Real-World Experience of Ceftobiprole for Community- and Hospital-Acquired Pneumonia from a Stewardship Perspective
Abstract
1. Introduction
2. Patients and Methods
2.1. Inclusion Criteria
2.2. Data Collection
2.3. Risk Factor for MRSA
2.4. INCREMENT-ESBL Score
2.5. CURB-65 Score [18]
2.6. PSI Score [19]
2.7. PITT Score [20,21,22,23]
2.8. Charlson Comorbidity Index [24,25,26,27,28]
2.9. Statistical Analysis
3. Results
3.1. Characteristics of Treatment with Ceftobiprole
3.2. Primary and Secondary Endpoints
3.2.1. Risk Factors for In-Hospital Mortality and In-Hospital Mortality or 3-Month Re-Admission
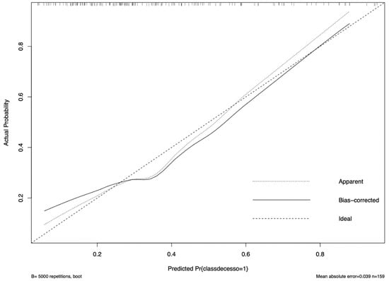
3.2.2. Overall Survival Estimates in Ceftobiprole Use
4. Discussion
Author Contributions
Funding
Data Availability Statement
Conflicts of Interest
References
- Nicholson, S.C.; Welte, T.; File, T.M.; Strauss, R.S.; Michiels, B.; Kaul, P.; Balis, D.; Arbit, D.; Amsler, K.; Noel, G.J. A Randomised, Double-Blind Trial Comparing Ceftobiprole Medocaril with Ceftriaxone with or without Linezolid for the Treatment of Patients with Community-Acquired Pneumonia Requiring Hospitalisation. Int. J. Antimicrob. Agents 2012, 39, 240–246. [Google Scholar] [CrossRef] [PubMed]
- Awad, S.S.; Rodriguez, A.H.; Chuang, Y.-C.; Marjanek, Z.; Pareigis, A.J.; Reis, G.; Scheeren, T.W.L.; Sanchez, A.S.; Zhou, X.; Saulay, M.; et al. A Phase 3 Randomized Double-Blind Comparison of Ceftobiprole Medocaril versus Ceftazidime plus Linezolid for the Treatment of Hospital-Acquired Pneumonia. Clin. Infect. Dis. 2014, 59, 51–61. [Google Scholar] [CrossRef] [PubMed]
- Eshwara, V.; Mukhopadhyay, C.; Rello, J. Community-Acquired Bacterial Pneumonia in Adults: An Update. Indian J. Med. Res. 2020, 151, 287. [Google Scholar] [CrossRef] [PubMed]
- Bäckström, T.; Panagiotidis, G.; Beck, O.; Asker-Hagelberg, C.; Rashid, M.-U.; Weintraub, A.; Nord, C.E. Effect of Ceftobiprole on the Normal Human Intestinal Microflora. Int. J. Antimicrob. Agents 2010, 36, 537–541. [Google Scholar] [CrossRef] [PubMed]
- Pfaller, M.A.; Flamm, R.K.; Duncan, L.R.; Streit, J.M.; Castanheira, M.; Sader, H.S. Antimicrobial Activity of Ceftobiprole and Comparator Agents When Tested against Contemporary Gram-Positive and -Negative Organisms Collected from Europe (2015). Diagn. Microbiol. Infect. Dis. 2018, 91, 77–84. [Google Scholar] [CrossRef] [PubMed]
- Hamed, K.; Engelhardt, M.; Jones, M.E.; Saulay, M.; Holland, T.L.; Seifert, H.; Fowler, V.G., Jr. Ceftobiprole versus Daptomycin in Staphylococcus Aureus Bacteremia: A Novel Protocol for a Double-Blind, Phase III Trial. Future Microbiol. 2020, 15, 35–48. [Google Scholar] [CrossRef]
- Torres, A.; Mouton, J.W.; Pea, F. Pharmacokinetics and Dosing of Ceftobiprole Medocaril for the Treatment of Hospital- and Community-Acquired Pneumonia in Different Patient Populations. Clin. Pharmacokinet. 2016, 55, 1507–1520. [Google Scholar] [CrossRef] [PubMed]
- Rodvold, K.A.; Nicolau, D.P.; Lodise, T.P.; Khashab, M.; Noel, G.J.; Kahn, J.B.; Gotfried, M.; Murray, S.A.; Nicholson, S.; Laohavaleeson, S.; et al. Identifying Exposure Targets for Treatment of Staphylococcal Pneumonia with Ceftobiprole. Antimicrob. Agents Chemother. 2009, 53, 3294–3301. [Google Scholar] [CrossRef] [PubMed]
- Lupia, T.; Corcione, S.; Mornese Pinna, S.; De Rosa, F.G. New Cephalosporins for the Treatment of Pneumonia in Internal Medicine Wards. J. Thorac. Dis. 2020, 12, 3747–3763. [Google Scholar] [CrossRef]
- Giacobbe, D.R.; De Rosa, F.G.; Del Bono, V.; Grossi, P.A.; Pea, F.; Petrosillo, N.; Rossolini, G.M.; Tascini, C.; Tumbarello, M.; Viale, P.; et al. Ceftobiprole: Drug Evaluation and Place in Therapy. Expert Rev. Anti-Infect. Ther. 2019, 17, 689–698. [Google Scholar] [CrossRef]
- Cillóniz, C.; Dominedò, C.; Garcia-Vidal, C.; Torres, A. Ceftobiprole for the Treatment of Pneumonia. Rev. Esp. Quimioter. 2019, 32 (Suppl. S3), 17–23. [Google Scholar]
- Liapikou, A.; Cillóniz, C.; Torres, A. Ceftobiprole for the Treatment of Pneumonia: A European Perspective. Drug Des. Dev. Ther. 2015, 9, 4565–4572. [Google Scholar] [CrossRef]
- Gentile, I.; Buonomo, A.R.; Corcione, S.; Paradiso, L.; Giacobbe, D.R.; Bavaro, D.F.; Tiseo, G.; Sordella, F.; Bartoletti, M.; Palmiero, G.; et al. CEFTO-CURE Study: CEFTObiprole Clinical Use in Real-LifE—A Multi-Centre Experience in Italy. Int. J. Antimicrob. Agents 2023, 62, 106817. [Google Scholar] [CrossRef] [PubMed]
- Torres, A.; Niederman, M.S.; Chastre, J.; Ewig, S.; Fernandez-Vandellos, P.; Hanberger, H.; Kollef, M.; Li Bassi, G.; Luna, C.M.; Martin-Loeches, I.; et al. International ERS/ESICM/ESCMID/ALAT Guidelines for the Management of Hospital-Acquired Pneumonia and Ventilator-Associated Pneumonia. Eur. Respir. J. 2017, 50, 1700582. [Google Scholar] [CrossRef] [PubMed]
- Woodhead, M.; Blasi, F.; Ewig, S.; Garau, J.; Huchon, G.; Ieven, M.; Ortqvist, A.; Schaberg, T.; Torres, A.; van der Heijden, G.; et al. Guidelines for the Management of Adult Lower Respiratory Tract Infections—Full Version. Clin. Microbiol. Infect. 2011, 17, E1–E59. [Google Scholar] [CrossRef]
- Fine, M.J.; Auble, T.E.; Yealy, D.M.; Hanusa, B.H.; Weissfeld, L.A.; Singer, D.E.; Coley, C.M.; Marrie, T.J.; Kapoor, W.N. A Prediction Rule to Identify Low-Risk Patients with Community-Acquired Pneumonia. N. Engl. J. Med. 1997, 336, 243–250. [Google Scholar] [CrossRef]
- Palacios-Baena, Z.R.; Gutiérrez-Gutiérrez, B.; Calbo, E.; Almirante, B.; Viale, P.; Oliver, A.; Pintado, V.; Gasch, O.; Martínez-Martínez, L.; Pitout, J.; et al. Empiric Therapy with Carbapenem-Sparing Regimens for Bloodstream Infections due to Extended-Spectrum β-Lactamase-Producing Enterobacteriaceae: Results from the INCREMENT Cohort. Clin. Infect. Dis. 2017, 65, 1615–1623. [Google Scholar] [CrossRef]
- Bartlett, J.G.; Dowell, S.F.; Mandell, L.A.; File, T.M.; Musher, D.M.; Fine, M.J. Practice Guidelines for the Management of Community-Acquired Pneumonia in Adults. Clin. Infect. Dis. 2000, 31, 347–382. [Google Scholar] [CrossRef]
- Elshamly, M.; Nour, M.; Omar, A. Clinical Presentations and Outcome of Severe Community-Acquired Pneumonia. Egypt. J. Chest Dis. Tuberc. 2016, 65, 831–839. [Google Scholar] [CrossRef]
- Korvick, J.A.; Bryan, C.S.; Farber, B.; Beam, T.R.; Schenfeld, L.; Muder, R.R.; Weinbaum, D.; Lumish, R.; Gerding, D.N.; Wagener, M.M. Prospective Observational Study of Klebsiella Bacteremia in 230 Patients: Outcome for Antibiotic Combinations versus Monotherapy. Antimicrob. Agents Chemother. 1992, 36, 2639–2644. [Google Scholar] [CrossRef]
- Al-Hasan, M.N.; Baddour, L.M. Resilience of the Pitt Bacteremia Score: 3 Decades and Counting. Clin. Infect. Dis. 2019, 70, 1834–1836. [Google Scholar] [CrossRef] [PubMed]
- Henderson, H.; Luterbach, C.L.; Cober, E.; Richter, S.S.; Salata, R.A.; Kalayjian, R.C.; Watkins, R.R.; Doi, Y.; Kaye, K.S.; Evans, S.; et al. The Pitt Bacteremia Score Predicts Mortality in Nonbacteremic Infections. Clin. Infect. Dis. 2019, 70, 1826–1833. [Google Scholar] [CrossRef]
- Roth, J.; Tschudin-Sutter, S.; Dangel, M.; Frei, R.; Battegay, M.; Widmer, A. Value of the Pitt Bacteraemia Score to Predict Short-Term Mortality in Staphylococcus Aureus Bloodstream Infection: A Validation Study. Swiss Med. Wkly. 2017, 147, w14482. [Google Scholar] [CrossRef] [PubMed][Green Version]
- Charlson, M.E.; Pompei, P.; Ales, K.L.; MacKenzie, C. Ronald. A New Method of Classifying Prognostic Comorbidity in Longitudinal Studies: Development and Validation. J. Chronic Dis. 1987, 40, 373–383. [Google Scholar] [CrossRef] [PubMed]
- Abe, Y.; Shigemura, K.; Yoshida, H.; Fujisawa, M.; Arakawa, S. Risk Factors for Anti-MRSA Drug Resistance. Int. J. Antimicrob. Agents 2012, 40, 423–426. [Google Scholar] [CrossRef]
- Charlson, M.E.; Carrozzino, D.; Guidi, J.; Patierno, C. Charlson Comorbidity Index: A Critical Review of Clinimetric Properties. Psychother. Psychosom. 2022, 91, 8–35. [Google Scholar] [CrossRef]
- Lagergren, J.; Brusselaers, N. The Charlson Comorbidity Index in Registry-Based Research. Methods Inf. Med. 2017, 56, 401–406. [Google Scholar] [CrossRef]
- Tuty Kuswardhani, R.A.; Henrina, J.; Pranata, R.; Anthonius Lim, M.; Lawrensia, S.; Suastika, K. Charlson Comorbidity Index and a Composite of Poor Outcomes in COVID-19 Patients: A Systematic Review and Meta-Analysis. Diabetes Metab. Syndr. Clin. Res. Rev. 2020, 14, 2103–2109. [Google Scholar] [CrossRef]
- Harrell, F.E. Regression Modeling Strategies; Springer: New York, NY, USA, 2001. [Google Scholar] [CrossRef]
- Steyerberg, E.W. Clinical Prediction Models; Springer: New York, NY, USA, 2009. [Google Scholar] [CrossRef]
- Hidalgo-Tenorio, C.; Pitto-Robles, I.; Arnés García, D.; de Novales, F.J.M.; Morata, L.; Mendez, R.; de Pablo, O.B.; López de Medrano, V.A.; Lleti, M.S.; Vizcarra, P.; et al. Cefto Real-Life Study: Real-World Data on the Use of Ceftobiprole in a Multicenter Spanish Cohort. Antibiotics 2023, 12, 1218. [Google Scholar] [CrossRef]
- Oliva, A.; Savellon, G.; Cancelli, F.; Valeri, S.; Mauro, V.; Aronica, R.; Romani, F.; Mastroianni, C.M. Real-Life Experience in the Use of Ceftobiprole for the Treatment of Nosocomial Pneumonia: A Case Series. J. Glob. Antimicrob. Resist. 2021, 26, 52–54. [Google Scholar] [CrossRef]
- Shbaklo, N.; Corcione, S.; Vicentini, C.; Giordano, S.; Fiorentino, D.; Bianco, G.; Cattel, F.; Cavallo, R.; Zotti, C.M.; De Rosa, F.G. An Observational Study of MDR Hospital-Acquired Infections and Antibiotic Use during COVID-19 Pandemic: A Call for Antimicrobial Stewardship Programs. Antibiotics 2022, 11, 695. [Google Scholar] [CrossRef] [PubMed]
- De Benedetto, I.; Lupia, T.; Shbaklo, N.; Bianchi, A.; Concialdi, E.; Penna, M.; Corcione, S.; De Rosa, F. Prognostic Evaluation of Acinetobacter Baumannii Ventilatorassociated Pneumonia in COVID-19. Infez. Med. 2022, 30, 570–576. [Google Scholar] [CrossRef] [PubMed]
- Hespanhol, V.; Bárbara, C. Pneumonia Mortality, Comorbidities Matter? Pulmonology 2020, 26, 123–129. [Google Scholar] [CrossRef] [PubMed]
- Crapis, M.; Venturini, S.; Della Siega, P.; Tonizzo, M.; Garlatti, E.; Rosa, R.D.; Basso, B.; Pontoni, E. Ceftobiprole and Pneumonia in Adults Admitted to the Emergency Department Is It Time to Assess a New Therapeutic Algorithm? J. Chemother. 2021, 33, 174–179. [Google Scholar] [CrossRef] [PubMed]
- Cairns, K.A.; Rawlins, M.D.M.; Unwin, S.D.; Doukas, F.F.; Burke, R.; Tong, E.; Henderson, A.J.; Cheng, A.C. Building on Antimicrobial Stewardship Programs through Integration with Electronic Medical Records: The Australian Experience. Infect. Dis. Ther. 2021, 10, 61–73. [Google Scholar] [CrossRef]
- Lupia, T.; Pallotto, C.; Corcione, S.; Boglione, L.; De Rosa, F.G. Ceftobiprole Perspective: Current and Potential Future Indications. Antibiotics 2021, 10, 170. [Google Scholar] [CrossRef]




| Baseline Characteristics | N (%) or Median (IQR) |
|---|---|
| Age (years) | 70 (60–77) |
| Male gender | 107 (67%) |
| CAP | 105 (66%) |
| HAP | 54 (34%) |
| Ward of admission | |
| Internal Medicine | 49 (30%) |
| Hematology | 29 (18%) |
| Emergency Medicine | 19 (12%) |
| Cardiology | 15 (9%) |
| Geriatrics | 6 (4%) |
| Respiratory Medicine | 5 (4%) |
| Other | 36 (23%) |
| COVID-19 pneumonia | 30 (19%) |
| Immunedepressed patients | 74 (46%) |
| Hematological disease | 33 (21%) |
| Immunomodulatory drugs | 12 (8%) |
| Solid organ transplant | 12 (8%) |
| Chemotherapy | 15 (9%) |
| HIV | 2 (1%) |
| Baseline risk factors for MRSA | |
| None | 12 (7.5%) |
| At least one | 147 (92.5%) |
| Colonization | 9 (6%) |
| Previous infection | 8 (5%) |
| Gram positive cocci on sputum/BAL | 34 (21%) |
| Recent influenza | 32 (20%) |
| Previous hospitalization within 90 days | 90 (56%) |
| Necrotizing pneumonia | 5 (4%) |
| Empyema | 6 (4%) |
| Immunedepression | 74 (46%) |
| Dialysis | 2 (1%) |
| Blood cultures | |
| Positive | 33 (21%) |
| Negative | 126 (79%) |
| Not performed | 0 (0%) |
| Broncho alveolar lavage | |
| Positive | 20 (13%) |
| Negative | 37 (8%) |
| Not performed | 102 (79%) |
| Sputum | |
| Positive | 5 (3%) |
| Negative | 15 (9%) |
| Not performed | 139 (88%) |
| Urinary antigen for S. pneumoniae and Legionella pneumophilia | |
| Positive | 5 (3%) |
| Negative | 136 (86%) |
| Not performed | 18 (11%) |
| Nasal swab for MRSA | |
| Positive | 3 (2%) |
| Negative | 45 (28%) |
| Not performed | 111 (70%) |
| Rectal swab for ESBL or CPE | |
| Positive | 12 (8%) |
| Negative | 70 (44%) |
| Not performed | 77 (48%) |
| CURB65 in CAP | |
| 0–1 | 93 (58%) |
| 2 | 52 (32%) |
| ≥3 | 14 (9%) |
| PSI in CAP | |
| I/II | 8 (5%) |
| III | 8 (5%) |
| IV | 55 (34%) |
| V | 55 (34%) |
| Pitt score | |
| <4 | 122 (77%) |
| ≥4 | 37 (23%) |
| Charlson Comorbidity Index (CCI) | 5 (3–7.5) |
| INCREMENT-ESBL Score | 8 (6–11) |
| 0–8 | 74 (46%) |
| 11–14 | 80 (50%) |
| >15 | 5 (3%) |
| Treatment with Ceftobiprole | N (%) or Median (IQR) |
|---|---|
| Duration of treatment (days) | 10 (7; 12) |
| First-line therapy | 42 (26%) |
| Second-line therapy | 117 (74%) |
| Carbapenem-sparing | 71 (44%) |
| Escalation for clinical severity | 14 (9%) |
| Targeted therapy | 32 (20%) |
| Monotherapy | 38 (23%) |
| Combination therapy with: | 121 (77%) |
| Levofloxacin or azithromycin | 94 (59%) |
| Anti-ESBL antibiotic, e.g., Fosfomycin | 12 (8%) |
| Linezolid/daptomycin/vancomycin | 4 (2%) |
| Metronidazole | 11 (7%) |
| Crude Effect on Mortality | Crude Effect on Mortality and 3-Month Re-Admission | |||||
|---|---|---|---|---|---|---|
| HR | p Value | C.I. 95% | HR | p Value | C.I. 95% | |
| Age | 1.02 | 0.01 | 1.01–1.04 | |||
| Male gender | 1.22 | 0.48 | 0.69–2.11 | |||
| PSI/PORT | 1.01 | 0.003 | 1.003–1.01 | 1.40 | 0.03 | 1.01–1.95 |
| Ceftobiprole in combination therapy | 0.82 | 0.21 | 0.61–1.11 | 0.91 | 0.47 | 0.72–1.16 |
| Ceftobiprole as first line therapy | 1.38 | 0.31 | 0.73–2.62 | 1.01 | 0.715 | 0.65–1.8 |
| Positive blood cultures | 1.35 | 0.33 | 0.73–2.48 | 1.53 | 0.10 | 0.91–2.57 |
| C reactive protein | 1.00 | 0.18 | 0.99–1.004 | 1.01 | 0.375 | 0.99–1.00 |
| Procalcitonin | 0.98 | 0.46 | 0.92–1.03 | 1.00 | 0.481 | 0.98–1.02 |
| CAP/HAP | 0.93 | 0.79 | 0.53–1.61 | 0.96 | 0.88 | 0.59–1.55 |
| Immunedepression | 1.007 | 0.91 | 0.87–1.15 | 1.00 | 0.99 | 0.88–1.13 |
| COVID-19 | 0.98 | 0.89 | 0.76–1.25 | 1.06 | 0.54 | 0.87–1.30 |
| Congestive heart failure | 1.95 | 0.01 | 1.15–3.2 | 1.73 | 0.01 | 1.09–2.72 |
| TIA/Stroke | 1.69 | 0.19 | 0.76–3.76 | 1.71 | 0.13 | 0.85–3.46 |
| COPD | 0.95 | 0.88 | 0.50–1.81 | 1.03 | 0.11 | 0.59–1.77 |
| Renal failure | 1.35 | 0.37 | 0.68–2.65 | 1.34 | 0.31 | 0.75–2.39 |
| Solid neoplasia | 1.23 | <0.001 | 1.10–1.36 | 1.18 | 0.001 | 1.07–1.3 |
| Lymphoma | 0.56 | 0.23 | 0.22–1.43 | 0.38 | 0.03 | 0.15–0.95 |
| Septic shock at onset | 5.72 | <0.0001 | 3.22–10.1 | 3.49 | <0.001 | 2.2–5.55 |
| Adjusted Effect on Mortality | Adjusted Effect on Mortality and 3-Month Re-Admission | |||||
|---|---|---|---|---|---|---|
| aHR | p Value | C.I. 95% | aHR | p Value | C.I. 95% | |
| INCREMENT ESBL score > 11 | 3.96 | <0.0001 | 2.21–7.09 | 3.24 | <0.0001 | 1.90–5.5 |
| CAP/HAP | 0.84 | 0.47 | 0.47–1.5 | 0.98 | 0.95 | 0.59–1.61 |
| COVID-19 | 0.93 | 0.71 | 0.71–1.21 | 0.98 | 0.83 | 0.78–1.22 |
| Immunedepression | 1.56 | 0.11 | 0.90–2.6 | 1.43 | 0.13 | 0.89–2.3 |
Disclaimer/Publisher’s Note: The statements, opinions and data contained in all publications are solely those of the individual author(s) and contributor(s) and not of MDPI and/or the editor(s). MDPI and/or the editor(s) disclaim responsibility for any injury to people or property resulting from any ideas, methods, instructions or products referred to in the content. |
© 2024 by the authors. Licensee MDPI, Basel, Switzerland. This article is an open access article distributed under the terms and conditions of the Creative Commons Attribution (CC BY) license (https://creativecommons.org/licenses/by/4.0/).
Share and Cite
Corcione, S.; De Benedetto, I.; Carlin, M.; Pivetta, E.E.; Scabini, S.; Grosso, C.; Shbaklo, N.; Porta, M.; Lupia, E.; De Rosa, F.G. Real-World Experience of Ceftobiprole for Community- and Hospital-Acquired Pneumonia from a Stewardship Perspective. Microorganisms 2024, 12, 725. https://doi.org/10.3390/microorganisms12040725
Corcione S, De Benedetto I, Carlin M, Pivetta EE, Scabini S, Grosso C, Shbaklo N, Porta M, Lupia E, De Rosa FG. Real-World Experience of Ceftobiprole for Community- and Hospital-Acquired Pneumonia from a Stewardship Perspective. Microorganisms. 2024; 12(4):725. https://doi.org/10.3390/microorganisms12040725
Chicago/Turabian StyleCorcione, Silvia, Ilaria De Benedetto, Massimiliano Carlin, Emanuele Emilio Pivetta, Silvia Scabini, Cecilia Grosso, Nour Shbaklo, Massimo Porta, Enrico Lupia, and Francesco Giuseppe De Rosa. 2024. "Real-World Experience of Ceftobiprole for Community- and Hospital-Acquired Pneumonia from a Stewardship Perspective" Microorganisms 12, no. 4: 725. https://doi.org/10.3390/microorganisms12040725
APA StyleCorcione, S., De Benedetto, I., Carlin, M., Pivetta, E. E., Scabini, S., Grosso, C., Shbaklo, N., Porta, M., Lupia, E., & De Rosa, F. G. (2024). Real-World Experience of Ceftobiprole for Community- and Hospital-Acquired Pneumonia from a Stewardship Perspective. Microorganisms, 12(4), 725. https://doi.org/10.3390/microorganisms12040725

