Fungal Footprints: Soil Fungal Communities in Black Walnut and Red Oak Forests
Abstract
1. Introduction
2. Materials and Methods
2.1. Site Characterization
2.2. Soil Sample Collection and DNA Amplification
2.3. Soil Physicochemical Analysis
2.4. Bioinformatics Analysis
2.5. Statistical Analysis
3. Results
3.1. Soil Physical and Chemical Properties
3.2. Soil Fungal Community Structure and Diversity
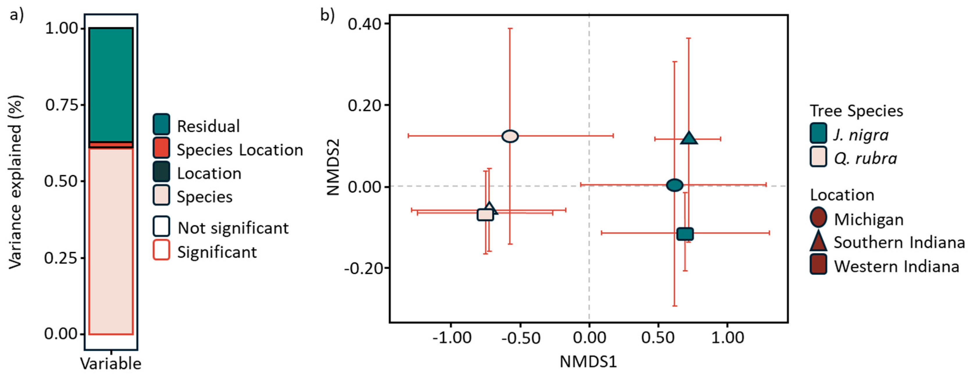
3.3. Soil Fungal Composition Associated with Tree Species
4. Discussion
4.1. Soil Properties and Tree Species
4.2. Fungal Community Structure and Alpha-Diversity
4.3. Dominant Fungal Phyla and Composition
4.4. Species-Level Composition and Geographic Variations
4.5. Alternative Research Perspectives
4.6. Implications for Forest Management
4.7. Broader Ecological Context
5. Conclusions
Supplementary Materials
Author Contributions
Funding
Data Availability Statement
Conflicts of Interest
References
- Ma, S.; Zhang, Z.; Zhang, M.; Li, W.; Liu, X. Interaction of Soil Microbes and Plant Roots in Heavy Metal Contaminated Soils. Soil Use Manag. 2018, 34, 405–416. [Google Scholar] [CrossRef]
 - Schmidt, T.L.; McWilliams, W.H. Forest Resources of the Northern United States; Gen. Tech. Rep. NRS-108; U.S. Department of Agriculture, Forest Service, Northern Research Station: Madison, WI, USA, 2016. [Google Scholar] [CrossRef]
 - Jacobs, D.F.; Woeste, K.E.; Wilson, B.C.; McKenna, J.R.; Improvement, H.T. Stock quality of black walnut (Juglans nigra) seedlings as affected by half-sib seed source and nursery sowing density. ActaHortic. 2006, 705, 375. [Google Scholar] [CrossRef]
 - Wolz, K.J.; DeLucia, E.H. Black walnut alley cropping is economically competitive with row crops in the Midwest USA. Ecol. Appl. 2019, 29, e01829. [Google Scholar] [CrossRef]
 - Berthrong, S.T.; Northup, R.R. The Role of Fungi in Ecosystem Nutrient Cycling. In The Fungal Community: Its Organization and Role in the Ecosystem, 4th ed.; Dighton, J., White, J.F., Jr., Oudemans, P., Eds.; CRC Press: Boca Raton, FL, USA, 2021; pp. 497–510. [Google Scholar]
 - Jiao, S.; Peng, Z.; Qi, J.; Gao, J.; Wei, G. Linking bacterial-fungal relationships to microbial diversity and soil nutrient cycling. mSystems 2021, 6, e01052-20. [Google Scholar] [CrossRef]
 - Baldrian, P. Forest Microbiome: Diversity, Complexity and Dynamics. FEMS Microbiol. Rev. 2017, 41, 109–130. [Google Scholar] [CrossRef]
 - Tedersoo, L.; Bahram, M.; Põlme, S.; Veldre, V.; Vahter, A.; Wang, M.; Kõljalg, U.; Abarenkov, K.; Adamo, M.; Alvarado, P.; et al. Global diversity and geography of soil fungi. Science 2014, 346, 1078. [Google Scholar] [CrossRef]
 - El-Baky, N.A.; Amara, A.A.A.F. Recent Approaches Towards Control of Fungal Diseases in Plants: An Updated Review. J. Fungi 2021, 7, 900. [Google Scholar] [CrossRef]
 - Talbot, J.M.; Allison, S.D.; Treseder, K.K. Decomposers in disguise: Mycorrhizal fungi as regulators of soil C dynamics in ecosystems under global change. Funct. Ecol. 2008, 22, 955–963. [Google Scholar] [CrossRef]
 - Phillips, R.P.; Fahey, T.J. Fertilization effects on fineroot biomass, rhizosphere microbes and respiratory fluxes in hardwood forest soils. New Phytol. 2007, 176, 655–664. [Google Scholar] [CrossRef]
 - Johnson, N.C.; Gehring, C.A. Mycorrhizas: Symbiotic mediators of rhizosphere and ecosystem processes. In Nucleic Acids and Proteins in Soil; Nannipieri, R.P., Smalla, K., Eds.; Springer: Berlin/Heidelberg, Germany, 2007; pp. 115–156. [Google Scholar] [CrossRef]
 - Dickie, I.A.; Koide, R.T.; Steiner, K.C. Influences of Established Trees on Mycorrhizas, Nutrition, and Growth of Quercus rubra Seedlings. Ecol. Monogr. 2002, 72, 505–521. [Google Scholar] [CrossRef]
 - Ibáñez, I.; McCarthy-Neumann, S. Effects of mycorrhizal fungi on tree seedling growth: Quantifying the parasitism–mutualism transition along a light gradient. Can. J. For. Res. 2016, 46, 48–57. [Google Scholar] [CrossRef]
 - Frene, J.P.; Lawson, S.S.; Lue Sue, N.D.; Crawford, R.H.; Gardner, T.G. Effects of tree species identity on soil microbial communities in Juglans nigra and Quercus rubra plantations. Front. Microbiol. 2024, 15. [Google Scholar] [CrossRef]
 - Gardner, T.G.; Frene, J.P.; Lawson, S.S.; Lue Sue, N.D.; Handy, J.; Crawford, R.H. The impact of tree species on microbial community structure and soil function on forest plantations in the Central Hardwoods Region (CHR). Forests 2023, 14, 859. [Google Scholar] [CrossRef]
 - Caspers, N.; Meier, U.; Hofmann, J. Optimizing Soil Texture Measurement with Laser Diffraction for Large-Scale Agricultural Studies. Precis. Agric. 2020, 21, 295–312. [Google Scholar] [CrossRef]
 - Cheng, H.; Liu, S.; Zhang, Y. Soil Texture and Organic Carbon Distribution in Agricultural Fields Under Different Management Practices. Geoderma 2018, 319, 126–135. [Google Scholar] [CrossRef]
 - Sparks, D.L.; Page, A.L. Soil pH measurement and interpretation. In Methods of Soil Analysis: Part 3—Chemical Methods; Soil Science Society of America, Inc.: Fitchburg, WI, USA, 1996; pp. 825–843. ISBN 0891188258. [Google Scholar]
 - Melkani, S.; Manirakiza, N.; Baker, S.M.; Bhadha, J.H. Current and Emerging Protocols for Carbon Measurement in Agricultural Soils. EDIS 2023, 2023. [Google Scholar] [CrossRef]
 - Rytter, R.M.; Rytter, L. Changes in Soil Chemistry in an Afforestation Experiment with Five Tree Species. Plant Soil 2020, 456, 425–437. [Google Scholar] [CrossRef]
 - Bray, R.H.; Kurtz, L.T. Determination of Total, Organic, and Available Forms of Phosphorus in Soils. Soil Sci. 1945, 59, 39–46. [Google Scholar] [CrossRef]
 - Murphy, J.; Riley, J.P. A Modified Single Solution Method for the Determination of Phosphate in Natural Waters. Anal. Chim. Acta 1962, 27, 31–36. [Google Scholar] [CrossRef]
 - Callahan, B.J.; McMurdie, P.J.; Rosen, M.J.; Han, A.W.; Johnson, A.J.A.; Holmes, S.P. DADA2: High-resolution sample inference from Illumina amplicon data. Nat. Methods 2016, 13, 581–583. [Google Scholar] [CrossRef]
 - Abarenkov, K.; Nilsson, R.H.; Larsson, K.-H.; Taylor, A.F.S.; May, T.W.; Frøslev, T.G.; Pawlowska, J.; Lindahl, B.; Põldmaa, K.; Truong, C.; et al. The UNITE database for molecular identification and taxonomic communication of fungi and other eukaryotes: Sequences, taxa and classifications reconsidered. Nucleic Acids Res. 2023, 52, D791–D797. [Google Scholar] [CrossRef]
 - Wickham, H. ggplot2: Elegant Graphics for Data Analysis; Springer: New York, NY, USA, 2016; ISBN 978-3-319-24277-4. [Google Scholar]
 - Bernreiter, A.; Teijeiro, R.G. Fungal biodiversity and forest soil health ecosystems. In Sustainable Soil Management as a Key to Preserve Soil Biodiversity and Stop Its Degradation; IUSS: Vienna, Austria, 2022; pp. 54–58. [Google Scholar] [CrossRef]
 - Rhoades, C.C.; Stokes, C. Soil nutrient dynamics in temperate forests: Effects of tree species composition. Ecol. Appl. 2020, 30, e02081. [Google Scholar] [CrossRef]
 - Peay, K.G.; Kennedy, P.G.; Hartmann, M. Spatial and temporal variation in the structure of fungal communities associated with a temperate forest. Mol. Ecol. 2016, 25, 20–39. [Google Scholar] [CrossRef]
 - Buyck, B.; Jančovičová, S.; Adamčík, S. The study of Russula in the western United States. Cryptogam. Mycol. 2015, 36, 193–211. [Google Scholar] [CrossRef]
 - Li, G.J.; Zhao, D.; Li, S.F.; Yang, Z.L.; Li, S.H.; Zhao, Y.Y. Russula chiui and R. pseudopectinatoides, two new species from southwestern China supported by morphological and molecular evidence. Mycol. Prog. 2015, 14, 33. [Google Scholar] [CrossRef]
 - Baba, T.; Hirose, D. Two novel Archaeorhizomyces species isolated from ericoid mycorrhizal roots and their association with ericaceous plants in vitro. Fungal Biol. 2024, 128, 1939–1953. [Google Scholar] [CrossRef]
 - Bononi, L.; Chiaramonte, J.B.; Pansa, C.C.; Moitinho, M.A.; Melo, I.S. Phosphorus-solubilizing Trichoderma spp. from Amazon soils improve soybean plant growth. Sci. Rep. 2020, 10, 2858. [Google Scholar] [CrossRef]
 - Rao, Y.; Zeng, L.; Jiang, H.; Mei, L.; Wang, Y. Trichoderma atroviride LZ42 releases volatile organic compounds promoting plant growth and suppressing Fusarium wilt disease in tomato seedlings. BMC Microbiol. 2022, 22, 88. [Google Scholar] [CrossRef]
 - Stewart, A.; Hill, R. Applications of Trichoderma in plant growth promotion. In Biotechnology and Biology of Trichoderma; Elsevier: Amsterdam, The Netherlands, 2014. [Google Scholar] [CrossRef]
 - Tyśkiewicz, R.; Nowak, A.; Ozimek, E.; Jaroszuk-Ściseł, J. Trichoderma: The current status of its application in agriculture for the biocontrol of fungal phytopathogens and stimulation of plant growth. Int. J. Mol. Sci. 2022, 23, 2329. [Google Scholar] [CrossRef]
 - Baldrian, P.; Valaskova, V. Degradation of Cellulose by Basidiomycetous Fungi. FEMS Microbiol. Rev. 2008, 32, 501–521. [Google Scholar] [CrossRef]
 - Gao, Y.; Wang, X.; Mao, Z.; Yang, L.; Jiang, Z.; Chen, X.; Aubrey, D.P. Changes in Soil Microbial Community Structure Following Different Tree Species Functional Traits Afforestation. Forests 2021, 12, 1018. [Google Scholar] [CrossRef]
 - Likulunga, L.E.; Pérez, C.A.R.; Schneider, D.; Daniel, R.; Polle, A. Tree Species Composition and Soil Properties in Pure and Mixed Beech-Conifer Stands Drive Soil Fungal Communities. For. Ecol. Manag. 2021, 502, 119709. [Google Scholar] [CrossRef]
 - Gacura, M.D.; Zak, D.R.; Blackwood, C.B. From Individual Leaves to Forest Stands: Importance of Niche, Distance Decay, and Stochasticity Vary by Ecosystem Type and Functional Group for Fungal Community Composition. FEMS Microbiol. Ecol. 2024, 100, fiae016. [Google Scholar] [CrossRef] [PubMed]
 - Boeraeve, M.; Honnay, O.; Jacquemyn, H. Effects of host species, environmental filtering and forest age on community assembly of ectomycorrhizal fungi in fragmented forests. Fungal Ecol. 2018, 36, 89–98. [Google Scholar] [CrossRef]
 - Beule, L.; Arndt, M.; Karlovsky, P. Relative Abundances of Species or Sequence Variants Can Be Misleading: Soil Fungal Communities as an Example. Microorganisms 2021, 9, 589. [Google Scholar] [CrossRef]
 - Wang, M.; Shi, S.; Lin, F.; Jiang, P. Response of the soil fungal community to multi-factor environmental changes in a temperate forest. Appl. Soil Ecol. 2014, 81, 45–56. [Google Scholar] [CrossRef]
 - Xue, L.; Ren, H.; Brodribb, T.J.; Wang, J.; Yao, X.; Li, S. Long-Term Effects of Management Practice Intensification on Soil Microbial Community Structure and Co-Occurrence Network in a Non-Timber Plantation. For. Ecol. Manag. 2019, 449, 117805. [Google Scholar] [CrossRef]
 - Hickman, K.J.E.; Atherton, K.F. Fungi Are the Future: Realizing the Potential of Fungi in Policy. MIT SPR 2024. Available online: https://sciencepolicyreview.pubpub.org/pub/av7npje2 (accessed on 20 October 2024).
 - Singavarapu, B.; Du, J.; Beugnon, R.; Cesarz, S.; Eisenhauer, N.; Xue, K.; Wang, Y.; Bruelheide, H.; Wubet, T. Functional Potential of Soil Microbial Communities and Their Subcommunities Varies with Tree Mycorrhizal Type and Tree Diversity. Microbiol. Spectr. 2023, 11. [Google Scholar] [CrossRef]
 - de Pereira, A.P.A.; Santana, M.C.; Zagatto, M.R.G.; Brandani, C.B.; Wang, J.-T.; Verma, J.P.; Singh, B.K.; Cardoso, E.J.B.N. Nitrogen-fixing Trees in Mixed Forest Systems Regulate the Ecology of Fungal Community and Phosphorus Cycling. Sci. Total Environ. 2021, 758, 143711. [Google Scholar] [CrossRef]
 - Yelle, D.J.; Ralph, J.; Lu, F.; Hammel, K.E. Evidence for cleavage of lignin by a brown rot basidiomycete. Environ. Microbiol. 2008, 10, 1844–1849. [Google Scholar] [CrossRef]
 - Seifert, K.A. Compendium of soil fungi—By Domsch, K.H.; Gams, W.; Anderson, T.H. Eur. J. Soil Sci. 2008, 59, 1007. [Google Scholar] [CrossRef]
 - Diagne, N.; Ngom, M.; Djighaly, P.I.; Fall, D.; Hocher, V.; Svistoonoff, S. Roles of arbuscular mycorrhizal fungi on plant growth and performance: Importance in biotic and abiotic stressed regulation. Diversity 2020, 12, 370. [Google Scholar] [CrossRef]
 - Wu, Y.; Kwak, J.H.; Karst, J.; Ni, M.; Yan, Y.; Lv, X.; Xu, J.; Chang, S.X. Long-term nitrogen and sulfur deposition increased root-associated pathogen diversity and changed mutualistic fungal diversity in a boreal forest. Soil Biol. Biochem. 2021, 155, 108163. [Google Scholar] [CrossRef]
 - Boer, W.D.; Folman, L.B.; Summerbell, R.C.; Boddy, L. Living in a fungal world: Impact of fungi on soil bacterial niche development. FEMS Microbiol. Rev. 2005, 29, 795–811. [Google Scholar] [CrossRef]
 - Lynd, L.R.; Weimer, P.J.; Van Zyl, W.H.; Pretorius, I.S. Microbial cellulose utilization: Fundamentals and biotechnology. Micro. Mol. Biol. Rev. 2002, 66, 506–577. [Google Scholar] [CrossRef]
 - Bui, A.; Orr, D.; Lepori-Bui, M.; Konicek, K.; Young, H.S.; Moeller, H.V. Soil fungal community composition and functional similarity shift across distinct climatic conditions. FEMS Microbiol. Ecol. 2020, 96, fiaa193. [Google Scholar] [CrossRef]
 





| Species | Corg (%) | Ning | Pav | pH | |
|---|---|---|---|---|---|
| Michigan | J. nigra | 1.84 | 12.1 | 26.9 | 6.46 | 
| Q. rubra | 1.48 | 9.04 | 16.7 | 6 | |
| South Indiana | J. nigra | 2.1 | 10.3 | 26.6 | 6.64 | 
| Q. rubra | 1.08 | 7.36 | 9.86 | 5.56 | |
| West Indiana | J. nigra | 2 | 15.3 | 15.4 | 7.04 | 
| Q. rubra | 1.28 | 6.76 | 21 | 5.5 | 
| Parameter | Corg (%) | Nin | Pav | pH | 
|---|---|---|---|---|
| Shannon index | 0.26 | 0.39 * | −0.02 | 0.44 * | 
| Basidiomycota | −0.49 ** | −0.49 * | −0.18 | −0.51 ** | 
| Ascomycota | 0.52 ** | 0.42 ** | 0.2 | 0.55 *** | 
| Chytridiomycota | −0.15 | −0.31 | −0.22 | −0.3 | 
| Mortierellomycota | −0.30 | 0.06 | −0.14 | −0.18 | 
| Glomeromycota | 0.2 | 0.06 | 0.01 | 0.09 | 
Disclaimer/Publisher’s Note: The statements, opinions and data contained in all publications are solely those of the individual author(s) and contributor(s) and not of MDPI and/or the editor(s). MDPI and/or the editor(s) disclaim responsibility for any injury to people or property resulting from any ideas, methods, instructions or products referred to in the content.  | 
© 2024 by the authors. Licensee MDPI, Basel, Switzerland. This article is an open access article distributed under the terms and conditions of the Creative Commons Attribution (CC BY) license (https://creativecommons.org/licenses/by/4.0/).
Share and Cite
Lawson, S.S.; Frene, J.P.; Lue Sue, N.D. Fungal Footprints: Soil Fungal Communities in Black Walnut and Red Oak Forests. Microorganisms 2024, 12, 2184. https://doi.org/10.3390/microorganisms12112184
Lawson SS, Frene JP, Lue Sue ND. Fungal Footprints: Soil Fungal Communities in Black Walnut and Red Oak Forests. Microorganisms. 2024; 12(11):2184. https://doi.org/10.3390/microorganisms12112184
Chicago/Turabian StyleLawson, Shaneka S., Juan P. Frene, and Niall D. Lue Sue. 2024. "Fungal Footprints: Soil Fungal Communities in Black Walnut and Red Oak Forests" Microorganisms 12, no. 11: 2184. https://doi.org/10.3390/microorganisms12112184
APA StyleLawson, S. S., Frene, J. P., & Lue Sue, N. D. (2024). Fungal Footprints: Soil Fungal Communities in Black Walnut and Red Oak Forests. Microorganisms, 12(11), 2184. https://doi.org/10.3390/microorganisms12112184
        
                                                