Ruminal Fluid Transplantation Accelerates Rumen Microbial Remodeling and Improves Feed Efficiency in Yaks
Abstract
Simple Summary
Abstract
1. Introduction
2. Materials and Methods
2.1. Animals, Diets, and Trial Design
2.2. Sample Collection and Measurement
2.3. 16s rRNA Gene Amplification and MiSeq Sequencing
2.4. Sequence and Rumen Microflora Processing
2.5. Statistical Analysis
3. Results
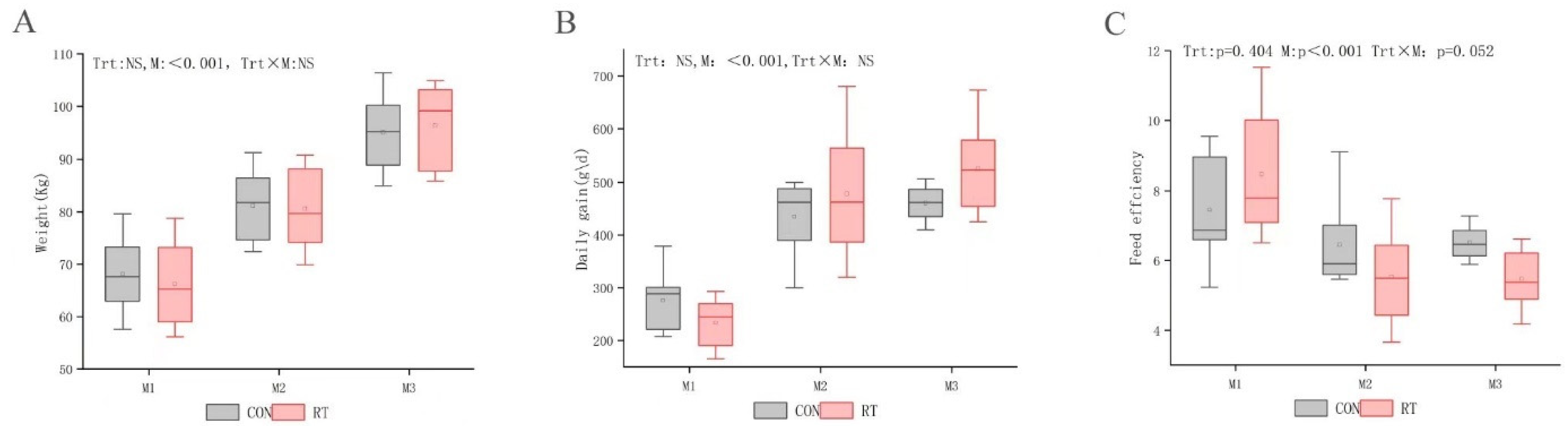
3.1. Effect of Rumen Fluid Transplantation on Growth Performance and Blood Metabolites in Yaks
3.2. Effect of Rumen Fluid Transplantation on VFA in Yaks
3.3. Effect of Rumen Fluid Transplantation on Rumen Bacterial Diversity
3.4. Effect of Rumen Fluid Transplantation on Changes in Bacterial Composition
3.5. Correlation Heatmap Analysis of Bacterial Communities
3.6. PICRUSt2 Function Prediction
4. Discussion
Supplementary Materials
Author Contributions
Funding
Institutional Review Board Statement
Informed Consent Statement
Data Availability Statement
Conflicts of Interest
References
- Zhang, X.; Xu, T.; Wang, X.; Geng, Y.; Zhao, N.; Hu, L.; Liu, H.; Kang, S.; Xu, S. Effect of dietary protein levels on dynamic changes and interactions of ruminal microbiota and metabolites in yaks on the Qinghai-Tibetan Plateau. Front. Microbiol. 2021, 12, 684340. [Google Scholar] [CrossRef]
- Fan, Q.; Wanapat, M.; Hou, F. Mineral nutritional status of yaks (Bos grunniens) grazing on the Qinghai-Tibetan Plateau. Animals 2019, 9, 468. [Google Scholar] [CrossRef]
- Shi, F.; Wang, H.; Degen, A.A.; Zhou, J.; Guo, N.; Mudassar, S.; Long, R. Rumen parameters of yaks (Bos grunniens) and indigenous cattle (Bos taurus) grazing on the Qinghai-Tibetan Plateau. J. Anim. Physiol. Anim. Nutr. 2019, 4, 969–976. [Google Scholar] [CrossRef]
- Wang, X.; Xu, T.; Zhang, X.; Zhao, N.; Hu, L.; Liu, H.; Zhang, Q.; Geng, Y.; Kang, S.; Xu, S. The response of ruminal microbiota and metabolites to different dietary protein levels in Tibetan sheep on the Qinghai-Tibetan Plateau. Front. Vet. Sci. 2022, 29, 922817. [Google Scholar] [CrossRef]
- Depeters, E.J.; George, L.W. Rumen transfaunation. Immunol. Lett. 2014, 162, 69–76. [Google Scholar] [CrossRef]
- Liu, W.; Wang, Q.; Song, J.; Xin, J.; Zhang, S.; Lei, Y.; Yang, Y.; Xie, P.; Suo, H. Comparison of gut microbiota of yaks from different geographical regions. Front. Microbiol. 2021, 12, 666940. [Google Scholar] [CrossRef]
- Henderson, G.; Cox, F.; Ganesh, S.; Jonker, A.; Young, W.; Global Rumen Census Collaborators; Janssen, P.H. Rumen microbial community composition varies with diet and host, but a core microbiome is found across a wide geographical range. Sci. Rep. 2015, 5, 14567. [Google Scholar] [CrossRef]
- Zhou, Z.; Fang, L.; Meng, Q.; Li, S.; Chai, S.; Liu, S.; Schonewille, J.T. Assessment of ruminal bacterial and archaeal community structure in yak (Bos grunniens). Front. Microbiol. 2017, 8, 179. [Google Scholar] [CrossRef]
- Morgavi, D.P.; Rathahao-Paris, E.; Popova, M.; Boccard, J.; Nielsen, K.F.; Boudra, H. Rumen microbial communities influence metabolic phenotypes in lambs. Front. Microbiol. 2015, 6, 1060. [Google Scholar] [CrossRef]
- Xin, J.; Chai, Z.; Zhang, C.; Zhang, Q.; Zhu, Y.; Cao, H.; Zhong, J.; Ji, Q. Comparing the microbial community in four stomach of dairy cattle, yellow cattle and three yak herds in Qinghai-Tibetan Plateau. Front. Microbiol. 2019, 10, 1547. [Google Scholar] [CrossRef]
- Mu, Y.Y.; Qi, W.P.; Zhang, T.; Zhang, J.Y.; Mei, S.J.; Mao, S.Y. Changes in rumen fermentation and bacterial community in lactating dairy cows with subacute rumen acidosis following rumen content transplantation. J. Dairy Sci. 2021, 104, 10780–10795. [Google Scholar] [CrossRef]
- Malmuthuge, N.; Guan, L.L. Gut microbiome and omics: A new definition to ruminant production and health. Anim. Front. 2016, 6, 8–12. [Google Scholar] [CrossRef]
- Kim, K.A.; Gu, W.; Lee, I.A.; Joh, E.H.; Kim, D.H. High fat diet-induced gut microbiota exacerbates inflammation and obesity in mice via the TLR4 signaling pathway. PLoS ONE 2012, 7, e47713. [Google Scholar] [CrossRef]
- Ribeiro, G.O.; Oss, D.B.; He, Z.; Gruninger, R.J.; Elekwachi, C.; Forster, R.J.; Yang, W.; Beauchemin, K.A.; McAllister, T.A. Repeated inoculation of cattle rumen with bison rumen contents alters the rumen microbiome and improves nitrogen digestibility in cattle. Sci. Rep. 2017, 1, 1276. [Google Scholar] [CrossRef]
- Bu, D.; Zhang, X.; Ma, L.; Park, T.; Wang, L.; Wang, M.; Xu, J.; Yu, Z. Repeated Inoculation of Young Calves with Rumen Microbiota Does Not Significantly Modulate the Rumen Prokaryotic Microbiota Consistently but Decreases Diarrhea. Front. Microbiol. 2020, 11, 1403. [Google Scholar] [CrossRef]
- Ji, S.; Jiang, T.; Yan, H.; Guo, C.; Liu, J.; Su, H.; Alugongo, G.M.; Shi, H.; Wang, Y.; Cao, Z.; et al. Ecological restoration of antibiotic-disturbed gastrointestinal microbiota in foregut and hindgut of cows. Front. Cell Infect. Microbiol. 2018, 8, 79. [Google Scholar] [CrossRef]
- Steiner, S.; Linhart, N.; Neidl, A.; Baumgartner, W.; Tichy, A.; Wittek, T. Evaluation of the therapeutic efficacy of rumen transfaunation. J. Anim. Physiol. Anim. Nutr. 2019, 104, 56–63. [Google Scholar] [CrossRef] [PubMed]
- Pounden, W.D.; Hibbs, J.W. The influence of the ratio of grain to hay in the ration of dairy calves on certain rumen microorganisms. J. Dairy Sci. 1948, 31, 1051–1054. [Google Scholar] [CrossRef]
- Cox, M.S.; Weimer, P.J.; Steinberger, A.J.; Skarlupka, J.H.; Suen, G. 166 Altering the ruminal microbiota in dairy calves using rumen contents dosing. J. Sci. 2020, 98, 135–136. [Google Scholar] [CrossRef]
- Caporaso, J.G.; Kuczynski, J.; Stombaugh, J.; Bittinger, K.; Bushman, F.D.; Costello, E.K.; Fierer, N.; Peña, A.G.; Goodrich, J.K.; Gordon, J.I.; et al. QIIME allows analysis of high-throughput community sequencing data. Nat. Methods. 2010, 7, 335–336. [Google Scholar] [CrossRef] [PubMed]
- Edgar, R.C. Search and clustering orders of magnitude faster than BLAST. Bioinformatics 2010, 26, 2460–2461. [Google Scholar] [CrossRef]
- Pruesse, E.; Quast, C.; Knittel, K.; Fuchs, B.M.; Ludwig, W.; Peplies, J.; Glöckner, F.O. Silva: A comprehensive online resource for quality checked and aligned ribosomal RNA sequence data compatible with ARB. Nucleic Acids Res. 2007, 35, 7188–7196. [Google Scholar] [CrossRef]
- Liou, A.P.; Paziuk, M.; Luevano, J.M.J.; Machineni, S.; Turnbaugh, P.J.; Kaplan, L.M. Conserved shifts in the gut microbiota due to gastric bypass reduce host weight and adiposity. Sci. Transl. Med. 2013, 178, 178ra41. [Google Scholar] [CrossRef]
- Muscato, T.V.; Tedeschi, L.O.; Russell, J.B. The effect of ruminal fluid preparations on the growth and health of newborn, milk-fed dairy calves. J. Dairy Sci. 2002, 85, 648–656. [Google Scholar] [CrossRef]
- Cersosimo, L.M.; Radloff, W.; Zanton, G.I. Microbial inoculum composition and pre-weaned dairy calf age alter the developing rumen microbial environment. Front. Microbiol. 2019, 10, 1651. [Google Scholar] [CrossRef] [PubMed]
- Cai, Y.; Chen, L.; Zhang, S.; Zeng, L.; Zeng, G. The role of gut microbiota in infectious diseases. Wires Mech. Dis. 2022, 14, e1551. [Google Scholar] [CrossRef]
- Graugnard, D.E.; Bionaz, M.; Trevisi, E.; Moyes, K.M.; Salak-Johnson, J.L.; Wallace, R.L.; Drackley, J.K.; Bertoni, G.; Loor, J.J. Blood immunometabolic indices and polymorphonuclear neutrophil function in peripartum dairy cows are altered by level of dietary energy prepartum. J. Dairy Sci. 2012, 95, 1749–1758. [Google Scholar] [CrossRef] [PubMed]
- Vicari, T.; van den Borne, J.J.G.C.; Gerrits, W.J.J.; Zbinden, Y.; Blum, J.W. Postprandial blood hormone and metabolite concentrations influenced by feeding frequency and feeding level in veal calves. Domest. Anim. Endocrinol. 2008, 34, 74–88. [Google Scholar] [CrossRef]
- Knowles, T.A.; Southern, L.L.; Bidner, T.D.; Kerr, B.J.; Friesen, K.G. Effect of dietary fiber or fat in low-crude protein, crystalline amino acid-supplemented diets for finishing pigs. J. Anim. Sci. 1998, 76, 2818–2832. [Google Scholar] [CrossRef] [PubMed]
- Liu, J.; Li, H.; Zhu, W.; Mao, S. Dynamic changes in rumen fermentation and bacterial community following rumen fluid transplantation in a sheep model of rumen acidosis: Implications for rumen health in ruminants. FASEB J. 2019, 33, 8453–8467. [Google Scholar]
- De, M.T.; Vandaele, L.; Peiren, N.; Haegeman, A.; Ruttink, T.; De Campeneere, S.; Van De Wiele, T.; Goossens, K. Cow responses and evolution of the rumen bacterial and methanogen community following a complete rumen content transfer. J. Agric. Sci. 2018, 8, 1047–1058. [Google Scholar]
- Bi, Y.L.; Zeng, S.Q.; Zhang, R.; Diao, Q.Y.; Tu, Y. Effects of dietary energy levels on rumen bacterial community composition in Holstein heifers under the same forage to concentrate ratio condition. BMC Microbiol. 2018, 18, 69. [Google Scholar] [CrossRef]
- Evans, N.J.; Brown, J.M.; Murray, R.D.; Getty, B.; Birtles, R.J.; Hart, C.A.; Carter, S.D. Characterization of novel bovine gastrointestinal tract Treponema isolates and comparison with bovine digital dermatitis treponemes. Appl. Environ. Microbiol. 2011, 77, 138–147. [Google Scholar] [CrossRef]
- Reigstad, C.S.; Kashyap, P.C. Beyond phylotyping: Understanding the impact of gut microbiota on host biology. Neurogastroenterol. Motil. 2013, 25, 358–372. [Google Scholar] [CrossRef] [PubMed]
- Greiner, L.; Graham, A.; Goncalves, M.; Orlando, U.; Touchette, K.J. Evaluation of the optimal standardized ileal digestible threonine:lysine ratio in lactating sow diets. J. Anim. Sci. 2019, 97, 2972–2978. [Google Scholar] [CrossRef]
- Xu, J.; Gordon, J.I. Honor thy symbionts. Proc. Natl. Acad. Sci. USA 2003, 18, 10452–10459. [Google Scholar] [CrossRef]
- Biddle, A.; Stewart, L.; Blanchard, J.; Leschine, S. Untangling the genetic basis of fibrinolytic specialization by Lachnospiraceae and Ruminococcaceae in diverse gut communities. Diversity 2013, 5, 627–640. [Google Scholar] [CrossRef]
- Waters, J.L.; Ley, R.E. The human gut bacteria Christensenellaceae are widespread, heritable, and associated with health. BMC Biol. 2019, 17, 83. [Google Scholar] [CrossRef]
- Van, M.; Voelker, D.R.; Feigenson, G.W. Membrane lipids: Where they are and how they behave. Nat. Rev. Mol. Cell Biol. 2008, 9, 112–124. [Google Scholar]






| Ingredients | Content (%) |
|---|---|
| Ingredients | |
| Com | 50.00 |
| Wheat | 19.00 |
| Rapeseed meal | 6.00 |
| Soybean meal | 20.00 |
| CaHPO4 | 1.00 |
| Premix (1) | 4.00 |
| Total | 100.00 |
| Nutrient levels (2) | 94.96 |
| DM | 15.85 |
| CP | 2.63 |
| EE | 44.53 |
| NDF | 25.18 |
| ADF | 0.87 |
| Ca | 0.46 |
| P |
| Blood Metabolites | CON | RT | SEM | p-Value | ||||||
|---|---|---|---|---|---|---|---|---|---|---|
| Day 4 | Day 28 | Day 90 | Day 4 | Day 28 | Day 90 | Group | Day | Group*Day | ||
| ALB | 30.79 | 30.4 b | 31.36 | 29.65 | 30.65 a | 31.31 | 2.11 | 0.62 | 0.32 | 0.63 |
| ALP | 40.75 | 146.38 | 193.63 | 94 | 143.25 | 170.38 | 64.93 | 0.47 | 0.00 | 0.04 |
| ALT | 23.5 | 26.25 | 31.88 | 24.88 | 30.5 | 30.88 | 9.71 | 0.58 | 0.12 | 0.75 |
| AST | 79.13 | 75.75 | 96.13 | 91 | 82 | 95 | 17.87 | 0.25 | 0.03 | 0.56 |
| Ca | 1.11 b | 2.22 | 2.29 b | 2.25 a | 2.29 | 2.37 a | 0.64 | 0.00 | 0.00 | 0.00 |
| GLU | 4.42 | 4.68 b | 5.28 | 4.65 | 5.23 a | 5.41 | 0.57 | 0.02 | 0.00 | 0.40 |
| LDH | 780.75 | 776.88 | 874.25 | 834.13 | 808.75 | 904.13 | 107.88 | 0.20 | 0.02 | 0.94 |
| TP | 56.25 b | 59.04 | 57.38 b | 58.27 a | 63.7 | 60.95 a | 3.99 | 0.00 | 0.00 | 0.53 |
| UN | 2.27 | 3.35 | 4.01 | 1.78 | 3.18 | 3.52 | 1.30 | 0.23 | 0.00 | 0.89 |
| P | 2.44 | 2.68 | 2.89 | 2.82 | 2.69 | 2.73 | 0.30 | 0.34 | 0.19 | 0.03 |
| CHOL | 1.84 | 1.65 b | 1.97 | 1.77 | 2.11 a | 2.3 | 0.38 | 0.01 | 0.02 | 0.07 |
| TG | −0.02 | 0.06 | 0.21 | 0.02 | 0.12 | 0.22 | 0.12 | 0.10 | 0.00 | 0.75 |
| VFA | Treatment Groups | SEM | p-Value | |||||||||||||
|---|---|---|---|---|---|---|---|---|---|---|---|---|---|---|---|---|
| CON | RT | |||||||||||||||
| Day 4 | Day 7 | Day 14 | Day 28 | Day 60 | Day 90 | Day 4 | Day 7 | Day 14 | Day 28 | Day 60 | Day 90 | Group | Day | Group*Day | ||
| Acetate | 42.22 | 44.90 | 47.56 | 35.47 | 36.60 | 43.93 | 41.29 | 52.45 | 49.43 | 40.26 | 34.56 | 44.09 | 1.037 | 0.314 | 0.000 | 0.677 |
| Propionate | 12.33 | 16.26 | 17.34 | 9.74 | 9.05 | 9.49 | 10.72 | 13.79 | 14.13 | 10.02 | 8.21 | 11.65 | 1.038 | 0.239 | 0.000 | 0.424 |
| Isobutyrate | 0.52 | 0.41 b | 0.49 | 0.43 b | 0.40 b | 0.64 | 0.56 | 0.83 a | 0.64 | 0.73 a | 0.66 a | 0.73 | 1.038 | 0.000 | 0.246 | 0.055 |
| Butyrate | 7.12 | 7.40 b | 8.22 | 7.72 | 4.95 | 5.60 | 8.29 | 11.54 a | 9.44 | 6.49 | 6.98 | 8.57 | 0.781 | 0.005 | 0.013 | 0.171 |
| Isovalerate | 0.48 | 0.54 | 0.72 | 0.84 | 0.62 | 0.83 | 0.48 | 0.70 | 0.64 | 0.69 | 0.68 | 0.70 | 0.533 | 0.613 | 0.003 | 0.273 |
| Valerate | 0.30 | 0.40 | 0.40 | 0.33 | 0.15 | 0.24 | 0.30 | 0.46 | 0.41 | 0.22 | 0.26 | 0.44 | 0.473 | 0.266 | 0.019 | 0.352 |
| Acetate Propionate | 3.75 | 2.94 | 3.02 | 3.8 | 4.1 | 4.76 | 3.86 | 3.82 | 3.53 | 4.11 | 4.39 | 3.97 | 0.08 | 0.107 | 0.000 | 0.016 |
| Time | Group | Observed OTUs | Shannon Diversity | Simpson |
|---|---|---|---|---|
| Day 4 | CON | 1989 ± 215 | 7.1 ± 1.12 | 0.95 ± 0.06 |
| RT | 2159 ± 130 | 8.94 ± 0.24 | 0.99 ± 0 | |
| Day 7 | CON | 1922 ± 249 | 7.47 ± 1.18 | 0.94 ± 0.08 |
| RT | 2104 ± 138 | 8.8 ± 0.24 | 0.99 ± 0 | |
| Day 14 | CON | 1980 ± 150 | 7.98 ± 0.75 | 0.98 ± 0.02 |
| RT | 2045 ± 130 | 8.54 ± 0.19 | 0.99 ± 0 | |
| Day 28 | CON | 1895 ± 135 | 8.11 ± 0.27 | 0.98 ± 0 |
| RT | 2296 ± 176 | 8.86 ± 0.17 | 0.99 ± 0 | |
| Day 60 | CON | 1993 ± 69 | 8.38 ± 0.3 | 0.99 ± 0.01 |
| RT | 2135 ± 100 | 8.58 ± 0.24 | 0.99 ± 0 | |
| Day 90 | CON | 1899 ± 89 | 8.45 ± 0.29 | 0.99 ± 0 |
| RT | 1824 ± 156 | 7.97 ± 0.19 | 0.98 ± 0 | |
| p-value | Day | 0.017 | 0.362 | 0.416 |
| Trt | <0.001 | <0.001 | 0.013 | |
| Trt × Day | 0.034 | 0.001 | 0.181 |
| Genus | Relative Abundance, % | SEM | p-Value | |||||||||||||
|---|---|---|---|---|---|---|---|---|---|---|---|---|---|---|---|---|
| CON | 1.30 | |||||||||||||||
| Day 4 | Day 7 | Day 14 | Day 28 | Day 60 | Day 90 | Day 4 | Day 7 | Day 14 | Day 28 | Day 60 | Day 90 | Group | Day | Group*Day | ||
| Prevotella | 23.51 | 30.95 | 26.33 | 19.95 | 12.03 | 16.50 | 13.98 | 19.44 | 23.29 | 10.38 | 15.68 | 20.45 | 1.30 | 0.074 | 0.033 | 0.234 |
| Rikenellaceae _RC9_gut_group | 4.22 | 6.20 | 10.07 | 12.24 | 15.93 | 13.10 | 11.76 a | 11.29 a | 12.73 | 11.49 | 13.29 | 10.97 | 0.46 | 0.085 | 0.002 | 0.012 |
| Christensenellaceae _R-7_group | 1.54 | 1.58 | 1.97 | 2.33 | 3.75 | 3.30 | 3.01 a | 2.51 a | 2.33 | 3.76 a | 3.01 | 3.18 | 0.12 | 0.002 | 0.000 | 0.001 |
| Ruminococcus | 0.76 | 1.17 | 1.77 | 2.05 | 3.15 a | 2.70 | 2.19 a | 2.18 a | 1.60 | 2.20 | 1.93 | 2.69 | 0.10 | 0.069 | 0.000 | 0.000 |
| Ruminococcaceae _NK4A214_group | 0.74 | 0.79 | 1.51 | 1.83 | 2.81 | 2.43 | 2.15 a | 2.16 a | 1.78 | 2.66 a | 2.43 | 1.90 | 0.10 | 0.000 | 0.000 | 0.000 |
| Prevotellaceae _UCG-004 | 0.38 | 0.83 | 1.28 | 1.33 | 1.45 | 1.15 | 2.39 a | 2.21 a | 4.04 a | 2.37 | 2.01 | 0.82 | 0.16 | 0.000 | 0.001 | 0.002 |
| Saccharofermentans | 0.95 | 1.13 | 1.60 | 1.75 | 2.38 a | 2.08 a | 1.93 a | 1.90 a | 1.42 | 1.99 | 1.63 | 1.39 | 0.07 | 0.568 | 0.014 | 0.000 |
| Prevotellaceae _UCG-003 | 1.21 | 1.10 | 1.30 | 2.07 | 1.18 | 1.58 | 2.10 a | 2.04 a | 2.12 a | 1.55 | 2.01 a | 1.19 | 0.09 | 0.011 | 0.754 | 0.021 |
| Lachnospiraceae _ND3007_group | 0.16 | 0.44 | 0.85 | 2.17 | 2.64 | 2.14 | 1.91 | 3.80 a | 1.29 | 2.19 | 1.15 | 0.55 | 0.24 | 0.345 | 0.449 | 0.014 |
| Quinella | 0.46 | 0.91 | 2.77 a | 2.57 | 2.07 | 1.01 | 1.51 | 1.46 | 1.08 | 1.73 | 1.00 | 0.52 | 0.16 | 0.149 | 0.045 | 0.065 |
| Succiniclasticum | 1.51 | 0.67 | 1.23 | 1.74 | 1.25 | 1.62 | 1.04 | 1.00 | 0.82 | 1.75 | 2.05 | 2.20 | 0.13 | 0.585 | 0.113 | 0.625 |
| Oscillospira | 0.06 | 0.25 | 0.70 | 0.49 | 0.82 | 0.94 a | 1.65 a | 1.70 | 1.79 a | 4.26 a | 1.95 a | 0.47 | 0.17 | 0.000 | 0.000 | 0.000 |
| Prevotellaceae _UCG-001 | 0.89 | 1.18 | 1.01 | 1.39 a | 1.31 | 1.13 | 0.98 | 1.20 | 1.20 | 0.53 | 0.81 | 1.12 | 0.08 | 0.279 | 0.939 | 0.391 |
| Succinimonas | 7.40 | 2.91 | 1.01 | 0.37 | 0.17 | 0.05 | 0.24 a | 0.05 | 0.19 | 0.09 | 0.03 | 0.14 | 0.61 | 0.132 | 0.458 | 0.495 |
| Selenomonas | 0.54 | 0.51 | 0.97 | 1.54 a | 0.97 | 1.08 | 1.19 a | 1.55 | 0.92 | 0.94 | 0.96 | 1.42 | 0.06 | 0.034 | 0.187 | 0.001 |
Disclaimer/Publisher’s Note: The statements, opinions and data contained in all publications are solely those of the individual author(s) and contributor(s) and not of MDPI and/or the editor(s). MDPI and/or the editor(s) disclaim responsibility for any injury to people or property resulting from any ideas, methods, instructions or products referred to in the content. |
© 2023 by the authors. Licensee MDPI, Basel, Switzerland. This article is an open access article distributed under the terms and conditions of the Creative Commons Attribution (CC BY) license (https://creativecommons.org/licenses/by/4.0/).
Share and Cite
Li, Y.; Yang, Y.; Chai, S.; Pang, K.; Wang, X.; Xu, L.; Chen, Z.; Li, Y.; Dong, T.; Huang, W.; et al. Ruminal Fluid Transplantation Accelerates Rumen Microbial Remodeling and Improves Feed Efficiency in Yaks. Microorganisms 2023, 11, 1964. https://doi.org/10.3390/microorganisms11081964
Li Y, Yang Y, Chai S, Pang K, Wang X, Xu L, Chen Z, Li Y, Dong T, Huang W, et al. Ruminal Fluid Transplantation Accelerates Rumen Microbial Remodeling and Improves Feed Efficiency in Yaks. Microorganisms. 2023; 11(8):1964. https://doi.org/10.3390/microorganisms11081964
Chicago/Turabian StyleLi, Yan, Yingkui Yang, Shatuo Chai, Kaiyue Pang, Xun Wang, Linpeng Xu, Zheng Chen, Yumin Li, Tanqin Dong, Weihua Huang, and et al. 2023. "Ruminal Fluid Transplantation Accelerates Rumen Microbial Remodeling and Improves Feed Efficiency in Yaks" Microorganisms 11, no. 8: 1964. https://doi.org/10.3390/microorganisms11081964
APA StyleLi, Y., Yang, Y., Chai, S., Pang, K., Wang, X., Xu, L., Chen, Z., Li, Y., Dong, T., Huang, W., Liu, S., & Wang, S. (2023). Ruminal Fluid Transplantation Accelerates Rumen Microbial Remodeling and Improves Feed Efficiency in Yaks. Microorganisms, 11(8), 1964. https://doi.org/10.3390/microorganisms11081964
