Influence Pattern and Mechanism of Increased Nitrogen Deposition and AM Fungi on Soil Microbial Community in Desert Ecosystems
Abstract
1. Introduction
2. Materials and Methods
2.1. Study Site
2.2. Experimental Design
2.3. Sampling Protocol
2.4. Measurement and Calculation of Soil Microbial Community and Soil Parameters
2.5. Data Statistics and Analysis
3. Results
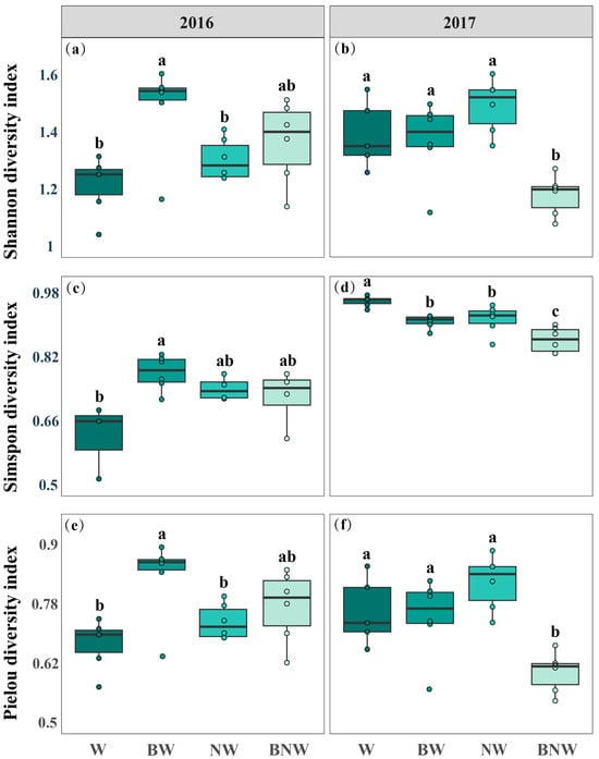
3.1. Increased N Deposition and AM Fungi Significantly Altered Soil Physiochemical Properties and Plant Community Composition
3.2. Increased N Deposition and AM Fungi Influenced Soil Microbial Communities
3.3. Soil Physicochemical Properties, Soil Microbial and Plant Community Properties Complexly Interacted
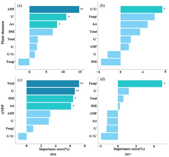
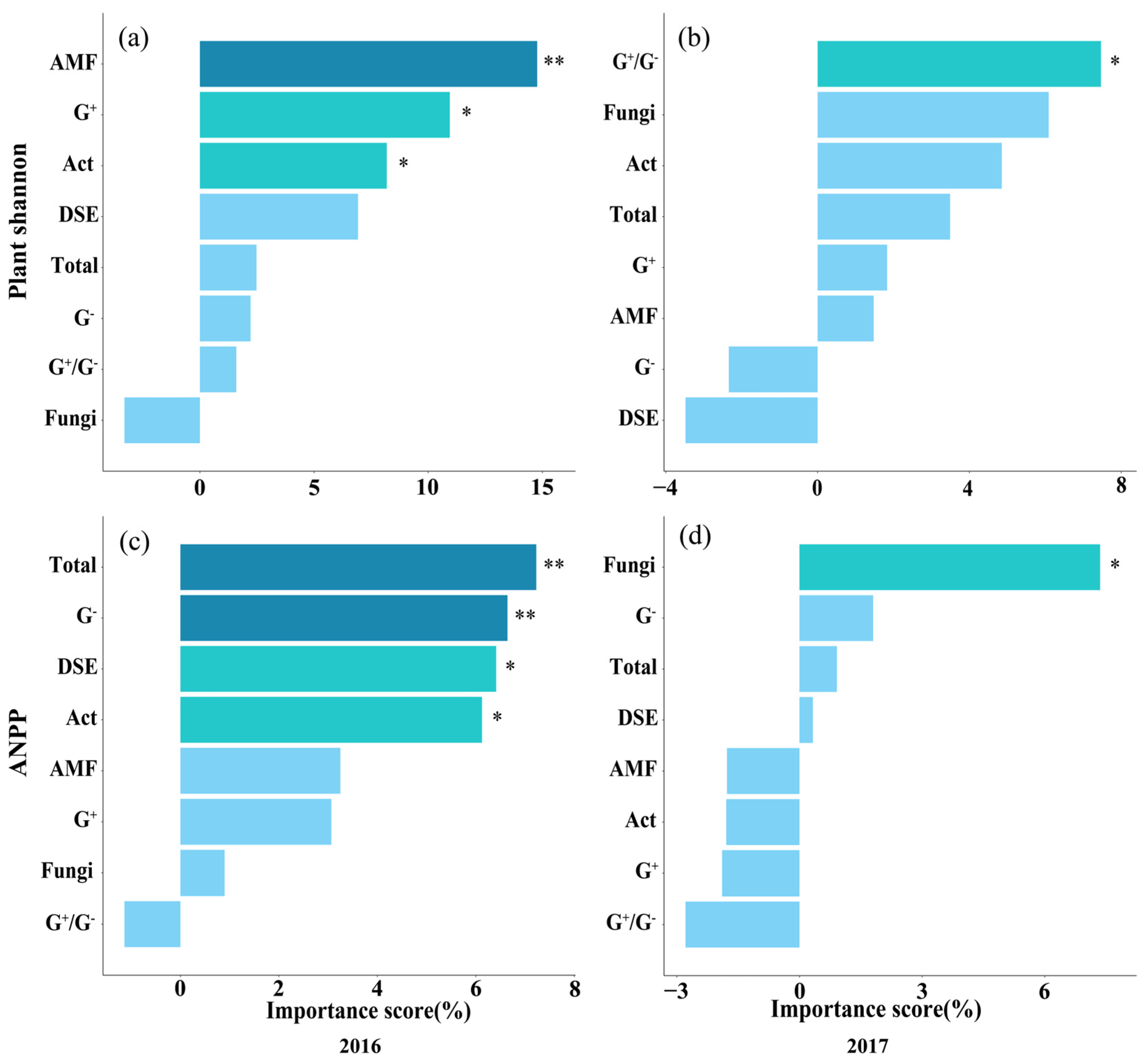
3.4. Underlying Influence Mechanisms of Increased N Deposition and Suppression of AM Fungi on Plant Community Through Altering Soil Microbes
4. Discussion
4.1. Potential Influence Pathways of Increased N Deposition and AM Fungi on Soil Microbial Communities
4.2. Increased N Deposition and AM Fungi Altered Plant Community Through Influencing Soil Fungi and AM Fungi
5. Conclusions
Supplementary Materials
Author Contributions
Funding
Institutional Review Board Statement
Informed Consent Statement
Data Availability Statement
Conflicts of Interest
References
- La Sorte, F.A.; Johnston, A.; Ault, T.R. Global Trends in the Frequency and Duration of Temperature Extremes. Clim. Change 2021, 166, 1. [Google Scholar] [CrossRef]
- LeBauer, D.S.; Treseder, K.K. Nitrogen Limitation of Net Primary Productivity in Terrestrial Ecosystems Is Globally Distributed. Ecology 2008, 89, 371–379. [Google Scholar] [CrossRef]
- Tian, D.; Niu, S. A Global Analysis of Soil Acidification Caused by Nitrogen Addition. Environ. Res. Lett. 2015, 10, 024019. [Google Scholar] [CrossRef]
- Lu, X.; Mao, Q.; Gilliam, F.S.; Luo, Y.; Mo, J. Nitrogen Deposition Contributes to Soil Acidification in Tropical Ecosystems. Glob. Change Biol. 2014, 20, 3790–3801. [Google Scholar] [CrossRef]
- Zhou, C.; Zuo, S.; Wang, X.; Ji, Y.; Lamao, Q.; Liu, L.; Huang, D. Effects of Grazing Sheep and Mowing on Grassland Vegetation Community and Soil Microbial Activity under Different Levels of Nitrogen Deposition. Agriculture 2022, 12, 1133. [Google Scholar] [CrossRef]
- Iqbal, S.; Begum, F.; Nguchu, B.A.; Claver, U.P.; Shaw, P. The invisible Architects: Microbial Communities and Their Transformative Role in Soil Health and Global Climate Changes. Environ. Microbiome 2025, 20, 36. [Google Scholar] [CrossRef]
- Li, W.; Xie, L.; Zhao, C.; Hu, X.; Yin, C. Nitrogen Fertilization Increases Soil Microbial Biomass and Alters Microbial Composition Especially Under Low Soil Water Availability. Microb. Ecol. 2023, 86, 536–548. [Google Scholar] [CrossRef] [PubMed]
- Gallardo, A.; Schlesinger, W.H. Carbon and Nitrogen Limitations of Soil Microbial Biomass in Desert Ecosystems. Biogeochemistry 1992, 18, 1–17. [Google Scholar] [CrossRef]
- Kowalchuk, G.A.; Buma, D.S.; de Boer, W.; Klinkhamer, P.G.; van Veen, J.A. Effects of above-Ground Plant Species Composition and Diversity on the Diversity of Soil-Borne Microorganisms. Antonie Van Leeuwenhoek 2002, 81, 509–520. [Google Scholar] [CrossRef]
- Roth, T.; Kohli, L.; Rihm, B.; Achermann, B. Nitrogen Deposition Is Negatively Related to Species Richness and Species Composition of Vascular Plants and Bryophytes in Swiss Mountain Grassland. Agric. Ecosyst. Environ. 2013, 178, 121–126. [Google Scholar] [CrossRef]
- Shen, H.; Dong, S.; DiTommaso, A.; Xiao, J.; Lu, W.; Zhi, Y. Nitrogen Deposition Shifts Grassland Communities Through Directly Increasing Dominance of Graminoids: A 3-Year Case Study from the Qinghai-Tibetan Plateau. Front. Plant Sci. 2022, 13, 811970. [Google Scholar] [CrossRef] [PubMed]
- She, W.; Bai, Y.; Zhang, Y.; Qin, S.; Feng, W.; Sun, Y.; Zheng, J.; Wu, B. Resource Availability Drives Responses of Soil Microbial Communities to Short-term Precipitation and Nitrogen Addition in a Desert Shrubland. Front. Microbiol. 2018, 9, 186. [Google Scholar] [CrossRef]
- Xi, D.; Jin, S.; Wu, J. Soil Bacterial Community Is More Sensitive Than Fungal Community to Canopy Nitrogen Deposition and Understory Removal in a Chinese Fir Plantation. Front. Microbiol. 2022, 13, 1015936. [Google Scholar] [CrossRef]
- Zhang, X.; Song, X.; Wang, T.; Huang, L.; Ma, H.; Wang, M.; Tan, D. The Responses to Long-Term Nitrogen Addition of Soil Bacterial, Fungal, and Archaeal Communities in a Desert Ecosystem. Front. Microbiol. 2022, 13, 1015588. [Google Scholar] [CrossRef]
- Zhang, Z.; Tang, G.; Chai, X.; Liu, B.; Gao, X.; Zeng, F.; Wang, Y.; Zhang, B. Different Responses of Soil Bacterial and Fungal Communities in Three Typical Vegetations following Nitrogen Deposition in an Arid Desert. Microorganisms 2023, 11, 2471. [Google Scholar] [CrossRef]
- Jörgensen, K.; Clemmensen, K.E.; Wallander, H.; Lindahl, B.D. Ectomycorrhizal Fungi Are More Sensitive to High Soil Nitrogen Levels in Forests Exposed to Nitrogen Deposition. New Phytol. 2024, 242, 1725–1738. [Google Scholar] [CrossRef]
- Liu, J.; Zhu, M.; Shi, X.; Hui, C.; Sun, Y.; Zhang, R.; Jin, D.; Li, Z.; Chen, H.; Zhao, Z. Cascading Impacts of Nitrogen Deposition on Soil Microbiome and Herbivore Communities in Desert Steppes. Sci. Total Environ. 2024, 955, 176892. [Google Scholar] [CrossRef]
- Song, B.; Li, Y.; Yang, L.; Shi, H.; Li, L.; Bai, W.; Zhao, Y. Soil Acidification Under Long-Term N Addition Decreases the Diversity of Soil Bacteria and Fungi and Changes Their Community Composition in a Semiarid Grassland. Microb. Ecol. 2023, 85, 221–231. [Google Scholar] [CrossRef] [PubMed]
- Jiang, N.; Zhang, H.; Zhang, S.; Qin, J.; Wang, H.; Zhang, Y.; Yang, D.; Wang, L.; Yang, Q.; Ye, H.; et al. Different Responses of Soil Bacterial Necromass Carbon and Fungal Necromass Carbon to Nitrogen Deposition in Meadow Steppe. Appl. Soil Ecol. 2025, 213, 106282. [Google Scholar] [CrossRef]
- Zhao, Y.; Chen, H.; Sun, H.; Yang, F. In the Qaidam Basin, Soil Nutrients Directly or Indirectly Affect Desert Ecosystem Stability under Drought Stress through Plant Nutrients. Plants 2024, 13, 1849. [Google Scholar] [CrossRef] [PubMed]
- Lu, G.; Xie, B.; Cagle, G.A.; Wang, X.; Han, G.; Wang, X.; Hou, A.; Guan, B. Effects of Simulated Nitrogen Deposition on Soil Microbial Community Diversity in Coastal Wetland of the Yellow River Delta. Sci. Total Environ. 2021, 757, 143825. [Google Scholar] [CrossRef]
- Belov, A.A.; Cheptsov, V.S.; Vorobyova, E.A.; Manucharova, N.A.; Ezhelev, Z.S. Stress-Tolerance and Taxonomy of Culturable Bacterial Communities Isolated from a Central Mojave Desert Soil Sample. Geosciences 2019, 9, 166. [Google Scholar] [CrossRef]
- Horn, S.; Hempel, S.; Verbruggen, E.; Rillig, M.C.; Caruso, T. Linking the Community Structure of Arbuscular Mycorrhizal Fungi and Plants: A Story of Interdependence? ISME J. 2017, 11, 1400–1411. [Google Scholar] [CrossRef] [PubMed]
- Verbruggen, E.; Van Der Heijden, M.G.; Weedon, J.T.; Kowalchuk, G.A.; Röling, W.F. Community Assembly, Species Richness and Nestedness of Arbuscular Mycorrhizal Fungi in Agricultural Soils. Mol. Ecol. 2012, 21, 2341–2353. [Google Scholar] [CrossRef] [PubMed]
- Fan, L.; Zhang, P.; Cao, F.; Liu, X.; Ji, M.; Xie, M. Effects of AMF on Maize Yield and Soil Microbial Community in Sandy and Saline Soils. Plants 2024, 13, 2056. [Google Scholar] [CrossRef]
- Gou, X.; Kong, W.; Sadowsky, M.J.; Chang, X.; Qiu, L.; Liu, W.; Shao, M.; Wei, X. Global Responses of Soil Bacteria and Fungi to Inoculation With Arbuscular Mycorrhizal Fungi. Catena 2024, 237, 107817. [Google Scholar] [CrossRef]
- Yang, N.; Zhang, J.; Hua, J.; Song, B.; Wang, T.; Xing, W.; Wang, G.; Mao, L.; Ruan, H. Differentiation of Fungal Trophic Guilds to Long-Term Nitrogen Addition in a Poplar Plantation. For. Ecol. Manag. 2024, 555, 121699. [Google Scholar] [CrossRef]
- Pozo, M.J.; Azcón-Aguilar, C. Unraveling Mycorrhiza-Induced Resistance. Curr. Opin. Plant Biol. 2007, 10, 393–398. [Google Scholar] [CrossRef]
- Duan, S.; Feng, G.; Limpens, E.; Bonfante, P.; Xie, X.; Zhang, L. Cross-Kingdom Nutrient Exchange in the Plant-Arbuscular Mycorrhizal Fungus-Bacterium Continuum. Nat. Rev. Microbiol. 2024, 22, 773–790. [Google Scholar] [CrossRef]
- Han, Y.; Feng, J.; Han, M.; Zhu, B. Responses of Arbuscular Mycorrhizal Fungi to Nitrogen Addition: A Meta-Analysis. Glob. Change Biol. 2020, 26, 7229–7241. [Google Scholar] [CrossRef]
- Zhai, C.; Yang, Y.; Kong, L.; Wang, X.; Hou, J.; Zeng, Q.; Ge, A.; Yao, B.; Zhou, Z.; Feng, J.; et al. Nitrogen Deposition Decouples Grassland Plant Community From Soil Bacterial and Fungal Communities along a Precipitation Gradient. J. Ecol. 2025, 113, 1269–1280. [Google Scholar] [CrossRef]
- Ezcurra, E.; Mellink, E. Desert Ecosystems. In Encyclopedia of Biodiversity, 2nd ed.; Academic Press: Cambridge, MA, USA, 2013; pp. 457–478. [Google Scholar] [CrossRef]
- Han, J.; Wang, J.; Zhao, C.; Yue, C.; Liu, Z. Desertification Dynamics and Future Projections in Qaidam Basin, China. Environ. Monit. Assess. 2025, 197, 293. [Google Scholar] [CrossRef]
- Yu, X.; Lei, J.; Gao, X. An Over Review of Desertification in Xinjiang, Northwest China. J. Arid Land 2022, 14, 1181–1195. [Google Scholar] [CrossRef]
- Bai, Y.; Wu, J.; Xing, Q.; Pan, Q.; Huang, J.; Yang, D.; Han, X. Primary Production and Rain Use Efficiency across a Precipitation Gradient on the Mongolia Plateau. Ecology 2008, 89, 2140–2153. [Google Scholar] [CrossRef]
- Liu, Y.; Li, X.; Zhang, Q.; Guo, Y.; Gao, G.; Wang, J. Simulation of regional Temperature and Precipitation in the Past 50 Years and the Next 30 Years over China. Quat. Int. 2010, 212, 57–63. [Google Scholar] [CrossRef]
- Zhou, X.; Zhang, Y.; Niklas, K.J. Sensitivity of Growth and Biomass Allocation Patterns to Increasing Nitrogen: A Comparison Between Ephemerals and Annuals in the Gurbantunggut Desert, North-Western China. Ann. Bot. 2014, 113, 501–511. [Google Scholar] [CrossRef] [PubMed]
- Cui, X.; Yue, P.; Gong, Y.; Li, K.; Tan, D.; Goulding, K.; Liu, X. Impacts of Water and Nitrogen Addition on Nitrogen Recovery in Haloxylon Ammodendron Dominated Desert Ecosystems. Sci. Total Environ. 2017, 601-602, 1280–1288. [Google Scholar] [CrossRef]
- Zhao, R.; Hui, R.; Liu, L.; Xie, M.; An, L. Effects of Snowfall Depth on Soil Physical–Chemical Properties and Soil Microbial Biomass in Moss–Dominated Crusts in the Gurbantunggut Desert, Northern China. Catena 2018, 169, 175–182. [Google Scholar] [CrossRef]
- Wang, X.; Jiang, J.; Wang, Y.; Luo, W.; Song, C.; Chen, J. Responses of Ephemeral Plant Germination and Growth to Water and Heat Conditions in the Southern Part of Gurbantunggut Desert. Chin. Sci. Bull. 2006, 51, 110–116. [Google Scholar] [CrossRef]
- Meng, H.; Zhang, Y.; Zhou, X.; Yin, B.; Zhou, D.; Tao, Y. Biomass Allocation Patterns of Herbaceous Plants in the Gurbantunggut Desert. J. Desert Res. 2022, 42, 96. [Google Scholar]
- Zhao, W.Q.; Lv, X.H.; Li, Y.G.; Wang, Z.K.; Zhang, W.; Zhuang, L. Future N Deposition and Precipitation Changes Will Be Beneficial for the Growth of Haloxylon Ammodendron In Gurbantunggut Desert, northwest China. Sci. Rep. 2019, 9, 4001. [Google Scholar] [CrossRef]
- Hartnett, D.C.; Wilson, G.W.T. Mycorrhizae Influence Plant Community Structure and Diversity in Tallgrass Prairie. Ecology 1999, 80, 1187–1195. [Google Scholar] [CrossRef]
- O’Connor, P.J.; Smith, S.E.; Smith, F.A. Arbuscular Mycorrhizas Influence Plant Diversity and Community Structure in a Semiarid Herbland. New Phytol. 2002, 154, 209–218. [Google Scholar] [CrossRef]
- Yang, G.; Liu, N.; Lu, W.; Wang, S.; Kan, H.; Zhang, Y.; Xu, L.; Chen, Y. The Interaction Between Arbuscular Mycorrhizal Fungi and Soil Phosphorus Availability Influences Plant Community Productivity and Ecosystem Stability. J. Ecol. 2014, 102, 1072–1082. [Google Scholar] [CrossRef]
- Galloway, J.N. The Global Nitrogen Cycle: Past, Present and Future. Sci. China Life Sci. 2005, 48 (Suppl. S2), 669–678. [Google Scholar] [CrossRef] [PubMed]
- Zelles, L. Phospholipid Fatty Acid Profiles in Selected Members of Soil Microbial Communities. Chemosphere 1997, 35, 275–294. [Google Scholar] [CrossRef] [PubMed]
- Bossio, D.A.; Scow, K.M. Impacts of Carbon and Flooding on Soil Microbial Communities: Phospholipid Fatty Acid Profiles and Substrate Utilization Patterns. Microb. Ecol. 1998, 35, 265–278. [Google Scholar] [CrossRef]
- White, D.C.; Flemming, C.A.; Leung, K.T.; Macnaughton, S.J. In Situ Microbial Ecology for Quantitative Appraisal, Monitoring, and Risk Assessment of Pollution Remediation in Soils, the Subsurface, the Rhizosphere and in Biofilms. J. Microbiol. Methods 1998, 32, 93–105. [Google Scholar] [CrossRef]
- Bardgett, R.D. The Use of the Membrane Filter Technique for Comparative Measurements of Hyphal Lengths in Different Grassland Sites. Agric. Ecosyst. Environ. 1991, 34, 115–119. [Google Scholar] [CrossRef]
- Tamir, H.; Gilvarg, C. Density Gradient Centrifugation for the Separation of Sporulating Forms of Bacteria. J. Biol. Chem. 1966, 241, 1085–1090. [Google Scholar] [CrossRef]
- Lv, F.; Xue, S.; Wang, G.; Zhang, C. Nitrogen Addition Shifts the Microbial Community in the Rhizosphere of Pinus Tabuliformis in Northwestern China. PLoS ONE 2017, 12, e0172382. [Google Scholar] [CrossRef]
- Amon, J.; Titgemeyer, F.; Burkovski, A. Common Patterns—Unique features: Nitrogen Metabolism and Regulation in Gram-Positive Bacteria. FEMS Microbiol. Rev. 2010, 34, 588–605. [Google Scholar] [CrossRef]
- Liu, X.; Wang, Q.; Li, L.; Sun, X.; Lv, A.; Chen, C. Characterization of Aerobic Denitrification Genome Sequencing of Vibrio Parahaemolyticus Strain Ha2 from Recirculating Mariculture System in China. Aquaculture 2020, 526, 735295. [Google Scholar] [CrossRef]
- Li, S.; Lyu, M.; Deng, C.; Deng, W.; Wang, X.; Cao, A.; Jiang, Y.; Liu, J.; Lu, Y.; Xie, J. Input of High-Quality Litter Reduces Soil Carbon Losses Due to Priming in a Subtropical Pine Forest. Soil Biol. Biochem. 2024, 194, 109444, Correction in Soil Biol. Biochem. 2025, 201, 109652. [Google Scholar] [CrossRef]
- Hamm, P.S.; Mueller, R.C.; Kuske, C.R.; Porras-Alfaro, A. Keratinophilic Fungi: Specialized Fungal Communities in a Desert Ecosystem Identified Using Cultured-Based and Illumina Sequencing Approaches. Microbiol. Res. 2020, 239, 126530. [Google Scholar] [CrossRef]
- Zuo, Y.; He, C.; Zhang, D.; Zhao, L.; He, X.; Sun, X. Soil Variables Driven by Host Plant and Growth Season Affect Soil Microbial Composition and Metabolism in Extremely Arid Desert Ecosystems. Microbiol. Res. 2023, 269, 127315. [Google Scholar] [CrossRef] [PubMed]
- Jianbo, W.; Na, L.; Xiaodan, W. Nitrogen Deposition Strengthens the Relationship Between Plants and the Soil Fungal Community In Alpine Steppe, North Tibet. Appl. Soil Ecol. 2020, 147, 103441. [Google Scholar] [CrossRef]
- Xing, A.; Xu, L.; Zhao, M.; Shen, H.; Ma, S.; Fang, J. Shifts in Understory Plant Composition Induced by Nitrogen Addition Predict Soil Fungal Beta Diversity in a Boreal Forest. Biol. Fertil. Soils 2022, 58, 667–677. [Google Scholar] [CrossRef]
- Canarini, A.; Schmidt, H.; Fuchslueger, L.; Martin, V.; Herbold, C.W.; Zezula, D.; Gündler, P.; Hasibeder, R.; Jecmenica, M.; Bahn, M.; et al. Ecological Memory of Recurrent Drought Modifies Soil Processes Via Changes In Soil Microbial Community. Nat. Commun. 2021, 12, 5308. [Google Scholar] [CrossRef]
- Bahadur, A.; Jin, Z.; Long, X.; Jiang, S.; Zhang, Q.; Pan, J.; Liu, Y.; Feng, H. Arbuscular Mycorrhizal Fungi Alter Plant Interspecific Interaction under Nitrogen Fertilization. Eur. J. Soil Biol. 2019, 93, 103094. [Google Scholar] [CrossRef]
- Bogati, K.; Walczak, M. The Impact of Drought Stress on Soil Microbial Community, Enzyme Activities and Plants. Agronomy 2022, 12, 189. [Google Scholar] [CrossRef]
- Bi, J.; Zhang, N.L.; Liang, Y.; Yang, H.J.; Ma, K.P. Interactive Effects of Water and Nitrogen Addition on Soil Microbial Communities in a Semiarid Steppe. J. Plant Ecol. 2012, 5, 320–329. [Google Scholar] [CrossRef]
- Thapa, S.P.; Davis, E.W., 2nd; Lyu, Q.; Weisberg, A.J.; Stevens, D.M.; Clarke, C.R.; Coaker, G.; Chang, J.H. The Evolution, Ecology, and Mechanisms of Infection by Gram-Positive, Plant-Associated Bacteria. Annu. Rev. Phytopathol. 2019, 57, 341–365. [Google Scholar] [CrossRef] [PubMed]
- Kumar, U.; Raj, S.; Sreenikethanam, A.; Maddheshiya, R.; Kumari, S.; Han, S.; Kapoor, K.K.; Bhaskar, R.; Bajhaiya, A.K.; Gahlot, D.K. Multi-Omics Approaches in Plant–Microbe Interactions Hold Enormous Promise for Sustainable Agriculture. Agronomy 2023, 13, 1804. [Google Scholar] [CrossRef]
- Wang, C.; Ma, L.; Zuo, X.; Ye, X.; Wang, R.; Huang, Z.; Liu, G.; Cornelissen, J.H.C. Plant Diversity Has Stronger Linkage with Soil Fungal Diversity than with Bacterial Diversity across Grasslands of Northern China. Glob. Ecol. Biogeogr. 2022, 31, 886–900. [Google Scholar] [CrossRef]
- Ma, X.; Geng, Q.; Zhang, H.; Bian, C.; Chen, H.Y.H.; Jiang, D.; Xu, X. Global Negative Effects of Nutrient Enrichment on Arbuscular Mycorrhizal Fungi, Plant Diversity and Ecosystem Multifunctionality. New Phytol. 2021, 229, 2957–2969. [Google Scholar] [CrossRef]
- Ji, Z.; Dong, Q.; Yang, R.; Qin, W.; Peng, Y.; Jia, Y. From Ordinary to Extraordinary: The Crucial Role of Common Species in Desert Plant Community Stability with Arbuscular Mycorrhizal (AM) Fungi Under Increased Precipitation. Plants 2025, 14, 1099. [Google Scholar] [CrossRef]
- Ma, Q.; Liu, X.; Li, Y.; Li, L.; Yu, H.; Qi, M.; Zhou, G.; Xu, Z. Nitrogen Deposition Magnifies the Sensitivity of Desert Steppe Plant Communities to Large Changes in Precipitation. J. Ecol. 2020, 108, 598–610. [Google Scholar] [CrossRef]
- Stanescu, S.; Maherali, H. Arbuscular Mycorrhizal Fungi Alter the Competitive Hierarchy among Old-Field Plant Species. Oecologia 2017, 183, 479–491. [Google Scholar] [CrossRef]
- Guzman, A.; Montes, M.; Hutchins, L.; DeLaCerda, G.; Yang, P.; Kakouridis, A.; Dahlquist-Willard, R.M.; Firestone, M.K.; Bowles, T.; Kremen, C. Crop Diversity Enriches Arbuscular Mycorrhizal Fungal Communities in an Intensive Agricultural Landscape. New Phytol. 2021, 231, 447–459. [Google Scholar] [CrossRef]






| Year | Treatment | pH | AP | SOC | NO3−-N | NH4+-N | MBC | MBN |
|---|---|---|---|---|---|---|---|---|
| (mg/kg) | (g/kg) | (mg/kg) | (mg/kg) | (mg/kg) | (mg/kg) | |||
| 2016 | W | 8.60 ± 0.14 a | 6.65 ± 0.49 a | 2.11 ± 0.02 b | 6.29 ± 0.17 b | 1.6 ± 0.08 c | 165.80 ± 5.53 a | 65.48 ± 0.70 a |
| BW | 8.59 ± 0.15 a | 6.37 ± 0.46 a | 2.17 ± 0.08 b | 6.48 ± 0.18 ab | 2.12 ± 0.14 b | 168.86 ± 4.93 a | 65.76 ± 1.10 a | |
| NW | 8.13 ± 0.09 b | 5.74 ± 0.20 ab | 2.45 ± 0.11 a | 6.94 ± 0.19 a | 2.74 ± 0.18 a | 156.29 ± 4.5a | 62.81 ± 0.43 b | |
| BNW | 8.32 ± 0.14 ab | 5.04 ± 0.51 b | 2.25 ± 0.13 ab | 6.89 ± 0.16 a | 2.61 ± 0.19 a | 166.79 ± 2.11 a | 65.37 ± 0.25 a | |
| 2017 | W | 8.54 ± 0.08 a | 4.38 ± 0.45 ab | 2.13 ± 0.02 b | 6.44 ± 0.16 b | 1.167 ± 0.04 c | 168.02 ± 5.42 a | 64.91 ± 1.03 ab |
| BW | 8.39 ± 0.16 a | 3.77 ± 0.38 b | 2.21 ± 0.09 ab | 6.50 ± 0.18 ab | 1.52 ± 0.11 b | 173.10 ± 5.20 a | 65.89 ± 1.04 a | |
| NW | 8.04 ± 0.02 b | 5.42 ± 0.36 b | 2.33 ± 0.06 a | 6.90 ± 0.16 a | 2.82 ± 0.14 a | 169.82 ± 5.59 a | 62.58 ± 0.83 b | |
| BNW | 8.31 ± 0.16 ab | 4.82 ± 0.51 ab | 2.17 ± 0.08 ab | 6.90 ± 0.2 a | 2.07 ± 0.04 a | 161.48 ± 3.95 a | 65.84 ± 1.01 a |
Disclaimer/Publisher’s Note: The statements, opinions and data contained in all publications are solely those of the individual author(s) and contributor(s) and not of MDPI and/or the editor(s). MDPI and/or the editor(s) disclaim responsibility for any injury to people or property resulting from any ideas, methods, instructions or products referred to in the content. |
© 2025 by the authors. Licensee MDPI, Basel, Switzerland. This article is an open access article distributed under the terms and conditions of the Creative Commons Attribution (CC BY) license (https://creativecommons.org/licenses/by/4.0/).
Share and Cite
Wang, H.; Duan, W.; Dong, Q.; Ji, Z.; Cao, W.; Zhang, F.; Li, W.; Jia, Y. Influence Pattern and Mechanism of Increased Nitrogen Deposition and AM Fungi on Soil Microbial Community in Desert Ecosystems. Microorganisms 2025, 13, 2660. https://doi.org/10.3390/microorganisms13122660
Wang H, Duan W, Dong Q, Ji Z, Cao W, Zhang F, Li W, Jia Y. Influence Pattern and Mechanism of Increased Nitrogen Deposition and AM Fungi on Soil Microbial Community in Desert Ecosystems. Microorganisms. 2025; 13(12):2660. https://doi.org/10.3390/microorganisms13122660
Chicago/Turabian StyleWang, Hui, Wan Duan, Qianqian Dong, Zhanquan Ji, Wenli Cao, Fangwei Zhang, Wenshuo Li, and Yangyang Jia. 2025. "Influence Pattern and Mechanism of Increased Nitrogen Deposition and AM Fungi on Soil Microbial Community in Desert Ecosystems" Microorganisms 13, no. 12: 2660. https://doi.org/10.3390/microorganisms13122660
APA StyleWang, H., Duan, W., Dong, Q., Ji, Z., Cao, W., Zhang, F., Li, W., & Jia, Y. (2025). Influence Pattern and Mechanism of Increased Nitrogen Deposition and AM Fungi on Soil Microbial Community in Desert Ecosystems. Microorganisms, 13(12), 2660. https://doi.org/10.3390/microorganisms13122660

