The Usefulness of the C2HEST Score in Predicting the Clinical Outcomes of COVID-19 in COPD and Non-COPD Cohorts
Abstract
1. Introduction
2. Materials and Methods
2.1. Study Design and Participants
2.2. Follow-Up and Outcomes
2.3. C2HEST Score Stratification
2.4. Statistical Analysis
3. Results
3.1. Initial Characteristics and Comorbidities of the Study Population
3.2. Characteristics of the In-Hospital Laboratory Tests and Treatment Applied
3.2.1. Laboratory Assays
3.2.2. Treatment Applied during the Hospitalization Period
3.3. Associations of the C2HEST Score with Fatal Outcomes
3.3.1. C2HEST Score Results and Mortality
3.3.2. Differentiating Ability of the C2HEST Score in Predicting Overall Mortality
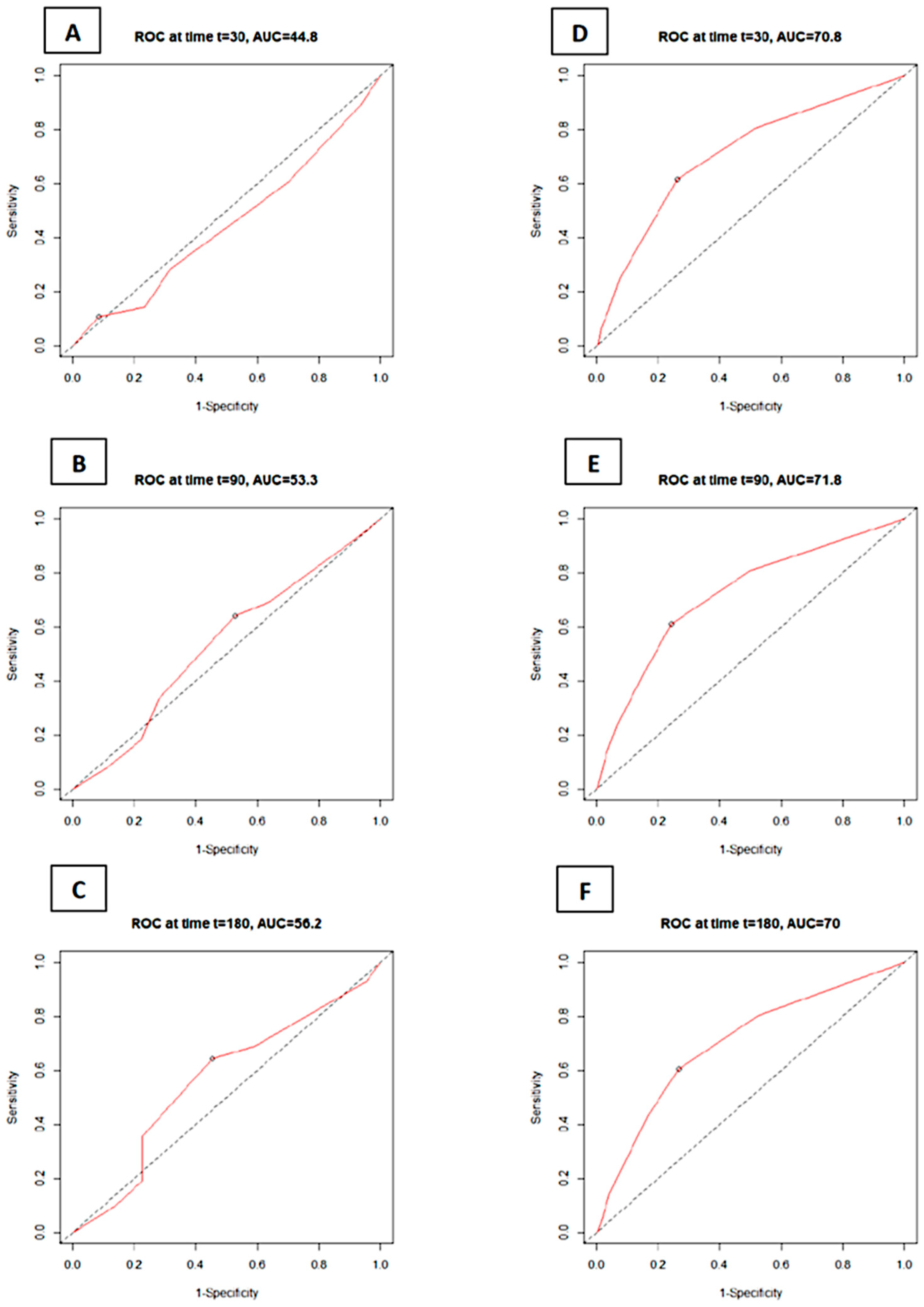
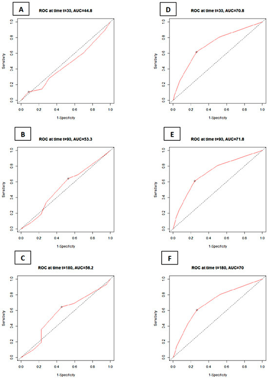
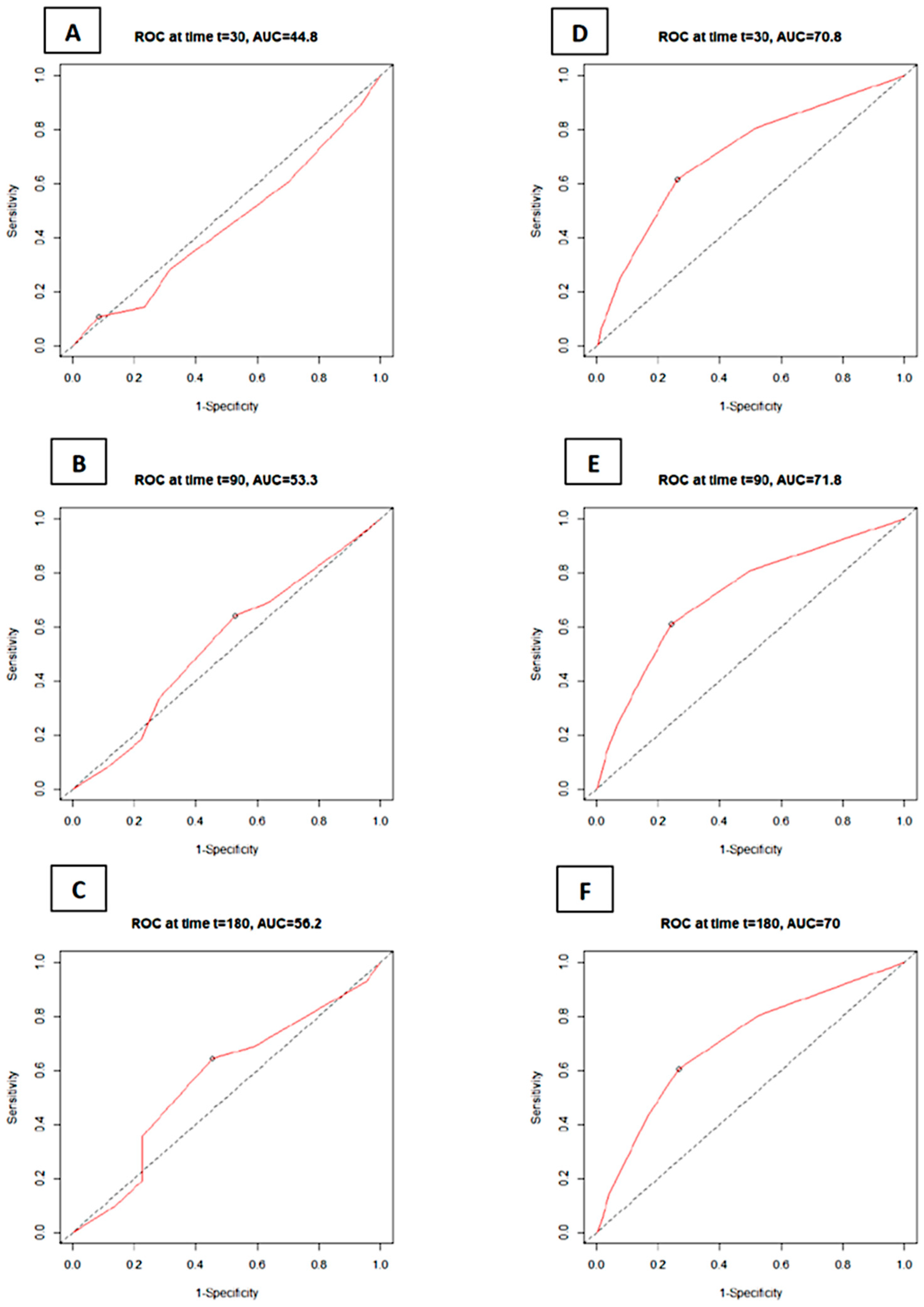
3.3.3. Discriminatory Performance of the C2HEST Score on the In-Hospital All-Cause Mortality–Time–ROC
3.3.4. The Probability of Survival in Hospitalized COVID-19 Patients
3.3.5. Risk Strata Matching for Analysis
- ●
- 0–4—low;
- ●
- 5–5—medium;
- ●
- 6–8—high.
3.3.6. Effect of the C2HEST Risk Stratification Result on COVID-19 Survival
3.3.7. Associations of the C2HEST Score with Other, Non-Fatal Events
3.3.8. Sensitivity Analysis
4. Discussion
5. Limitations
6. Conclusions
Supplementary Materials
Author Contributions
Funding
Data Availability Statement
Acknowledgments
Conflicts of Interest
References
- Johns Hopkins University & Medicine. COVID-19 Dashboard by the Center for Systems Science and Engineering (CSSE) at Johns Hopkins University (JHU). Available online: https://coronavirus.jhu.edu/map.html (accessed on 3 October 2023).
- Koc, H.C.; Xiao, J.; Liu, W.; Li, Y.; Chen, G. Long COVID and its Management. Int. J. Biol. Sci. 2022, 18, 4768–4780. [Google Scholar] [CrossRef]
- Milne, S.; Yang, C.X.; Timens, W.; Bossé, Y.; Sin, D.D. SARS-CoV-2 receptor ACE2 gene expression and RAAS inhibitors. Lancet Respir. Med. 2020, 8, e50–e51. [Google Scholar] [CrossRef]
- Leung, J.M.; Niikura, M.; Yang, C.W.T.; Sin, D.D. COVID-19 and COPD. Eur. Respir. J. 2020, 56, 2002108. [Google Scholar] [CrossRef]
- Gerayeli, F.V.; Milne, S.; Cheung, C.; Li, X.; Yang, C.W.T.; Tam, A.; Choi, L.H.; Bae, A.; Sin, D.D. COPD and the risk of poor outcomes in COVID-19: A systematic review and meta-analysis. EClinicalMedicine 2021, 33, 100789. [Google Scholar] [CrossRef]
- Zhao, Q.; Meng, M.; Kumar, R.; Wu, Y.; Huang, J.; Lian, N.; Deng, Y.; Lin, S. The impact of COPD and smoking history on the severity of COVID-19: A systemic review and meta-analysis. J. Med. Virol. 2020, 92, 1915–1921. [Google Scholar] [CrossRef]
- Varmaghani, M.; Dehghani, M.; Heidari, E.; Sharifi, F.; Moghaddam, S.S.; Farzadfar, F. Global prevalence of chronic obstructive pulmonary disease: Systematic review and meta-analysis. East. Mediterr. Health J. 2018, 25, 47–57. [Google Scholar] [CrossRef]
- Liang, W.; Liang, H.; Ou, L.; Chen, B.; Chen, A.; Li, C.; Li, Y.; Guan, W.; Sang, L.; Lu, J.; et al. Development and Validation of a Clinical Risk Score to Predict the Occurrence of Critical Illness in Hospitalized Patients With COVID-19. JAMA Intern. Med. 2020, 180, 1081–1089. [Google Scholar] [CrossRef]
- Rola, P.; Doroszko, A.; Trocha, M.; Giniewicz, K.; Kujawa, K.; Gawryś, J.; Matys, T.; Gajecki, D.; Madziarski, M.; Zieliński, S.; et al. Usefulness of C2HEST Score in Predicting Clinical Outcomes of COVID-19 in Heart Failure and Non-Heart-Failure Cohorts. J. Clin. Med. 2022, 11, 3495. [Google Scholar] [CrossRef]
- Gajecki, D.; Doroszko, A.; Trocha, M.; Giniewicz, K.; Kujawa, K.; Skarupski, M.; Gawryś, J.; Matys, T.; Szahidewicz-Krupska, E.; Rola, P.; et al. Usefulness of the C2HEST Score in Predicting the Clinical Outcomes of COVID-19 in Diabetic and Non-Diabetic Cohorts. J. Clin. Med. 2022, 11, 873. [Google Scholar] [CrossRef]
- Global Initiative for Chronic Obstructive Lung Disease. Global Strategy for the Diagnosis, Management, and Prevention of Chronic Obstructive Pulmonary Disease (2023 Report). Available online: https://goldcopd.org/wp-content/uploads/2023/03/GOLD-2023-ver-1.3-17Feb2023_WMV.pdf (accessed on 2 December 2023).
- Robin, X.; Turck, N.; Hainard, A.; Tiberti, N.; Lisacek, F.; Sanchez, J.-C.; Müller, M. pROC: An open-source package for R and S+ to analyze and compare ROC curves. BMC Bioinform. 2011, 12, 77. [Google Scholar] [CrossRef]
- Therneau, T. A Package for Survival Analysis in R. Version 3.2-11. Available online: https://CRAN.R-project.org/package=survival (accessed on 2 December 2023).
- Hothorn, T.; Hornik, K.; van de Wiel, M.A.; Zeileis, A. A Lego System for Conditional Inference. Am. Stat. 2006, 60, 257–263. [Google Scholar] [CrossRef]
- Muenchow, J.; Schratz, P.; Brenning, A. RQGIS: Integrating R with QGIS for Statistical Geocomputing. R J. 2017, 9, 409–428. [Google Scholar] [CrossRef]
- Himmelreich, J.C.L.; Veelers, L.; Lucassen, W.A.M.; Schnabel, R.B.; Rienstra, M.; van Weert, H.C.P.M.; E Harskamp, R. Prediction models for atrial fibrillation applicable in the community: A systematic review and meta-analysis. EP Eur. 2020, 22, 684–694. [Google Scholar] [CrossRef]
- Hu, W.-S.; Lin, C.-L. Prediction of new-onset atrial fibrillation for general population in Asia: A comparison of C2HEST and HATCH scores. Int. J. Cardiol. 2020, 313, 60–63. [Google Scholar] [CrossRef]
- Lip, G.Y.H.; Skjøth, F.; Nielsen, P.B.; Larsen, T.B. Evaluation of the C2HEST Risk Score as a Possible Opportunistic Screening Tool for Incident Atrial Fibrillation in a Healthy Population (From a Nationwide Danish Cohort Study). Am. J. Cardiol. 2020, 125, 48–54. [Google Scholar] [CrossRef]
- Li, Y.-G.; Pastori, D.; Farcomeni, A.; Yang, P.-S.; Jang, E.; Joung, B.; Wang, Y.-T.; Guo, Y.-T.; Lip, G.Y. A simple clinical risk score (C2HEST) for predicting incident atrial fibrillation in Asian subjects: Derivation in 471,446 Chinese subjects, with internal validation and external application in 451,199 Korean subjects. Chest 2019, 155, 510–518. [Google Scholar] [CrossRef]
- Liang, W.; Wu, Y.; Xue, R.; Wu, Z.; Wu, D.; He, J.; Dong, Y.; Lip, G.Y.H.; Zhu, W.; Liu, C. C2HEST score predicts clinical outcomes in heart failure with preserved ejection fraction: A secondary analysis of the TOPCAT trial. BMC Med. 2021, 19, 44. [Google Scholar] [CrossRef]
- Herr, C.; Beisswenger, C.; Hess, C.; Kandler, K.; Suttorp, N.; Welte, T.; Schroeder, J.-M.; Vogelmeier, C.; R Bals for the CAPNETZ Study Group. Group Suppression of pulmonary innate host defence in smokers. Thorax 2009, 64, 144–149. [Google Scholar] [CrossRef]
- Hawkins, N.M.; Petrie, M.C.; Jhund, P.S.; Chalmers, G.W.; Dunn, F.G.; Mcmurray, J.J. Heart failure and chronic obstructive pulmonary disease: Diagnostic pitfalls and epidemiology. Eur. J. Hear. Fail. 2009, 11, 130–139. [Google Scholar] [CrossRef]
- Ni, H.; Nauman, D.J.; Hershberger, R.E. Managed care and outcomes of hospitalization among elderly patients with congestive heart failure. Arch. Intern. Med. 1998, 158, 1231–1236. [Google Scholar] [CrossRef]
- Mills, N.L.; Miller, J.J.; Anand, A.; Robinson, S.D.; A Frazer, G.; Anderson, D.; Breen, L.; Wilkinson, I.B.; McEniery, C.M.; Donaldson, K.; et al. Increased arterial stiffness in patients with chronic obstructive pulmonary disease: A mechanism for increased cardiovascular risk. Thorax 2008, 63, 306–311. [Google Scholar] [CrossRef]
- Eickhoff, P.; Valipour, A.; Kiss, D.; Schreder, M.; Cekici, L.; Geyer, K.; Kohansal, R.; Burghuber, O.C. Determinants of Systemic Vascular Function in Patients with Stable Chronic Obstructive Pulmonary Disease. Am. J. Respir. Crit. Care Med. 2008, 178, 1211–1218. [Google Scholar] [CrossRef]
- Sin, D.D.; Man, S.F. Why are patients with chronic obstructive pulmonary disease at increased risk of cardiovascular diseases? The potential role of systemic inflammation in chronic obstructive pulmonary disease. Circulation 2003, 107, 1514–1519. [Google Scholar] [CrossRef]
- Thomsen, M.; Dahl, M.; Lange, P.; Vestbo, J.; Nordestgaard, B.G. Inflammatory Biomarkers and Comorbidities in Chronic Obstructive Pulmonary Disease. Am. J. Respir. Crit. Care Med. 2012, 186, 982–988. [Google Scholar] [CrossRef]
- Hoiseth, A.D.; Neukamm, A.; Karlsson, B.D.; Omland, T.; Brekke, P.H.; Soyseth, V. Elevated high-sensitivity cardiac troponin T is associated with increased mortality after acute exacerbation of chronic obstructive pulmonary disease. Thorax 2011, 66, 775–781. [Google Scholar] [CrossRef]
- Fu, Y.; Cheng, Y.; Wu, Y. Understanding SARS-CoV-2-Mediated Inflammatory Responses: From Mechanisms to Potential Therapeutic Tools. Virol. Sin. 2020, 35, 266–271. [Google Scholar] [CrossRef]
- O’Donoghue, M.L.; Morrow, D.A.; Cannon, C.P.; Jarolim, P.; Desai, N.R.; Sherwood, M.W.; Murphy, S.A.; Gerszten, R.E.; Sabatine, M.S. Multimarker Risk Stratification in Patients with Acute Myocardial Infarction. J. Am. Hear. Assoc. 2016, 5, 002586. [Google Scholar] [CrossRef]




| Variables, Units | All Pts | Low Risk [0–1] | Medium Risk [2–3] | High Risk [≥4] | p-Value | Post Hoc Analysis for Significant p | ||||||
|---|---|---|---|---|---|---|---|---|---|---|---|---|
| Demographics | No COPD n = 2109 | COPD n = 75 | No COPD n = 1412 | COPD n = 6 | No COPD n = 467 | COPD n = 25 | No COPD n = 230 | COPD n = 44 | No COPD | COPD | No COPD | COPD |
| Age, years mean ± SD n, (min.–max.) | 59.6 ± 19.0 2109 (17–100) | 72.0 ± 8.06 75 (54–94) | 51 ± 15.9 1412 (17–74) | 66.7 ± 5.6 6 (57–71) | 76 ± 11.8 467 (29–100) | 67.4 ± 5.7 25 (41–97) | 79.2 ± 9.5 230 (38–100) | 75.3 ± 7.9 44 (59–94) | <0.0001 | <0.0001 | <0.0001 a,b,c | 0.961 a 0.024 b <0.0001 c |
| Age ≥ 65 years, n (%) | 985 (46.7) | 62 (82.7) | 372 (73.7) | 4 (66.7) | 68 (14.6) | 20 (80.0) | 214 (93.0) | 38 (86.4) | <0.0001 | 0.3111 | <0.0001 a,b <0.0001 0.0004 c | N/A |
| Male gender, n (%) | 1033 (49.0) | 49 (65.3) | 730 (51.7) | 5 (83.3) | 192 (41.1) | 16 (64.0) | 111 (48.3) | 28 (63.6) | 0.0003 | 0.8078 | 0.0003 a 1 b 0.26 c | |
| BMI, kg/m2 mean ± SD, (min.–max.), | 28.4 ± 5.9 (15.4–49.4) 532 | 28.7 ± 4.5 22 (18.6–36.7) | 28.3 ± 5.1 397 (15.4–49.4) | 0 | 29.4 ± 5.7 81 (20.5–47.7) | 28.4 ± 5.6 9 (18.6–36.7) | 27.5 ± 6.3 54 (16.4–48.2) | 28.8 ± 3.7 13 (22.9 –34.9) | 0.07 | 0.8591 | ||
| Normal body weight (BMI = 18.5–24.9 kg/m2), n, n (%) | 136 (25.6) | 5 (22.7) | 100 (25.1) | 0 | 16 (19.6) | 3 (33.3) | 20 (37.0) | 2 (15.4) | ||||
| Underweight (BMI < 18.5 kg/m2), n (%) n = 22 | 5 (1.0) | 0 (0.0) | 3 (0.76) | 0 (0.0) | 0 (0.0) | 0 (0.0) | 2 (3.7) | 0 (0.0) | ||||
| Overweight (BMI = 25–29.9 kg/m2), n (%), n = 22 | 209 (39.3) | 8 (36.4) | 162 (40.8) | 0 | 31 (38.3) | 2 (22.2) | 16 (29.6) | 6 (46.2) | ||||
| Obesity (BMI ≥ 30 kg/m2), n (%), n = 22 | 182 (34.2) | 9 (40.9) | 132 (33.2) | 0 | 34 (42.0) | 4 (44.4) | 16 (29.6) | 5 (38.5) | ||||
| Tobacco smoking, never/previous/current, n (%), n = 75 | 1953/93/59 (92.8/4.4/2.8) | 34/24/17 (45.3%/32%/22.7%) | 1335/45/32 (94.5/3.2/2.3) | 3/1/2 (50%/16.7%/33.3%) | 421/26/17 (90.7/5.6/3.7) | 10/9/6 (40%/36%/24%) | 197/22/10 (86.0/9.6/4.4) | 21/14/9 (47.7%/31.8%/20.5%) | <0.0001 | 0.8795 | 0.04 a <0.0001 0.38 c | |
| Comorbidities | ||||||||||||
| Hypertension, n (%) n = 75 | 962 (45.6) | 60 (80.0) | 416 (29.5) | 0 | 335 (71.7) | 22 (88.0) | 211 (91.7) | 38 (86.4) | <0.0001 | <0.0001 | <0.0001 a,b,c | <0.0001 a,b 1.0 c |
| Diabetes mellitus, n (%), n = 473 | 486 (34.1) | 30 (40.0) | 234 (16.6) | 1 (16.7) | 144 (30.9) | 10 (40.0) | 108 (47.2) | 19 (43.2) | <0.0001 | 0.9498 | <0.0001 a,b 0.0002 c | |
| Dyslipidemia, n (%) n = 31 | 574 (73.8) | 15 (48.4) n = 31 | 288 (69.4) | 1 (33.3) n = 3 | 161 (74.2) | 7 (63.6) n = 11 | 125 (85.6) | 7 (41.2) n = 17 | 0.0006 | 0.4939 | 0.001 a 0.72 b 0.04 c | |
| Atrial fibrillation/flutter, n (%), n = 75 | 260 (12.3) | 30 (40.0) | 49 (3.4) | 0 | 100 (21.4) | 6 (24) | 111 (48.2) | 24 (54.5) | <0.0001 | <0.0001 | <0.0001 a,b,c | 0.928 a 0.0689 b 0.06698 c |
| Previous coronary revascularization, n (%), n = 75 | 136 (6.4) | 18 (24) | 6 (0.4) | 0 | 36 (7.7) | 1 (4.0) | 94 (40.9) | 17 (38.6) | <0.0001 | <0.0001 | <0.0001 a,b,c | 1 0.295 b <0.0001 c |
| Previous myocardial infarction, n (%), n = 75 | 170 (8.0) | 21 (28.0) | 11 (0.8) | 0 | 60 (12.8) | 3 (12.0) | 99 (43.0) | 18 (40.9) | <0.0001 | <0.0001 | <0.0001 a. b. c | 1 a 0.2263 b 0.044 |
| Heart failure, n (%) n = 75 | 226 (10.7) | 29 (38.7) | 0 (0.0) | 0 | 53 (11.34) | 0 | 173 (75.2) | 29 (65.9) | <0.0001 | <0.0001 | <0.0001 a,b,c | 1 a 0.0102 b <0.0001 c |
| Moderate/severe valvular heart disease or previous valve heart surgery, n (%) n = 75 | 86 (4.1) | 10 (13.3) | 13 (0.9) | 0 | 30 (6.4) | 2 (8.0) | 43 (18.7) | 8 (18.2) | <0.0001 | 0.4162 | <0.0001 a,b,c | |
| Peripheral artery disease, n (%) n = 75 | 94 (4.5) | 6 (8.0) | 26 (1.8) | 0 | 30 (6.4) | 1 (4.0) | 38 (16.5) | 5 (11.4) | <0.0001 | 0.6465 | <0.0001 a,b,c | |
| Previous stroke/TIA, n (%), n = 75 | 151 (7.15) | 13 (17.3) | 47 (3.3) | 0 | 57 (12.2) | 2 (8.0) | 47 (20.4) | 11 (25) | 0.0012 | 0.1318 | <0.0001 a,b,c | |
| Chronic kidney disease n = 75 | 212 (10.1) | 19 (25.3) | 69 (4.9) | 1 (16.6) | 66 (14.1) | 4 (16.0) | 77 (33.5) | 14 (31.8) | <0.0001 | 0.3665 | <0.0001 a,b,c | |
| Hemodialysis, n (%) n = 75 | 53 (2.5) | 5 (6.7) | 19 (1.3 | 0 | 18 (3.9) | 2 (8.0) | 16 (7.0) | 3 (6.8) | <0.0001 | 1 | 0.004 a <0.0001 b 0.033 c | |
| Asthma, n (%) n = 75 | 77 (3.7) | 8 (10.7) | 54 (3.8) | 0 | 17 (3.6) | 3 (12.0) | 6 (2.6) | 5 (11.4) | 0.66 | 1 | ||
| Thyroid disease, none/hypothyroidism/hyperthyroidism, n (%) n = 75 | 1890/199/20 (89.6/9.4/1.0) | 65/9/1 (86.7%/12.0%/1.3%) | 1332/76/4 (94.3/5.4/0.3) | 6/0/0 (100.0%/0.0%/0.0%) | 391–66–10 (83.7/14.1/2.2) | 23/2/0 (92.0%/8.0%/0.0%) | 167/57/6 (72.6/24.8/2.6) | 36/7/1 (81.8%/15.9%/2.3%) | <0.0001 | 0.7322 | <0.0001 a,b 0.0059 c | |
| Variables, Units | All Pts | Low Risk [0–1] | Medium [2–3] | High Risk [≥4] | p-Value | Post Hoc Analysis for Significant p | ||||||
|---|---|---|---|---|---|---|---|---|---|---|---|---|
| Patient-Reported Symptoms | No COPD n = 2109 | COPD n = 75 | No COPD n = 1412 | COPD n = 6 | No COPD n = 467 | COPD n = 25 | No COPD n = 230 | COPD n = 44 | No COPD | COPD | No COPD | COPD |
| Cough, n (%) n = 75 | 628 (29.8) | 20 (26.7) | 455 (32.2) | 0 | 116 (24.8) | 8 (32.0) | 57 (24.8) | 12 (27.3) | 0.0022 | 0.3753 | 0.01 a 0.09 b 1 c | |
| Dyspnea, n (%) n = 75 | 869 (41.2) | 52 (69.3) | 567 (40.2) | 2 (33.3) | 190 (40.7) | 16 (64.0) | 112 (48.7) | 34 (77.3) | 0.0492 | 0.0606 | 1 a 0.053 b 0.16 c | |
| Chest pain, n (%) n = 75 | 153 (7.3) | 10 (13.3) | 101 (7.2) | 1 (16.7) | 30 (6.4) | 4 (16.0) | 22 (9.6) | 5 (11.4) | 0.31 | 0.6684 | ||
| Hemoptysis, n (%) n = 75 | 15 (0.7) | 0 | 9 (0.6) | 0 | 2 (0.4) | 0 | 4 (1.7) | 0 | 0.13 | <0.0001 | 0.002 a <0.0001 b 0.07 c | |
| Smell dysfunction, n (%), n = 75 | 75 (3.6) | 1 (1.3) | 61 (4.3) | 0 | 10 (2.1) | 0 | 4 (1.7) | 1 (1.3) | 0.025 | 1 | 0.13 a 0.18 b 1 c | |
| Taste dysfunction, n (%), n = 75 | 64 (3.0) | 2 (2.7) | 49 (3.5) | 0 | 10 (2.1) | 0 | 5 (2.2) | 2 4.5 | 0.25 | 0.6036 | ||
| Abdominal pain, n (%), n = 75 | 142 (6.7) | 5 (6.7) | 103 (7.3) | 1 (16.7) | 26 (5.6) | 0 | 13 (5.7) | 4 (9.1) | 0.34 | 0.1704 | ||
| Diarrhea, n (%) n = 75 | 120 (5.7) | 7 (9.3) | 74 (5.2) | 1 (16.7) | 32 (6.9) | 1 (4.0) | 14 (6.1) | 5 (11.4) | 0.41 | 0.2900 | ||
| Nausea/Vomiting, n (%), n = 75 | 97 (4.6) | 1 (1.3) | 57 (4.0) | 0 | 27 (5.8) | 0 | 13 (5.7) | 1 (2.3) | 0.21 | 1 | ||
| Measured vital signs | ||||||||||||
| Body temperature, °C, mean ± SD (min.–max.), n = 40 | 37.0 ± 0.88 (34.3–40.5) | 37.1 ± 0.97 (35.2–39.0) n = 40 | 37.1 ± 0.9 (34.4–40.5) | 37.3 ± 1.58 (35.9–39.0) n = 3 | 36.9 ± 0.9 (35–40) | 37.0 ± 0.85 (36.0–38.5) n = 13 | 36.9 ± 0.8 (35.5–40) | 37.1 ± 0.99 (35.2–39.0) n = 24 | 0.032 | 0.9644 | 0.1 a 0.13 b 0.98 c | |
| Heart rate, beats/minute mean ± SD (min.–max.), n = 66 | 85.6 ± 16.2 (36–160) | 86.1 ± 19.69 (60–170) n = 66 | 86.4 ± 15.6 (48–160) | 87.5 ± 23.63 (70–120) n = 4 | 83.9 ± 16.5 (50–160) | 88.5 ± 16.02 (69–121) n = 20 | 84.7 ± 18.3 (36–150) | 84.9 ± 21.22 (60–170) n = 42 | 0.03 | 0.7849 | 0.03 a 0.45 b 0.85 c | |
| Respiratory rate, breaths/minute mean ± SD (min.–max.), n = 15 | 18.4 ± 5.6 (12–50) | 21.4 ± 8.26 (16–50) n = 15 | 18.4 ± 5.8 (12–50) | 18.5 ± 5.5 (12–45) | 21.8 ± 2.36 (20–25) n = 4 | 18.7 ± 4.5 (12–30) | 21.3 ± 9.69 (16–50) n = 11 | 0.92 | 0.882 | |||
| Systolic blood pressure, mmHg mean ± SD (min.–max.), n = 65 | 132.0 ± 22.9 (50–270) | 134.2 ± 22.3 (85–184) n = 65 | 130.7 ± 21.3 (60–240) | 131.0 ± 25.1 (105–155) n = 3 | 134 ± 25.6 (50–270) | 138.6 ± 19.73 (90–167) n = 20 | 134.9 ± 25.0 (70–210) | 132.4 ± 23.48 (85–184) n = 42 | 0.014 | 0.5991 | 0.07 a,b 0.9 c | |
| Systolic blood pressure <100 mmHg, n (%), n = 65 | 73 (4.6) | 5 (7.69) n = 65 | 45 (4.3) | 0 (0.0) n = 3 | 17 (4.7) | 1 (5.0) n = 20 | 11 (5.4) | 4 (9.5) n = 42 | 0.78 | 0.9999 | ||
| Diastolic blood pressure, mmHg mean ± SD (min.–max.), n = 65 | 78.1 ± 13.4 (40–157) | 76.9 ± 13.1 (45–110) n = 65 | 78.5 ± 12.7 (40–150) | 80.0 ± 17.32 (70–100) n = 3 | 78.0 ± 13.8 (40–157) | 79.0 ± 11.0 (50–95) n = 20 | 75.8 ± 15.6 (40–143) | 75.7 ± 13.9 (45–110) n = 42 | 0.06 | 0.6501 | ||
| Mean blood pressure, mmHg MAP mean ± SD (min.–max.), n = 65 | 96.2 ± 14.9 (46.7–190) | 96.0 ± 14.6 (58.3–125) n = 65 | 96.0 ± 14.2 (46.7–179) | 97.0 ± 19.06 (81.7–118.3) n = 3 | 97.1 ± 15.6 (59.7–190) | 98.8 ± 13.2 (63.3–115.7) n = 20 | 95.5 ± 17.1 (50–165.3) | 94.6 ± 15.11 (58.3–125) n = 42 | 0.43 | 0.6001 | ||
| Pulse pressure mean ± SD (min.–max.), n = 65 | 54.3 ± 16.8 (11–136) | 57.3 ± 17.3 (24–99) n = 65 | 52.3 ± 15.3 (11–136) | 51.0 ± 14.4 (35–63) n = 3 | 57.1 ± 18.7 (50–100) | 59.7 ± 12.8 (40–80) n = 20 | 59.2 ± 8.5 (20–130) | 56.6 ± 19.4 (24–99) n = 42 | <0.0001 | 0.6016 | <0.0001 a,b 0.412 c | |
| SpO2 on room air, % (FiO2 = 21%) mean ± SD (min.–max.), n = 52 | 91.2 ± 8.0 (48–100) | 87.8 ± 9.18 (56–99) n = 52 | 92.9 ± 7.1 (48–100) | 91.5 ± 5.69 (85–98) n = 4 | 89.9 ± 9.5 (50–100) | 85.0 ± 11.29 (56–99) n = 14 | 90.6 ± 8.5 (50–99) | 88.6 ± 8.45 (65–99) n = 34 | <0.0001 | 0.3581 | <0.0001 a 0.012 b 0.772 c | |
| Sp O2 < 90%, n (%) n = 52 | 316 (15.0) | 26 (50.0) n = 52 | 181 (22.3) | 2 (50.0) n = 4 | 92 (34.5) | 10 (71.4) n = 14 | 43 (32.3) | 14 (41.2) n = 34 | 0.0001 | 0.2119 | 0.0003 a 0.048 b 1 c | |
| GCS, points, n = 18 | 14.5 ± 1.9 (1–15) | 14.8 ± 0.51 (13–15) n = 18 | 14.6 ± 1.8 (1–15) | 0 | 14.5 ± 1.7 (3–15) | 15.0 ± 0.0 (15–15) n = 6 | 14.1 ± 2.5 (3–15) | 14.75 ± 0.62 (13–15) n = 12 | 0.049 | NaN | 0.38 a 0.07 b 0.34 c | |
| Abnormalities detected during physical examination | ||||||||||||
| Crackles, n (%) n = 75 validated | 304 (14.4) | 15 (20.0) | 153 (10.8) | 1 (16.7) | 96 (20.6) | 3 (12) | 55 (23.9) | 11 (25.0) | <0.0001 | 0.4534 | <0.0001 a,b 1 c | |
| Wheezing, n (%) n = 75 | 187 (8.9) | 32 (42.7) | 92 (6.5) | 2 (33.3) | 49 (10.5) | 7 (28.0) | 46 (20.0) | 23 (52.3) | <0.0001 | 0.1553 | 0.02 a <0.0001 b 0.003 | |
| Pulmonary congestion, n (%) n = 75 | 343 (16.3) | 24 (32) | 183 (13.0) | 1 (16.7) | 98 (21.0) | 7 (28.0) | 62 (27.9) | 16 (36.4) | <0.0001 | 0.6894 | 0.0001 a,b 0.29 c | |
| Peripheral edema, n (%) n = 75 | 177 (8.4) | 12 (16.0) | 75 (5.3) | 1 (16.7) | 56 (12.0) | 4 (16.0) | 46 (20.0) | 7 (15.9) | <0.0001 | 1 | <0.0001 a,b 0.02 c | |
| Hemiplegia/ hemiparesis, n (%) n = 75 | 70 (3.3) | 3 (4.0) | 31 (2.2) | 0 | 24 (5.1) | 0 | 15 (6.5) | 3 (6.8) | 0.0001 | 0.6498 | 0.006 a 0.002 b 1 c | |
| VES–13, points n = 9 | 5.4 ± 3.2 (1–13) | 5.1 ± 3.1 (1–10) n = 9 | 4.1 ± 2.9 (1–9) | 0 | 5.8 ± 3.3 (1–12_ | 4 ± 4.36 (1–9) n = 3 | 6.7 ± 3.0 (3–13) | 5.7 ± 2.58 (3–10) n = 6 | 0.13 | 0.5884 | 0.094 a 0.014 b 0.542 c | |
| Variables, Units | All Pts | Low Risk [0–1] | Medium [2–3] | High Risk [≥4] | p-Value | Post Hoc Analysis for Significant p | ||||||
|---|---|---|---|---|---|---|---|---|---|---|---|---|
| No COPD | COPD n = 75 | No COPD | COPD n = 6 | No COPD | COPD n = 25 | No COPD | COPD n = 44 | No COPD | COPD | No COPD | COPD | |
| Treatment and procedures administered | ||||||||||||
| The highest level of respiratory assistance provided throughout the hospital stay | ||||||||||||
| No oxygen N, n (%) | 1014 (48.1) | 19 (25.3) | 739 (52.3) | 3 (50.0) | 196 (42.0) | 6 (24.0) | 79 (34.3) | 10 (22.7) | <0.0001 | 0.32 | <0.0001 a 0.0008 b 0.53 c | |
| Low flow oxygen support N, n (%) | 724 (34.3) | 39 (52.0) | 448 (31.8) | 3 (50.0) | 178 (38.2) | 10 (40.0) | 98 (42.6) | 26 (59.1) | ||||
| High-flow nasal cannula, Non-invasive ventilation N, n (%) | 161 (7.6) | 13 (15.0) | 82 (5.8) | 0 (0.0) | 47 (11.8) | 5 (20.0) | 32 (13.9) | 7 (15.9) | ||||
| Invasive ventilation N, n (%) | 207 (9.8) | 5 (6.7) | 141 (10.0) | 0 (0.0) | 45 (9.7) | 4 (16.0) | 21 (9.1) | 1 (2.3) | ||||
| Oxygenation parameters from the period of qualification for advanced respiratory support: PaO2, mmHg Mean ± SD (min.–max.) | 68.07 ± 25.32 (29–168) N = 150 | 104 ± 22.6 (74–125) n = 23 | 66.1 ± 25.1 (34–168) | N/A | 69.7 ± 24.9 (29–130) | 105.3 ± 827.4 (74–125) n = 11 | 76.5 ± 25.5 (38–137) | 100 | 0.26 | N/A | ||
| Therapy with catecholamines, N, n (%) | 207 (9.8) | 11 (14.7) | 131 (9.3) | 0 (0.0) | 41 (8.8) | 4 (16.0) | 35 (15.2) | 7 (15.9) | 0.014 | 0.78 | 1 a 0.024 b 0.045 c | |
| Coronary revascularization or/and an indication for coronary revascularization, N, n (%) | 22 (1.0) | 4 (5.3) | 8 (0.6) | 0 (0.0) | 8 (1.7) | 3 (12.0) | 6 (2.6) | 2 (4.5) | 0.006 | 0.27 | 0.048 a 0.0499 b 1 c | |
| Hemodialysis, N, n (%) | 70 (3.3) | 2 (2.7) | 47 (3.3) | 0 (0.0) | 12 (2.6) | 1 (4.0) | 11 (4.8) | 1 (2.3) | 0.31 | 0.99 | ||
| Systemic corticosteroids N, n (%) | 1047 (49.6) | 49 (65.3) | 704 (49.9) | 4 (66.7) | 229 (49.0) | 17 (68.0) | 114 (49.6) | 28 (63.6) | 0.95 | 0.93 | ||
| Plasma of the recovered, N, n (%) | 231 (11.0) | 8 (10.7) | 166 (11.8) | 1 (16.7) | 37 (7.9) | 4 (16.0) | 28 (12.2) | 3 (6.8) | 0.058 | 0.33 | ||
| Remdesivir, N, n (%) | 327 (15.5) | 16 (21.3) | 235 (16.6) | 1 (16.7) | 65 (13.9) | 7 (28.0) | 27 (11.7) | 8 (18.2) | 0.09 | 0.68 | ||
| Antibiotics, N, n (%) | 1183 (56.1) | 58 (77.3) | 743 (52.6) | 4 (66.7) | 284 (60.8) | 19 (76.0) | 156 (67.8) | 35 (79.5) | <0.0001 | 0.69 | 0.007 a <0.0001 b 0.26 c | |
| Variables, Units | All Pts n = 75 | Low Risk [0–1] n = 6 | Medium [2–3] n = 25 | High Risk [≥4] n = 44 | p-Value | Post Hoc Analysis for Significant p | ||||||
|---|---|---|---|---|---|---|---|---|---|---|---|---|
| No COPD | COPD n = 75 | No COPD | COPD n = 6 | No COPD | COPD n = 25 | No COPD | COPD n = 44 | No COPD | COPD | No COPD | COPD | |
| All-cause mortality rate | ||||||||||||
| In-hospital mortality, n (%) n = 75 | 308 (14.6) | 18 (24.0) | 118 (8.4) | 1 (16.7) | 104 (22.3) | 6 (24.0) | 86 (37.4) | 11 (25.0) | <0.0001 | 1 | <0.0001 a,b,c | |
| 3-month mortality, n (%) | 507 (24.0) | 39 (54.2) | 198 (14.0) | 3 (60.0) | 187 (40.0) | 11 (44.0) | 122 (53.0) | 25 (59.5) | <0.0001 | 0.4578 | <0.0001 a,b 0.012 c | |
| 6-month mortality, n (%) | 536 (25.4) | 42 (73.7) | 211 (14.9) | 3 (50.0) | 196 (42.0) | 12 (48.0) | 129 (56.1) | 27 (61.4) | <0.0001 | 0.3928 | <0.0001 a,b 0.17 c | |
| Mortality until 20.09.2021 | 556 (26.4) | 42 (56.0) | 216 (15.3) | 3 (50.0) | 204 (43.7) | 12 (48.0) | 136 (59.1) | 27 (61.4) | <0.0001 | 0.5886 | <0.0001 a,b 0.0005 c | |
| Hospitalization | ||||||||||||
| Duration of hospitalization, days n = 75 | 12.4 ± 14.2 1–131 | 14.3 ± 13.6 1–72 | 11.6 ± 14.0 1–131 | 10.8 ± 19.5 1–50 | 13.0 ± 13.5 1–124 | 15.8 ± 15.2 1–72 | 16.5 ± 16.5 1–121 | 14.0 ± 11.9 1–46 | <0.0001 | 0.8002 | 0.109 a <0.0001 b 0.017 c | |
| End of hospitalization, n (%) Death | 308 (14.6) | 18 (24) | 118 (8.4) | 1 (16.7) | 104 (22.3) | 6 (24.0) | 86 (37.4) | 11 (25.0) | <0.0001 | 0.9476 | <0.0001 a <0.0001 b 0.0013 c | |
| Discharge to home—full recovery | 1289 (61.1) | 27 (36.0) | 991 (70.2) | 2 (33.3) | 212 (45.4) | 8 (32.0) | 86 (37.4) | 17 (38.6) | ||||
| Transfer to another hospital—worsening) | 267 (12.7) | 13 (17.3) | 137 (9.7) | 2 (33.3) | 93 (19.9) | 4 (16.0) | 37 (16.1) | 7 (15.9) | ||||
| Transfer to another hospital—in recovery | 245 (11.6) | 17 (22.7) | 166 (11.8) | 1 (16.7) | 58 (12.4) | 7 (28.0) | 21 (9.1) | 9 (20.5) | ||||
| COPD | Non-COPD | |||||
|---|---|---|---|---|---|---|
| Total Deaths | HR | 95% CI | p-Value | HR | 95% CI | p-Value |
| Overall | 1.04 | 0.88–1.23 | 0.64 | 1.42 | 1.37–1.48 | <0.0001 |
| Risk strata | ||||||
| Medium- vs. low-risk | 0.84 | 024–2.99 | 0.79 | 3.44 | 2.84–4.16 | <0.0001 |
| High- vs. low-risk | 1.15 | 0.35–3.80 | 0.81 | 5.11 | 4.12–6.34 | <0.0001 |
| COPD | Non-COPD | |||||
|---|---|---|---|---|---|---|
| In-Hospital Deaths | HR | 95% CI | p-Value | HR | 95% CI | p-Value |
| Overall | 1.12 | 0.85–1.47 | 0.43 | 1.28 | 1.21–1.36 | <0.0001 |
| Risk strata | ||||||
| Medium- vs. low-risk | 0.96 | 0.11–8.28 | 0.97 | 2.34 | N/A | N/A |
| High- vs. low-risk | 1.02 | 0.13–8.14 | 0.98 | 3.05 | N/A | N/A |
| Variables, Units | All Pts n = 75 | Low Risk [0–1] n = 6 | Medium [2–3] n = 25 | High Risk [≥4] n = 44 | p-Value | Post Hoc Analysis for Significant p | ||||||
|---|---|---|---|---|---|---|---|---|---|---|---|---|
| Selected Comorbidities | No COPD | COPD n = 75 | No COPD | COPD n = 6 | No COPD | COPD n = 25 | No COPD | COPD n = 44 | No COPD | COPD | No COPD | COPD |
| Aborted cardiac arrest, n (%) n = 75 | 23 (1.1) | 1 (1.3) | 15 (1.1) | 0 (0.0) | 3 (0.6) | 0 (0.0) | 5 (2.2) | 1 (2.3) | 0.19 | 1 | ||
| Shock, n (%) n = 75 | 181 (8.6) | 7 (9.3) | 108 (7.6) | 1 (16.7) | 42 (9.0) | 4 (16.0) | 31 (13.5) | 2 (4.5) | 0.013 | 0.207961 | 1 a 0.015 b 0.28 c | |
| Hypovolemic shock, n (%) n = 75 | 33 (1.6) | 2 (2.7) | 22 (1.6) | 0 (0.0) | 5 (1.1) | 2 (8.0) | 6 (2.6) | 0 | 0.29 | 0.262703 | ||
| Cardiogenic shock, n (%) n = 75 | 27 (1.3) | 5 (6.7) | 6 (0.4) | 1 (16.7) | 9 (1.9) | 2 (8.0) | 12 (5.2) | 2 (4.5) | <0.0001 | 0.331994 | 0.012 a <0.0001 b 0.09 c | |
| Septic shock, n (%) n = 75 | 137 (6.5) | 4 (5.3) | 89 (6.3) | 0 | 28 (6.0) | 2 (8.0) | 20 (8.7) | 2 (4.5) | 0.348 | 0.727591 | ||
| Venous thromboembolic disease, n (%) n = 75 | 67 (3.1) | 2 (2.7) | 47 (3.3) | 0 (0.0) | 13 (2.8) | 0 (0.0) | 7 (3.0) | 2 (4.5) | 0.83 | 0.603604 | ||
| Pulmonary embolism, n (%) n = 75 | 47 (2.2) | 1 (1.3) | 39 (2.7) | 0 (0.0) | 11 (2.3) | 0 (0.0) | 6 (2.6) | 1 (2.3) | 0.98 | |||
| Deep vein thrombosis, n (%) n = 75 | 20 (0.9) | 1 (1.3) | 15 (1.1) | 0 (0.0) | 4 (0.9) | 0 (0.0) | 1 (0.4) | 1 (2.3) | ||||
| Myocardial infarction, n (%) n = 75 | 26 (1.2) | 0 (0.0) | 8 (0.6) | 0 (0.0) | 10 (2.1) | 0 (0.0) | 8 (3.5) | 0 (0.0) | 0.0001 | <0.0001 | 0.015 a 0.0018 b 0.95 c | <0.0001 a,b 0.0665 c |
| Myocardial injury, n (%) 3x n = 53 | 276 (24.6) | 22 (41.5) n = 53 | 112 (16.5) | 1 (33.3) n = 3 | 91 (31.6) | 7 (41.2) n = 17 | 73 (46.2) | 14 (42.4) n = 33 | <0.0001 | 0.999999 | <0.0001 a <0.0001 b 0.009 c | |
| Myocardial injury, n (%) 5x n = 53 | 207 (18.5) | 18 (34.0) n = 53 | 89 (13.2) | 1 (33.3) n = 3 | 66 (22.9) | 7 (41.2) n = 89 | 52 (32.9) | 10 (30.3) n = 87 | <0.0001 | 0.786862 | 0.0007 a <0.0001 b 0.09 c | |
| Acute heart failure, n (%) n = 75 | 72 (3.4) | 4 (5.3) | 8 (0.6) | 0 (0.0) | 22 (4.7) | 0 (0.0) | 42 (18.3) | 4 (9.1) | <0.0001 | 0.37735 | <0.0001 a,b,c | |
| Stroke/TIA, n (%) n = 75 | 43 (2.0) | 1 (1.3) | 18 (1.3) | 0 (0.0) | 19 (4.1) | 0 (0.0) | 6 (2.6) | 1 (2.3) | 0.0012 | 1 | 0.002 a 0.4 b 1 c | |
| New cognitive signs and symptoms, n (%) n = 75 | 117 (5.5) | 4 (5.3) | 37 (2.6) | 1 (16.7) | 51 (10.9) | 0 (0.0) | 29 (12.6) | 3 (6.8) | <0.0001 | 0.182401 | <0.0001 a,b 1 | |
| Pneumonia, n (%) n = 75 | 1009 (47.8) | 52 (69.3) | 602 (42.6) | 4 (66.7) | 265 (56.7) | 14 (56.0) | 142 (61.7) | 34 (77.3) | <0.0001 | 0.1817010 | <0.0001 a,b 0.72 c | |
| Complete respiratory failure, n (%) n = 20 | 134 (6.3) | 12 (60.0) n = 20 | 56 (4.0) | 1 (100.0) n = 1 | 42 (9.0) | 4 (66.7) n = 6 | 36 (15.7) | 7 (53.8) n = 13 | 0.049 | 0.99999 | 1 a 0.068 b 0.33 c | |
| SIRS, n (%) n = 75 | 210 (10.3) | 10 (13.3) | 140 (10.4) | 2 (33.3) | 40 (8.6) | 2 (8.0) | 30 (13.1) | 6 (13.6) | 0.18 | 0.254624 | ||
| Sepsis, n (%) n = 24 | 21 (2.4) | 2 (8.3) n = 24 | 9 (1.6) | 7 (1.5) | 0 n = 6 | 5 (2.1) | 2 (11.1) n = 18 | 0.037 | 0.254624 | 0.2119 a 0.16 b 1 c | ||
| Acute kidney injury, n (%) n = 75 | 223 (10.5) | 14 (18.7) | 111 (7.9) | 0 (0.0) | 62 (13.3) | 5 (20.0) | 50 (21.7) | 9 (20.5) | <0.0001 | 0.730629 | 0.002 a <0.0001 b 0.018 c | |
| Acute liver dysfunction, n (%) n = 69 | 65 (3.4) | 1 (1.4) n = 69 | 30 (2.4) | 0 (0.0) n = 6 | 22 (5.0) | 0 (0.0) n = 25 | 13 (6.0) | 1 (2.63) n = 38 | 0.0027 | 0.999999 | 0.03 a 0.02 b 1 c | |
| Multiple organ dysfunction syndrome, n (%) n = 75 | 35 (1.7) | 2 (2.7) | 20 (1.4) | 1 (16.7) | 7 (1.5) | 1 (4.0) | 8 (3.5) | 0 (0.0) | 0.09 | 0.059459 | ||
| Lactic acidosis (on admission) n = 17 | 20 (8.7) | 2 (11.8) n = 17 | 9 (8.7) | 0 (0.0) n = 1 | 5 (6.8) | 0 (0.0) n = 5 | 6 (12.0) | 2 (18.2) n = 11 | 0.59 | 1 | ||
| Hyperlactatemia (on admission) n = 17 | 158 (69.3) | 9 (52.9) n = 17 | 77 (74.0) | 1 (100.0) n = 1 | 49 (66.2) | 3 (60.0) n = 5 | 32 (64.0) | 5 (45.5) n = 11 | 0.35 | 0.999999 | ||
| Bleedings, n (%) n = 75 | 110 (5.2) | 4 (5.3) | 64 (4.5) | 0 (0.0) | 24 (5.1) | 1 (4.0) | 22 (9.6) | 3 (6.8) | 0.006 | 0.999999 | 1 a 0.008 b 0.12 c | |
| Intracranial bleeding, n (%) n = 75 | 21 (1.0) | 0 (0.0) | 12 (0.8) | 0 (0.0) | 8 (1.7) | 0 (0.0) | 1 (0.4) | 0 (0.0) | 0.205 | <0.0001 | <0.0001 a,b 0.0665 c | |
| Respiratory tract bleeding, n (%) n = 75 | 33 (1.6) | 1 (1.3) | 23 (1.6) | 0 (0.0) | 4 (0.9) | 0 (0.0) | 6 (2.6) | 1 (2.3) | 0.2 | 1 | ||
| Gastrointestinal tract bleeding, n (%) n = 75 | 39 (1.8) | 2 (2.7) | 20 (1.4) | 0 (0.0) | 9 (1.9) | 0 (0.0) | 10 (4.3) | 2 (4.5) | 0.029 | 0.603604 | 1 a 0.02 b 0.4 c | |
| Urinary tract bleeding, n (%) n = 75 | 17 (0.8) | 1 (1.3) | 9 (0.6) | 0 (0.0) | 3 (0.6) | 1 (4.0) | 5 (2.2) | 0 (0.0) | 0.08 | 0.413333 | ||
Disclaimer/Publisher’s Note: The statements, opinions and data contained in all publications are solely those of the individual author(s) and contributor(s) and not of MDPI and/or the editor(s). MDPI and/or the editor(s) disclaim responsibility for any injury to people or property resulting from any ideas, methods, instructions or products referred to in the content. |
© 2024 by the authors. Licensee MDPI, Basel, Switzerland. This article is an open access article distributed under the terms and conditions of the Creative Commons Attribution (CC BY) license (https://creativecommons.org/licenses/by/4.0/).
Share and Cite
Gawryś, J.; Doroszko, A.; Dróżdż, O.; Trocha, M.; Gajecki, D.; Gawryś, K.; Szahidewicz-Krupska, E.; Rabczyński, M.; Kujawa, K.; Rola, P.; et al. The Usefulness of the C2HEST Score in Predicting the Clinical Outcomes of COVID-19 in COPD and Non-COPD Cohorts. Microorganisms 2024, 12, 1238. https://doi.org/10.3390/microorganisms12061238
Gawryś J, Doroszko A, Dróżdż O, Trocha M, Gajecki D, Gawryś K, Szahidewicz-Krupska E, Rabczyński M, Kujawa K, Rola P, et al. The Usefulness of the C2HEST Score in Predicting the Clinical Outcomes of COVID-19 in COPD and Non-COPD Cohorts. Microorganisms. 2024; 12(6):1238. https://doi.org/10.3390/microorganisms12061238
Chicago/Turabian StyleGawryś, Jakub, Adrian Doroszko, Olgierd Dróżdż, Małgorzata Trocha, Damian Gajecki, Karolina Gawryś, Ewa Szahidewicz-Krupska, Maciej Rabczyński, Krzysztof Kujawa, Piotr Rola, and et al. 2024. "The Usefulness of the C2HEST Score in Predicting the Clinical Outcomes of COVID-19 in COPD and Non-COPD Cohorts" Microorganisms 12, no. 6: 1238. https://doi.org/10.3390/microorganisms12061238
APA StyleGawryś, J., Doroszko, A., Dróżdż, O., Trocha, M., Gajecki, D., Gawryś, K., Szahidewicz-Krupska, E., Rabczyński, M., Kujawa, K., Rola, P., Stanek, A., Sokołowski, J., Madziarski, M., Jankowska, E. A., Bronowicka-Szydełko, A., Bednarska-Chabowska, D., Kuźnik, E., & Madziarska, K. (2024). The Usefulness of the C2HEST Score in Predicting the Clinical Outcomes of COVID-19 in COPD and Non-COPD Cohorts. Microorganisms, 12(6), 1238. https://doi.org/10.3390/microorganisms12061238

