CRP/Neopterin Ratio and Neuropsychiatric Symptoms in Patients with Different Forms of Pneumonia: Results of a Pilot Study
Abstract
1. Introduction
2. Patients and Methods
2.1. Patient Recruitment and Data Collection
2.2. Laboratory Examinations
2.3. Statistical Analysis
3. Results
3.1. Baseline Characteristics and Symptoms of the Study Population
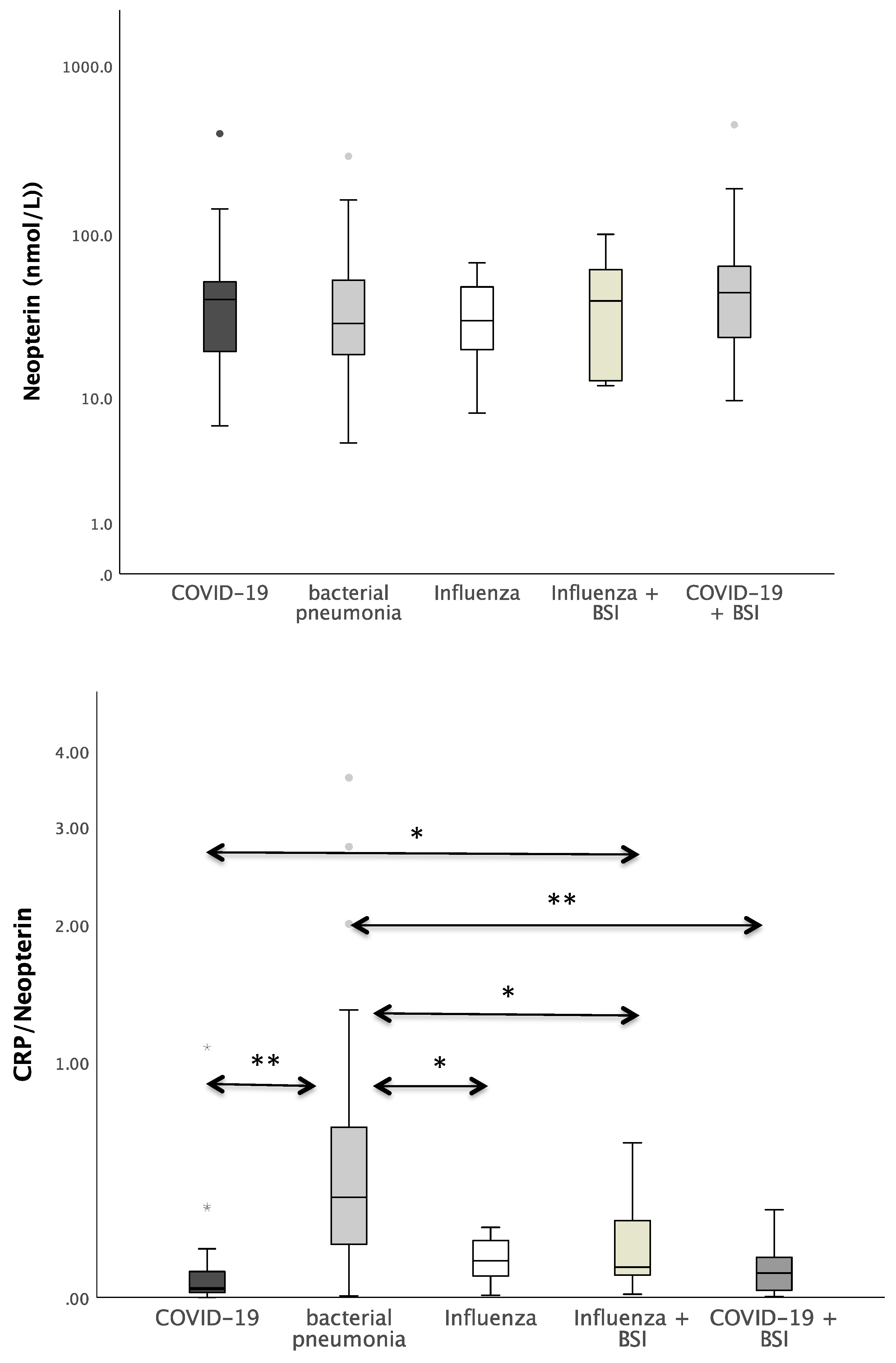
3.2. Laboratory Parameters in Patients with Infection
3.3. Physical Functioning and Clinical Symptoms
3.4. Laboratory Parameters and Clinical Symptoms
4. Discussion
Author Contributions
Funding
Data Availability Statement
Conflicts of Interest
References
- Tsoumani, E.; Carter, J.A.; Salomonsson, S.; Stephens, J.M.; Bencina, G. Clinical, economic, and humanistic burden of community acquired pneumonia in Europe: A systematic literature review. Expert. Rev. Vaccines 2023, 22, 876–884. [Google Scholar] [CrossRef] [PubMed]
- Calabró, P.; Willerson, J.T.; Yeh, E.T.H. Inflammatory cytokines stimulated C-reactive protein production by human coronary artery smooth muscle cells. Circulation 2003, 108, 1930–1932. [Google Scholar] [CrossRef] [PubMed]
- Gostner, J.M.; Becker, K.; Kurz, K.; Fuchs, D. Disturbed Amino Acid Metabolism in HIV: Association with Neuropsychiatric Symptoms. Front. Psychiatry 2015, 6, 97. [Google Scholar] [CrossRef] [PubMed]
- Eshwara, V.; Mukhopadhyay, C.; Rello, J. Community-acquired bacterial pneumonia in adults: An update. Indian J. Med. Res. 2020, 151, 287–302. [Google Scholar] [CrossRef] [PubMed]
- Schroecksnadel, S.; Sucher, R.; Kurz, K.; Fuchs, D.; Brandacher, G. Influence of immunosuppressive agents on tryptophan degradation and neopterin production in human peripheral blood mononuclear cells. Transpl. Immunol. 2011, 25, 119–123. [Google Scholar] [CrossRef] [PubMed]
- Piater, T.; Gietl, M.; Hofer, S.; Gostner, J.M.; Sahanic, S.; Tancevski, I.; Sonnweber, T.; Pizzini, A.; Egger, A.; Schennach, H.; et al. Persistent Symptoms and IFN-γ-Mediated Pathways after COVID-19. J. Pers. Med. 2023, 13, 1055. [Google Scholar] [CrossRef]
- Pizzini, A.; Lunger, F.; Sahanic, A.; Nemati, N.; Fuchs, D.; Weiss, G.; Kurz, K.; Bellmann-Weiler, R. Diagnostic and Prognostic Value of Inflammatory Parameters Including Neopterin in the Setting of Pneumonia, COPD, and Acute Exacerbations, COPD. J. Chronic Obstr. Pulm. Dis. 2017, 14, 298–303. [Google Scholar] [CrossRef]
- Lafond, K.E.; Porter, R.M.; Whaley, M.J.; Suizan, Z.; Ran, Z.; Aleem, M.A.; Thapa, B.; Sar, B.; Proschle, V.S.; Peng, Z.; et al. Global burden of influenza-associated lower respiratory tract infections and hospitalizations among adults: A systematic review and meta-analysis. PLoS Med. 2021, 18, e1003550. [Google Scholar] [CrossRef]
- Ghosn, J.; Piroth, L.; Epaulard, O.; Le Turnier, P.; Mentré, F.; Bachelet, D.; Laouénan, C. Persistent COVID-19 symptoms are highly prevalent 6 months after hospitalization: Results from a large prospective cohort. Clin. Microbiol. Infect. 2021, 27, 1041.e1–1041.e4. [Google Scholar] [CrossRef]
- Russell, C.D.; Fairfield, C.J.; Drake, T.M.; Turtle, L.; Seaton, R.A.; Wootton, D.G.; Sigfrid, L.; Harrison, E.M.; Docherty, A.B.; de Silva, T.I.; et al. Co-infections, secondary infections, and antimicrobial use in patients hospitalised with COVID-19 during the first pandemic wave from the ISARIC WHO CCP-UK study: A multicentre, prospective cohort study. Lancet Microbe 2021, 2, 354–365. [Google Scholar] [CrossRef]
- Rothberg, M.B.; Haessler, S.D.; Brown, R.B. Complications of viral influenza. Am. J. Med. 2008, 121, 258–264. [Google Scholar] [CrossRef] [PubMed]
- Almond, M.H.; McAuley, D.F.; Wise, M.P.; Griffiths, M.J.D. Influenza-related pneumonia. Clin. Med. Lond. Engl. 2012, 12, 67–70. [Google Scholar] [CrossRef] [PubMed]
- Shirvaliloo, M. The blood-gas barrier in COVID-19: An overview of the effects of SARS-CoV-2 infection on the alveolar epithelial and endothelial cells of the lung. Tissue Barriers 2021, 9, 1937013. [Google Scholar] [CrossRef] [PubMed]
- Brown, B.; Ojha, V.; Fricke, I.; Al-Sheboul, S.A.; Imarogbe, C.; Gravier, T.; Green, M.; Peterson, L.; Koutsaroff, I.P.; Demir, A.; et al. Innate and Adaptive Immunity during SARS-CoV-2 Infection: Biomolecular Cellular Markers and Mechanisms. Vaccines 2023, 11, 408. [Google Scholar] [CrossRef] [PubMed]
- Futosi, K.; Fodor, S.; Mócsai, A. Neutrophil cell surface receptors and their intracellular signal transduction pathways. Int. Immunopharmacol. 2013, 17, 638–650. [Google Scholar] [CrossRef] [PubMed]
- Ahmed, N.; Khan, M.; Saleem, W.; Karobari, M.I.; Mohamed, R.N.; Heboyan, A.; Rabaan, A.A.; Mutair, A.A.; Alhumaid, S.; Alsadiq, S.A.; et al. Evaluation of Bi-Lateral Co-Infections and Antibiotic Resistance Rates among COVID-19 Patients. Antibiotics 2022, 11, 276. [Google Scholar] [CrossRef] [PubMed]
- Brooks, L.R.K.; Mias, G.I. Streptococcus pneumoniae’s Virulence and Host Immunity: Aging, Diagnostics, and Prevention. Front. Immunol. 2018, 9, 1366. [Google Scholar] [CrossRef] [PubMed]
- Mehraj, V.; Routy, J.P. Tryptophan Catabolism in Chronic Viral Infections: Handling Uninvited Guests. Int. J. Tryptophan Res. 2015, 8, 41–48. [Google Scholar] [CrossRef] [PubMed]
- Pizzini, A.; Kurz, K.; Santifaller, J.; Tschurtschenthaler, C.; Theurl, I.; Fuchs, D.; Weiss, G.; Bellmann-Weiler, R. Assessment of neopterin and indoleamine 2,3-dioxygenase activity in patients with seasonal influenza: A pilot study. Influenza Other Respir. Viruses 2019, 13, 603–609. [Google Scholar] [CrossRef] [PubMed]
- Bellmann-Weiler, R.; Kurz, K.; Holzer, C.; Larcher, C.; Fuchs, D.; Weiss, G. IFN-gamma mediated pathways in patients with fatigue and chronic active Epstein Barr virus-infection. J. Affect. Disord. 2008, 108, 171–176. [Google Scholar] [CrossRef]
- Meier, M.; Ottiger, M.; Vögeli, A.; Steuer, C.; Bernasconi, L.; Thomann, R.; Christ-Crain, M.; Henzen, C.; Hoess, C.; Zimmerli, W.; et al. Activation of the tryptophan/serotonin pathway is associated with severity and predicts outcomes in pneumonia: Results of a long-term cohort study. Clin. Chem. Lab. Med. (CCLM) 2017, 55, 1060–1069. [Google Scholar] [CrossRef] [PubMed]
- Gietl, M.; Burkert, F.; Seiwald, S.; Böhm, A.; Hofer, S.; Gostner, J.M.; Piater, T.; Geisler, S.; Weiss, G.; Loeffler-Ragg, J.; et al. Interferon-gamma Mediated Metabolic Pathways in Hospitalized Patients During Acute and Reconvalescent COVID-19. Int. J. Tryptophan Res. IJTR 2023, 16, 11786469231154244. [Google Scholar] [CrossRef] [PubMed]
- Taenzer, M.; Löffler-Ragg, J.; Schroll, A.; Monfort-Lanzas, P.; Engl, S.; Weiss, G.; Brigo, N.; Kurz, K. Urine Metabolite Analysis to Identify Pathomechanisms of Long COVID: A Pilot Study. Int. J. Tryptophan Res. 2023, 16, 11786469231220781. [Google Scholar] [CrossRef] [PubMed]
- Lanser, L.; Kink, P.; Egger, E.M.; Willenbacher, W.; Fuchs, D.; Weiss, G.; Kurz, K. Inflammation-Induced Tryptophan Breakdown is Related with Anemia, Fatigue, and Depression in Cancer. Front. Immunol. 2020, 11, 249. [Google Scholar] [CrossRef] [PubMed]
- Rainer, T.H.; Chan, C.P.Y.; Leung, M.F.; Leung, W.; Ip, M.; Lee, N.; Cautherley, G.W.; Graham, C.A.; Fuchs, D.; Renneberg, R. Diagnostic utility of CRP to neopterin ratio in patients with acute respiratory tract infections. J. Infect. 2009, 58, 123–130. [Google Scholar] [CrossRef] [PubMed]
- Pietrobon, A.J.; Teixeira, F.M.E.; Sato, M.N. Immunosenescence and Inflammaging: Risk Factors of Severe COVID-19 in Older People. Front. Immunol. 2020, 11, 579220. [Google Scholar] [CrossRef] [PubMed]
- Ortolan, A.; Lorenzin, M.; Felicetti, M.; Doria, A.; Ramonda, R. Does gender influence clinical expression and disease outcomes in COVID-19? A systematic review and meta-analysis. Int. J. Tryptophan Res. IJTR 2020, 99, 496–504. [Google Scholar] [CrossRef] [PubMed]
- Lechner-Scott, J.; Levy, M.; Hawkes, C.; Yeh, A.; Giovannoni, G. Long COVID or post COVID-19 syndrome. Mult. Scler. Relat. Disord. 2021, 55, 103268. [Google Scholar] [CrossRef] [PubMed]
- Løkke, F.B.; Hansen, K.S.; Dalgaard, L.S.; Öbrink-Hansen, K.; Schiøttz-Christensen, B.; Leth, S. Long-term complications after infection with SARS-CoV-1, influenza and MERS-CoV—Lessons to learn in long COVID? Infect. Dis. Now 2023, 53, 104779. [Google Scholar] [CrossRef]
- Fernández-Castañeda, A.; Lu, P.; Geraghty, A.C.; Song, E.; Lee, M.H.; Wood, J.; O’Dea, M.R.; Dutton, S.; Shamardani, K.; Nwangwu, K.; et al. Mild respiratory COVID can cause multi-lineage neural cell and myelin dysregulation. Cell 2022, 185, 2452–2468. [Google Scholar] [CrossRef] [PubMed]
- Schou, T.M.; Joca, S.; Wegener, G.; Bay-Richter, C. Psychiatric and neuropsychiatric sequelae of COVID-19—A systematic review. Brain Behav. Immun. 2021, 97, 328–348. [Google Scholar] [CrossRef] [PubMed]
- Rogers, J.P.; Chesney, E.; Oliver, D.; Pollak, T.A.; McGuire, P.; Fusar-Poli, P.; Zandi, M.S.; Lewis, G.; David, A.S. Psychiatric and neuropsychiatric presentations associated with severe coronavirus infections: A systematic review and meta-analysis with comparison to the COVID-19 pandemic. Lancet Psychiatry 2020, 7, 611–627. [Google Scholar] [CrossRef] [PubMed]
- Davydow, D.S.; Hough, C.L.; Levine, D.A.; Langa, K.M.; Iwashyna, T.J. Functional disability, cognitive impairment, and depression after hospitalization for pneumonia. Am. J. Med. 2013, 126, 615–624. [Google Scholar] [CrossRef]
- Bornand, D.; Toovey, S.; Jick, S.S.; Meier, C.R. The risk of new onset depression in association with influenza—A population-based observational study. Brain Behav. Immun. 2016, 53, 131–137. [Google Scholar] [CrossRef] [PubMed]
- Pattanaik, A.; Bhandarkar, B.S.; Lodha, L.; Marate, S. SARS-CoV-2 and the nervous system: Current perspectives. Arch. Virol. 2023, 168, 171. [Google Scholar] [CrossRef] [PubMed]
- Li, Z.; Lin, D.; Xu, X.; Liu, X.; Zhang, J.; Huang, K.; Wang, F.; Liu, J.; Zhang, Z.; Tao, E. Central nervous system complications in SARS-CoV-2-infected patients. J. Neurol. 2023, 270, 4617–4631. [Google Scholar] [CrossRef]





| COVID-19 n (%) | Bacterial Pneumonia n (%) | Influenza n (%) | Influenza + Other n (%) | COVID-19 + Other n (%) | |
|---|---|---|---|---|---|
| ECOG (n) | |||||
| 0 n = 9 | 0 (0) | 0 (0) | 0 (0) | 0 (0) | 9 (16.7) |
| 1 n = 12 | 9 (14.3) | 0 (0) | 0 (0) | 0 (0) | 3 (5.6) |
| 2 n = 74 | 23 (36.5) | 29 (50.0) | 4 (44.4) | 3 (30.0) | 15 (27.8) |
| 3 n = 55 | 11 (17.5) | 23 (39.7) | 5 (55.6) | 6 (60.0) | 10 (18.5) |
| 4 n = 36 | 17 (27.0) | 4 (6.9) | 0 (0) | 1 (10.0) | 14 (25.9) |
| 5 n = 8 | 3 (4.8) | 2 (3.4) | 0 (0) | 0 (0) | 3 (3.6) |
| Total n = 194 | 63 (100) | 58 (100) | 9 (100) | 10 (100) | 54 (100) |
| p-value | <0.001 | ||||
| COVID-19 n (%) | Bacterial pneumonia n (%) | Influenza n (%) | Influenza + Other n (%) | COVID-19 + Other n (%) | p-Value | |
|---|---|---|---|---|---|---|
| Neurological symptoms (n = 82) | 34 (54.8) | 19 (32.8) | 0 (0) | 2 (20) | 27 (50) | 0.003 |
| Fatigue (n = 133) | 53 (84.1) | 34 (58.6) | 0 (0) | 2 (20) | 44 (81.5) | <0.001 |
| Depression (n = 12) | 4 (6.3) | 2 (3.4) | 0 (0) | 0 (0) | 6 (11.1) | n.s. |
| Sleep disorder (n = 32) | 12 (19) | 8 (13.8) | 0 (0) | 0 (0) | 12 (22.2) | n.s. |
| Total n = 194 | 63 (100) | 58 (100) | 9 (100) | 10 (100) | 54 (100) |
| CRP (n = 194) | Neopterin (n = 194) | CRP/Neopterin (n = 194) | ||
|---|---|---|---|---|
| MEDIAN (IQR) | ||||
| Fatigue | no fatigue (n = 61) | 3.2 (1.3–8.0) | 37.8 (20.2–57.2) | 0.09 (0.03–0.34) |
| Fatigue (n = 133) | 1.8 (0.3–6.5) | 39.1 (19.2–53.6) | 0.09 (0.02–0.25) | |
| Neurological symptoms | no neurol. symptoms (n = 112) | 2.1 (0.5–6.5) | 39.4 (20.0–55.3) | 0.09 (0.03–0.30) |
| neurological symptoms (n = 82) | 2.4 (0.6–8.2) | 38.6 (19.5–55.2) | 0.08 (0.02–0.20) | |
| Depression | no depression (n = 182) | 2.3 (0.5–7.0) | 39.4 (20.0–55.9) | 0.09 (0.02–0.26) |
| depression (n = 12) | 2.3 (0.40–7.8) | 31.9 (16.0–47.6) | 0.06 (0.01–0.22) | |
| Sleep disorder | no sleep disorder (n = 162) | 2.4 (0.5–6.9) | 38.0 (19.9–53.4) | 0.09 (0.03–0.26) |
| sleep disorder (n = 32) | 1.9 (2.9–11.0) | 44.7 (20.8–74.0) | 0.07 (0.02–0.22) | |
| CRP | Neopterin | CRP/Neopterin | ||
|---|---|---|---|---|
| (n = 194) | (n = 194) | (n = 194) | ||
| MEDIAN (IQR) | ||||
| COVID-19 | no fatigue | 2 (0.5–4.2) | 53.4 (33.3–57.5) | 0.05 (0.02–0.08) |
| fatigue | 1 (0.3–5.8) | 38.2 (18.2–48.2) | 0.03 (0.014–0.08) | |
| Bacterial pneumonia | no fatigue | 8.5 (1.5–15.5) | 32.9 (19.7–59.1) | 0.34 (0.15–0.59) |
| fatigue | 1.8 (0.3–7.5) | 28.4 (14.0–51.6) | 0.33 (0.18–0.72) | |
| COVID-19 BSI | no fatigue | 1.4 (0.2–4.4) | 42.5 (21.4–62.4) | 0.02 (0.005–0.07) |
| fatigue | 3.1 (0.9–8.4) | 45.2 (22.8–68.8) | 0.08 (0.03–0.14) | |
| COVID-19 + Other n (%) | Influenza + Other n (%) | Influenza n (%) | Bacterial Pneumonia n (%) | COVID-19 n (%) | p-Value | |
|---|---|---|---|---|---|---|
| Neurological symptoms (n = 82) | 27 (50) | 2 (20) | 0 (0) | 19 (32.8) | 34 (54.8) | 0.003 |
| Fatigue (n = 133) | 44 (81.5) | 2 (20) | 0 (0) | 34 (58.6) | 53 (84.1) | <0.001 |
| Depression (n = 12) | 6 (11.1) | 0 (0) | 0 (0) | 2 (3.4) | 4 (6.3) | n.s. |
| Sleep disorder (n = 32) | 12 (22.2) | 0 (0) | 0 (0) | 8 (13.8) | 12 (19) | n.s. |
| Total n = 194 | 54 (100) | 10 (100) | 9 (100) | 58 (100) | 63 (100) |
| CRP/Neopterin | Neopterin | CRP | ||
|---|---|---|---|---|
| (n = 194) | (n = 194) | (n = 194) | ||
| MEDIAN (IQR) | ||||
| COVID-19 | no fatigue | 0.05 (0.02–0.08) | 53.4 (33.3–57.5) | 2.0 (0.5–4.2) |
| fatigue | 0.03 (0.014–0.08) | 38.2 (18.2–48.2) | 1.0 (0.3–5.8) | |
| p-value | 0.467 | 0.071 | 0.455 | |
| bacterial pneumonia | no fatigue | 0.34 (0.15–0.59) | 32.9 (19.7–59.1) | 8.5 (1.5–15.5) |
| fatigue | 0.33 (0.18–0.72) | 28.4 (14.0–51.6) | 1.8 (0.3–7.5) | |
| p-value | 0.683 | 0.439 | 0.029 | |
| COVID-19 BSI | no fatigue | 0.02 (0.005–0.07) | 42.5 (21.4–62.4) | 1.4 (0.2–4.4) |
| fatigue | 0.08 (0.03–0.14) | 45.2 (22.8–68.8) | 3.1 (0.9–8.4) | |
| p-value | 0.023 | 0.725 | 0.099 | |
Disclaimer/Publisher’s Note: The statements, opinions and data contained in all publications are solely those of the individual author(s) and contributor(s) and not of MDPI and/or the editor(s). MDPI and/or the editor(s) disclaim responsibility for any injury to people or property resulting from any ideas, methods, instructions or products referred to in the content. |
© 2024 by the authors. Licensee MDPI, Basel, Switzerland. This article is an open access article distributed under the terms and conditions of the Creative Commons Attribution (CC BY) license (https://creativecommons.org/licenses/by/4.0/).
Share and Cite
Wagner, K.K.L.; Corda, D.; Steinmayr, A.; Burkert, F.; Fuchs, D.; Gostner, J.; Hofer, S.; Parrakova, L.; Gasslitter, I.; Weiss, G.; et al. CRP/Neopterin Ratio and Neuropsychiatric Symptoms in Patients with Different Forms of Pneumonia: Results of a Pilot Study. Microorganisms 2024, 12, 1099. https://doi.org/10.3390/microorganisms12061099
Wagner KKL, Corda D, Steinmayr A, Burkert F, Fuchs D, Gostner J, Hofer S, Parrakova L, Gasslitter I, Weiss G, et al. CRP/Neopterin Ratio and Neuropsychiatric Symptoms in Patients with Different Forms of Pneumonia: Results of a Pilot Study. Microorganisms. 2024; 12(6):1099. https://doi.org/10.3390/microorganisms12061099
Chicago/Turabian StyleWagner, Katharina Konstanze Lilly, Daniele Corda, Andreas Steinmayr, Francesco Burkert, Dietmar Fuchs, Johanna Gostner, Stefanie Hofer, Lucia Parrakova, Irina Gasslitter, Günter Weiss, and et al. 2024. "CRP/Neopterin Ratio and Neuropsychiatric Symptoms in Patients with Different Forms of Pneumonia: Results of a Pilot Study" Microorganisms 12, no. 6: 1099. https://doi.org/10.3390/microorganisms12061099
APA StyleWagner, K. K. L., Corda, D., Steinmayr, A., Burkert, F., Fuchs, D., Gostner, J., Hofer, S., Parrakova, L., Gasslitter, I., Weiss, G., Irsara, C., Maier, S., Griesmacher, A., Bellmann-Weiler, R., & Kurz, K. (2024). CRP/Neopterin Ratio and Neuropsychiatric Symptoms in Patients with Different Forms of Pneumonia: Results of a Pilot Study. Microorganisms, 12(6), 1099. https://doi.org/10.3390/microorganisms12061099

