Counteracting Grey Mould (Botrytis cinerea) in Grapevine ‘Glera’ Using Three Putative Biological Control Agent Strains (Paraburkholderia sp., Pseudomonas sp., and Acinetobacter sp.): Impact on Symptoms, Yield, and Gene Expression
Abstract
1. Introduction
2. Materials and Methods
2.1. Microorganisms
2.2. Experimental Set Up
2.3. Evaluation of Grey Mould Symptoms on Grapes, and Yield
2.4. Gene Expression Analysis by Quantitative Real-Time PCR (qRT-PCR)
2.5. Statistical Analyses
3. Results
3.1. Strains
3.2. Harvest Yield and Must Parameters
3.3. Symptoms Evaluation
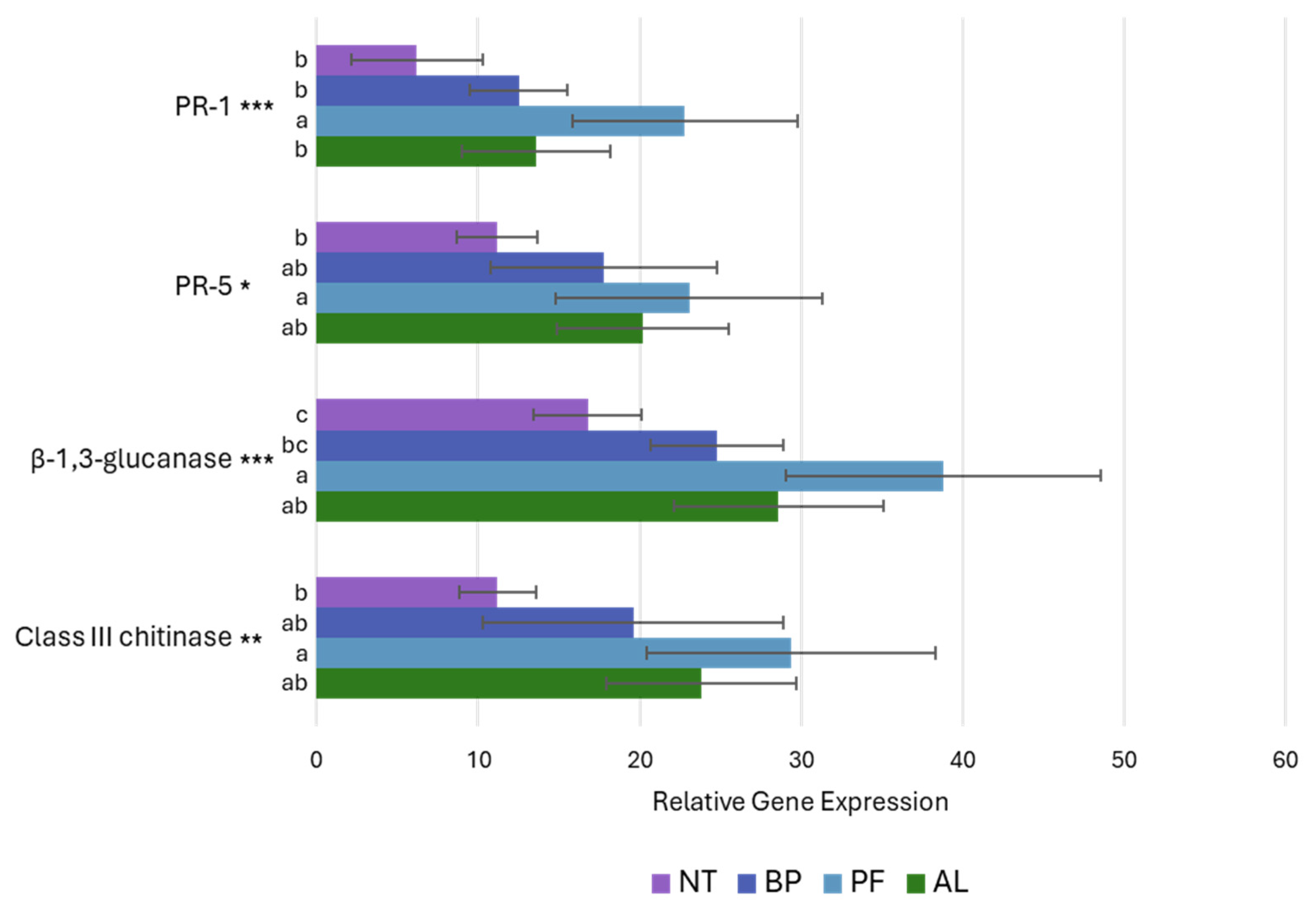
3.4. Modulation of Defence-Related Genes
4. Discussion
Author Contributions
Funding
Data Availability Statement
Conflicts of Interest
References
- Colautti, A.; Mian, G.; Tomasi, D.; Bell, L.; Marcuzzo, P. Exploring the Influence of Soil Salinity on Microbiota Dynamics in Vitis vinifera cv. “Glera”: Insights into the Rhizosphere, Carposphere, and Yield Outcomes. Diversity 2024, 16, 247. [Google Scholar] [CrossRef]
- Colautti, A.; Civilini, M.; Contin, M.; Celotti, E.; Iacumin, L. Organic vs. Conventional: Impact of Cultivation Treatments on the Soil Microbiota in the Vineyard. Front. Microbiol. 2023, 14, 1242267. [Google Scholar] [CrossRef] [PubMed]
- Mian, G.; Musetti, R.; Belfiore, N.; Boscaro, D.; Lovat, L.; Tomasi, D. Chitosan Application Reduces Downy Mildew Severity on Grapevine Leaves by Positively Affecting Gene Expression Pattern. Physiol. Mol. Plant Pathol. 2023, 125, 102025. [Google Scholar] [CrossRef]
- Mian, G.; Nassivera, F.; Sillani, S.; Iseppi, L. Grapevine Resistant Cultivars: A Story Review and the Importance on the Related Wine Consumption Inclination. Sustainability 2023, 15, 390. [Google Scholar] [CrossRef]
- Belfiore, N.; Lovat, L.; Zanchin, A.; Mian, G.; Gaiotti, F.; Franceschi, D.; Marcuzzo, P.; Tomasi, D. Agronomic Evaluation and Adaptability of Pinot Gris to an Environment with High Grey Mould Disease Pressure: A Comparative Analysis on 17 Clones. OENO One 2024, 58. [Google Scholar] [CrossRef]
- Ciliberti, N.; Fermaud, M.; Roudet, J.; Rossi, V. Environmental Conditions Affect Botrytis cinerea Infection of Mature Grape Berries More than the Strain or Transposon Genotype. Phytopathology 2015, 105, 1090–1096. [Google Scholar] [CrossRef] [PubMed]
- Schumacher, J. How Light Affects the Life of Botrytis. Fungal Genet. Biol. 2017, 106, 26–41. [Google Scholar] [CrossRef]
- Negri, S.; Lovato, A.; Boscaini, F.; Salvetti, E.; Torriani, S.; Commisso, M.; Danzi, R.; Ugliano, M.; Polverari, A.; Tornielli, G.B.; et al. The Induction of Noble Rot (Botrytis cinerea) Infection during Postharvest Withering Changes the Metabolome of Grapevine Berries (Vitis vinifera L., cv. Garganega). Front. Plant Sci. 2017, 8, 1–12. [Google Scholar] [CrossRef]
- Altieri, V.; Rossi, V.; Fedele, G. Biocontrol of Botrytis cinerea as Influenced by Grapevine Growth Stages and Environmental Conditions. Plants 2023, 12, 3430. [Google Scholar] [CrossRef]
- Santos, H.; Augusto, C.; Reis, P.; Rego, C.; Figueiredo, A.C.; Fortes, A.M. Volatile Metabolism of Wine Grape Trincadeira: Impact of Infection with Botrytis cinerea. Plants 2022, 11, 141. [Google Scholar] [CrossRef]
- Leroux, P.; Fritz, R.; Debieu, D.; Albertini, C.; Lanen, C.; Bach, J.; Gredt, M.; Chapeland, F. Mechanisms of Resistance to Fungicides in Field Strains of Botrytis cinerea. Pest Manag. Sci. 2002, 58, 876–888. [Google Scholar] [CrossRef] [PubMed]
- Fedorina, J.; Tikhonova, N.; Ukhatova, Y.; Ivanov, R.; Khlestkina, E. Grapevine Gene Systems for Resistance to Gray Mold Botrytis cinerea and Powdery Mildew Erysiphe necator. Agronomy 2022, 12, 499. [Google Scholar] [CrossRef]
- Fedele, G.; Brischetto, C.; González-Domínguez, E.; Rossi, V. The Colonization of Grape Bunch Trash by Microorganisms for the Biocontrol of Botrytis cinerea as Influenced by Temperature and Humidity. Agronomy 2020, 10, 1829. [Google Scholar] [CrossRef]
- Fedele, G.; González-Domínguez, E.; Delière, L.; Díez-Navajas, A.M.; Rossi, V. Consideration of Latent Infections Improves the Prediction of Botrytis Bunch Rot Severity in Vineyards. Plant Dis. 2020, 104, 1291–1297. [Google Scholar] [CrossRef] [PubMed]
- Ait Barka, E.; Nowak, J.; Clément, C. Enhancement of Chilling Resistance of Inoculated Grapevine Plantlets with a Plant Growth-Promoting Rhizobacterium, Burkholderia phytofirmans Strain PsJN. Appl. Environ. Microbiol. 2006, 72, 7246–7252. [Google Scholar] [CrossRef] [PubMed]
- Compant, S.; Reiter, B.; Sessitsch, A.; Nowak, J.; Clément, C.; Barka, E.A. Endophytic Colonization of Vitis vinifera L. by Plant Growth-Promoting Bacterium Burkholderia sp. Strain PsJN. Appl. Environ. Microbiol. 2005, 71, 1685–1693. [Google Scholar] [CrossRef] [PubMed]
- Fernandez, O.; Theocharis, A.; Bordiec, S.; Feil, R.; Jacquens, L.; Clément, C.; Fontaine, F.; Barka, E.A. Burkholderia Phytofirmans PsJN Acclimates Grapevine to Cold by Modulating Carbohydrate Metabolism. Mol. Plant-Microbe Interact. 2012, 25, 496–504. [Google Scholar] [CrossRef] [PubMed]
- Miotto-Vilanova, L.; Jacquard, C.; Courteaux, B.; Wortham, L.; Michel, J.; Clément, C.; Barka, E.A.; Sanchez, L. Burkholderia phytofirmans PsJN Confers Grapevine Resistance against Botrytis cinerea via a Direct Antimicrobial Effect Combined with a Better Resource Mobilization. Front. Plant Sci. 2016, 7, 1–15. [Google Scholar] [CrossRef]
- Höfte, M.; De Vos, P. Plant Pathogenic Pseudomonas Species. In Plant-Associated Bacteria; Springer: Dordrecht, The Netherlands, 2007; pp. 507–533. [Google Scholar]
- Ait Barka, E.; Gognies, S.; Nowak, J.; Audran, J.C.; Belarbi, A. Inhibitory Effect of Endophyte Bacteria on Botrytis cinerea and Its Influence to Promote the Grapevine Growth. Biol. Control 2002, 24, 135–142. [Google Scholar] [CrossRef]
- Magnin-Robert, M.; Trotel-Aziz, P.; Quantinet, D.; Biagianti, S.; Aziz, A. Biological Control of Botrytis cinerea by Selected Grapevine-Associated Bacteria and Stimulation of Chitinase and β-1,3 Glucanase Activities under Field Conditions. Eur. J. Plant Pathol. 2007, 118, 43–57. [Google Scholar] [CrossRef]
- Gruau, C.; Trotel-Aziz, P.; Villaume, S.; Rabenoelina, F.; Clement, C.; Baillieul, F.; Aziz, A. Pseudomonas Fluorescens PTA-CT2 Triggers Local and Systemic Immune Response against Botrytis cinerea in Grapevine. Mol. Plant-Microbe Interact. 2015, 28, 1117–1129. [Google Scholar] [CrossRef] [PubMed]
- Verhagen, B.W.M.; Trotel-Aziz, P.; Couderchet, M.; Höfte, M.; Aziz, A. Pseudomonas Spp.-Induced Systemic Resistance to Botrytis cinerea Is Associated with Induction and Priming of Defence Responses in Grapevine. J. Exp. Bot. 2010, 61, 249–260. [Google Scholar] [CrossRef] [PubMed]
- Magnin-Robert, M.; Quantinet, D.; Couderchet, M.; Aziz, A.; Trotel-Aziz, P. Differential Induction of Grapevine Resistance and Defense Reactions against Botrytis cinerea by Bacterial Mixtures in Vineyards. BioControl 2013, 58, 117–131. [Google Scholar] [CrossRef]
- Verhagen, B.; Trotel-Aziz, P.; Jeandet, P.; Baillieul, F.; Aziz, A. Improved Resistance against Botrytis cinerea by Grapevine-Associated Bacteria That Induce a Prime Oxidative Burst and Phytoalexin Production. Phytopathology 2011, 101, 768–777. [Google Scholar] [CrossRef] [PubMed]
- Trotel-Aziz, P.; Couderchet, M.; Biagianti, S.; Aziz, A. Characterization of New Bacterial Biocontrol Agents Acinetobacter, Bacillus, Pantoea and Pseudomonas sp. Mediating Grapevine Resistance against Botrytis cinerea. Environ. Exp. Bot. 2008, 64, 21–32. [Google Scholar] [CrossRef]
- Colautti, A.; Golinelli, F.; Iacumin, L.; Tomasi, D.; Cantone, P.; Mian, G. Triacontanol (Long-Chain Alcohol) Positively Enhances the Microbial Ecology of Berry Peel in Vitis vinifera cv. ‘Glera’ yet Promotes the Must Total Soluble Sugars Content. OENO One 2023, 57, 477–488. [Google Scholar] [CrossRef]
- Gao, P.; Qin, J.; Li, D.; Zhou, S. Inhibitory Effect and Possible Mechanism of a Pseudomonas Strain QBA5 against Gray Mold on Tomato Leaves and Fruits Caused by Botrytis cinerea. PLoS ONE 2018, 13, 1–15. [Google Scholar] [CrossRef] [PubMed]
- Zhao, H.; Liu, K.; Fan, Y.; Cao, J.; Li, H.; Song, W.; Liu, Y.; Miao, M. Cell-Free Supernatant of Bacillus velezensis Suppresses Mycelial Growth and Reduces Virulence of Botrytis cinerea by Inducing Oxidative Stress. Front. Microbiol. 2022, 13, 1–15. [Google Scholar] [CrossRef]
- Colautti, A.; Comi, G.; De Paoli, E.; Peterlunger, E.; Novello, M.; Braidotti, E.; Pasini, D.; Iacumin, L. Draft Genome Sequences of Eight Bacilli Isolated from an Ancient Roman Amphora. Microbiol. Resour. Announc. 2022, 11, 11–13. [Google Scholar] [CrossRef]
- Altschul, S. Gapped BLAST and PSI-BLAST: A New Generation of Protein Database Search Programs. Nucleic Acids Res. 1997, 25, 3389–3402. [Google Scholar] [CrossRef]
- Meier-Kolthoff, J.P.; Göker, M. TYGS Is an Automated High-Throughput Platform for State-of-the-Art Genome-Based Taxonomy. Nat. Commun. 2019, 10. [Google Scholar] [CrossRef] [PubMed]
- Katoh, K.; Standley, D.M. MAFFT Multiple Sequence Alignment Software Version 7: Improvements in Performance and Usability. Mol. Biol. Evol. 2013, 30, 772–780. [Google Scholar] [CrossRef]
- Price, M.N.; Dehal, P.S.; Arkin, A.P. Fasttree: Computing Large Minimum Evolution Trees with Profiles Instead of a Distance Matrix. Mol. Biol. Evol. 2009, 26, 1641–1650. [Google Scholar] [CrossRef] [PubMed]
- Asselin, J.E.; Bonasera, J.M.; Beer, S.V. PCR Primers for Detection of Pantoea ananatis, Burkholderia spp., and Enterobacter sp. from Onion. Plant Dis. 2016, 100, 836–846. [Google Scholar] [CrossRef]
- Scarpellini, M.; Franzetti, L.; Galli, A. Development of PCR Assay to Identify Pseudomonas fluorescens and Its Biotype. FEMS Microbiol. Lett. 2004, 236, 257–260. [Google Scholar] [CrossRef] [PubMed]
- Li, X.M.; Choi, J.A.; Choi, I.S.; Kook, J.K.; Chang, Y.H.; Park, G.; Jang, S.J.; Kang, S.H.; Moon, D.S. Development and Evaluation of Species-Specific PCR for Detection of Nine Acinetobacter Species. Ann. Clin. Lab. Sci. 2016, 46, 270–278. [Google Scholar]
- Xu, X.; Wedgwood, E.; Berrie, A.M.; Allen, J.; O’Neill, T.M. Management of Raspberry and Strawberry Grey Mould in Open Field and under Protection. A Review. Agron. Sustain. Dev. 2012, 32, 531–543. [Google Scholar] [CrossRef]
- Falginella, L.; Gaiotti, F.; Belfiore, N.; Mian, G.; Lovat, L.; Tomasi, D. Effect of Early Cane Pruning on Yield Components, Grape Composition, Carbohydrates Storage and Phenology in Vitis vinifera L. cv. Merlot. OENO One 2022, 56, 19–28. [Google Scholar] [CrossRef]
- Tomasi, D.; Marcuzzo, P.; Nardi, T.; Lonardi, A.; Lovat, L.; Flamini, R.; Mian, G. Influence of Soil Chemical Features on Aromatic Profile of V. vinifera cv. Corvina Grapes and Wines: A Study-Case in Valpolicella Area (Italy) in a Calcareous and Non-Calcareous Soil. Agriculture 2022, 12, 1980. [Google Scholar] [CrossRef]
- Bernardini, C.; Santi, S.; Mian, G.; Levy, A.; Buoso, S.; Suh, J.H.; Wang, Y.; Vincent, C.; van Bel, A.J.E.; Musetti, R. Increased Susceptibility to Chrysanthemum Yellows Phytoplasma Infection in Atcals7ko Plants Is Accompanied by Enhanced Expression of Carbohydrate Transporters. Planta 2022, 256, 1–17. [Google Scholar] [CrossRef]
- Perazzolli, M.; Roatti, B.; Bozza, E.; Pertot, I. Trichoderma harzianum T39 Induces Resistance against Downy Mildew by Priming for Defense without Costs for Grapevine. Biol. Control 2011, 58, 74–82. [Google Scholar] [CrossRef]
- Pfaffl, M. Development and Validation of an Externally Standardised Quantitative Insulin-like Growth Factor-1 RT-PCR Using LightCycler SYBR Green I Technology. In Rapid Cycle Real-Time PCR; Springer: Berlin/Heidelberg, Germany, 2001; pp. 281–291. [Google Scholar] [CrossRef]
- Landi, L.; Romanazzi, G. Seasonal Variation of Defense-Related Gene Expression in Leaves from Bois Noir Affected and Recovered Grapevines. J. Agric. Food Chem. 2011, 59, 6628–6637. [Google Scholar] [CrossRef] [PubMed]
- Orozco-Mosqueda, M.d.C.; Kumar, A.; Fadiji, A.E.; Babalola, O.O.; Puopolo, G.; Santoyo, G. Agroecological Management of the Grey Mould Fungus Botrytis cinerea by Plant Growth-Promoting Bacteria. Plants 2023, 12, 637. [Google Scholar] [CrossRef] [PubMed]
- Hua, L.; Yong, C.; Zhanquan, Z.; Boqiang, L.; Guozheng, Q.; Shiping, T. Pathogenic Mechanisms and Control Strategies of Botrytis cinerea Causing Post-Harvest Decay in Fruits and Vegetables. Food Qual. Saf. 2018, 2, 111–119. [Google Scholar] [CrossRef]
- Gomiero, T.; Pimentel, D.; Paoletti, M.G. Environmental Impact of Different Agricultural Management Practices: Conventional vs. Organic Agriculture. CRC. Crit. Rev. Plant Sci. 2011, 30, 95–124. [Google Scholar] [CrossRef]
- Abbey, J.A.; Percival, D.; Abbey, L.; Asiedu, S.K.; Prithiviraj, B.; Schilder, A. Biofungicides as Alternative to Synthetic Fungicide Control of Grey Mould (Botrytis cinerea)—Prospects and Challenges. Biocontrol Sci. Technol. 2019, 29, 241–262. [Google Scholar] [CrossRef]
- Darriet, P.; Stamatopoulos, P. Botrytized Wines, 2nd ed.; Elsevier: Amsterdam, The Netherlands, 2021; ISBN 9780081020654. [Google Scholar]
- De Simone, N.; Pace, B.; Grieco, F.; Chimienti, M.; Tyibilika, V.; Santoro, V.; Capozzi, V.; Colelli, G.; Spano, G.; Russo, P. Botrytis cinerea and Table Grapes: A Review of the Main Physical, Chemical, and Bio-Based Control Treatments in Post-Harvest. Foods 2020, 9, 1138. [Google Scholar] [CrossRef] [PubMed]
- Zhu, P.; Xu, L.; Zhang, C.; Toyoda, H.; Gan, S.S. Ethylene Produced by Botrytis cinerea Can Affect Early Fungal Development and Can Be Used as a Marker for Infection during Storage of Grapes. Postharvest Biol. Technol. 2012, 66, 23–29. [Google Scholar] [CrossRef]
- Parra, C.S.; Aguirreolea, J.; Sánchez-Díaz, M.; Irigoyen, J.J.; Morales, F. Effects of Climate Change Scenarios on Tempranillo Grapevine (Vitis vinifera L.) Ripening: Response to a Combination of Elevated CO2 and Temperature, and Moderate Drought. Plant Soil 2010, 337, 179–191. [Google Scholar] [CrossRef]
- Barnuud, N.N.; Zerihun, A.; Mpelasoka, F.; Gibberd, M.; Bates, B. Responses of Grape Berry Anthocyanin and Titratable Acidity to the Projected Climate Change across the Western Australian Wine Regions. Int. J. Biometeorol. 2014, 58, 1279–1293. [Google Scholar] [CrossRef]
- Marcuzzo, P.; Gaiotti, F.; Lucchetta, M.; Lovat, L.; Tomasi, D. Tuning Potassium Fertilization to Improve pH and Acidity in Glera Grapevine (Vitis vinifera L.) under a Warming Climate. Appl. Sci. 2021, 11, 11869. [Google Scholar] [CrossRef]
- Jacometti, M.A.; Wratten, S.D.; Walter, M. Understorey Management Increases Grape Quality, Yield and Resistance to Botrytis cinerea. Agric. Ecosyst. Environ. 2007, 122, 349–356. [Google Scholar] [CrossRef]
- Rockenbach, M.F.; Velho, A.C.; Alaniz, S.M.; Stadnik, M.J. Resistance of Apple Leaves to Infection by Colletotrichum fructicola Acts Independently of Hypersensitive Reaction and PR-1 and PR-10 Gene Expression. Trop. Plant Pathol. 2018, 43, 360–370. [Google Scholar] [CrossRef]
- Giannakis, C.; Bucheli, C.S.; Skene, K.G.M.; Robinson, S.P.; Steele Scott, N. Chitinase and β-1,3-Glucanase in Grapevine Leaves: A Possible Defence against Powdery Mildew Infection. Aust. J. Grape Wine Res. 1998, 4, 14–22. [Google Scholar] [CrossRef]
- Iavicoli, A.; Boutet, E.; Buchala, A.; Métraux, J.P. Induced Systemic Resistance in Arabidopsis thaliana in Response to Root Inoculation with Pseudomonas fluorescens CHA0. Mol. Plant-Microbe Interact. 2003, 16, 851–858. [Google Scholar] [CrossRef]
- Cabanás, C.G.L.; Schilirò, E.; Valverde-Corredor, A.; Mercado-Blanco, J. The Biocontrol Endophytic Bacterium Pseudomonas fluorescens PICF7 Induces Systemic Defense Responses in Aerial Tissues upon Colonization of Olive Roots. Front. Microbiol. 2014, 5, 1–14. [Google Scholar] [CrossRef]
- Fang, S.; Shang, X.; He, Q.; Li, W.; Song, X.; Zhang, B.; Guo, W. A Cell Wall-Localized β-1,3-Glucanase Promotes Fiber Cell Elongation and Secondary Cell Wall Deposition. Sci. J. Silesian Univ. Technol. Ser. Transp. 2024, 194, 106–123. [Google Scholar] [CrossRef]
- Langner, T.; Göhre, V. Fungal Chitinases: Function, Regulation, and Potential Roles in Plant/Pathogen Interactions. Curr. Genet. 2016, 62, 243–254. [Google Scholar] [CrossRef]
- Pastor, V.; Luna, E.; Mauch-Mani, B.; Ton, J.; Flors, V. Primed Plants Do Not Forget. Environ. Exp. Bot. 2013, 94, 46–56. [Google Scholar] [CrossRef]






| Preferred Name | Deposit | Assembly Accession | Notes |
|---|---|---|---|
| Acinetobacter terrae | ANC 4282 | GCA_013004375 | |
| Acinetobacter pseudolwoffii | ANC 5044 | GCA_002803605 | |
| Acinetobacter kookii | JCM18512 | GCA_039543765 | |
| Acinetobacter mesopotamicus’ | DSM 26953 | GCA_011058205 | Not a valid published name |
| Acinetobacter shaoyimingii | 323-1T | GCA_011578045 | |
| Prolinoborus fasciculus | CIP 103579 | GCA_900322255 | |
| Acinetobacter variabilis | NIPH 2171 | GCA_000369625 | |
| Acinetobacter lwoffii | NCTC 5866 | GCA_000487975 | |
| Acinetobacter schindleri | CIP 107287 | GCA_000368625 | |
| Acinetobacter indicus | CIP 110367 | GCA_000488255 | |
| Acinetobacter harbinensis | HITLi 7 | GCA_000816495 | |
| ‘Acinetobacter pecorum’ | Sa1BUA6 | GCF_014837015 | Not a valid published name |
| Acinetobacter terrestris | ANC 4471 T | GCA_004331155 | |
| ‘Acinetobacter idrijaensis’ | MII | GCA_000761495 | Not a valid published name |
| Paraburkholderia phytofirmans | PsJN | GCA_000020125 | |
| Paraburkholderia dipogonis | ICMP 19430 | GCF_004402975 | |
| Paraburkholderia dioscoreae | Msb3T | GCF_902459535 | |
| Paraburkholderia xenovorans | LB400 | GCA_000013645 | |
| Paraburkholderia aromaticivorans | BN5 | GCA_002278075 | |
| Paraburkholderia ultramafica | LMG 28614 | GCA_902859915 | |
| Paraburkholderia ginsengisoli | NBRC 100965 | GCA_000739735 | |
| Paraburkholderia panacisoli | DCY113 | GCA_008369935 | |
| Paraburkholderia terricola | LMG 20594 | GCA_900142195 | |
| Paraburkholderia insulsa | LMG 28183 | GCA_003002115 | Reclassified as P. fungorum |
| Paraburkholderia fungorum | NBRC 102489 | GCA_000685055 | |
| Paraburkholderia agricolaris | BaQS159 | GCF_009455635 | |
| Paraburkholderia madseniana | RP11 | GCA_009690905 | |
| Paraburkholderia domus | LMG 31832 | GCA_905220705 | |
| Paraburkholderia phenazinia | LMG 2247 | GCA_900100735 | No Match |
| Paraburkholderia sabiae | LMG24235 | GCF_904848645 | |
| Pseudomonas fluorescens | DSM 50090 | GCA_001269845 | |
| Pseudomonas salomonii | LMG 22120 | GCA_001730645 | |
| Pseudomonas edaphica | RD25 | GCA_005863185 | |
| Pseudomonas antarctica | LMG 22709 | GCF_900103795 | |
| Pseudomonas kitaguniensis | MAFF 212408T | GCF_009296165 | |
| Pseudomonas costantinii | LMG 22119 | GCF_001870435 | |
| Pseudomonas cyclaminis | MAFF 301449T | GCA_015163715 | |
| Pseudomonas sivasensis | P7 | GCA_013778505 | |
| Pseudomonas marginalis | DSM 13124 | GCA_007858155 | |
| Pseudomonas aylmerensis | S1E40 | GCA_001702265 | |
| Pseudomonas marginalis | ICMP 3553 | GCA_001645105 | |
| Pseudomonas petroselini | MAFF 311094 | GCA_021166635 | |
| Pseudomonas canadensis | 2-92 | GCF_000503215 | |
| Pseudomonas pergaminensis | 1008T | GCF_024112395 | |
| Pseudomonas haemolytica | DSM 108987T | GCF_009659625 | |
| Pseudomonas fildesensis | KG01 | GCA_001050345 |
| Genes | Primer Pairs | Accession Number * | Reference |
|---|---|---|---|
| PR-1 | Forward: ACTTGTGGGTGGGGGAGAA | AJ536326 | [3] |
| Reverse: TGTTGCATTGAACCCTAGCG | |||
| PR-5 | Forward: GACGGGCTGGTCAGGTC | TC118300 | [3] |
| Reverse: CGCCGTTGCACTCTACCT | |||
| β-1,3-glucanase | Forward: TGCTGTTTACTCGGCACTTG | AJ277900 | [44] |
| Reverse: CTGGGGATTTCCTGTTCTCA | |||
| class III chitinase | Forward: AAACTTATCAGCGCCTGGAA | DQ406693 | [44] |
| Reverse: ACCTCCATACTTGGGGGAAG | |||
| Actin | Forward: TCCTTGCCTTGCGTCATCTAT | TC134791 | [42] |
| Reverse: CACCAATCACTCTCCTGCTACAA |
| Strain | Accession Number | Seq. Length (bp) | Species | Reference Strain WGS | Identity (%) | Query Cover (%) |
|---|---|---|---|---|---|---|
| CRV19 | PP927971.1 | 496 | Acinetobacter lwoffi | GCA_019343495.1 | 99.20 | 100 |
| CRV21 | PP927970.1 | 517 | Pseudomonas fluorescens | GCA_900215245.1 | 98.84 | 100 |
| CRV74 | PP927969.1 | 518 | Paraburkholderia phytofirmans | GCA_000020125.1 | 99.23 | 100 |
Disclaimer/Publisher’s Note: The statements, opinions and data contained in all publications are solely those of the individual author(s) and contributor(s) and not of MDPI and/or the editor(s). MDPI and/or the editor(s) disclaim responsibility for any injury to people or property resulting from any ideas, methods, instructions or products referred to in the content. |
© 2024 by the authors. Licensee MDPI, Basel, Switzerland. This article is an open access article distributed under the terms and conditions of the Creative Commons Attribution (CC BY) license (https://creativecommons.org/licenses/by/4.0/).
Share and Cite
Mian, G.; Belfiore, N.; Marcuzzo, P.; Spinelli, F.; Tomasi, D.; Colautti, A. Counteracting Grey Mould (Botrytis cinerea) in Grapevine ‘Glera’ Using Three Putative Biological Control Agent Strains (Paraburkholderia sp., Pseudomonas sp., and Acinetobacter sp.): Impact on Symptoms, Yield, and Gene Expression. Microorganisms 2024, 12, 1515. https://doi.org/10.3390/microorganisms12081515
Mian G, Belfiore N, Marcuzzo P, Spinelli F, Tomasi D, Colautti A. Counteracting Grey Mould (Botrytis cinerea) in Grapevine ‘Glera’ Using Three Putative Biological Control Agent Strains (Paraburkholderia sp., Pseudomonas sp., and Acinetobacter sp.): Impact on Symptoms, Yield, and Gene Expression. Microorganisms. 2024; 12(8):1515. https://doi.org/10.3390/microorganisms12081515
Chicago/Turabian StyleMian, Giovanni, Nicola Belfiore, Patrick Marcuzzo, Francesco Spinelli, Diego Tomasi, and Andrea Colautti. 2024. "Counteracting Grey Mould (Botrytis cinerea) in Grapevine ‘Glera’ Using Three Putative Biological Control Agent Strains (Paraburkholderia sp., Pseudomonas sp., and Acinetobacter sp.): Impact on Symptoms, Yield, and Gene Expression" Microorganisms 12, no. 8: 1515. https://doi.org/10.3390/microorganisms12081515
APA StyleMian, G., Belfiore, N., Marcuzzo, P., Spinelli, F., Tomasi, D., & Colautti, A. (2024). Counteracting Grey Mould (Botrytis cinerea) in Grapevine ‘Glera’ Using Three Putative Biological Control Agent Strains (Paraburkholderia sp., Pseudomonas sp., and Acinetobacter sp.): Impact on Symptoms, Yield, and Gene Expression. Microorganisms, 12(8), 1515. https://doi.org/10.3390/microorganisms12081515

