Screening of New Industrially Important Bacterial Strains for 1,3-Propanediol, 2,3-Butanediol and Ethanol Production through Biodiesel-Derived Glycerol Fermentations
Abstract
1. Introduction
2. Materials and Methods
2.1. Microorganisms
2.2. Preculture
2.3. Principal Culture
2.3.1. Main Characteristics
2.3.2. Anaerobic Batch Fermentation in Duran Bottles
2.3.3. Aerobic Batch Fermentation in Shake Flasks
2.3.4. Anaerobic Batch Fermentation in Bioreactor
2.3.5. Aerobic Batch and Fed-Batch Fermentation in Bioreactor
2.4. Analytical Procedures
2.5. Data Analysis
3. Results and Discussion
3.1. Screening
3.1.1. Self-Generated Anaerobic Cultures in Duran Bottles
3.1.2. Aerobic Culture in Shake-Flasks
3.1.3. Trials Performed with Regulation of Culture pH
3.2. Further Studies of the Most Promising Strains
3.2.1. Trials with Higher Initial Glycerol Concentration
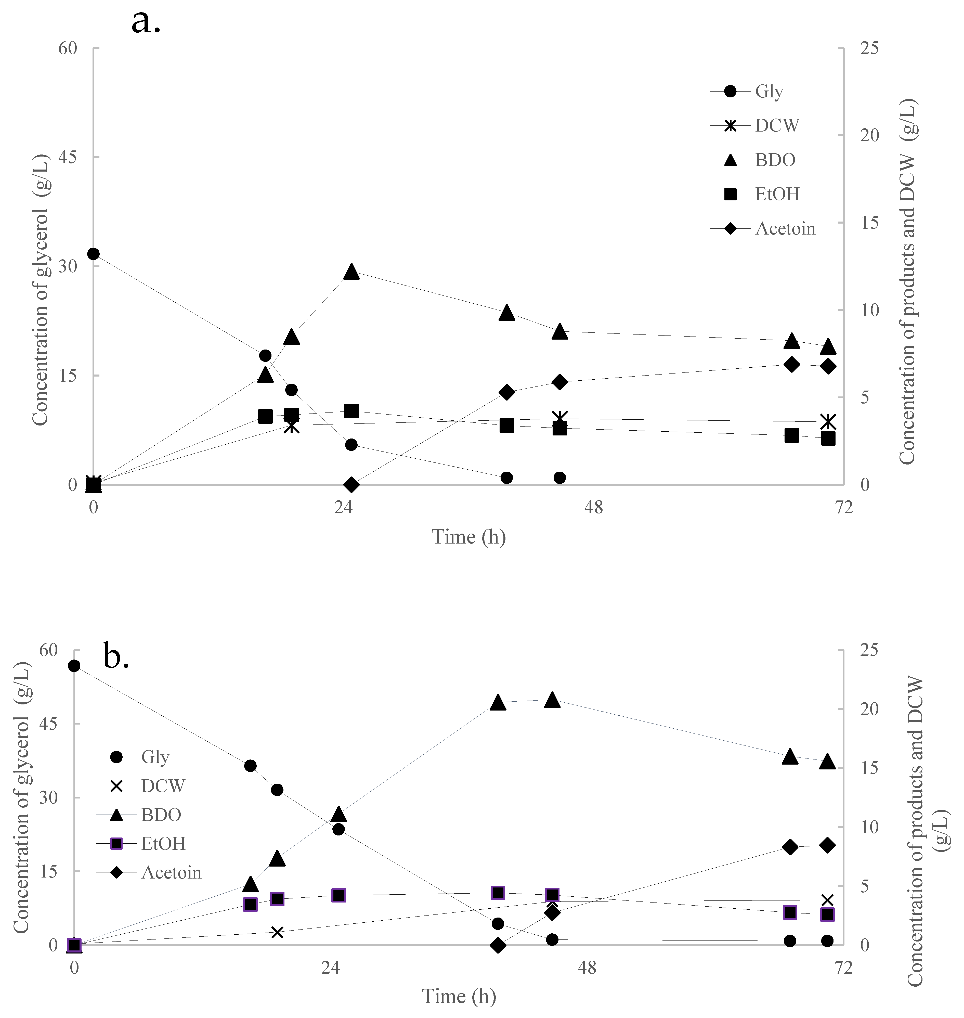
3.2.2. Batch Bioreactor Cultures
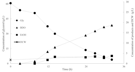
3.2.3. Fed-Batch Bioreactor Cultures
4. Concluding Remarks
Author Contributions
Funding
Institutional Review Board Statement
Informed Consent Statement
Data Availability Statement
Conflicts of Interest
References
- Yaakob, Z.; Mohammad, M.; Alherbawi, M.; Alam, Z.; Sopian, K. Overview of the production of biodiesel from Waste cooking oil. Renew. Sustain. Energy Rev. 2013, 18, 184–193. [Google Scholar] [CrossRef]
- Yousuf, A. Biodiesel from lignocellulosic biomass—Prospects and challenges. Waste Manag. 2012, 32, 2061–2067. [Google Scholar] [CrossRef]
- Yang, F.; Hanna, M.A.; Sun, R. Value-added uses for crude glycerol--a byproduct of biodiesel production. Biotechnol Biofuels 2012, 5, 13. [Google Scholar] [CrossRef] [PubMed]
- Chatzifragkou, A.; Dietz, D.; Komaitis, M.; Zeng, A.P.; Papanikolaou, S. Effect of biodiesel-derived waste glycerol impurities on biomass and 1,3-propanediol production of Clostridium butyricum VPI 1718. Biotechnol. Bioeng. 2010, 107, 76–84. [Google Scholar] [CrossRef] [PubMed]
- Papanikolaou, S.; Rontou, M.; Belka, A.; Athenaki, M.; Gardeli, C.; Mallouchos, A.; Kalantzi, O.; Koutinas, A.A.; Kookos, I.K.; Zeng, A.P.; et al. Conversion of biodiesel-derived glycerol into biotechnological products of industrial significance by yeast and fungal strains. Eng. Life Sci. 2016, 17, 262–281. [Google Scholar] [CrossRef]
- Metsoviti, M.; Paraskevaidi, K.; Koutinas, A.; Zeng, A.P.; Papanikolaou, S. Production of 1,3-propanediol, 2,3-butanediol and ethanol by a newly isolated Klebsiella oxytoca strain growing on biodiesel-derived glycerol based media. Proc. Biochem. 2012, 47, 1872–1882. [Google Scholar] [CrossRef]
- Palaiogeorgou, A.M.; Papanikolaou, S.; de Castro, A.M.; Freire, D.M.G.; Kookos, I.K.; Koutinas, A.A. A newly isolated Enterobacter sp. strain produces 2,3-butanediol during its cultivation on low-cost carbohydrate-based substrates. FEMS Microbiol. Lett. 2019, 366, fny280. [Google Scholar] [CrossRef]
- Rakicka-Pustulka, M.; Mironczuk, A.M.; Celinska, E.; Bialas, W.; Rymowicz, W. Scale-up of the erythritol production—Process simulation and techno-economic analysis. J. Clean. Prod. 2020, 257, 120533. [Google Scholar] [CrossRef]
- Yen, H.W.; Li, F.T.; Chang, J.S. The effects of dissolved oxygen level on the distribution of 1,3-propanediol and 2,3-butanediol produced from glycerol by an isolated indigenous Klebsiella sp. Ana-WS5. Bioresour. Technol. 2014, 153, 374–378. [Google Scholar] [CrossRef] [PubMed]
- Tsigoriyna, L.; Petrova, P.; Petrov, K. High production of acetoin from glycerol by Bacillus subtilis 35. Appl. Microbiol. Biotechnol. 2022, 107, 175–185. [Google Scholar] [CrossRef]
- Chatzifragkou, A.; Makri, A.; Belka, A.; Bellou, S.; Mavrou, M.; Mastoridou, M.; Mystrioti, P.; Onjaro, G.; Aggelis, G.; Papanikolaou, S. Biotechnological conversions of biodiesel derived waste glycerol by yeast and fungal species. Energy 2011, 36, 1097–1108. [Google Scholar] [CrossRef]
- Maina, S.; Prabhu, A.A.; Vivek, N.; Vlysidis, A.; Koutinas, A.; Kumar, V. Prospects on bio-based 2,3-butanediol and acetoin production: Recent progress and advances. Biotechnol. Adv. 2022, 54, 107783. [Google Scholar] [CrossRef] [PubMed]
- Liu, H.; Xu, Y.; Zheng, Z.; Liu, D. 1,3-Propanediol and its copolymers: Research, development and industrialization. Biotechnol. J. 2010, 5, 1137–1158. [Google Scholar] [CrossRef] [PubMed]
- Białkowska, A.M. Strategies for efficient and economical 2,3-butanediol production: New trends in this field. World J. Microbiol. Biotechnol. 2016, 32, 200. [Google Scholar] [CrossRef]
- Karayannis, D.; Papanikolaou, S.; Vatistas, C.; Paris, C.; Chevalot, I. Yeast lipid produced through glycerol conversions and its use for enzymatic synthesis of amino acid-based biosurfactants. Int. J. Mol. Sci. 2023, 24, 714. [Google Scholar] [CrossRef] [PubMed]
- Celinska, E. Debottlenecking the 1,3-propanediol pathway by metabolic engineering. Biotechnol. Adv. 2010, 28, 519–530. [Google Scholar] [CrossRef] [PubMed]
- Papanikolaou, S.; Aggelis, G. Biotechnological valorization of biodiesel derived glycerol waste through production of single cell oil and citric acid by Yarrowia lipolytica. Lipid Technol. 2009, 21, 83–87. [Google Scholar] [CrossRef]
- Chatzifragkou, A.; Papanikolaou, S. Effect of impurities in biodiesel-derived waste glycerol on the performance and feasibility of biotechnological processes. Appl. Microbiol. Biotechnol. 2012, 95, 13–27. [Google Scholar] [CrossRef]
- Diamantopoulou, P.; Papanikolaou, S. Biotechnological production of sugar-alcohols: Focus on Yarrowia lipolytica and edible/medicinal mushrooms. Proc. Biochem. 2023, 124, 113–131. [Google Scholar] [CrossRef]
- Mu, Y.; Teng, H.; Zhang, D.J.; Wang, W.; Xiu, Z.L. Microbial production of 1,3-propanediol by Klebsiella pneumoniae using crude glycerol from biodiesel preparations. Biotechnol. Lett. 2006, 28, 1755–1759. [Google Scholar] [CrossRef]
- Doulgeraki, A.I.; Paramithiotis, S.; Nychas, G.J. Characterization of the Enterobacteriaceae community that developed during storage of minced beef under aerobic or modified atmosphere packaging conditions. Int. J. Food Microbiol. 2011, 145, 77–83. [Google Scholar] [CrossRef]
- Vasilakis, G.; Karayannis, D.; Massouras, T.; Politis, I.; Papanikolaou, S. Biotechnological conversions of Mizithra second cheese whey by wild-type non-conventional yeast strains: Production of yeast cell biomass, single-cell oil and polysaccharides. Appl. Sci. 2022, 12, 11471. [Google Scholar] [CrossRef]
- Metsoviti, M.; Zeng, A.P.; Koutinas, A.A.; Papanikolaou, S. Enhanced 1,3-propanediol production by a newly isolated Citrobacter freundii strain cultivated on biodiesel-derived waste glycerol through sterile and non-sterile bioprocesses. J. Biotechnol. 2013, 163, 408–418. [Google Scholar] [CrossRef]
- Anand, P.; Saxena, R.K. A comparative study of solvent-assisted pretreatment of biodiesel derived crude glycerol on growth and 1,3-propanediol production from Citrobacter freundii. New Biotechnol. 2012, 29, 199–205. [Google Scholar] [CrossRef]
- Maina, S.; Kachrimanidou, V.; Ladakis, D.; Papanikolaou, S.; de Castro, A.M.; Koutinas, A. Evaluation of 1,3-propanediol production by two Citrobacter freundii strains using crude glycerol and soybeancake hydrolysate. Environ. Sci. Pollut. Res. 2019, 26, 35523–35532. [Google Scholar] [CrossRef]
- Papanikolaou, S. Microbial conversion of glycerol into 1,3-propanediol: Glycerol assimilation, biochemical events related with 1,3-propanediol biosynthesis and biochemical engineering of the process. Microb. Convers. Raw Glycerol 2009, 137–168. Available online: https://www.scopus.com/record/display.uri?eid=2-s2.0-67249132800&origin=resultslist&sort=plf-f#abstract (accessed on 23 May 2023).
- Metsoviti, M.; Paramithiotis, S.; Drosinos, E.H.; Galiotou-Panayotou, M.; Nychas, G.J.E.; Zeng, A.P.; Papanikolaou, S. Screening of bacterial strains capable of converting biodiesel-derived raw glycerol into 1,3-propanediol, 2,3-butanediol and ethanol. Eng. Life Sci. 2012, 12, 57–68. [Google Scholar] [CrossRef]
- Jitrwung, R.; Yargeau, V. Biohydrogen and Bioethanol Production from Biodiesel-Based Glycerol by Enterobacter aerogenes in a Continuous Stir Tank Reactor. Int. J. Mol. Sci. 2015, 16, 10650–10664. [Google Scholar] [CrossRef]
- Drożdżyńska, A.; Pawlicka, J.; Kubiak, P.; Kośmider, A.; Pranke, D.; Olejnik-Schmidt, A.; Czaczyk, K. Conversion of glycerol to 1,3-propanediol by Citrobacter freundii and Hafnia alvei—Newly isolated strains from the Enterobacteriaceae. New Biotechnol. 2014, 31, 402–410. [Google Scholar] [CrossRef] [PubMed]
- Cho, S.; Kim, K.D.; Ahn, J.H.; Lee, J.; Kim, S.W.; Um, Y. Selective production of 2,3-butanediol and acetoin by a newly isolated bacterium Klebsiella oxytoca M1. Appl. Biochem. Biotechnol. 2013, 170, 1922–19233. [Google Scholar] [CrossRef] [PubMed]
- Cho, S.; Kim, T.; Woo, H.M.; Lee, J.; Kim, Y.; Um, Y. Enhanced 2,3-Butanediol Production by Optimizing Fermentation Conditions and Engineering Klebsiella oxytoca M1 through Overexpression of Acetoin Reductase. PLoS ONE 2015, 10, e0138109. [Google Scholar] [CrossRef]
- Anvari, M.; Safari Motlagh, M.R. Enhancement of 2,3-butanediol production by Klebsiella oxytoca PTCC 1402. J. Biomed. Biotechnol. 2011, 2011, 636170. [Google Scholar] [CrossRef] [PubMed]
- Suttikul, S.; Charalampopoulos, D.; Chatzifragkou, A. Biotechnological production of optically pure 2,3-butanediol by Bacillus subtilis based on dissolved oxygen control Strategy. Fermentation 2023, 9, 15. [Google Scholar] [CrossRef]
- Xiao, Z.; Xu, P. Acetoin Metabolism in Bacteria. Critic. Rev. Microbiol. 2007, 33, 127–140. [Google Scholar] [CrossRef] [PubMed]
- Ripoll, V.; Rodríguez, A.; Ladero, M.; Santos, V.E. High 2,3-butanediol production from glycerol by Raoultella terrigena CECT 4519. Bioproc. Biosyst. Eng. 2020, 43, 685–692. [Google Scholar] [CrossRef]
- Cho, S.; Kim, T.; Woo, H.M.; Kim, Y.; Lee, J.; Um, T. High production of 2,3-butanediol from biodiesel-derived crude glycerol by metabolically engineered Klebsiella oxytoca M1. Biotechnol. Biofuels 2015, 8, 146. [Google Scholar] [CrossRef] [PubMed]
- Sarris, D.; Papanikolaou, S. Biotechnological production of ethanol: Biochemistry, processes and technologies. Eng. Life Sci. 2016, 16, 307–329. [Google Scholar] [CrossRef]
- Psaki, O.; Maina, S.; Vlysidis, A.; Papanikolaou, S.; de Castro, A.M.; Freire, D.M.G.; Dheskali, E.; Kookos, I.; Koutinas, A. Optimisation of 2,3-butanediol production by Enterobacter ludwigii using sugarcane molasses. Biochem. Eng. J. 2019, 152, 107370. [Google Scholar] [CrossRef]
- Zeng, A.P. Pathway and kinetic analysis of 1,3-propanediol production from glycerol fermentation by Clostridium butyricum. Bioproc. Eng. 1996, 14, 169–175. [Google Scholar] [CrossRef]
- Lee, S.J.; Choi, H.S.; Kim, C.K.; Thapa, L.P.; Park, C.; Kim, S.W. Process strategy for 2,3-butanediol production in fed-batch culture by acetate addition. J. Ind. Eng. Chem. 2017, 56, 157–162. [Google Scholar] [CrossRef]
- Xiu, Z.L.; Zeng, A.P. Present state and perspective of downstream processing of biologically produced 1,3-propanediol and 2,3-butanediol. Appl. Microbiol. Biotechnol. 2008, 78, 917–926. [Google Scholar] [CrossRef]
- Dai, J.Y.; Liu, C.J.; Xiu, Z.L. Sugaring-out extraction of 2,3-butanediol from fermentation broths. Proc. Biochem. 2015, 50, 1951–1957. [Google Scholar] [CrossRef]
- Fu, C.; Li, Z.; Sun, Z.; Xie, S. A review of salting-out effect and sugaring-out effect: Driving forces for novel liquid-liquid extraction of biofuels and biochemicals. Front. Chem. Sci. Eng. 2021, 15, 854–871. [Google Scholar] [CrossRef]
- Zhang, C.; Sharma, S.; Ma, C.; Zeng, A.P. Strain evolution and novel downstream processing with integrated catalysis enable highly efficient coproduction of 1,3-propanediol and organic acid esters from crude glycerol. Biotechnol. Bioeng. 2022, 119, 1450–1466. [Google Scholar] [CrossRef] [PubMed]






| a. 70 RPM, Pure Gly | b. 100 RPM, Pure Gly | c. 100 RPM, Crude Gly | ||||||||||||||||
|---|---|---|---|---|---|---|---|---|---|---|---|---|---|---|---|---|---|---|
| Strain | PDO (g/L) | BDO (g/L) | EtOH (g/L) | DCW (g/L) | GlyC (%) | pHf | PDO (g/L) | BDO (g/L) | EtOH (g/L) | DCW (g/L) | GlyC (%) | pHf | PDO (g/L) | BDO (g/L) | EtOH (g/L) | DCW (g/L) | GlyC (%) | pHf | 
| C. freundii FMCC-207 | - | 3.6 | 6.7 | 1.8 | 100 | 6.3 | - | 3.5 | 7.6 | 2 | 90 | 6.3 | 3.2 | - | - | 1.0 | 36 | 5.3 | 
| C. freundii FMCC-8 | 2.6 | LAC 2.2 | - | Wp | 35 | 5.3 | 2.7 | LAC 2.1 | - | Wp | 35 | 5.2 | 3.0 | LAC 2.2 | - | 1.4 | 35 | 5.3 | 
| C. freundii FMCC-B-294 | 2.5 | LAC 2.7 | - | Wp | 30 | 5.2 | 2.4 | LAC 3.0 | - | Wp | 30 | 5.2 | 2.3 | LAC 3.2 | - | Wp | 35 | 5.0 | 
| C. freundii NRRL-B-2645 | 1.4 | LAC 2.0 | - | Wp | 20 | 5.4 | 1.8 | LAC 2.3 | - | Wp | 23 | 5.3 | 2.7 | LAC 3.3 | - | Wp | 45 | 5.1 | 
| E. aerogenes FMCC-9 | - | 3.4 | 5.5 | 1.1 | 65 | 6.0 | - | 3.7 | 6.4 | 1.1 | 82 | 6.2 | - | 3.6 | 6.6 | 1.5 | 90 | 6.5 | 
| E. aerogenes FMCC-10 | - | 3.4 | 4.9 | 1.5 | 61 | 6.1 | - | 3.5 | 6.2 | 1.3 | 80 | 6.4 | - | 3.3 | 5.5 | 1.9 | 85 | 6.6 | 
| E. ludwigii FMCC-204 | - | 4.2 | 6.5 | 3.6 | 100 | 6.3 | FOR 3.3 | 3.8 | 7.6 | 1.5 | 100 | 5.8 | FOR 3.0 | 3.7 | 7.9 | 1.7 | 100 | 6.1 | 
| K. oxytoca FMCC-197 | 1.6 | 3.7 | 6.0 | 1.7 | 85 | 6.5 | 1.5 | 4.1 | 7.5 | 2.6 | 100 | 6.3 | 2.2 | 4.0 | 6.6 | 4.0 | 100 | 6.3 | 
| K. oxytoca ACA-DC 1581 | 1.5 | 2.1 | 2.0 | LAC 2.5 | 45 | 5.4 | Wp | 3.6 | 3.4 | LAC 2.8 | 80 | 5.2 | 1.8 | 4.4 | 4.5 | LAC 2.5 | 90 | 5.6 | 
| Klebsiella sp. EMBT-1 | - | - | - | 5.0 | 20 | 6.7 | - | - | - | 6.5 | 22 | 6.7 | - | - | - | 2.0 | 15 | 7.2 | 
| H. alvei ACA-DC 1196 | - | - | 1.3 | 1.2 | 26 | 5.9 | - | - | 1.6 | 1.4 | 20 | 6 | 2.9 | - | 2.0 | 1.0 | 30 | 5.9 | 
| B. subtilis ACA-DC 1176 | - | - | - | 1.1 | 10 | 6.8 | - | - | - | 1.0 | 12 | 6.8 | - | - | - | 1.2 | 10 | 7.0 | 
| a. Pure Gly | b. Crude Gly | |||||||||||
|---|---|---|---|---|---|---|---|---|---|---|---|---|
| Strain | PDO (g/L) | BDO (g/L) | EtOH (g/L) | DCW (g/L) | GlyC (%) | pHf | PDO (g/L) | BDO (g/L) | EtOH (g/L) | DCW (g/L) | GlyC (%) | pHf | 
| C. freundii FMCC-207 | 1.3 | 3.5 | 3.8 | 3.5 | 100 | 6.6 | 3.3 | LAC 2.4 | - | 1.8 | 42 | 5.2 | 
| C. freundii FMCC-8 | Wp | - | - | 1.6 | 35 | 5.0 | 2.9 | LAC 1.8 | - | 2.1 | 30 | 5.0 | 
| C. freundii FMCC-B-294 | Wp | - | - | 1.4 | 29 | 5.1 | Wp | - | - | 1.2 | 25 | 5.1 | 
| C. freundii NRRL-B-2645 | 2.3 | - | 1.6 | 1.6 | 30 | 4.8 | 3.1 | LAC 1.5 | - | 1.8 | 45 | 4.9 | 
| E. aerogenes FMCC-9 | 2.5 | 3.6 | 3.4 | 3.5 | 100 | 8.2 | 1.5 | 3.2 | 3.2 | 3.9 | 100 | 7.9 | 
| E. aerogenes FMCC-10 | 2.3 | 3.8 | 3.4 | 4.0 | 100 | 8.0 | 1 | 2.6 | 3.2 | 7.6 | 100 | 7.6 | 
| E. ludwigii FMCC-204 | 1.9 | 2.8 | - | 4.3 | 100 | 6.1 | 1.2 | 2.0 | 3.6 | 4.5 | 100 | 7.7 | 
| K. oxytoca FMCC-197 | - | 3.0 | 4.0 | 7.8 | 100 | 7.7 | Wp | 1.8 | 4.7 | 7.2 | 100 | 7.7 | 
| K. oxytoca ACA-DC 1581 | 3.2 | 5.4 | 2.2 | 4.6 | 100 | 5.5 | 1.6 | 5.2 | 0.9 | 4.1 | 100 | 5.5 | 
| Klebsiella sp. EMBT-1 | LAC 4.0 | - | - | 9.3 | 100 | 5.7 | LAC 3.8 | - | - | 8.8 | 100 | 5.8 | 
| H. alvei ACA-DC 1196 | Wp | 3.7 | - | 4.2 | 100 | 6 | - | 3.1 | - | 4.2 | 100 | 6.2 | 
| B. subtilis ACA-DC 1176 | ACTN 2.1 | 2.5 | - | 5.3 | 100 | 6.9 | ACTN 2 | 2.7 | - | 5.0 | 100 | 7.4 | 
| Self-Generated Anaerobiosis | Aerobiosis | |||||||||||
|---|---|---|---|---|---|---|---|---|---|---|---|---|
| Strain | PDO (g/L) | BDO (g/L) | EtOH (g/L) | DCW (g/L) | GlyC (%) | pHf | PDO (g/L) | BDO (g/L) | EtOH (g/L) | DCW (g/L) | GlyC (%) | pHf | 
| C. freundii FMCC-207 | - | 3.4 | 7.7 | 4.0 | 100 | 6.5 | 1.0 | 2.2 | 9.3 | 5.7 | 100 | 7.9 | 
| C. freundii FMCC-8 | 4.3 | - | - | 1.5 | 55 | 5.3 | 1.0 | - | - | 2.1 | 50 | 5.2 | 
| C. freundii FMCC-B-294 | 6.0 | LAC 3.5 | - | 1.2 | 100 | 5.4 | Wp | - | Wp | 2.1 | 55 | 5.7 | 
| C. freundii NRRL-B-2645 | 6.4 | LAC 1.8 | - | 1.2 | 100 | 5.5 | Wp | - | Wp | 1.7 | 60 | 5.7 | 
| Strain | Time (h) | Gly0 (g/L) | PDO (g/L) | BDO (g/L) | EtOH (g/L) | DCW (g/L) | GlyC (%) | RtGlyC (g/L/h) | pHf | YMajPr/Gly (g/g) | PrMajPr (g/L/h) | 
|---|---|---|---|---|---|---|---|---|---|---|---|
| E. ludwigii FMCC-204 | 78 | 42.0 | - | 6.0 | 19.5 | 1.5 | 100 | 0.7 | 5.9 | 0.44 | 0.25 | 
| 100 | 66.1 | - | 3.6 | 19.5 | 1.8 | 70 | 0.4 | 5.8 | 0.42 | 0.22 | |
| K. oxytoca ACA-DC 1581 | 24.7 | 31.7 | 1.0 | 12.2 | 4.2 | 3.2 | 100 | 1.1 | 5.7 | 0.46 | 0.49 | 
| 44 | 57.0 | 3.0 | 20.8 | 4.4 | 3.8 | 100 | 1.3 | 5.7 | 0.39 | 0.52 | 
| Disclaimer/Publisher’s Note: The statements, opinions and data contained in all publications are solely those of the individual author(s) and contributor(s) and not of MDPI and/or the editor(s). MDPI and/or the editor(s) disclaim responsibility for any injury to people or property resulting from any ideas, methods, instructions or products referred to in the content. | 
© 2023 by the authors. Licensee MDPI, Basel, Switzerland. This article is an open access article distributed under the terms and conditions of the Creative Commons Attribution (CC BY) license (https://creativecommons.org/licenses/by/4.0/).
Share and Cite
Karayannis, D.; Vasilakis, G.; Charisteidis, I.; Litinas, A.; Manolopoulou, E.; Tsakalidou, E.; Papanikolaou, S. Screening of New Industrially Important Bacterial Strains for 1,3-Propanediol, 2,3-Butanediol and Ethanol Production through Biodiesel-Derived Glycerol Fermentations. Microorganisms 2023, 11, 1424. https://doi.org/10.3390/microorganisms11061424
Karayannis D, Vasilakis G, Charisteidis I, Litinas A, Manolopoulou E, Tsakalidou E, Papanikolaou S. Screening of New Industrially Important Bacterial Strains for 1,3-Propanediol, 2,3-Butanediol and Ethanol Production through Biodiesel-Derived Glycerol Fermentations. Microorganisms. 2023; 11(6):1424. https://doi.org/10.3390/microorganisms11061424
Chicago/Turabian StyleKarayannis, Dimitris, Gabriel Vasilakis, Ioannis Charisteidis, Alexandros Litinas, Eugenia Manolopoulou, Effie Tsakalidou, and Seraphim Papanikolaou. 2023. "Screening of New Industrially Important Bacterial Strains for 1,3-Propanediol, 2,3-Butanediol and Ethanol Production through Biodiesel-Derived Glycerol Fermentations" Microorganisms 11, no. 6: 1424. https://doi.org/10.3390/microorganisms11061424
APA StyleKarayannis, D., Vasilakis, G., Charisteidis, I., Litinas, A., Manolopoulou, E., Tsakalidou, E., & Papanikolaou, S. (2023). Screening of New Industrially Important Bacterial Strains for 1,3-Propanediol, 2,3-Butanediol and Ethanol Production through Biodiesel-Derived Glycerol Fermentations. Microorganisms, 11(6), 1424. https://doi.org/10.3390/microorganisms11061424
 
        





 
       