Native Microalgae-Bacteria Consortia: A Sustainable Approach for Effective Urban Wastewater Bioremediation and Disinfection
Abstract
1. Introduction
2. Materials and Methods
2.1. Urban Wastewater
2.2. Microalgae Consortium
2.3. Experimental Setup
2.4. Microalgal Growth Kinetics
2.5. Nutrient Removal Efficiency and Kinetics
2.6. Culturable Microorganisms’ Determination
2.7. DNA Extraction
2.8. Quantification of 16S rRNA, intI1, and Antibiotic Resistance Genes
2.9. Statistical Analysis
3. Results and Discussion
3.1. Microalgal Growth
3.2. Conventional Pollutant Removal
3.3. Cultivable Bacterial Abundance
3.4. Abundance of Antibiotic Resistance Genes
4. Conclusions
Supplementary Materials
 MBS;
 MBS;  C+;
 C+;  C−; and
 C−; and  DC−. St3: day 3 of storage; St8: day 8 of storage; Figure S4: Pearson correlation of all the analysed variables obtained for each PBR in E-II: MBS, C+, C−, and DC−. The * symbol discriminates correlations with p < 0.05; Table S1: Composition of the modified OECD microalgae culture medium.; Table S2: Calibration curves’ parameters used in this study; Table S3: Average decrease rate of gene prevalence (gene copy number/16S rRNA copy number/d) of intl1 and resistance genes (sul1 and blaTEM) during the cultivation period determined for each PBR. For each gene, values (average ± standard deviation, n = 6) with a different superscript letter are statistically different (p < 0.05).
 DC−. St3: day 3 of storage; St8: day 8 of storage; Figure S4: Pearson correlation of all the analysed variables obtained for each PBR in E-II: MBS, C+, C−, and DC−. The * symbol discriminates correlations with p < 0.05; Table S1: Composition of the modified OECD microalgae culture medium.; Table S2: Calibration curves’ parameters used in this study; Table S3: Average decrease rate of gene prevalence (gene copy number/16S rRNA copy number/d) of intl1 and resistance genes (sul1 and blaTEM) during the cultivation period determined for each PBR. For each gene, values (average ± standard deviation, n = 6) with a different superscript letter are statistically different (p < 0.05).Author Contributions
Funding
Data Availability Statement
Conflicts of Interest
Abbreviations
| ARG | Antibiotic-resistant gene | 
| C− | Negative control | 
| C+ | Positive control | 
| CFU | Colony-forming unit | 
| COD | Chemical oxygen demand | 
| DC− | Dark negative control | 
| DNA | Deoxyribonucleic acid | 
| DO | Dissolved oxygen | 
| DW | Dry weight | 
| EPS | Extracellular polymeric substances | 
| HA | Humic acid | 
| LOD | Limit of detection | 
| LOQ | Limit of quantification | 
| MBS | Microalgae-bacteria system | 
| NH4+-N | Ammonium-nitrogen | 
| NO3−-N | Nitrate-nitrogen | 
| OECD | Organisation for Economic Cooperation and Development | 
| PBR | Photobioreactor | 
| PO43−-P | Phosphate-phosphorus | 
| qPCR | Quantitative polymerase chain reaction | 
| rRNA | Ribosomal ribonucleic acid | 
| UWW | Urban wastewater | 
| UWWTP | Urban wastewater treatment plant | 
References
- Liu, X.-Y.; Hong, Y. Microalgae-Based Wastewater Treatment and Recovery with Biomass and Value-Added Products: A Brief Review. Curr. Pollut. Rep. 2021, 7, 227–245. [Google Scholar] [CrossRef]
- Jones, E.R.; van Vliet, M.T.H.; Qadir, M.; Bierkens, M.F.P. Country-level and gridded estimates of wastewater production, collection, treatment and reuse. Earth Syst. Sci. Data 2021, 13, 237–254. [Google Scholar] [CrossRef]
- Environment and Natural Resources Department. Wastewater as a Resource. 2022; p. 40. Available online: https://www.eib.org/attachments/publications/wastewater_as_a_resource_en.pdf (accessed on 1 June 2024).
- Beaulieu, J.J.; DelSontro, T.; Downing, J.A. Eutrophication will increase methane emissions from lakes and impoundments during the 21st century. Nat. Commun. 2019, 10, 1375. [Google Scholar] [CrossRef] [PubMed]
- WHO. Eurohealth: Tackling antimicrobial resistance. Eurohealth 2020, 26, 12. Available online: https://iris.who.int/bitstream/handle/10665/331653/Eurohealth-26-1-2020-eng.pdf?sequence=1&isAllowed=y (accessed on 1 June 2024).
- Wollmann, F.; Dietze, S.; Ackermann, J.U.; Bley, T.; Walther, T.; Steingroewer, J.; Krujatz, F. Microalgae wastewater treatment: Biological and technological approaches. Eng. Life Sci. 2019, 19, 860–871. [Google Scholar] [CrossRef] [PubMed]
- Amaro, H.M.; Salgado, E.M.; Pires, J.C.M.; Nunes, O.C.; Esteves, A.F. Microalgae systems—Environmental agents for wastewater treatment and further potential biomass valorisation. J. Environ. Manag. 2023, 337, 117678. [Google Scholar] [CrossRef] [PubMed]
- Amaro, H.M.; Sousa, J.F.; Salgado, E.M.; Pires, J.C.M.; Nunes, O.C. Microalgal Systems, a Green Solution for Wastewater Conventional Pollutants Removal, Disinfection, and Reduction of Antibiotic Resistance Genes Prevalence? Appl. Sci. 2023, 13, 4266. [Google Scholar] [CrossRef]
- Salgado, E.M.; Esteves, A.F.; Goncalves, A.L.; Pires, J.C.M. Microalgal cultures for the remediation of wastewaters with different nitrogen to phosphorus ratios: Process modelling using artificial neural networks. Environ. Res. 2023, 231, 116076. [Google Scholar] [CrossRef]
- Plöhn, M.; Spain, O.; Sirin, S.; Silva, M.; Escudero-Oñate, C.; Ferrando-Climent, L.; Allahverdiyeva, Y.; Funk, C. Wastewater treatment by microalgae. Physiol. Plant. 2021, 173, 568–578. [Google Scholar] [CrossRef]
- Dalvi, V.; Chawla, P.; Malik, A. Year-long performance assessment of an on-site pilot scale (100 L) photobioreactor on nutrient recovery and pathogen removal from urban wastewater using native microalgal consortium. Algal Res. 2021, 55, 102228. [Google Scholar] [CrossRef]
- Vaz, S.A.; Badenes, S.M.; Pinheiro, H.M.; Martins, R.C. Recent reports on domestic wastewater treatment using microalgae cultivation: Towards a circular economy. Environ. Technol. Innov. 2023, 30, 103107. [Google Scholar] [CrossRef]
- Wang, Q.; Wang, X.; Hong, Y.; Liu, X.; Zhao, G.; Zhang, H.; Zhai, Q. Microalgae cultivation in domestic wastewater for wastewater treatment and high value-added production: Species selection and comparison. Biochem. Eng. J. 2022, 185, 108493. [Google Scholar] [CrossRef]
- Tan, Y.H.; Chai, M.K.; Na, J.Y.; Wong, L.S. Microalgal Growth and Nutrient Removal Efficiency in Non-Sterilised Primary Domestic Wastewater. Sustainability 2023, 15, 6601. [Google Scholar] [CrossRef]
- Ruas, G.; Serejo, M.L.; Farias, S.L.; Scarcelli, P.; Boncz, M.Á. Removal of pathogens from domestic wastewater by microalgal-bacterial systems under different cultivation conditions. Int. J. Environ. Sci. Technol. 2021, 19, 10177–10188. [Google Scholar] [CrossRef]
- Ouali, A.; Jupsin, H.; Ghrabi, A.; Vasel, J.L. Removal kinetic of Escherichia coli and enterococci in a laboratory pilot scale wastewater maturation pond. Water Sci. Technol. 2014, 69, 755–759. [Google Scholar] [CrossRef] [PubMed]
- Khuda, F.; Anjum, M.; Khan, S.; Khan, H.; Umar Khayam Sahibzada, M.; Khusro, A.; Jan, A.; Ullah, N.; Shah, Y.; Zakiullah; et al. Antimicrobial, anti-inflammatory and antioxidant activities of natural organic matter extracted from cretaceous shales in district Nowshera-Pakistan. Arab. J. Chem. 2022, 15, 103633. [Google Scholar] [CrossRef]
- Inuwa, A.B.; Mahmood, Q.; Iqbal, J.; Widemann, E.; Shafiq, S.; Irshad, M.; Irshad, U.; Iqbal, A.; Hafeez, F.; Nazir, R. Removal of Antibiotic Resistance Genes, Class 1 Integrase Gene and Escherichia coli Indicator Gene in a Microalgae-Based Wastewater Treatment System. Antibiotics 2022, 11, 1531. [Google Scholar] [CrossRef] [PubMed]
- Liu, W.; Huang, W.; Cao, Z.; Ji, Y.; Liu, D.; Huang, W.; Zhu, Y.; Lei, Z. Microalgae simultaneously promote antibiotic removal and antibiotic resistance genes/bacteria attenuation in algal-bacterial granular sludge system. J. Hazard. Mater. 2022, 438, 129286. [Google Scholar] [CrossRef]
- Tang, Y.; Song, L.; Ji, X.; Huang, S.; Yu, Y.; Ye, J.; Xu, W.; Hou, M. Algal-bacterial consortium mediated system offers effective removal of nitrogen nutrients and antibiotic resistance genes. Bioresour. Technol. 2022, 362, 127874. [Google Scholar] [CrossRef]
- EUR-Lex. Council Directive 91/271/EEC of 21 May 1991 Concerning Urban Waste-Water Treatment. 1991; pp. 48–49. Available online: https://eur-lex.europa.eu/legal-content/EN/TXT/?uri=celex%3A31991L0271 (accessed on 1 June 2024).
- Zwietering, M.H.; Jongenburger, I.; Rombouts, F.M.; Riet, K. Modeling of the Bacterial Growth Curve. Appl. Environ. Microbiol. 1990, 56, 1875–1881. [Google Scholar] [CrossRef]
- Standard Methods. Standard Methods for the Examination of Water and Wastewater, 23rd ed.; American Public Health Association, American Water Works Association, Water Environment Federation: Washington, DC, USA, 2017. [Google Scholar]
- EPA. Method 352.1: Nitrogen, Nitrate (Colorimetric, Brucine) by Spectrophotometer; Environmental Protection Agency: Washington, DC, USA, 1971.
- Lee, Y.-J.; Lei, Z. Microalgal-bacterial aggregates for wastewater treatment: A mini-review. Bioresour. Technol. Rep. 2019, 8, 100199. [Google Scholar] [CrossRef]
- Lange, B.; Strathmann, M.; Ossmer, R. Performance validation of chromogenic coliform agar for the enumeration of Escherichia coli and coliform bacteria. Lett. Appl. Microbiol. 2013, 57, 547–553. [Google Scholar] [CrossRef]
- Brankatschk, R.; Bodenhausen, N.; Zeyer, J.; Burgmann, H. Simple absolute quantification method correcting for quantitative PCR efficiency variations for microbial community samples. Appl. Environ. Microbiol. 2012, 78, 4481–4489. [Google Scholar] [CrossRef]
- Bustin, S.A.; Benes, V.; Garson, J.A.; Hellemans, J.; Huggett, J.; Kubista, M.; Mueller, R.; Nolan, T.; Pfaffl, M.W.; Shipley, G.L.; et al. The MIQE guidelines: Minimum information for publication of quantitative real-time PCR experiments. Clin. Chem. 2009, 55, 611–622. [Google Scholar] [CrossRef]
- Denman, S.E.; McSweeney, C.S. Development of a real-time PCR assay for monitoring anaerobic fungal and cellulolytic bacterial populations within the rumen. FEMS Microbiol. Ecol. 2006, 58, 572–582. [Google Scholar] [CrossRef] [PubMed]
- Goldstein, C.; Lee, M.D.; Sanchez, S.; Hudson, C.; Phillips, B.; Register, B.; Grady, M.; Liebert, C.; Summers, A.O.; White, D.G.; et al. Incidence of Class 1 and 2 Integrases in Clinical and Commensal Bacteria from Livestock, Companion Animals, and Exotics. Antimicrob. Agents Chemother. 2001, 45, 723–726. [Google Scholar] [CrossRef] [PubMed]
- Pei, R.; Kim, S.C.; Carlson, K.H.; Pruden, A. Effect of river landscape on the sediment concentrations of antibiotics and corresponding antibiotic resistance genes (ARG). Water Res. 2006, 40, 2427–2435. [Google Scholar] [CrossRef] [PubMed]
- Bibbal, D.; Dupouy, V.; Ferré, J.P.; Toutain, P.L.; Fayet, O.; Prère, M.F.; Bousquet-Mélou, A. Impact of three ampicillin dosage regimens on selection of ampicillin resistance in Enterobacteriaceae and excretion of blaTEM genes in swine feces. Appl. Environ. Microbiol. 2007, 73, 4785–4790. [Google Scholar] [CrossRef]
- Silva, N.F.P.; Gonçalves, A.L.; Moreira, F.C.; Silva, T.F.C.V.; Martins, F.G.; Alvim-Ferraz, M.C.M.; Boaventura, R.A.R.; Vilar, V.J.P.; Pires, J.C.M. Towards sustainable microalgal biomass production by phycoremediation of a synthetic wastewater: A kinetic study. Algal Res. 2015, 11, 350–358. [Google Scholar] [CrossRef]
- Hu, W. Dry Weight and Cell Density of Individual Algal and Cyanobacterial Cells for Algae. Master’s Thesis, University of Misouri, Colombia, MI, USA, 2014. [Google Scholar]
- EC. Annexes to the Proposal for a Directive Concerning Urban Wastewater Treatment. 2022. Available online: https://eur-lex.europa.eu/legal-content/EN/TXT/?uri=CELEX%3A52022PC0541 (accessed on 1 June 2024).
- Lopez, C.V.; Garcia Mdel, C.; Fernandez, F.G.; Bustos, C.S.; Chisti, Y.; Sevilla, J.M. Protein measurements of microalgal and cyanobacterial biomass. Bioresour. Technol. 2010, 101, 7587–7591. [Google Scholar] [CrossRef]
- Powell, N.; Shilton, A.N.; Pratt, S.; Chisti, Y. Factors Influencing Luxury Uptake of Phosphorus by Microalgae in Waste Stabilization Ponds. Environ. Sci. Technol. 2008, 42, 5958–5962. [Google Scholar] [CrossRef]
- Babiak, W.; Krzemińska, I. Extracellular Polymeric Substances (EPS) as Microalgal Bioproducts: A Review of Factors Affecting EPS Synthesis and Application in Flocculation Processes. Energies 2021, 14, 4007. [Google Scholar] [CrossRef]
- Raungsomboon, S.; Chidthaisong, A.; Bunnag, B.; Inthorn, D.; Harvey, N.W. Production, composition and Pb2+ adsorption characteristics of capsular polysaccharides extracted from a cyanobacterium Gloeocapsa gelatinosa. Water Res. 2006, 40, 3759–3766. [Google Scholar] [CrossRef] [PubMed]
- Davies-Colley, R.J.; Donnison, A.M.; Speed, D.J.; Ross, C.M.; Nagels, J.W. Inactivation of faecal indicator microorganisms in waste stabilization ponds: Interactions of environmental factors with sunlight. Water Res. 1999, 33, 1220–1230. [Google Scholar] [CrossRef]
- Cheng, X.; Delanka-Pedige, H.M.K.; Munasinghe-Arachchige, S.P.; Abeysiriwardana-Arachchige, I.S.A.; Smith, G.B.; Nirmalakhandan, N.; Zhang, Y. Removal of antibiotic resistance genes in an algal-based wastewater treatment system employing Galdieria sulphuraria: A comparative study. Sci. Total Environ. 2020, 711, 134435. [Google Scholar] [CrossRef] [PubMed]
- Aditya, L.; Mahlia, T.M.I.; Nguyen, L.N.; Vu, H.P.; Nghiem, L.D. Microalgae-bacteria consortium for wastewater treatment and biomass production. Sci. Total Environ. 2022, 838, 155871. [Google Scholar] [CrossRef] [PubMed]
- Ribeirinho-Soares, S.; Moreira, N.F.F.; Graca, C.; Pereira, M.F.R.; Silva, A.M.T.; Nunes, O.C. Overgrowth control of potentially hazardous bacteria during storage of ozone treated wastewater through natural competition. Water Res. 2021, 209, 117932. [Google Scholar] [CrossRef] [PubMed]
- European Comission. Regulation (EU) 2020/741 of the European Parliament and of the Council of 25 May 2020 on Minimum Requirements for Water Reuse. 2020; pp. 32–55. Available online: https://eur-lex.europa.eu/eli/reg/2020/741/oj (accessed on 1 June 2024).
- Gillings, M.R.; Gaze, W.H.; Pruden, A.; Smalla, K.; Tiedje, J.M.; Zhu, Y.-G. Using the class 1 integron-integrase gene as a proxy for anthropogenic pollution. ISME J. 2015, 9, 1269–1279. [Google Scholar] [CrossRef]
- Cacace, D.; Fatta-Kassinos, D.; Manaia, C.M.; Cytryn, E.; Kreuzinger, N.; Rizzo, L.; Karaolia, P.; Schwartz, T.; Alexander, J.; Merlin, C.; et al. Antibiotic resistance genes in treated wastewater and in the receiving water bodies: A pan-European survey of urban settings. Water Res. 2019, 162, 320–330. [Google Scholar] [CrossRef]
- da Silva Rodrigues, D.A.; da Cunha, C.; do Espirito Santo, D.R.; de Barros, A.L.C.; Pereira, A.R.; de Queiroz Silva, S.; da Fonseca Santiago, A.; de Cassia Franco Afonso, R.J. Removal of cephalexin and erythromycin antibiotics, and their resistance genes, by microalgae-bacteria consortium from wastewater treatment plant secondary effluents. Environ. Sci. Pollut. Res. Int. 2021, 28, 67822–67832. [Google Scholar] [CrossRef]
- Ovis-Sanchez, J.O.; Perera-Perez, V.D.; Buitron, G.; Quintela-Baluja, M.; Graham, D.W.; Morales-Espinosa, R.; Carrillo-Reyes, J. Exploring resistomes and microbiomes in pilot-scale microalgae-bacteria wastewater treatment systems for use in low-resource settings. Sci. Total Environ. 2023, 882, 163545. [Google Scholar] [CrossRef] [PubMed]
 MBS;
 MBS;  C+;
 C+;  C−; and
 C−; and  DC−. The filled line represents the model fit of the modified Gompertz model to the experimental data.
 DC−. The filled line represents the model fit of the modified Gompertz model to the experimental data.
   MBS;
 MBS;  C+;
 C+;  C−; and
 C−; and  DC−. The filled line represents the model fit of the modified Gompertz model to the experimental data.
 DC−. The filled line represents the model fit of the modified Gompertz model to the experimental data.
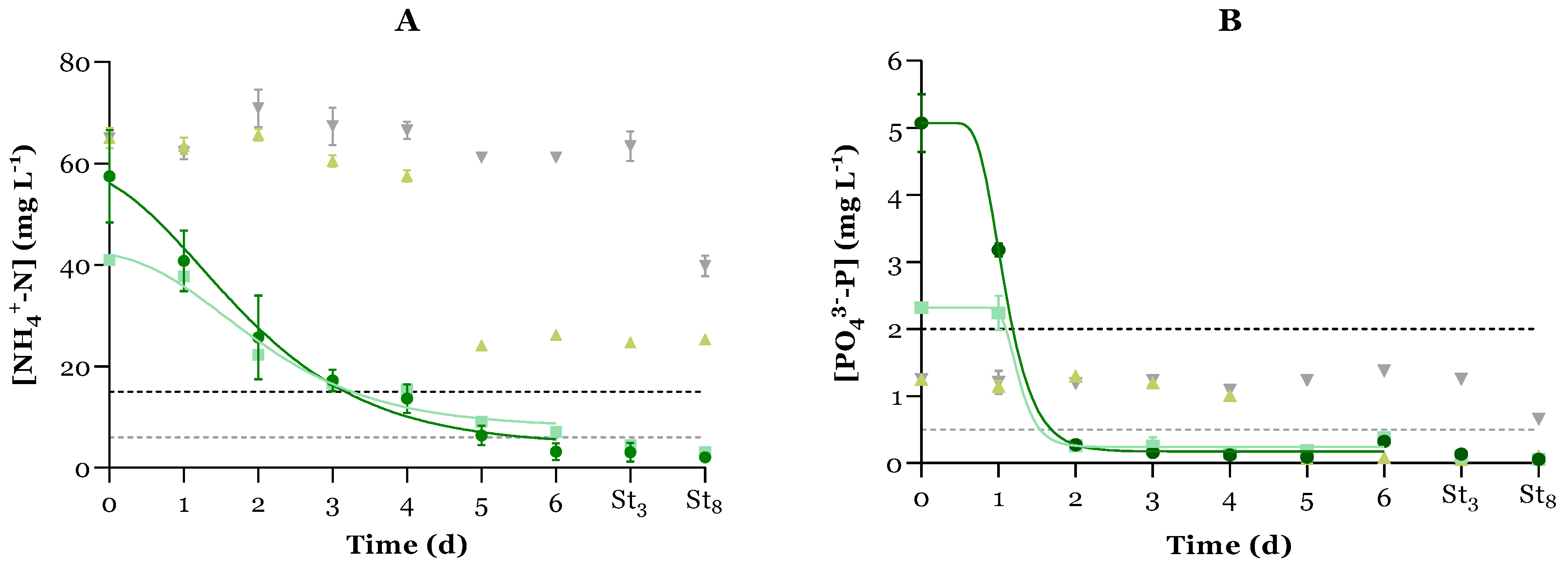
 MBS;
 MBS;  C+;
 C+;   C−; and
C−; and  DC−. The filled lines represent the model fit of the modified Gompertz model to the experimental data. The dashed lines correspond to the EU legislation limits (directive 1991/271/EEC—black; upgrade for 2040—grey). St3: day 3 of storage; St8: day 8 of storage.
 DC−. The filled lines represent the model fit of the modified Gompertz model to the experimental data. The dashed lines correspond to the EU legislation limits (directive 1991/271/EEC—black; upgrade for 2040—grey). St3: day 3 of storage; St8: day 8 of storage.
   MBS;
 MBS;  C+;
 C+;   C−; and
C−; and  DC−. The filled lines represent the model fit of the modified Gompertz model to the experimental data. The dashed lines correspond to the EU legislation limits (directive 1991/271/EEC—black; upgrade for 2040—grey). St3: day 3 of storage; St8: day 8 of storage.
 DC−. The filled lines represent the model fit of the modified Gompertz model to the experimental data. The dashed lines correspond to the EU legislation limits (directive 1991/271/EEC—black; upgrade for 2040—grey). St3: day 3 of storage; St8: day 8 of storage.
 MBS;
MBS;  C+;
 C+;  C−; and
 C−; and  DC−. St3: day 3 of storage; St8: day 8 of storage.
 DC−. St3: day 3 of storage; St8: day 8 of storage.
   MBS;
MBS;  C+;
 C+;  C−; and
 C−; and  DC−. St3: day 3 of storage; St8: day 8 of storage.
 DC−. St3: day 3 of storage; St8: day 8 of storage.
 MBS;
 MBS;  C+;
 C+;  C−; and
 C−; and  DC− Results are expressed in log (CFU mL−1) as the average ± standard deviation (n = 3). Bars from the same group of bacteria with a different superscript letter are statistically different (two-way ANOVA followed by a Tukey post hoc test, p < 0.05).
 DC− Results are expressed in log (CFU mL−1) as the average ± standard deviation (n = 3). Bars from the same group of bacteria with a different superscript letter are statistically different (two-way ANOVA followed by a Tukey post hoc test, p < 0.05).
   MBS;
 MBS;  C+;
 C+;  C−; and
 C−; and  DC− Results are expressed in log (CFU mL−1) as the average ± standard deviation (n = 3). Bars from the same group of bacteria with a different superscript letter are statistically different (two-way ANOVA followed by a Tukey post hoc test, p < 0.05).
 DC− Results are expressed in log (CFU mL−1) as the average ± standard deviation (n = 3). Bars from the same group of bacteria with a different superscript letter are statistically different (two-way ANOVA followed by a Tukey post hoc test, p < 0.05).
 MBS;
 MBS;  C+;
 C+;  C−; and
 C−; and  DC−. Results are expressed in log (gene copy number 100 mL−1) as the average ± standard deviation (n = 2). St3: day 3 of storage; St8: day 8 of storage.
 DC−. Results are expressed in log (gene copy number 100 mL−1) as the average ± standard deviation (n = 2). St3: day 3 of storage; St8: day 8 of storage.
   MBS;
 MBS;  C+;
 C+;  C−; and
 C−; and  DC−. Results are expressed in log (gene copy number 100 mL−1) as the average ± standard deviation (n = 2). St3: day 3 of storage; St8: day 8 of storage.
 DC−. Results are expressed in log (gene copy number 100 mL−1) as the average ± standard deviation (n = 2). St3: day 3 of storage; St8: day 8 of storage.
 . MBS;
. MBS;  C+;
 C+;  C−; and
 C−; and  DC−. Results are expressed as average ± standard deviation (n = 2). St3: day 3 of storage; St8: day 8 of storage.
 DC−. Results are expressed as average ± standard deviation (n = 2). St3: day 3 of storage; St8: day 8 of storage.
   . MBS;
. MBS;  C+;
 C+;  C−; and
 C−; and  DC−. Results are expressed as average ± standard deviation (n = 2). St3: day 3 of storage; St8: day 8 of storage.
 DC−. Results are expressed as average ± standard deviation (n = 2). St3: day 3 of storage; St8: day 8 of storage.

| Gene | Primers | qPCR Standard | Efficiency (%) | Conditions | Master Mix | Ref. | 
|---|---|---|---|---|---|---|
| 16S rRNA (145 bp) | q_1114F (CGGCAACGAGCGCAACCC) q_1275R (CCATTGTAGCACGTGTGTAGCC) | Escherichia coli ATCC25922 | 100 | 95 °C for 10 min (1 cycle); 95 °C for 15 s, 55 °C for 20 s, and 72 °C for 10 s (35 cycles) | KAPA SYBR® FAST, ABI Prism® | [29] | 
| intl1 (196 bp) | q_intILC5_fw (GATCGGTCGAATGCGTGT) q_intILC1_rv (GCCTTGATGTTACCCGAGAG) | pNORM (digested) | 94 | 95 °C for 10 min (1 cycle); 95 °C for 15 s, and 60 °C for 1 min (40 cycles) | PowerSYBR® Green PCR Master Mix | [30] | 
| sul1 (162 bp) | q_sulI_FW (CGCACCGGAAACATCGCTGCAC) q_sulI_RV (TGAAGTTCCGCCGCAAGGCTCG) | pNORM (digested) | 94 | 95 °C for 5 min (1 cycle); 95 °C for 10 s, and 60 °C for 30 s (35 cycles) | Fast SYBRTM Green Master Mix | [31] | 
| blaTEM (113 bp) | blaTEM-F (TTCCTGTTTTTGCTCACCCAG) blaTEM-R (CTCAAGGATCTTACCGCTGTTG) | pNORM (digested) | 96 | 95 °C for 10 min (1 cycle); 95 °C for 15 s, and 60 °C for 1 min (40 cycles) | SYBR® Select Master Mix | [32] | 
| PBR | MCCmax (Cells mL−1) | PX,max (Cells mL−1 d−1) | PX,avg (Cells mL−1 d−1) | µ (d−1) | R2 | RMSE | 
|---|---|---|---|---|---|---|
| MBS | (1.2 ± 0.2) × 107 a | (3.3 ± 0.6) × 106 a | (1.2 ± 0.3) × 106 a | 0.651 ± 0.155 a | 0.990 | 0.046 | 
| C+ | (9.7 ± 0.1) × 106 a | (2.3 ± 0.1) × 106 b | (6.4 ± 0.2) × 105 b | 0.470 ± 0.131 a | 0.931 | 0.030 | 
| C− | (3.3 ± 0.2) × 106 c | (2.3 ± 0.2) × 106 b | (5.4 ± 0.3) × 105 b | 1.442 ± 0.451 b | 0.944 | 1.247 | 
| DC− | (7.8 ± 1.6) × 104 d | (3.1 ± 3.1) × 104 c | (−2.6 ± 2.6) × 103 c | - | - | - | 
| Nutrient | EU Legislation Limit | PBR | S0 (mg L−1) | MR (mg L−1) | RR (mg L−1 d−1) | RE (%) | YX/S (gDW gnutrient−1) | k (d−1) | R2 | RMSE (mg L−1) | 
|---|---|---|---|---|---|---|---|---|---|---|
| NH4+-N | 15 mg L−1 | MBS | 57.47 ± 9.14 a | 54.30 ± 7.45 a | 9.05 ± 1.24 | 95 ± 2 a | 7.73 ± 4.42 a,b | 0.806 ± 0.260 a | 0.918 | 1.228 | 
| C+ | 41.00 ± 0.28 b | 33.90 ± 0.01 b | 5.65 ± 0.01 | 83 ± 1 b | 7.68 ± 0.13 b | 0.872 ± 0.157 a | 0.963 | 1.190 | ||
| C− | 65.00 ± 1.95 a | 38.77 ± 1.71 b | 6.46 ± 0.28 | 60 ± 1 c | 3.31 ± 0.32 a | - | - | |||
| DC− | 65.00 ± 1.95 a | 3.83 ± 2.06 c | 0.64 ± 0.34 | 6 ± 3 d | −0.27 ± 0.39 c | - | - | |||
| PO43−-P | 2 mg L−1 | MBS | 5.08 ± 0.43 a | 4.75 ± 0.34 a | 0.79 ± 0.06 | 94 ± 1 a | 85.94 ± 28.61 a | 3.829 ± 1.330 a | 0.993 | 0.048 | 
| C+ | 2.32 ± 0.08 b | 1.94 ± 0.07 b | 0.32 ± 0.01 | 84 ± 1 b | 134.57 ± 4.40 b | 5.939 ± 4.231 a | 0.984 | 0.040 | ||
| C− | 1.25 ± 0.02 c | 1.17 ± 0.02 c | 0.19 ± 0.01 | 94 ± 1 a | 109.54 ± 4.24 a,b | - | - | |||
| DC− | 1.25 ± 0.02 c | −0.13 ± 0.03 d | −0.02 ± 0.01 | −10 ± 2 c | 4.25 ± 4.24 c | - | - | 
| PBR | intI1 | sul1 | blaTEM | |||
|---|---|---|---|---|---|---|
| A0 (Gene Copy Number 100 mL−1) | RGP (%) | A0 (Gene Copy Number 100 mL−1) | RGP (%) | A0 (Gene Copy Number 100 mL−1) | RGP (%) | |
| MBS | (4.0 ± 0.5) × 107 | 93 ± 2 | (4.3 ± 1.1) × 107 | 42 ± 8 | (1.1 ± 0.4) × 102 | 91.7 ± 2.5 | 
| C+ | (9.0 ± 1.0) × 107 | 89 ± 1 | (8.0 ± 0.3) × 107 | 46 ± 4 | (2.8 ± 0.2) × 101 | 31.0 ± 2.3 | 
| C− | (3.8 ± 0.2) × 107 | 1 ± 5 | (5.1 ± 0.1) × 107 | 25 ± 138 | (1.8 ± 0.1) × 103 | 58.6 ± 2.5 | 
| DC− | (3.8 ± 0.2) × 107 | −35 ± 3 | (5.1 ± 0.1) × 107 | −1 ± 6 | (1.8 ± 0.1) × 103 | 48.5 ± 6.3 | 
| PBR | intI1 | sul1 | blaTEM | |||
|---|---|---|---|---|---|---|
| Prevalence of St8 (GA/16S rRNA) | RGP (%) | Prevalence of St8 (GA/16S rRNA) | RGP (%) | Prevalence of St8 (GA/16S rRNA) | RGP (%) | |
| MBS | (2.5 ± 1.0) × 10−3 | 91 ± 5 | (9.5 ± 7.3) × 10−3 | 72 ± 13 | (1.3 ± 0.2) × 10−9 | 98.2 ± 0.6 | 
| C+ | (3.8 ± 0.1) × 10−3 | 90 ± 1 | (6.1 ± 0.1) × 10−3 | 82 ± 1 | (1.2 ± 0.1) × 10−9 | 89.8 ± 1.5 | 
| C− | (4.1 ± 0.6) × 10−3 | 76 ± 4 | (1.2 ± 0.3) × 10−2 | 50 ± 9 | (2.6 ± 0.2) × 10−8 | 96.8 ± 0.5 | 
| DC− | (1.2 ± 0.1) × 10−1 | −569 ± 31 | (3.1 ± 0.1) × 10−2 | −32 ± 13 | (5.8 ± 0.1) × 10−8 | 93.1 ± 0.7 | 
| Disclaimer/Publisher’s Note: The statements, opinions and data contained in all publications are solely those of the individual author(s) and contributor(s) and not of MDPI and/or the editor(s). MDPI and/or the editor(s) disclaim responsibility for any injury to people or property resulting from any ideas, methods, instructions or products referred to in the content. | 
© 2024 by the authors. Licensee MDPI, Basel, Switzerland. This article is an open access article distributed under the terms and conditions of the Creative Commons Attribution (CC BY) license (https://creativecommons.org/licenses/by/4.0/).
Share and Cite
Sousa, J.F.; Amaro, H.M.; Ribeirinho-Soares, S.; Esteves, A.F.; Salgado, E.M.; Nunes, O.C.; Pires, J.C.M. Native Microalgae-Bacteria Consortia: A Sustainable Approach for Effective Urban Wastewater Bioremediation and Disinfection. Microorganisms 2024, 12, 1421. https://doi.org/10.3390/microorganisms12071421
Sousa JF, Amaro HM, Ribeirinho-Soares S, Esteves AF, Salgado EM, Nunes OC, Pires JCM. Native Microalgae-Bacteria Consortia: A Sustainable Approach for Effective Urban Wastewater Bioremediation and Disinfection. Microorganisms. 2024; 12(7):1421. https://doi.org/10.3390/microorganisms12071421
Chicago/Turabian StyleSousa, Joana F., Helena M. Amaro, Sara Ribeirinho-Soares, Ana F. Esteves, Eva M. Salgado, Olga C. Nunes, and José C. M. Pires. 2024. "Native Microalgae-Bacteria Consortia: A Sustainable Approach for Effective Urban Wastewater Bioremediation and Disinfection" Microorganisms 12, no. 7: 1421. https://doi.org/10.3390/microorganisms12071421
APA StyleSousa, J. F., Amaro, H. M., Ribeirinho-Soares, S., Esteves, A. F., Salgado, E. M., Nunes, O. C., & Pires, J. C. M. (2024). Native Microalgae-Bacteria Consortia: A Sustainable Approach for Effective Urban Wastewater Bioremediation and Disinfection. Microorganisms, 12(7), 1421. https://doi.org/10.3390/microorganisms12071421
 
        






 
                         
       