Brettanomyces bruxellensis Strains Display Variable Resistance to Cycloheximide: Consequences on the Monitoring of Wine
Abstract
1. Introduction
2. Materials and Methods
2.1. Yeast Strains
2.2. Cycloheximide Sensitivity Assays
2.2.1. Assays in YPD Medium
2.2.2. Assays in Wine
2.3. Spotting, Incubation, and Picture Acquisition
2.4. Picture Processing and Data Analysis
- -
- The lag phase (days): Defined as the delay before the detection of colonies or spots on plates (corresponding to the time required to reach a growth area > 500 pixels for high inoculum densities and >250 pixels for the lowest inoculum density).
- -
- The maximum growth area (Amax, pixels): Defined as the maximum spot size reached at the end of incubation, reflecting the intensity of growth once colonies are established.
3. Results
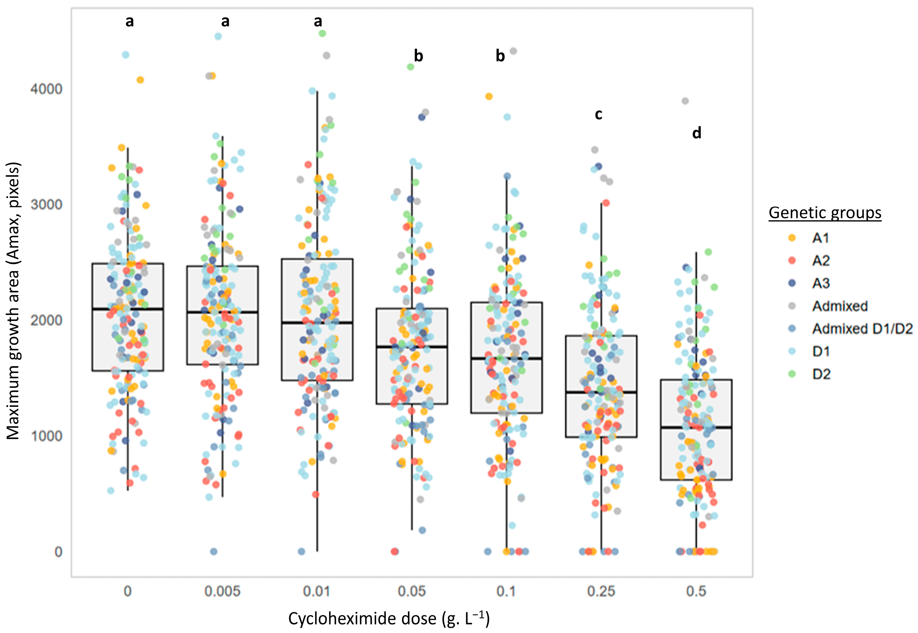
3.1. Effects of Cycloheximide on B. bruxellensis Growth on YPD Solid Medium
3.1.1. Influence of the Inoculum Density
3.1.2. Inter-Strain Variability
3.1.3. Combined Effect of Cycloheximide Dose and Genetic Group on Growth Delay
3.2. Influence of Cycloheximide on the Detection of B. bruxellensis in Wine Samples
3.2.1. Characterization of Stress Levels in the Wine Samples
3.2.2. Combined Effect of Oenological Stress and Cycloheximide
4. Discussion
5. Conclusions
Supplementary Materials
Author Contributions
Funding
Institutional Review Board Statement
Informed Consent Statement
Data Availability Statement
Conflicts of Interest
Abbreviations
| YPD | yeast peptone dextrose |
| CFU | colony-forming unit |
References
- Chatonnet, P.; Dubourdie, D.; Boidron, J.; Pons, M. The Origin of Ethylphenols in Wines. J. Sci. Food Agric. 1992, 60, 165–178. [Google Scholar] [CrossRef]
- Heresztyn, T. Metabolism of Volatile Phenolic Compounds from Hydroxycinnamic Acids by Brettanomyces Yeast. Arch. Microbiol. 1986, 146, 96–98. [Google Scholar] [CrossRef]
- Chatonnet, P.; Dubourdieu, D.; Boidron, J.N. The Influence of Brettanomyces/Dekkera sp. Yeasts and Lactic Acid Bacteria on the Ethylphenol Content of Red Wines. Am. J. Enol. Vitic. 1995, 46, 463–468. [Google Scholar] [CrossRef]
- Kheir, J.; Salameh, D.; Strehaiano, P.; Brandam, C.; Lteif, R. Impact of Volatile Phenols and Their Precursors on Wine Quality and Control Measures of Brettanomyces/Dekkera Yeasts. Eur. Food Res. Technol. 2013, 237, 655–671. [Google Scholar] [CrossRef]
- Agnolucci, M.; Tirelli, A.; Cocolin, L.; Toffanin, A. Brettanomyces bruxellensis Yeasts: Impact on Wine and Winemaking. World J. Microbiol. Biotechnol. 2017, 33, 180. [Google Scholar] [CrossRef] [PubMed]
- Avramova, M.; Cibrario, A.; Peltier, E.; Coton, M.; Coton, E.; Schacherer, J.; Spano, G.; Capozzi, V.; Blaiotta, G.; Salin, F.; et al. Brettanomyces bruxellensis Population Survey Reveals a Diploid-Triploid Complex Structured According to Substrate of Isolation and Geographical Distribution. Sci. Rep. 2018, 8, 4136. [Google Scholar] [CrossRef] [PubMed]
- Gounot, J.-S.; Neuvéglise, C.; Freel, K.C.; Devillers, H.; Piškur, J.; Friedrich, A.; Schacherer, J. High Complexity and Degree of Genetic Variation in Brettanomyces bruxellensis Population. Genome Biol. Evol. 2020, 12, 795–807. [Google Scholar] [CrossRef]
- Eberlein, C.; Abou Saada, O.; Friedrich, A.; Albertin, W.; Schacherer, J. Different Trajectories of Polyploidization Shape the Genomic Landscape of the Brettanomyces bruxellensis Yeast Species. Genome Res. 2021, 31, 2316–2326. [Google Scholar] [CrossRef]
- Harrouard, J.; Eberlein, C.; Ballestra, P.; Dols-Lafargue, M.; Masneuf-Pomarede, I.; Miot-Sertier, C.; Schacherer, J.; Albertin, W.; Ropars, J. Brettanomyces bruxellensis: Overview of the Genetic and Phenotypic Diversity of an Anthropized Yeast. Mol. Ecol. 2022, 32, mec.16439. [Google Scholar] [CrossRef]
- Loegler, V.; Runge, J.-N.; Eberlein, C.; Peltier, É.; Harrouard, J.; Miot-Sertier, C.; Albertin, W.; Friedrich, A.; Schacherer, J. Whole-Genome Sequencing of 1060 Brettanomyces bruxellensis Isolates Reveals Significant Phenotypic Impact of Acquired Subgenomes in Allopolyploids. Nat. Commun. 2025, 16, 5500. [Google Scholar] [CrossRef]
- Avramova, M.; Vallet-Courbin, A.; Maupeu, J.; Masneuf-Pomarède, I.; Albertin, W. Molecular Diagnosis of Brettanomyces bruxellensis’ Sulfur Dioxide Sensitivity Through Genotype Specific Method. Front. Microbiol. 2018, 9, 1260. [Google Scholar] [CrossRef] [PubMed]
- Bartel, C.; Roach, M.; Onetto, C.; Curtin, C.; Varela, C.; Borneman, A. Adaptive Evolution of Sulfite Tolerance in Brettanomyces bruxellensis. FEMS Yeast Res. 2021, 21, foab036. [Google Scholar] [CrossRef]
- Conterno, L.; Joseph, C.M.L.; Arvik, T.J.; Henick-Kling, T.; Bisson, L.F. Genetic and Physiological Characterization of Brettanomyces bruxellensis Strains Isolated from Wines. Am. J. Enol. Vitic. 2006, 57, 139–147. [Google Scholar] [CrossRef]
- Cibrario, A.; Miot-Sertier, C.; Paulin, M.; Bullier, B.; Riquier, L.; Perello, M.-C.; de Revel, G.; Albertin, W.; Masneuf-Pomarède, I.; Ballestra, P.; et al. Brettanomyces bruxellensis Phenotypic Diversity, Tolerance to Wine Stress and Wine Spoilage Ability. Food Microbiol. 2020, 87, 103379. [Google Scholar] [CrossRef]
- Paulin, M.; Miot-Sertier, C.; Dutilh, L.; Brasselet, C.; Delattre, C.; Pierre, G.; Dubessay, P.; Michaud, P.; Doco, T.; Ballestra, P.; et al. +Brettanomyces bruxellensis Displays Variable Susceptibility to Chitosan Treatment in Wine. Front. Microbiol. 2020, 11, 571067. [Google Scholar] [CrossRef]
- Miranda, J. Bordeaux Red Wines Display Variable Intrinsic Ability to Support Brettanomyces bruxellensis Growth. Food Control 2024, 155, 110067. [Google Scholar] [CrossRef]
- Phister, T.G.; Mills, D.A. Real-Time PCR Assay for Detection and Enumeration of Dekkera bruxellensis in Wine. Appl. Environ. Microbiol. 2003, 69, 7430–7434. [Google Scholar] [CrossRef]
- Tessonnière, H.; Vidal, S.; Barnavon, L.; Alexandre, H.; Remize, F. Design and Performance Testing of a Real-Time PCR Assay for Sensitive and Reliable Direct Quantification of Brettanomyces in Wine. Int. J. Food Microbiol. 2009, 129, 237–243. [Google Scholar] [CrossRef]
- Willenburg, E.; Divol, B. Quantitative PCR: An Appropriate Tool to Detect Viable but Not Culturable Brettanomyces bruxellensis in Wine. Int. J. Food Microbiol. 2012, 160, 131–136. [Google Scholar] [CrossRef] [PubMed]
- Longin, C.; Julliat, F.; Serpaggi, V.; Maupeu, J.; Bourbon, G.; Rousseaux, S.; Guilloux-Benatier, M.; Alexandre, H. Evaluation of Three Brettanomyces qPCR Commercial Kits: Results from an Interlaboratory Study. OENO One 2016, 50. [Google Scholar] [CrossRef]
- Tubia, I.; Prasad, K.; Pérez-Lorenzo, E.; Abadín, C.; Zumárraga, M.; Oyanguren, I.; Barbero, F.; Paredes, J.; Arana, S. Beverage Spoilage Yeast Detection Methods and Control Technologies: A Review of Brettanomyces. Int. J. Food Microbiol. 2018, 283, 65–76. [Google Scholar] [CrossRef] [PubMed]
- Andorrà, I.; Esteve-Zarzoso, B.; Guillamón, J.M.; Mas, A. Determination of Viable Wine Yeast Using DNA Binding Dyes and Quantitative PCR. Int. J. Food Microbiol. 2010, 144, 257–262. [Google Scholar] [CrossRef]
- Serpaggi, V.; Remize, F.; Grand, A.S.-L.; Alexandre, H. Specific Identification and Quantification of the Spoilage Microorganism Brettanomyces in Wine by Flow Cytometry: A Useful Tool for Winemakers. Cytometry 2010, 77A, 497–499. [Google Scholar] [CrossRef]
- De Bellis, D.; Di Stefano, A.; Simeone, P.; Catitti, G.; Vespa, S.; Patruno, A.; Marchisio, M.; Mari, E.; Granchi, L.; Viti, C.; et al. Rapid Detection of Brettanomyces bruxellensis in Wine by Polychromatic Flow Cytometry. Int. J. Mol. Sci. 2022, 23, 15091. [Google Scholar] [CrossRef]
- Agnolucci, M.; Rea, F.; Sbrana, C.; Cristani, C.; Fracassetti, D.; Tirelli, A.; Nuti, M. Sulphur Dioxide Affects Culturability and Volatile Phenol Production by Brettanomyces/Dekkera bruxellensis. Int. J. Food Microbiol. 2010, 143, 76–80. [Google Scholar] [CrossRef]
- Serpaggi, V.; Remize, F.; Recorbet, G.; Gaudot-Dumas, E.; Sequeira-Le Grand, A.; Alexandre, H. Characterization of the “Viable but Nonculturable” (VBNC) State in the Wine Spoilage Yeast Brettanomyces. Food Microbiol. 2012, 30, 438–447. [Google Scholar] [CrossRef]
- Agnolucci, M.; Cristani, C.; Maggini, S.; Rea, F.; Cossu, A.; Tirelli, A.; Nuti, M. Impact of Sulphur Dioxide on the Viability, Culturability, and Volatile Phenol Production of Dekkera bruxellensis in Wine. Ann. Microbiol. 2014, 64, 653–659. [Google Scholar] [CrossRef]
- Longin, C.; Degueurce, C.; Julliat, F.; Guilloux-Benatier, M.; Rousseaux, S.; Alexandre, H. Efficiency of Population-Dependent Sulfite against Brettanomyces bruxellensis in Red Wine. Food Res. Int. 2016, 89, 620–630. [Google Scholar] [CrossRef]
- Capozzi, V.; Di Toro, M.R.; Grieco, F.; Michelotti, V.; Salma, M.; Lamontanara, A.; Russo, P.; Orrù, L.; Alexandre, H.; Spano, G. Viable But Not Culturable (VBNC) State of Brettanomyces bruxellensis in Wine: New Insights on Molecular Basis of VBNC Behaviour Using a Transcriptomic Approach. Food Microbiol. 2016, 59, 196–204. [Google Scholar] [CrossRef]
- Rodrigues, N.; Goncalves, G.; Pereira-da-Silva, S.; Malfeito-Ferreira, M.; Loureiro, V. Development and Use of a New Medium to Detect Yeasts of the Genera Dekkera/Brettanomyces. J. Appl. Microbiol. 2001, 90, 588–599. [Google Scholar] [CrossRef] [PubMed]
- Fugelsang, K.C.; Edwards, C.G. Wine Microbiology: Practical Applications and Procedures, 2nd ed.; Springer: New York, NY, USA, 2007; ISBN 978-0-387-33341-0. [Google Scholar]
- Morneau, A.D.; Zuehlke, J.M.; Edwards, C.G. Comparison of Media Formulations Used to Selectively Cultivate Dekkera/Brettanomyces: Cultivation of Dekkera. Lett. Appl. Microbiol. 2011, 53, 460–465. [Google Scholar] [CrossRef]
- Benito, S. Identifying Yeasts Belonging to the Brettanomyces/Dekkera Genera through the Use of Selective-Differential Media. Afr. J. Microbiol. Res. 2012, 6. [Google Scholar] [CrossRef]
- Leach, B.E.; Ford, J.H.; Whiffen, A.J. Actidione, an antibiotic from Streptomyces grisess. J. Am. Chem. Soc. 1947, 69, 474. [Google Scholar] [CrossRef]
- Garreau De Loubresse, N.; Prokhorova, I.; Holtkamp, W.; Rodnina, M.V.; Yusupova, G.; Yusupov, M. Structural Basis for the Inhibition of the Eukaryotic Ribosome. Nature 2014, 513, 517–522. [Google Scholar] [CrossRef]
- Di Maio, S.; Polizzotto, G.; Planeta, D.; Oliva, D. A Method to Discriminate Between the Candida ttellata and Saccharomyces cerevisiae in Mixed Fermentation on WLD and Lysine Agar Media. SAJEV 2016, 32, 35–41. [Google Scholar] [CrossRef]
- Couto, J.A.; Barbosa, A.; Hogg, T. A Simple Cultural Method for the Presumptive Detection of the Yeasts Brettanomyces/Dekkera in Wines: Detection of Brettanomyces/Dekkera. Lett. Appl. Microbiol. 2005, 41, 505–510. [Google Scholar] [CrossRef]
- Pilard, E.; Harrouard, J.; Miot-Sertier, C.; Marullo, P.; Albertin, W.; Ghidossi, R. Wine Yeast Species Show Strong Inter- and Intra-Specific Variability in Their Sensitivity to Ultraviolet Radiation. Food Microbiol. 2021, 100, 103864. [Google Scholar] [CrossRef]
- Harrouard, J.; Pilard, E.; Miot-Sertier, C.; Pouget, L.; Marullo, P.; Ferrari, G.; Pataro, G.; Ghidossi, R.; Albertin, W. Evaluating the Influence of Operational Parameters of Pulsed Light on Wine Related Yeasts: Focus on Inter- and Intra-Specific Variability Sensitivity. Food Microbiol. 2023, 109, 104121. [Google Scholar] [CrossRef]
- Cibrario, A.; Avramova, M.; Dimopoulou, M.; Magani, M.; Miot-Sertier, C.; Mas, A.; Portillo, M.C.; Ballestra, P.; Albertin, W.; Masneuf-Pomarede, I.; et al. Brettanomyces bruxellensis Wine Isolates Show High Geographical Dispersal and Long Persistence in Cellars. PLoS ONE 2019, 14, e0222749. [Google Scholar] [CrossRef] [PubMed]
- Barata, A.; Caldeira, J.; Botelheiro, R.; Pagliara, D.; Malfeito-Ferreira, M.; Loureiro, V. Survival Patterns of Dekkera bruxellensis in Wines and Inhibitory Effect of Sulphur Dioxide. Int. J. Food Microbiol. 2008, 121, 201–207. [Google Scholar] [CrossRef] [PubMed]
- Curtin, C.; Kennedy, E.; Henschke, P.A. Genotype-Dependent Sulphite Tolerance of Australian Dekkera (Brettanomyces) bruxellensis Wine Isolates: Genotype-Dependent Sulphite Tolerance of Australian D. bruxellensis. Lett. Appl. Microbiol. 2012, 55, 56–61. [Google Scholar] [CrossRef] [PubMed]
- Dimopoulou, M.; Hatzikamari, M.; Masneuf-Pomarede, I.; Albertin, W. Sulfur Dioxide Response of Brettanomyces bruxellensis Strains Isolated from Greek Wine. Food Microbiol. 2019, 78, 155–163. [Google Scholar] [CrossRef] [PubMed]
- Guo, Z.; Olsson, L. Physiological Responses to Acid Stress by Saccharomyces cerevisiae When Applying High Initial Cell Density. FEMS Yeast Res. 2016, 16, fow072. [Google Scholar] [CrossRef]
- Perumal, P.; Mekala, S.; Chaffin, W.L. Role for Cell Density in Antifungal Drug Resistance in Candida albicans Biofilms. Antimicrob. Agents Chemother. 2007, 51, 2454–2463. [Google Scholar] [CrossRef]
- Lichtenberg, M.; Kvich, L.; Larsen, S.L.B.; Jakobsen, T.H.; Bjarnsholt, T. Inoculum Concentration Influences Pseudomonas aeruginosa Phenotype and Biofilm Architecture. Microbiol. Spectr. 2022, 10, e03131-22. [Google Scholar] [CrossRef]
- Cibrario, A. Diversité Génétique et Phénotypique de L’espèce Brettanomyces bruxellensis: Influence sur Son Potentiel D’altération des vins Rouges. Available online: https://theses.hal.science/tel-02170503v1/file/CIBRARIO_ALICE_2017.pdf (accessed on 9 November 2025).
- Renouf, V.; Perello, M.C.; Strehaiano, P.; Lonvaud-Funel, A. Global Survey of the Microbial Ecosystem during Alcoholic Fermentation in Winemaking. OENO One 2006, 40, 101. [Google Scholar] [CrossRef]
- Renouf, V. Evidence for Differences between B. bruxellensis Strains Originating from an Enological Environment. IJWR 2009, 2009, 95–100. [Google Scholar] [CrossRef]









Disclaimer/Publisher’s Note: The statements, opinions and data contained in all publications are solely those of the individual author(s) and contributor(s) and not of MDPI and/or the editor(s). MDPI and/or the editor(s) disclaim responsibility for any injury to people or property resulting from any ideas, methods, instructions or products referred to in the content. |
© 2025 by the authors. Licensee MDPI, Basel, Switzerland. This article is an open access article distributed under the terms and conditions of the Creative Commons Attribution (CC BY) license (https://creativecommons.org/licenses/by/4.0/).
Share and Cite
Olazabal, L.; Dapzol, Q.; Albertin, W.; Miot-Sertier, C.; Deleris-Bou, M.; Boisramé, A.; Dols-Lafargue, M. Brettanomyces bruxellensis Strains Display Variable Resistance to Cycloheximide: Consequences on the Monitoring of Wine. Microorganisms 2025, 13, 2597. https://doi.org/10.3390/microorganisms13112597
Olazabal L, Dapzol Q, Albertin W, Miot-Sertier C, Deleris-Bou M, Boisramé A, Dols-Lafargue M. Brettanomyces bruxellensis Strains Display Variable Resistance to Cycloheximide: Consequences on the Monitoring of Wine. Microorganisms. 2025; 13(11):2597. https://doi.org/10.3390/microorganisms13112597
Chicago/Turabian StyleOlazabal, Laura, Quentin Dapzol, Warren Albertin, Cécile Miot-Sertier, Magali Deleris-Bou, Anita Boisramé, and Marguerite Dols-Lafargue. 2025. "Brettanomyces bruxellensis Strains Display Variable Resistance to Cycloheximide: Consequences on the Monitoring of Wine" Microorganisms 13, no. 11: 2597. https://doi.org/10.3390/microorganisms13112597
APA StyleOlazabal, L., Dapzol, Q., Albertin, W., Miot-Sertier, C., Deleris-Bou, M., Boisramé, A., & Dols-Lafargue, M. (2025). Brettanomyces bruxellensis Strains Display Variable Resistance to Cycloheximide: Consequences on the Monitoring of Wine. Microorganisms, 13(11), 2597. https://doi.org/10.3390/microorganisms13112597

