F. fomentarius extracts. Figure S1. LC-MS/MS chromatograms of the most abundant phenolic compounds and quinic acid in Fomes fomentarius extracts from three different Balkan localities. Strains are labeled as follows: FB—Bosnia and Herzegovina (blue); FC—Croatia (red); FS—Serbia (green). Identified phenolic compounds by extracts are: (a) CHCl3—chloroform extract: 1—scopoletin; 2—amentoflavone (Note: the CHCl3 extract of FB did not contain any phenolic compounds above the limit of quantification, LOQ); (b) H2O—hot water extract: 1—quinic acid; 2—caffeic acid; 3—esculetin; 4—scopoletin; 5—baicalein (Note: due to samples being analyzed at different times, a shift in retention times occurred, causing the peak of quinic acid (labeled as 1) to appear at two positions. However, the identification is reliable, as all samples were analyzed with calibration standards); (c) EtOH—70% hydroethanolic extract: 1—quinic acid; 2—protocatechuic acid; 3—p-hydroxybenzoic acid; 4—esculetin; 5—caffeic acid; 6—scopoletin; 7—baicalein (Note: due to samples being analyzed at different times, a retention time shift caused the peaks of quinic acid (1) and caffeic acid (5) to appear at two positions. The identification remains reliable due to calibration with standards; (d) MeOH—80% hydromethanolic extract: 1—quinic acid; 2—protocatechuic acid; 3—gentisic acid; 4—esculetin; 5—p-hydroxybenzoic acid; 6—caffeic acid; 7—p-coumaric acid; 8—scopoletin. Figure S2: Pearson’s correlation matrix for the examined parameters in three tested F. fomentarius strains, showing the relationships between total carbohydrate content (TCC), total phenolic content (TPC), quantified levels of 14 polyphenolics and quinic acid, and antiproliferative activity assessed using the MTT assay.
Author Contributions
Conceptualization, M.R.; methodology, M.R., M.K. (Marko Kebert), D.P.Š., S.B., Á.E.K. and I.Z.; software, M.R., D.P.Š., M.K. (Marko Kebert), S.B., Á.E.K. and I.Z.; validation, M.R. and M.K. (Marko Kebert); formal analysis, M.R., M.K. (Marko Kebert), D.P.Š., S.B. and Á.E.K.; investigation, M.R.; resources, M.R., M.K. (Marko Kebert), I.Z. and S.J.-Š.; data curation, M.R., M.K. (Marko Kebert), D.P.Š., Á.E.K. and I.Z.; writing—original draft preparation, M.R., M.K. (Marko Kebert), D.P.Š., J.M. and I.Z.; writing—review and editing, M.R., M.K. (Marko Kebert), D.P.Š., J.M., I.Z., M.K. (Maja Karaman) and S.J.-Š.; visualization, M.R.; supervision, M.R.; project administration, M.R.; funding acquisition, M.R. and I.Z. All authors have read and agreed to the published version of the manuscript.
Funding
The authors gratefully acknowledge the financial support of the Ministry of Science, Technological Development and Innovation of the Republic of Serbia (Grant Nos. 451-03-137/2025-03/200125 and 451-03-136/2025-03/200125).
Institutional Review Board Statement
Not applicable.
Informed Consent Statement
Not applicable.
Data Availability Statement
All data are available within manuscript and the Supplementary Material.
Acknowledgments
The authors would like to thank Katarina Dragić for help in the experimental part of this study.
Conflicts of Interest
The authors declare no conflicts of interest.
Abbreviations
The following abbreviations are used in this manuscript:
FC | Fomes fomentarius strain sampled from Croatia |
FB | Fomes fomentarius strain sampled from Bosnia and Herzegovina |
FS | Fomes fomentarius strain sampled from Serbia |
H2O | Hot water extract |
EtOH | Hydroethanolic extract prepared with 70% ethanol |
MeOH | Hydromethanolic extract prepared with 80% methanol |
CHCl3 | Chloroform extract |
ROS | Reactive oxygen species |
AChE | Acetylcholinesterase |
AAS | Atomic absorption spectrophotometry |
HPLC-FD | High-performance liquid chromatography coupled with fluorescence detector |
LC-MS/MS | Liquid chromatography coupled with tandem mass-spectrometric detection |
PA | Polyamine |
PUT | Putrescine |
SPD | Spermidine |
SPM | Spermine |
TPC | Total phenolic content |
TCC | Total carbohydrate content |
DPPH | 2,2-Diphenyl-1-picrylhydrazyl radical, DPPH• |
ABTS | 2,2′-Azino-bis(3-ethylbenzothiazoline-6-sulfonic acid), ABTS•+ |
NO | Nitric oxide radical, NO• |
FRAP | Ferric reducing antioxidant power |
FC | Folin–Ciocalteu |
AAE | Ascorbic acid equivalents |
GAE | Gallic acid equivalents |
GluE | Glucose equivalents |
TE | Trolox equivalents |
d.w. | Dry weight |
dH2O | Distilled water |
PG | Propyl gallate |
SD | Standard deviation |
SEM | Standard error of the mean |
PCA | Principal component analysis |
References
- Gafforov, Y.; Rašeta, M.; Rapior, S.; Yarasheva, M.; Wang, X.; Zhou, L.; Wan-Mohtar, W.A.A.Q.I.; Zafar, M.; Lim, Y.W.; Wang, M.; et al. Macrofungi as medicinal resources in Uzbekistan: Biodiversity, ethnomycology, and ethnomedicinal practices. J. Fungi 2023, 9, 922. [Google Scholar] [CrossRef] [PubMed]
- Morales, D. Fomes fomentarius: An underexplored mushroom as source of bioactive compounds. Food Biosci. 2024, 61, 104781. [Google Scholar] [CrossRef]
- Orhan, I.E.; Üstün, O. Determination of total phenol content, antioxidant activity and acetylcholinesterase inhibition in selected mushrooms from Turkey. J. Food Compos. Anal. 2011, 24, 386–390. [Google Scholar] [CrossRef]
- Rašeta, M.; Karaman, M.; Jakšić, M.; Šibul, F.; Kebert, M.; Novaković, A.; Popović, M. Mineral composition, antioxidant and cytotoxic biopotentials of wild-growing Ganoderma species (Serbia): G. lucidum (Curtis) P. Karst vs. G. applanatum (Pers.) Pat. Int. J. Food Sci. Technol. 2016, 51, 2583–2590. [Google Scholar] [CrossRef]
- Rašeta, J.; Vrbaški, S.; Bošković, V.E.; Popović, M.; Mimica-Dukić, N.M.; Karaman, A.M. Comparison of antioxidant capacities of two Ganoderma lucidum strains of different geographical origins. Matica Srp. J. Nat. Sci. 2017, 133, 209–219. [Google Scholar] [CrossRef]
- Rašeta, M.; Popović, M.; Beara, I.; Šibul, F.; Zengin, G.; Krstić, S.; Karaman, M. Anti-inflammatory, antioxidant and enzyme inhibition activities in correlation with mycochemical profile of selected indigenous Ganoderma spp. from Balkan region (Serbia). Chem. Biodivers. 2021, 18, e2000828. [Google Scholar] [CrossRef]
- Rašeta, M.; Mišković, J.; Čapelja, E.; Zapora, E.; Petrović Fabijan, A.; Knežević, P.; Karaman, M. Do Ganoderma species represent novel sources of phenolic based antimicrobial agents? Molecules 2023, 28, 3264. [Google Scholar] [CrossRef]
- Rašeta, M.; Kebert, M.; Mišković, J.; Rakić, M.; Kostić, S.; Čapelja, E.; Karaman, M. Polyamines in edible and medicinal fungi from Serbia: A novel perspective on neuroprotective properties. J. Fungi 2024, 10, 21. [Google Scholar] [CrossRef]
- Khojimatov, O.K.; Gafforov, Y.; Bussmann, R.W. Ethnobiology of Uzbekistan: Ethnomedicinal Knowledge of Mountain Communities, 1st ed.; Springer Nature: Basel, Switzerland, 2023; 1564p. [Google Scholar]
- Grienke, U.; Zöll, M.; Peintner, U.; Rollinger, J.M. European medicinal polypores-a modern view on traditional uses. J. Ethnopharmacol. 2014, 154, 564–583. [Google Scholar] [CrossRef]
- Kim, S.H.; Jakhar, R.; Kang, S.C. Apoptotic properties of polysaccharide isolated from fruiting bodies of medicinal mushroom Fomes fomentarius in human lung carcinoma cell line. Saudi J. Biol. Sci. 2015, 22, 484–490. [Google Scholar] [CrossRef]
- Gafforov, Y.; Kalitukha, L.; Tomšovský, M.; Angelini, P.; Venanzoni, R.; Angeles Flores, G.; Yarasheva, M.; Wan-Mohtar, W.A.A.Q.I.; Rapior, S. Fomes fomentarius (L.) Fr.—POLYPORACEAE. In Ethnobiology of Uzbekistan: Ethnomedicinal Knowledge of Mountain Communities, 1st ed.; Khojimatov, O.K., Gafforov, Y., Bussmann, R.W., Eds.; Springer Nature: Basel, Switzerland, 2023; pp. 1045–1063. [Google Scholar]
- Tubić Vukajlović, J.; Djordjević, K.; Tosti, T.; Simić, I.; Grbović, F.; Milošević-Djordjević, O. In vitro effect of Lenzites betulinus mushroom against therapy-induced DNA damage in peripheral blood lymphocytes of patients with acute coronary syndrome. J. Ethnopharmacol. 2024, 335, 118640. [Google Scholar] [CrossRef] [PubMed]
- Bardaweel, S.K.; Gul, M.; Alzweiri, M.; Ishaqat, A.; ALSalamat, H.A.; Bashatwah, R.M. Reactive oxygen species: The dual role in physiological and pathological conditions of the human body. Eurasian J. Med. 2018, 50, 193. [Google Scholar] [CrossRef] [PubMed]
- Rocha, R.O.; Wilson, R. Essential, deadly, enigmatic: Polyamine metabolism and roles in fungal cells. Fungal Biol. Rev. 2019, 33, 45–57. [Google Scholar] [CrossRef]
- Makletsova, M.G.; Syatkin, S.P.; Poleshchuk, V.V.; Urazgildeeva, G.R.; Chigaleychik, L.A.; Sungrapova, C.Y.; Illarioshkin, S.N. Polyamines in Parkinson’s disease: Their role in oxidative stress induction and protein aggregation. J. Neurol. Res. 2019, 9, 1–7. [Google Scholar] [CrossRef]
- Đorđievski, S.; Vukašinović, E.L.; Čelić, T.V.; Pihler, I.; Kebert, M.; Kojić, D.; Purać, J. Spermidine dietary supplementation and polyamines level in reference to survival and lifespan of honey bees. Sci. Rep. 2023, 13, 4329. [Google Scholar] [CrossRef]
- Vazirian, M.; Dianat, S.; Manayi, A.; Ziari, R.; Mousazadeh, A.R.; Habibi, E.; Saeidnia, S.; Amanzadeh, Y. Anti-inflammatory effect, total polysaccharide, total phenolics content and antioxidant activity of the aqueous extract of three basidiomycetes. Res. J. Pharmacogn. 2014, 1, 15–21. [Google Scholar]
- Kolundžić, M.; Grozdanić, N.Đ.; Dodevska, M.; Milenković, M.; Sisto, F.; Miani, A.; Farronato, G.; Kundaković, T. Antibacterial and cytotoxic activities of wild mushroom Fomes fomentarius (L.) Fr., Polyporaceae. Ind. Crops Prod. 2016, 79, 110–115. [Google Scholar] [CrossRef]
- Papp, N.; Rudolf, K.; Bencsik, T.; Czégényi, D. Ethnomycological use of Fomes fomentarius (L.) Fr. and Piptoporus betulinus (Bull.) P. Karst. in Transylvania, Romania. Genet. Resour. Crop Evol. 2017, 64, 101–111. [Google Scholar] [CrossRef]
- Pasailiuk, M.V. Total flavonoid content, lipid peroxidation and total antioxidant activity of Hericium coralloides, Fomes fomentarius and Schizophyllum commune cultivated by the method of direct confrontation. Ital. J. Mycol. 2020, 49, 25–37. [Google Scholar]
- Chen, W.; Zhao, Z.; Chen, S.; Li, Y. Optimization for the production of exopolysaccharide from Fomes fomentarius in submerged culture and its antitumor effect in vitro. Bioresour. Technol. 2008, 99, 3187–3194. [Google Scholar] [CrossRef]
- Dundar, A.; Okumuş, V.; Ozdemir, S.; Çelik, K.S.; Boğa, M.S.; Ozcagli, E. Determination of cytotoxic, anticholinesterase, antioxidant and antimicrobial activities of some wild mushroom species. Cogent Food Agric. 2016, 2, 1178060. [Google Scholar] [CrossRef]
- Gáper, J.; Gáperová, S.; Pristaš, P.; Náplavová, K. Medicinal value and taxonomy of the tinder polypore, Fomes fomentarius (Agaricomycetes): A review. Int. J. Med. Mushrooms 2016, 18, 851–859. [Google Scholar] [CrossRef] [PubMed]
- Gründemann, C.; Reinhardt, J.K.; Lindequist, U. European medicinal mushrooms: Do they have potential for modern medicine?—An update. Phytomedicine 2020, 66, 153131. [Google Scholar] [CrossRef] [PubMed]
- Tortić, M. Gljive kao lijek. Prir. Pop. Časopis Hrvat. Prirodosl. Društva 1961, 9, 272–275. [Google Scholar]
- Uzunov, B.A.; Stoyneva-Gärtner, M.P. Mushrooms and lichens in Bulgarian ethnomycology. J. Mycol. 2015, 2015, 1–7. [Google Scholar] [CrossRef][Green Version]
- Živković, J.; Ivanov, M.; Stojković, D.; Glamočlija, J. Ethnomycological investigation in Serbia: Astonishing realm of mycomedicines and mycofood. J. Fungi 2021, 75, 349. [Google Scholar] [CrossRef]
- Peintner, U.; Schwarz, S.; Mešić, A.; Moreau, P.; Moreno, G.; Saviuc, P. Mycophilic or mycophobic? Legislation and guidelines on wild mushroom commerce reveal different consumption behaviour in European countries. PLoS ONE 2013, 8, e63926. [Google Scholar] [CrossRef]
- Rašeta, M.; Mišković, J.; Kebert, M.; Berežni, S.; Krstić, S.; Gojgić-Cvijović, G.; Pirker, T.; Bauer, R.; Karaman, M. Mycochemical profiles and bioactivities of Fistulina hepatica and Volvopluteus gloiocephalus from Serbia: Antioxidant, enzyme inhibition, and cytotoxic potentials. Food Biosci. 2025, 66, 106221. [Google Scholar] [CrossRef]
- Gąsecka, M.; Mleczek, M.; Siwulski, M.; Niedzielski, P. Phenolic composition and antioxidant properties of Pleurotus ostreatus and Pleurotus eryngii enriched with selenium and zinc. Eur. Food Res. Technol. 2016, 242, 723–732. [Google Scholar] [CrossRef]
- Kebert, M.; Kostić, S.; Vuksanović, V.; Gavranović Markić, A.; Kiprovski, B.; Zorić, M.; Orlović, S. Metal- and organ-specific response to heavy metal-induced stress mediated by antioxidant enzymes’ activities, polyamines, and plant hormones levels in Populus deltoides. Plants 2022, 11, 3246. [Google Scholar] [CrossRef]
- Scaramagli, S.; Biondi, S.; Torrigiani, P. Methylglyoxal(bis-guanylhydrazone) inhibition of organogenesis is not due to S-adenosylmethionine decarboxylase inhibition/polyamine depletion in tobacco thin layers. Physiol. Plant. 1999, 107, 353–360. [Google Scholar] [CrossRef]
- Orčić, D.; Francišković, M.; Bekvalac, K.; Svirčev, E.; Beara, I.; Lesjak, M.; Mimica-Dukić, N. Quantitative determination of plant phenolics in Urtica dioica extracts by high-performance liquid chromatography coupled with tandem mass-spectrometric detection. Food Chem. 2014, 143, 48–53. [Google Scholar] [CrossRef] [PubMed]
- Singleton, V.L.; Orthofer, R.; Lamuela-Raventos, R.M. Analysis of total phenols and other oxidation substrates and antioxidants by means of Folin-Ciocalteu reagent. Methods Enzymol. 1999, 299, 152–178. [Google Scholar]
- Espín, J.C.; Soler-Rivas, C.; Wichers, H.J. Characterization of the total free radical scavenger capacity of vegetable oils and oil fractions using 2,2-diphenyl-1-picrylhydrazyl radical. J. Agric. Food Chem. 2000, 48, 648–656. [Google Scholar] [CrossRef]
- Arnao, M.B.; Cano, A.; Acosta, M. The hydrophilic and lipophilic contribution to total antioxidant activity. Food Chem. 2001, 73, 239–244. [Google Scholar] [CrossRef]
- Green, C.E.; Wagner, D.A.; Glogowski, J.; Skipper, P.L.; Wishnok, J.S.; Tannenbaum, S.R. Analysis of nitrate, nitrite and nitrate in biological fluids. Anal. Biochem. 1982, 243, 709–714. [Google Scholar] [CrossRef]
- Halliwell, B.; Gutteridge, J. Iron and free radical reactions: Two aspects of antioxidant protection. Trends Biochem. Sci. 1986, 11, 372–375. [Google Scholar] [CrossRef]
- Benzie, I.F.F.; Strain, J.J. Ferric reducing/antioxidant power assay: Direct measure of total antioxidant activity of biological fluids and modified version for simultaneous measurement of total antioxidant power and ascorbic acid and concentration. Methods Enzymol. 1999, 299, 15–27. [Google Scholar]
- Ellman, G.L.; Courtney, K.D.; Andrés, V.; Featherstone, R.M. A new and rapid colorimetric determination of acetylcholinesterase activity. Biochem. Pharmacol. 1961, 7, 88–95. [Google Scholar] [CrossRef]
- Pintać, D.; Četojević-Simin, D.; Berežni, S.; Orčić, D.; Mimica-Dukić, N.; Lesjak, M. Investigation of the chemical composition and biological activity of edible grapevine (Vitis vinifera L.) leaf varieties. Food Chem. 2019, 286, 686–695. [Google Scholar] [CrossRef]
- Mosmann, T.R. Rapid colorimetric assay for cellular growth and survival: Application to proliferation and cytotoxicity assays. J. Immunol. Methods 1983, 65, 55–63. [Google Scholar] [CrossRef] [PubMed]
- Hammer, Ø.; Harper, D.A.T.; Ryan, P.D. PAST: Paleontological statistics software package for education and data analysis version 2.09. Palaeontol. Electron. 2001, 4, 1–9. [Google Scholar]
- Razzaque, M.S.; Wimalawansa, S.J. Minerals and Human Health: From Deficiency to Toxicity. Nutrients 2025, 17, 454. [Google Scholar] [CrossRef] [PubMed]
- Fouhy, L.E.; Mangano, K.M.; Zhang, X.; Hughes, B.D.; Tucker, K.L.; Noel, S.E. Association between a Calcium-to-magnesium ratio and osteoporosis among Puerto Rican adults. J. Nutr. 2023, 153, 2642–2650. [Google Scholar] [CrossRef]
- Rosanoff, A.; Weaver, C.M.; Rude, R.K. Suboptimal magnesium status in the United States: Are the health consequences underestimated? Nutr. Rev. 2012, 70, 153–164. [Google Scholar] [CrossRef]
- Karaman, M.; Matavulj, M. Macroelements and heavy metals in some lignicolous and tericolous fungi. Matica Srp. J. Nat. Sci. 2005, 108, 255–267. [Google Scholar] [CrossRef]
- Mallikarjuna, S.E.; Ranjini, A.; Haware, D.J.; Vijayalakshmi, M.R.; Shashirekha, M.; Rajarathnam, S. Mineral composition of four edible mushrooms. J. Chem. 2013, 2013, 805284. [Google Scholar] [CrossRef]
- Tel-Çayan, G.; Öztürk, M.; Duru, M.E.; Yabanlı, M.; Türkoğlu, A. Content of minerals and trace elements determined by ICP-MS in eleven mushroom species from Anatolia, Turkey. Chiang Mai J. Sci. 2017, 44, 939–945. [Google Scholar]
- Florencio-Silva, R.; Sasso, G.R.; Sasso-Cerri, E.; Simões, M.J.; Cerri, P.S. Biology of bone tissue: Structure, function, and factors that influence bone cells. BioMed Res. Int. 2015, 2015, 421746. [Google Scholar] [CrossRef]
- Stilinović, N.; Škrbić, B.; Živančev, J.; Mrmoš, N.; Pavlović, N.; Vukmirović, S. The level of elements and antioxidant activity of commercial dietary supplement formulations based on edible mushrooms. Food Funct. 2014, 5, 3170–3178. [Google Scholar] [CrossRef]
- Stilinović, N.; Čapo, I.; Vukmirović, S.; Rašković, A.; Tomas, A.; Popović, M.; Sabo, A. Chemical composition, nutritional profile and in vivo antioxidant properties of the cultivated mushroom Coprinus comatus. R. Soc. Open Sci. 2020, 7, 200900. [Google Scholar] [CrossRef] [PubMed]
- Rašeta, M.; Rakić, M.; Čapelja, E.; Karaman, M. Chapter 2: Update on Research Data on the Nutrient Composition of Mushrooms and Their Potentials in Future Human Diets. In Food Chemistry, Function and Analysis, Edible Fungi: Chemical Composition, Nutrition and Health Effects, 1st ed.; Stojković, D., Barros, L., Eds.; Royal Society of Chemistry: Cambridge, UK, 2022; pp. 27–67. [Google Scholar]
- Gałgowska, M.; Pietrzak-Fiećko, R. Mineral composition of three popular wild mushrooms from Poland. Molecules 2020, 25, 3588. [Google Scholar] [CrossRef] [PubMed]
- Gnusarev, S.; Mitrofanova, N.; Churakov, B.P. The effect of mixed rot from the present tinder (Fomes fomentarius (L.:Fr.) Gill.) on the accumulation of heavy metals in the hanging birch (Betula pendula Roth.). In Proceedings of the Materialy VIII Vserossijskoj Konferencii s Mezhdunarodnym Uchastiem «Mediko-Fiziologicheskie Problemy Jekologii Cheloveka», Ulyanovsk, Russia, 1–4 December 2021. [Google Scholar]
- Dadáková, E.; Pelikánová, T.; Kalač, P. Content of biogenic amines and polyamines in some species of European wild-growing edible mushrooms. Eur. Food Res. Technol. 2009, 230, 163–171. [Google Scholar] [CrossRef]
- Reis, G.L.; Custódio, F.B.; Botelho, B.G.; Guidi, L.R.; Glória, M.B. Investigation of biologically active amines in some selected edible mushrooms. J. Food Compos. Anal. 2020, 86, 103375. [Google Scholar] [CrossRef]
- Kalač, P. Health effects and occurrence of dietary polyamines: A review for the period 2005-mid 2013. Food Chem. 2014, 161, 27–39. [Google Scholar] [CrossRef]
- Bal, C.; Akgul, H.; Sevindik, M.; Akata, I.; Yumrutas, O. Determination of the anti-oxidative activities of six mushrooms. Fresenius Environ. Bull. 2017, 26, 6246–6252. [Google Scholar]
- Kozarski, M.; Klaus, A.; Jakovljevic, D.; Todorović, N.; Vunduk, J.; Petrović, P.M.; Nikšić, M.P.; Vrvić, M.M.; Van Griensven, L.J. Antioxidants of edible mushrooms. Molecules 2015, 20, 19489–19525. [Google Scholar] [CrossRef]
- Karaman, M.; Stahl, M.; Vulić, J.; Vesić, M.; Čanadanović-Brunet, J. Wild-growing lignicolous mushroom species as sources of novel agents with antioxidative and antibacterial potentials. Int. J. Food Sci. Nutr. 2014, 65, 311–319. [Google Scholar] [CrossRef]
- Tešanović, K.; Pejin, B.; Šibul, F.; Matavulj, M.; Rašeta, M.; Janjušević, L.; Karaman, M. A comparative overview of antioxidative properties and phenolic profiles of different fungal origins: Fruiting bodies and submerged cultures of Coprinus comatus and Coprinellus truncorum. J. Food Sci. Technol. 2017, 54, 430–438. [Google Scholar] [CrossRef]
- Babotă, M.; Frumuzachi, O.; Nicolescu, A.; Ielciu, I.; Păltinean, R.; Crişan, G.; Mocan, A. Chapter 4: Bioactive Phenolic Compounds from Mushrooms. In Edible Fungi: Chemical Composition, Nutrition and Health Effects, 1st ed.; Stojković, D., Barros, L., Eds.; Royal Society of Chemistry: Cambridge, UK, 2022; pp. 139–160. [Google Scholar]
- Rašeta, M.; Popović, M.; Knežević, P.; Šibul, F.; Kaišarević, S.; Karaman, M. Bioactive phenolic compounds of two medicinal mushroom species Trametes versicolor and Stereum subtomentosum as antioxidant and antiproliferative agents. Chem. Biodivers. 2020, 17, e2000683. [Google Scholar] [CrossRef]
- Benali, T.; Bakrim, S.; Ghchime, R.; Benkhaira, N.; El Omari, N.; Balahbib, A.; Taha, D.; Zengin, G.; Hasan, M.M.; Bibi, S.; et al. Pharmacological insights into the multifaceted biological properties of quinic acid. Biotechnol. Genet. Eng. Rev. 2022, 40, 3408–3437. [Google Scholar] [CrossRef] [PubMed]
- Lemos, A.S.; Florêncio, J.R.; Pinto, N.C.; Campos, L.M.; Silva, T.P.; Grazul, R.M.; Pinto, P.D.; Tavares, G.D.; Scio, E.; Apolônio, A.C.; et al. Antifungal activity of the natural coumarin scopoletin against planktonic cells and biofilms from a multidrug-resistant Candida tropicalis strain. Front. Microbiol. 2020, 11, 1525. [Google Scholar] [CrossRef] [PubMed]
- Han, B.; Luo, J.; Xu, B. Insights into the chemical compositions and health promoting effects of wild edible mushroom Chroogomphus rutilus. Nutrients 2023, 15, 4030. [Google Scholar] [CrossRef] [PubMed]
- Nowacka, N.; Nowak, R.; Drozd, M.; Olech, M.; Los, R.; Malm, A. Antibacterial, antiradical potential and phenolic compounds of thirty-one Polish mushrooms. PLoS ONE 2015, 10, e0140355. [Google Scholar] [CrossRef]
- Karadeniz, M.; Bakır, T.K.; Ünal, S. Investigation of the antioxidant and total phenolic substance of Fomes fomentarius and Ganoderma applanatum mushrooms showing therapeutic properties. Bilge Int. J. Sci. Technol. Res. 2024, 8, 14–18. [Google Scholar] [CrossRef]
- Deveci, E.; Çayan, F.; Tel-Çayan, G.; Duru, M.E. Structural characterization and determination of biological activities for different polysaccharides extracted from tree mushroom species. J. Food Biochem. 2019, 43, e12965. [Google Scholar] [CrossRef]
- Saltarelli, R.; Ceccaroli, P.; Iotti, M.; Zambonelli, A.; Buffalini, M.; Casadei, L.; Vallorani, L.; Stocchi, V. Biochemical characterisation and antioxidant activity of mycelium of Ganoderma lucidum from Central Italy. Food Chem. 2009, 116, 143–151. [Google Scholar] [CrossRef]
- On-nom, N.; Suttisansanee, U.; Chathiran, W.; Charoenkiatkul, S.; Thiyajai, P.; Srichamnong, W. Nutritional security: Carbohydrate profile and folk remedies of rare edible mushrooms to diversify food and diet: Thailand case study. Sustainability 2023, 15, 14034. [Google Scholar] [CrossRef]
- Ilyashenka, S. Biological activity of Fomes fomentarius. J. Pharm. Pharmacol. 2022, 10, 294–298. [Google Scholar] [CrossRef]
- Darkal, A.K.; Zuraik, M.M.; Ney, Y.; Nasim, M.J.; Jacob, C. Unleashing the biological potential of Fomes fomentarius via dry and wet milling. Antioxidants 2021, 10, 303. [Google Scholar] [CrossRef]
- Nguyen, H.A.; Ho, T.P.; Mangelings, D.; Van Eeckhaut, A.; Vander Heyden, Y.; Tran, H.T. Antioxidant, neuroprotective, and neuroblastoma cells (SH-SY5Y) differentiation effects of melanins and arginine-modified melanins from Daedaleopsis tricolor and Fomes fomentarius. BMC Biotechnol. 2024, 24, 89. [Google Scholar] [CrossRef] [PubMed]
- Pero, R.W.; Lund, H.; Leanderson, T. Antioxidant metabolism induced by quinic acid. increased urinary excretion of tryptophan and nicotinamide. Phytother. Res. 2009, 23, 335–346. [Google Scholar] [CrossRef] [PubMed]
- Ha, S.H.; Kang, H.K.; Hosseindoust, A.; Mun, J.Y.; Moturi, J.; Tajudeen, H.; Lee, H.; Cheong, E.J.; Kim, J.S. Effects of scopoletin supplementation and stocking density on growth performance, antioxidant activity, and meat quality of Korean native broiler chickens. Foods 2021, 10, 1505. [Google Scholar] [CrossRef] [PubMed]
- Chen, N.; Jiang, T.; Xu, J.; Xi, W.; Shang, E.; Xiao, P.; Duan, J. The relationship between polysaccharide structure and its antioxidant activity needs to be systematically elucidated. Int. J. Biol. Macromol. 2024, 270, 132391. [Google Scholar] [CrossRef]
- Murray Stewart, T.; Dunston, T.T.; Woster, P.M.; Casero, R.A., Jr. Polyamine catabolism and oxidative damage. J. Biol. Chem. 2018, 293, 18736–18745. [Google Scholar] [CrossRef]
- Casero, R.A., Jr.; Murray Stewart, T.; Pegg, A.E. Polyamine metabolism and cancer: Treatments, challenges and opportunities. Nat. Rev. Cancer. 2018, 18, 681–695. [Google Scholar] [CrossRef]
- Moss, D.E. Improving anti-neurodegenerative benefits of acetylcholinesterase inhibitors in Alzheimer’s disease: Are irreversible inhibitors the future? Int. J. Mol. Sci. 2020, 21, 3438. [Google Scholar] [CrossRef]
- Murray, A.P.; Faraoni, M.B.; Castro, M.J.; Alza, N.P.; Cavallaro, V. Natural AChE inhibitors from plants and their contribution to Alzheimer’s disease therapy. Curr. Neuropharmacol. 2013, 11, 388–413. [Google Scholar] [CrossRef]
- Borai, I.H.; Ezz, M.K.; Rizk, M.Z.; Aly, H.F.; El-Sherbiny, M.; Matloub, A.A.; Fouad, G.I. Therapeutic impact of grape leaves polyphenols on certain biochemical and neurological markers in AlCl3-induced Alzheimer’s disease. Biomed. Pharmacother. 2017, 93, 837–851. [Google Scholar] [CrossRef]
- Ahmed, S.; Khan, S.; Zargaham, M.K.; Khan, A.; Khan, S.; Hussain, A.; Uddin, J.; Khan, A.; Al-Harrasi, A. Potential therapeutic natural products against Alzheimer’s disease with reference of acetylcholinesterase. Biomed. Pharmacother. 2021, 139, 111609. [Google Scholar] [CrossRef]
- Ghosh, I.; Sankhe, R.; Mudgal, J.; Arora, D.; Nampoothiri, M. Spermidine, an autophagy inducer, as a therapeutic strategy in neurological disorders. Neuropeptides 2020, 83, 102083. [Google Scholar] [CrossRef] [PubMed]
- Arthur, R.; Jamwal, S.; Kumar, P. A review on polyamines as promising next-generation neuroprotective and anti-aging therapy. Eur. J. Pharmacol. 2024, 978, 176804. [Google Scholar] [CrossRef] [PubMed]
- Cör, D.; Botić, T.; Gregori, A.; Pohleven, F.; Knez, Ž. The effects of different solvents on bioactive metabolites and “in vitro” antioxidant and anti-acetylcholinesterase activity of Ganoderma lucidum fruiting body and primordia extracts. Maced. J. Chem. Chem. Eng. 2017, 36, 129–141. [Google Scholar] [CrossRef]
- Jabir, N.R.; Khan, F.R.; Tabrez, S. Cholinesterase targeting by polyphenols: A therapeutic approach for the treatment of Alzheimer’s disease. CNS Neurosci. Ther. 2018, 24, 753–762. [Google Scholar] [CrossRef]
- Budryn, G.; Majak, I.; Grzelczyk, J.; Szwajgier, D.; Rodríguez-Martínez, A.; Pérez-Sánchez, H. Hydroxybenzoic acids as acetylcholinesterase inhibitors: Calorimetric and docking simulation studies. Nutrients 2022, 14, 2476. [Google Scholar] [CrossRef]
- Barbosa, J.R.; de Carvalho Júnior, R.N. Polysaccharides obtained from natural edible sources and their role in modulating the immune system: Biologically active potential that can be exploited against COVID-19. Trends Food Sci. Technol. 2021, 108, 223–235. [Google Scholar] [CrossRef]
- Sułkowska-Ziaja, K.; Balik, M.; Szczepkowski, A.; Trepa, M.; Zengin, G.; Kała, K.; Muszyńska, B. A review of chemical composition and bioactivity studies of the most promising species of Ganoderma spp. Diversity 2023, 15, 882. [Google Scholar] [CrossRef]
- Guerra, G.P.; Rubin, M.A.; Mello, C.F. Modulation of learning and memory by natural polyamines. Pharmacol. Res. 2016, 112, 99–118. [Google Scholar] [CrossRef]
- Toro-Funes, N.; Bosch-Fusté, J.; Veciana-Nogués, M.T.; Izquierdo-Pulido, M.; Vidal-Carou, M.D. In vitro antioxidant activity of dietary polyamines. Food Res. Int. 2013, 51, 141–147. [Google Scholar] [CrossRef]
- Makletsova, M.G.; Rikhireva, G.T.; Kirichenko, E.Y.; Trinitatsky, I.Y.; Vakulenko, M.Y.; Ermakov, A.M. The role of polyamines in the mechanisms of cognitive impairment. J. Neurochem. 2022, 16, 283–294. [Google Scholar] [CrossRef]
- Zhang, L.; Gu, C.; Liu, J. Nature spermidine and spermine alkaloids: Occurrence and pharmacological effects. Arab. J. Chem. 2022, 15, 104367. [Google Scholar] [CrossRef]
- Shnyreva, A.V.; Shnyreva, A.A.; Espinoza, C.; Padrón, J.M.; Trigos, Á. Antiproliferative activity and cytotoxicity of some medicinal wood-destroying mushrooms from Russia. Int. J. Med. Mushrooms 2018, 20, 1–11. [Google Scholar] [CrossRef] [PubMed]
- Rosendahl, A.H.; Perks, C.M.; Zeng, L.; Markkula, A.; Simonsson, M.; Rose, C.; Ingvar, C.; Holly, J.M.P.; Jernstrom, H. Caffeine and caffeic acid inhibit growth and modify estrogen receptor and insulin-like growth factor i receptor levels in human breast cancer. Clin. Cancer Res. 2015, 21, 1877–1887. [Google Scholar] [CrossRef] [PubMed]
Disclaimer/Publisher’s Note: The statements, opinions and data contained in all publications are solely those of the individual author(s) and contributor(s) and not of MDPI and/or the editor(s). MDPI and/or the editor(s) disclaim responsibility for any injury to people or property resulting from any ideas, methods, instructions or products referred to in the content. |
© 2025 by the authors. Licensee MDPI, Basel, Switzerland. This article is an open access article distributed under the terms and conditions of the Creative Commons Attribution (CC BY) license (https://creativecommons.org/licenses/by/4.0/).