Effects of Ion Combinations and Their Concentrations on Denitrification Performance and Gene Expressions of an Aerobic Strain Marinobacter Hydrocarbonoclasticus RAD-2
Abstract
1. Introduction
2. Materials and Methods
2.1. Characteristics of the Aerobic Denitrification Strain RAD-2
2.2. Effects of Different Combinations of Ions on Aerobic Denitrification Performance
2.3. Effect of Salinity on Aerobic Denitrification Efficiency of Strain RAD-2
2.4. RT-qPCR Analysis
2.5. Analytical Methods
3. Results
3.1. Effects of Different Combinations of Ions on Aerobic Denitrification Performance
3.1.1. Effectiveness Comparison for Different Combinations of Microelement Ions
3.1.2. Further Discrimination for Different Effect of Na+, K+ and Cl-
3.1.3. The Threshold of Cl- Concentration for Effective Nitrogen Removal
3.2. Effect of Salinity on Aerobic Denitrification Efficiency of Strain RAD-2
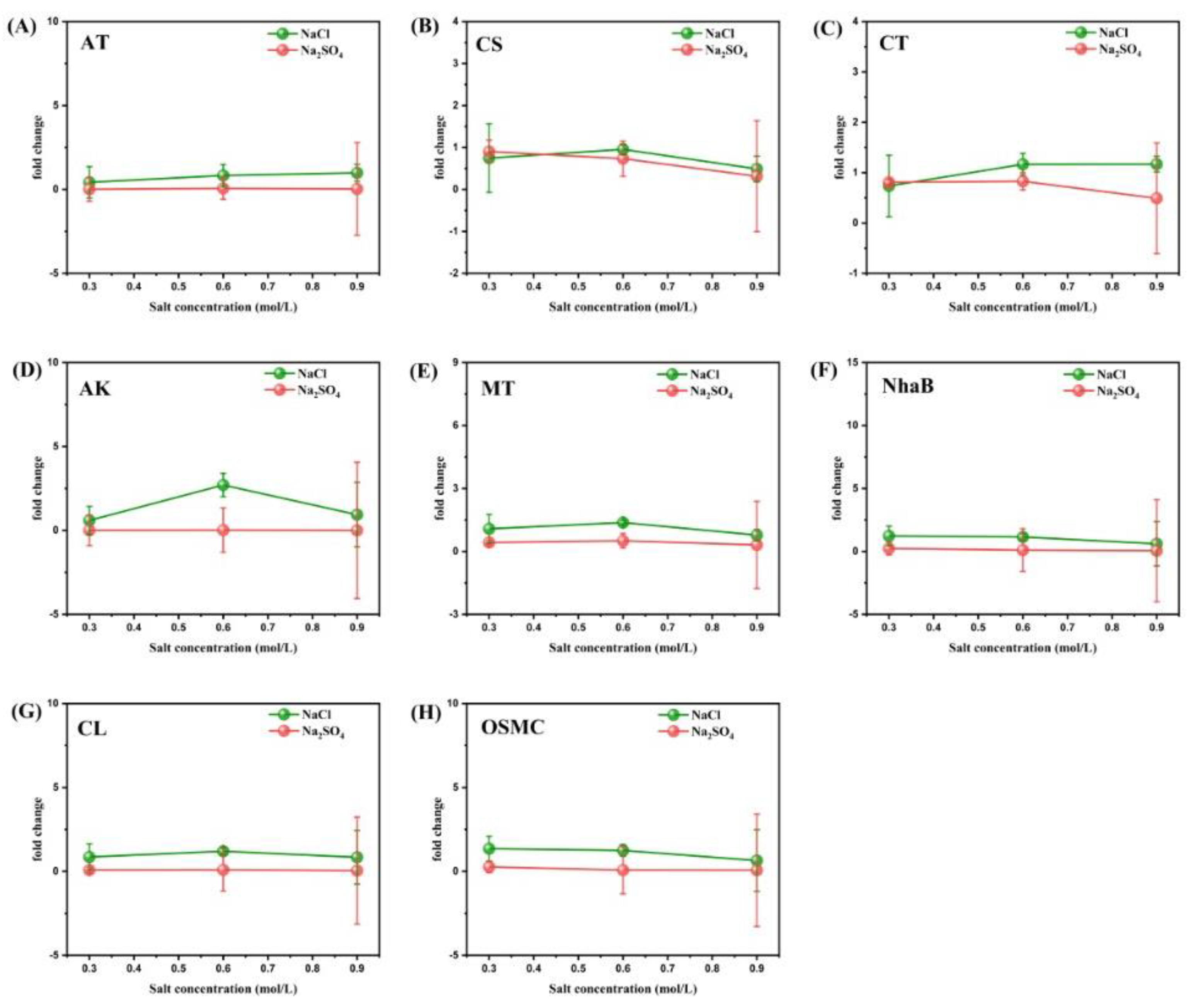
3.3. Expression of Denitrifying Genes by RT-qPCR Analysis
4. Discussion
4.1. Effects of Different Combinations of Ions on Aerobic Denitrification Performance
4.1.1. Effectiveness Comparison for Different Combinations of Microelement Ions
4.1.2. Further Discrimination for Different Effect of Na+, K+ and Cl-
4.1.3. The Threshold of Cl- Concentration for Effective Nitrogen Removal
4.2. Effect of Salinity on Aerobic Denitrification Efficiency of Strain RAD-2
4.3. Expression of Denitrifying Genes by RT-qPCR Analysis
5. Conclusions
Supplementary Materials
Author Contributions
Funding
Data Availability Statement
Acknowledgments
Conflicts of Interest
References
- Camargo, J.A.; Alonso, Á. Ecological and toxicological effects of inorganic nitrogen pollution in aquatic ecosystems: A global assessment. Environ. Int. 2006, 32, 831–849. [Google Scholar] [CrossRef]
- Wang, J.; Chu, L. Biological nitrate removal from water and wastewater by solid-phase denitrification process. Biotechnol. Adv. 2016, 34, 1103–1112. [Google Scholar] [CrossRef]
- Robertson, L.A.; Kuenen, J.G. Aerobic denitrification—Old wine in new bottles? Antonie Van Leeuwenhoek 1984, 50, 525–544. [Google Scholar] [CrossRef]
- Ji, B.; Yang, K.; Zhu, L.; Jiang, Y.; Wang, H.; Zhou, J.; Zhang, H. Aerobic denitrification: A review of important advances of the last 30 years. Biotechnol. Bioprocess Eng. 2015, 20, 643–651. [Google Scholar] [CrossRef]
- Zumft, W.G. Cell biology and molecular basis of denitrification. Microbiol. Mol. Biol. Rev. 1997, 61, 533–616. [Google Scholar]
- Chen, J.; Strous, M. Denitrification and aerobic respiration, hybrid electron transport chains and co-evolution. Bioenergetics 2013, 1827, 136–144. [Google Scholar] [CrossRef]
- Deng, Y.; Ruan, Y.; Ma, B.; Timmons, M.B.; Lu, H.; Xu, X.; Zhao, H.; Yin, X. Multi-omics analysis reveals niche and fitness differences in typical denitrification microbial aggregations. Environ. Int. 2019, 132, 105085. [Google Scholar] [CrossRef] [PubMed]
- Ruan, Y.; Awasthi, M.K.; Cai, L.; Lu, H.; Xu, X.; Li, W. Simultaneous aerobic denitrification and antibiotics degradation by strain Marinobacter hydrocarbonoclasti-cus RAD-2. Bioresour. Technol. 2020, 313, 123609. [Google Scholar] [CrossRef] [PubMed]
- Huang, T.; Guo, L.; Zhang, H.; Su, J.; Wen, G.; Zhang, K. Nitrogen-removal efficiency of a novel aerobic denitrifying bacterium, Pseudomonas stutzeri strain ZF31, isolated from a drinking-water reservoir. Bioresour. Technol. 2015, 196, 209–216. [Google Scholar] [CrossRef] [PubMed]
- Qi, W.; Taherzadeh, M.J.; Ruan, Y.; Deng, Y.; Chen, J.S.; Lu, H.F.; Xu., X.Y. Denitrification performance and microbial communities of solid-phase denitrifying reactors using poly (butylene succinate)/bamboo powder composite. Bioresour. Technol. 2020, 305, 123033. [Google Scholar] [CrossRef]
- Du, R.; Cao, S.; Peng, Y.; Zhang, H.; Wang, S. Combined Partial Denitrification (PD)-Anammox: A method for high nitrate wastewater treatment. Environ. Int. 2019, 126, 707–716. [Google Scholar] [CrossRef]
- Cervantes, F.; Monroy, O.; Gomez, J. Accumulation of intermediates in a denitrifying process at different copper and high nitrate concentrations. Biotechnol. Lett. 1998, 20, 959–961. [Google Scholar] [CrossRef]
- Pintathong, P.; Richardson, D.J.; Spiro, S.; Choorit, W. Influence of metal ions and organic carbons on denitrification activity of the halotolerant bacterium, Paracoccus pantotrophus P16 a strain from shrimp pond. Electron. J. Biotechnol. 2009, 12. [Google Scholar] [CrossRef]
- Chen, P.; Li, J.; Li, Q.X.; Wang, Y.; Li, S.; Ren, T.; Wang, L. Simultaneous heterotrophic nitrification and aerobic denitrification by bacterium Rhodococcus sp. CPZ24. Bioresour. Technol. 2012, 116, 266–270. [Google Scholar] [CrossRef]
- Ruan, Y.; Taherzadeh, M.J.; Kong, D.; Lu, H.; Zhao, H.; Xu, X.; Liu, Y.; Cai, L. Nitrogen Removal Performance and Metabolic Pathways Analysis of a Novel Aerobic Denitrifying Halotolerant Pseudomonas balearica Strain RAD-17. Microorganisms 2020, 8, 72. [Google Scholar] [CrossRef]
- Huang, H.K.; Tseng, S.K. Nitrate reduction by Citrobacter diversus under aerobic environment. Appl. Microbiol. Biotechnol. 2001, 55, 90–94. [Google Scholar] [CrossRef]
- Deng, Y.-L.; Ruan, Y.-J.; Zhu, S.-M.; Guo, X.-S.; Han, Z.-Y.; Ye, Z.-Y.; Liu, G.; Shi, M.-M. The impact of DO and salinity on microbial community in poly(butylene succinate) denitrification reactors for recirculating aquaculture system wastewater treatment. AMB Express 2017, 7, 1–11. [Google Scholar] [CrossRef]
- Deng, Y.; Ruan, Y.; Taherzadeh, M.J.; Chen, J.; Qi, W.; Kong, D.; Ma, B.; Xu, X.; Lu, H. Carbon availability shifts the nitrogen removal pathway and microbial community in biofilm airlift reactor. Bioresour. Technol. 2020, 323, 124568. [Google Scholar] [CrossRef] [PubMed]
- Xie, S.-G.; Zhang, X.-J.; Wang, Z.-S. Temperature effect on aerobic denitrification and nitrification. J. Environ. Sci. 2003, 15, 669–673. [Google Scholar]
- Bassin, J.; Kleerebezem, R.; Dezotti, M.; van Loosdrecht, M. Simultaneous nitrogen and phosphate removal in aerobic granular sludge reactors operated at different temperatures. Water Res. 2012, 46, 3805–3816. [Google Scholar] [CrossRef]
- Xu, Y.; He, T.; Li, Z.; Ye, Q.; Chen, Y.; Xie, E.; Zhang, X. Nitrogen Removal Characteristics of Pseudomonas putida Y-9 Capable of Heterotrophic Nitrification and Aerobic Denitrification at Low Temperature. BioMed Res. Int. 2017, 2017, 1–7. [Google Scholar] [CrossRef]
- Jiang, Y.; Yang, K.; Shang, Y.; Zhang, H.; Wei, L.; Wang, H. Response and recovery of aerobic granular sludge to pH shock for simultaneous removal of aniline and ni-trogen. Chemosphere 2019, 221, 366–374. [Google Scholar] [CrossRef] [PubMed]
- Duan, H.; Ye, L.; Lu, X.; Batstone, D.J.; Yuan, Z. Self-Sustained Nitrite Accumulation at Low pH Greatly Enhances Volatile Solids Destruction and Nitrogen Removal in Aerobic Sludge Digestion. Environ. Sci. Technol. 2018, 53, 1225–1234. [Google Scholar] [CrossRef] [PubMed]
- Qiao, Z.; Sun, R.; Wu, Y.; Hu, S.; Liu, X.; Chan, J.; Mi, X. Characteristics and metabolic pathway of the bacteria for heterotrophic nitrification and aerobic denitrifica-tion in aquatic ecosystems. Environ. Res. 2020, 191, 110069. [Google Scholar] [CrossRef]
- Ruan, Y.; Ma, B.; Cai, C.; Cai, L.; Gu, J.; Lu, H.-F.; Xu, X.-Y.; Zhang, M. Kinetic affinity index informs the divisions of nitrate flux in aerobic denitrification. Bioresour. Technol. 2020, 309, 123345. [Google Scholar] [CrossRef] [PubMed]
- Yang, J.; Feng, L.; Pi, S.; Cui, D.; Ma, F.; Zhao, H.-P.; Li, A. A critical review of aerobic denitrification: Insights into the intracellular electron transfer. Sci. Total. Environ. 2020, 731, 139080. [Google Scholar] [CrossRef]
- Ruan, Y.; Cai, L.; Lu, H.; Zhang, M.; Xu, X.; Li, W. Performance of Aerobic Denitrification by the Strain Pseudomonas balearica RAD-17 in the Presence of Anti-biotics. Microorganisms 2021, 9, 1584. [Google Scholar] [CrossRef]
- Zhu, S.-M.; Deng, Y.-L.; Ruan, Y.-J.; Guo, X.-S.; Shi, M.-M.; Shen, J.-Z. Biological denitrification using poly(butylene succinate) as carbon source and biofilm carrier for recirculating aquaculture system effluent treatment. Bioresour. Technol. 2015, 192, 603–610. [Google Scholar] [CrossRef]
- Ruan, Y.-J.; Deng, Y.-L.; Guo, X.-S.; Timmons, M.B.; Lu, H.-F.; Han, Z.-Y.; Ye, Z.-Y.; Shi, M.-M.; Zhu, S.-M. Simultaneous ammonia and nitrate removal in an airlift reactor using poly(butylene succinate) as carbon source and biofilm carrier. Bioresour. Technol. 2016, 216, 1004–1013. [Google Scholar] [CrossRef]
- Balaji, L.; Jayaraman, G. Metal ion activated lipase from halotolerant Bacillus sp. VITL8 displays broader operational range. Int. J. Biol. Macromol. 2014, 67, 380–386. [Google Scholar] [CrossRef]
- Shahid, M.; Ameen, F.; Maheshwari, H.S.; Ahmed, B.; AlNadhari, S.; Khan, M.S. Colonization of Vigna radiata by a halotolerant bacterium Kosakonia sacchari improves the ionic balance, stressor metabolites, antioxidant status and yield under NaCl stress. Appl. Soil Ecol. 2020, 158, 103809. [Google Scholar] [CrossRef]
- Kong, D.; Li, W.; Deng, Y.; Ruan, Y.; Chen, G.; Yu, J.; Lin, F. Denitrification-Potential Evaluation and Nitrate-Removal-Pathway Analysis of Aerobic Denitrifier Strain Marinobacter hydrocarbonoclasticus RAD-2. Water 2018, 10, 1298. [Google Scholar] [CrossRef]
- SEPA. Water and Wastewater Monitoring Methods, 4th ed.; Chinese Environmental Science Publishing House: Beijing, China, 2002. [Google Scholar]
- Su, J.F.; Wu, Z.Z.; Huang, T.L.; Zhang, H.; Li, J.W. A new technology for simultaneous calcium–nitrate and fluoride removal in the biofilm reactor. J. Hazard. Mater. 2020, 399, 122846. [Google Scholar] [CrossRef] [PubMed]
- Li, X.; Kapoor, V.; Impelliteri, C.; Chandran, K.; Domingo, J.W.S. Measuring nitrification inhibition by metals in wastewater treatment systems: Current state of science and fundamental research needs. Crit. Rev. Environ. Sci. Technol. 2016, 46, 249–289. [Google Scholar] [CrossRef]
- Liu, E.; Fan, C.; Zhao, M.; Jiang, S.; Wang, Z.; Jin, Z.; Bei, K.; Zheng, X.; Wu, S.; Zeng, Q. Effects of heavy metals on denitrification processes in water treatment: A review. Sep. Purif. Technol. 2022, 299, 121793. [Google Scholar] [CrossRef]
- Ansari, A.; Peña-Bahamonde, J.; Fanourakis, S.K.; Hu, Y.; Rodrigues, D.F. Microbially-induced mineral scaling in desalination conditions: Mechanisms and effects of commercial antiscalants. Water Res. 2020, 179, 115863. [Google Scholar] [CrossRef]
- Wang, Z.; Su, J.; Ali, A.; Zhang, R.; Yang, W.; Xu, L.; Zhao, T. Microbially induced calcium precipitation based simultaneous removal of fluoride, nitrate, and calcium by Pseudomonas sp. WZ39: Mechanisms and nucleation pathways. J. Hazard. Mater. 2021, 416, 125914. [Google Scholar] [CrossRef]
- Fan, Y.; Su, J.; Wang, Z.; Deng, L.; Zhang, H. Impact of C/N ratio on the fate of simultaneous Ca2+ precipitation, F− removal, and denitrification in quartz sand biofilm reactor. Chemosphere 2021, 273, 129667. [Google Scholar] [CrossRef]
- Wu, Z.; Su, J.; Ali, A.; Hu, X.; Wang, Z. Study on the simultaneous removal of fluoride, heavy metals and nitrate by calcium precipitating strain Aci-netobacter sp. H12. J. Hazard. Mater. 2021, 405, 124255. [Google Scholar] [CrossRef]
- Corsino, S.F.; Capodici, M.; Morici, C.; Torregrossa, M.; Viviani, G. Simultaneous nitritation–denitritation for the treatment of high-strength nitrogen in hypersaline wastewater by aerobic granular sludge. Water Res. 2016, 88, 329–336. [Google Scholar] [CrossRef]
- Wang, X.; Zhu, H.; Shutes, B.; Fu, B.; Yan, B.; Yu, X.; Wen, H.; Chen, X. Identification and denitrification characteristics of a salt-tolerant denitrifying bacterium Pannonibacter phragmitetus F1. AMB Express 2019, 9, 1–11. [Google Scholar] [CrossRef] [PubMed]
- Chen, J.; Han, Y.; Wang, Y.; Gong, B.; Zhou, J.; Qing, X. Start-up and microbial communities of a simultaneous nitrogen removal system for high salinity and high nitrogen organic wastewater via heterotrophic nitrification. Bioresour. Technol. 2016, 216, 196–202. [Google Scholar] [CrossRef] [PubMed]
- Luo, L.; Zhou, W.; Yuan, Y.; Zhong, H.; Zhong, C. Effects of salinity shock on simultaneous nitrification and denitrification by a membrane bioreactor: Performance, sludge activity, and functional microflora. Sci. Total Environ. 2021, 801, 149748. [Google Scholar] [CrossRef]
- She, Z.; Wu, L.; Wang, Q.; Gao, M.; Jin, C.; Zhao, Y.; Zhao, L.; Guo, L. Salinity effect on simultaneous nitrification and denitrification, microbial characteristics in a hybrid sequencing batch biofilm reactor. Bioprocess Biosyst. Eng. 2017, 41, 65–75. [Google Scholar] [CrossRef] [PubMed]
- Xia, Z.; Wang, Q.; She, Z.; Gao, M.; Zhao, Y.; Guo, L.; Jin, C. Nitrogen removal pathway and dynamics of microbial community with the increase of salinity in simultaneous nitrification and denitrification process. Sci. Total. Environ. 2019, 697, 134047. [Google Scholar] [CrossRef] [PubMed]
- Fu, G.; Zhao, L.; Huangshen, L.; Wu, J. Isolation and identification of a salt-tolerant aerobic denitrifying bacterial strain and its application to saline wastewater treatment in constructed wetlands. Bioresour. Technol. 2019, 290, 121725. [Google Scholar] [CrossRef] [PubMed]
- Chen, A.; Su, X.; Xing, Z.-L.; Xu, F.-Q.; Chen, S.-J.; Xiang, J.-X.; Li, J.; Liu, H.; Zhao, T.-T. Effect mechanism of individual and combined salinity on the nitrogen removal yield of heterotrophic nitrification-aerobic denitrification bacteria. Environ. Res. 2022, 214, 113834. [Google Scholar] [CrossRef]
- Wang, H.; Feng, C.; Deng, Y. Effect of potassium on nitrate removal from groundwater in agricultural waste-based heterotrophic denitrification system. Sci. Total Environ. 2020, 703, 134830. [Google Scholar] [CrossRef]
- Padan, E.; Venturi, M.; Gerchman, Y.; Dover, N. Na+/H+ antiporters. Bioenergetics 2001, 1505, 144–157. [Google Scholar] [CrossRef]
- Hunte, C.; Screpanti, E.; Venturi, M.; Rimon, A.; Padan, E.; Michel, H. Structure of a Na+/H+ antiporter and insights into mechanism of action and regulation by pH. Nature 2005, 435, 1197–1202. [Google Scholar] [CrossRef]
- Jiang, L.; Salao, K.; Li, H.; Rybicka, J.M.; Yates, R.M.; Luo, X.W.; Breit, S.N. Intracellular chloride channel protein CLIC1 regulates macrophage function through modulation of phagosomal acidification. J. Cell Sci. 2012, 125, 5479–5488. [Google Scholar] [PubMed]
- Lesniak, J.; Barton, W.A.; Nikolov, D.B. Structural and functional features of the Escherichia coli hydroperoxide resistance protein OsmC. Protein Sci. 2003, 12, 2838–2843. [Google Scholar] [CrossRef] [PubMed]







| DM | Na+ | Na+ + Cl- | K+ | K+ + Cl- | Na+ + K+ | Na+ + K+ + Cl- | Ca2+ + Mg2+ | Ca2+ + Mg2+ + Cl- | Na+ + KCl | K+ + NaCl |
|---|---|---|---|---|---|---|---|---|---|---|
| NaNO3 (g) | 1.821 | 1.821 | - | - | 0.911 | 0.911 | - | - | 1.821 | - |
| KCl (g) | - | - | - | - | - | - | - | - | 0.3 | - |
| KNO3 (g) | - | - | 2.166 | 2.166 | 1.083 | 1.083 | - | - | - | 2.166 |
| NaCl (g) | - | 25 | - | 25 | - | 25 | - | 25 | - | 0.3 |
| Ca(NO3)2 (g) | - | - | - | - | - | - | 1.758 | 1.758 | - | - |
| MgCl2 (g) | - | - | - | - | - | - | 0.3 | 0.3 | - | - |
| MgSO4·7H2O (g) | 0.2 | |||||||||
| NaAc (g) | 10 | 10 | - | - | 10 | 10 | - | - | 10 | - |
| KAc (g) | - | - | 11.964 | 11.964 | - | - | - | - | - | 11.964 |
| Glucose (g) | - | - | - | - | - | - | 7.321 | 7.321 | - | - |
| K2HPO4 (g) | - | - | 1.0 | 1.0 | 1.0 | 1.0 | - | - | 1.0 | 1.0 |
Disclaimer/Publisher’s Note: The statements, opinions and data contained in all publications are solely those of the individual author(s) and contributor(s) and not of MDPI and/or the editor(s). MDPI and/or the editor(s) disclaim responsibility for any injury to people or property resulting from any ideas, methods, instructions or products referred to in the content. |
© 2023 by the authors. Licensee MDPI, Basel, Switzerland. This article is an open access article distributed under the terms and conditions of the Creative Commons Attribution (CC BY) license (https://creativecommons.org/licenses/by/4.0/).
Share and Cite
Li, J.; Cai, L.; Lu, H.; Ma, B.; Chen, G.; Kong, D.; Hu, Y.; Ye, Z.; Ruan, Y. Effects of Ion Combinations and Their Concentrations on Denitrification Performance and Gene Expressions of an Aerobic Strain Marinobacter Hydrocarbonoclasticus RAD-2. Microorganisms 2023, 11, 1867. https://doi.org/10.3390/microorganisms11081867
Li J, Cai L, Lu H, Ma B, Chen G, Kong D, Hu Y, Ye Z, Ruan Y. Effects of Ion Combinations and Their Concentrations on Denitrification Performance and Gene Expressions of an Aerobic Strain Marinobacter Hydrocarbonoclasticus RAD-2. Microorganisms. 2023; 11(8):1867. https://doi.org/10.3390/microorganisms11081867
Chicago/Turabian StyleLi, Junchi, Lei Cai, Huifeng Lu, Bin Ma, Guangsuo Chen, Dedong Kong, Yiming Hu, Ziran Ye, and Yunjie Ruan. 2023. "Effects of Ion Combinations and Their Concentrations on Denitrification Performance and Gene Expressions of an Aerobic Strain Marinobacter Hydrocarbonoclasticus RAD-2" Microorganisms 11, no. 8: 1867. https://doi.org/10.3390/microorganisms11081867
APA StyleLi, J., Cai, L., Lu, H., Ma, B., Chen, G., Kong, D., Hu, Y., Ye, Z., & Ruan, Y. (2023). Effects of Ion Combinations and Their Concentrations on Denitrification Performance and Gene Expressions of an Aerobic Strain Marinobacter Hydrocarbonoclasticus RAD-2. Microorganisms, 11(8), 1867. https://doi.org/10.3390/microorganisms11081867

