Potential of Molecular Culture in Early Onset Neonatal Sepsis Diagnosis: A Proof of Principle Study
Abstract
1. Introduction
2. Methods
2.1. Part One: Positive Blood Samples and Spiking Experiments
2.2. Part Two: Clinical Study in Infants with Suspicion of Early Onset Sepsis
2.3. Sample Handling Processing
2.4. Statistical Analysis
3. Results
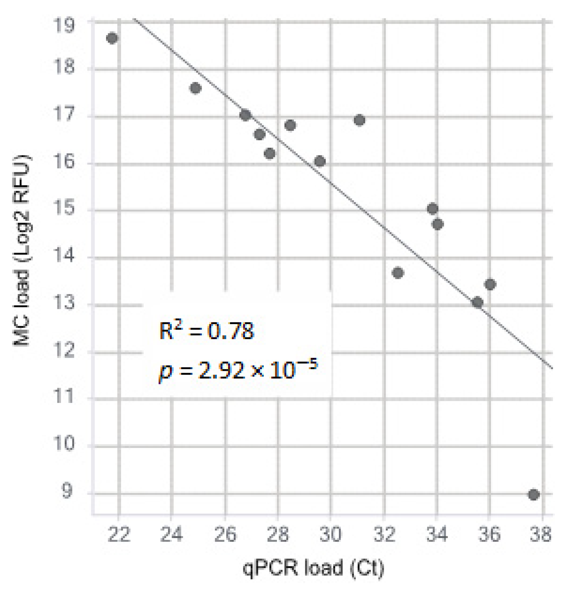
3.1. Part One: Positive and Spiked Blood Samples
3.2. Part Two: Clinical Study in Infants with Suspicion of Early Onset Sepsis
4. Discussion
5. Conclusions
Supplementary Materials
Author Contributions
Funding
Data Availability Statement
Conflicts of Interest
References
- Camacho-Gonzalez, A.; Spearman, P.W.; Stoll, B.J. Neonatal Infectious Diseases: Evaluation of neonatal sepsis. Pediatr. Clin. N. Am. 2013, 60, 367–389. [Google Scholar] [CrossRef] [PubMed]
- Shane, A.L.; Sánchez, P.J.; Stoll, B.J. Neonatal sepsis. Lancet 2017, 390, 1770–1780. [Google Scholar] [CrossRef] [PubMed]
- Zea-Vera, A.; Ochoa, T.J. Challenges in the diagnosis and management of neonatal sepsis. J. Trop. Pediatr. 2015, 61, 1–13. [Google Scholar] [CrossRef] [PubMed]
- National Institute for Health and Clinical Excellence. Neonatal Infection (Early Onset): Antibiotics for Prevention and Treatment (NICE Guideline 149). 2012. Available online: https://www.nice.org.uk/guidance/CG149 (accessed on 10 December 2020).
- Achten, N.B.; Dorigo-Zetsma, J.W.; van der Linden, P.D.; van Brakel, M.; Plötz, F.B. Sepsis calculator implementation reduces empiric antibiotics for suspected early-onset sepsis. Eur. J. Pediatr. 2018, 177, 741–746. [Google Scholar] [CrossRef] [PubMed]
- Dierikx, T.H.; Deianova, N.; Groen, J.; Vijlbrief, D.C.; Hulzebos, C.; de Boode, W.P.; D’Haens, E.J.; Cossey, V.; Kramer, B.W.; van Weissenbruch, M.M.; et al. Association between duration of early empiric antibiotics and necrotizing enterocolitis and late-onset sepsis in preterm infants: A multicenter cohort study. Eur. J. Pediatr. 2022, 181, 3715–3724. [Google Scholar] [CrossRef]
- Bekker, V.; Bijlsma, M.W.; van de Beek, D.; Kuijpers, T.W.; van der Ende, A. Incidence of invasive group B streptococcal disease and pathogen genotype distribution in newborn babies in the Netherlands over 25 years: A nationwide surveillance study. Lancet Infect. Dis. 2014, 14, 1083–1089. [Google Scholar] [CrossRef]
- Van den Hoogen, A.; Gerards, L.J.; Verboon-Maciolek, M.A.; Fleer, A.; Krediet, T.G. Long-Term Trends in the Epidemiology of Neonatal Sepsis and Antibiotic Susceptibility of Causative Agents. Neonatology 2010, 97, 22–28. [Google Scholar] [CrossRef]
- Fleischmann-Struzek, C.; Goldfarb, D.M.; Schlattmann, P.; Schlapbach, L.J.; Reinhart, K.; Kissoon, N. The global burden of paediatric and neonatal sepsis: A systematic review. Lancet Respir. Med. 2018, 6, 223–230. [Google Scholar] [CrossRef]
- Cotten, C.M. Adverse consequences of neonatal antibiotic exposure. Curr. Opin. Pediatr. 2016, 28, 141–149. [Google Scholar] [CrossRef]
- Pammi, M.; Flores, A.; Versalovic, J.; Leeflang, M.M. Molecular assays for the diagnosis of sepsis in neonates. Cochrane Database Syst. Rev. 2017, 2017, CD011926. [Google Scholar] [CrossRef]
- Clarridge, J.E. Impact of 16S rRNA Gene Sequence Analysis for Identification of Bacteria on Clinical Microbiology and Infectious Diseases. Clin. Microbiol. Rev. 2004, 17, 840–862. [Google Scholar] [CrossRef] [PubMed]
- Budding, A.E.; Grasman, M.E.; Lin, F.; Bogaards, J.A.; Soeltan-Kaersenhout, D.J.; Vandenbroucke-Grauls, C.M.J.E.; Van Bodegraven, A.A.; Savelkoul, P.H.M. IS-pro: High-throughput molecular fingerprinting of the intestinal microbiota. FASEB J. 2010, 24, 4556–4564. [Google Scholar] [CrossRef] [PubMed]
- Budding, A.E.; Hoogewerf, M.; Vandenbroucke-Grauls, C.M.J.E.; Savelkoul, P.H.M. Automated Broad-Range Molecular Detection of Bacteria in Clinical Samples. J. Clin. Microbiol. 2016, 54, 934–943. [Google Scholar] [CrossRef]
- Klingenberg, C.; Kornelisse, R.F.; Buonocore, G.; Maier, R.F.; Stocker, M. Culture-Negative Early-Onset Neonatal Sepsis—At the Crossroad Between Efficient Sepsis Care and Antimicrobial Stewardship. Front. Pediatr. 2018, 6, 285. [Google Scholar] [CrossRef]
- van de Groep, K.; on behalf of the MARS consortium; Bos, M.P.; Varkila, M.R.J.; Savelkoul, P.H.M.; Ong, D.S.Y.; Derde, L.P.G.; Juffermans, N.P.; van der Poll, T.; Bonten, M.J.M.; et al. Moderate positive predictive value of a multiplex real-time PCR on whole blood for pathogen detection in critically ill patients with sepsis. Eur. J. Clin. Microbiol. Infect. Dis. 2019, 38, 1829–1836. [Google Scholar] [CrossRef] [PubMed]
- Loonen, A.J.M.; Bos, M.P.; Van Meerbergen, B.; Neerken, S.; Catsburg, A.; Dobbelaer, I.; Penterman, R.; Maertens, G.; Van De Wiel, P.; Savelkoul, P.; et al. Comparison of Pathogen DNA Isolation Methods from Large Volumes of Whole Blood to Improve Molecular Diagnosis of Bloodstream Infections. PLoS ONE 2013, 8, e72349. [Google Scholar] [CrossRef]
- Counsilman, C.E.; Heeger, L.E.; Tan, R.; Bekker, V.; Zwaginga, J.J.; Pas, A.T.; Lopriore, E. Iatrogenic blood loss in extreme preterm infants due to frequent laboratory tests and procedures. J. Matern. Neonatal Med. 2019, 34, 2660–2665. [Google Scholar] [CrossRef] [PubMed]
- Quinones Cardona, V.; Lowery, V.; Cooperberg, D.; Anday, E.K.; Carey, A.J. Eliminating Contamination in Umbilical Cord Blood Culture Sampling for Early-Onset Neonatal Sepsis. Front. Pediatr. 2021, 9, 794710. [Google Scholar] [CrossRef]
- Liesenfeld, O.; Lehman, L.; Hunfeld, K.-P.; Kost, G. Molecular diagnosis of sepsis: New aspects and recent developments. Eur. J. Microbiol. Immunol. 2014, 4, 1–25. [Google Scholar] [CrossRef]
- Postollec, F.; Falentin, H.; Pavan, S.; Combrisson, J.; Sohier, D. Recent advances in quantitative PCR (qPCR) applications in food microbiology. Food Microbiol. 2011, 28, 848–861. [Google Scholar] [CrossRef]
- Furtado, I.; Xavier, P.C.N.; Tavares, L.V.M.; Alves, F.; Martins, S.F.; Martins, A.; Palhares, D.B. Enterococcus faecium AND Enterococcus faecalis in blood of newborns with suspected nosocomial infection. Rev. Inst. Med. Trop. Sao Paulo 2014, 56, 77–80. [Google Scholar] [CrossRef]
- Oeser, C.; Pond, M.; Butcher, P.; Russell, A.B.; Henneke, P.; Laing, K.; Planche, T.; Heath, P.T.; Harris, K. PCR for the detection of pathogens in neonatal early onset sepsis. PLoS ONE 2020, 15, e0226817. [Google Scholar] [CrossRef]
- Connell, T.G.; Rele, M.; Cowley, D.; Buttery, J.P.; Curtis, N. How Reliable Is a Negative Blood Culture Result? Volume of Blood Submitted for Culture in Routine Practice in a Children’s Hospital. Pediatrics 2007, 119, 891–896. [Google Scholar] [CrossRef] [PubMed]
- Bossuyt, P.M.; Irwig, L.; Craig, J.; Glasziou, P. Comparative accuracy: Assessing new tests against existing diagnostic pathways. BMJ 2006, 332, 1089–1092. [Google Scholar] [CrossRef] [PubMed]
- Simonsen, K.A.; Anderson-Berry, A.L.; Delair, S.F.; Dele Davies, H. Early-Onset Neonatal Sepsis. Clin. Microbiol. Rev. 2014, 27, 21–47. [Google Scholar] [CrossRef]
- Shah, B.A.; Padbury, J.F. Neonatal sepsis: An old problem with new insights. Virulence 2013, 5, 170–178. [Google Scholar] [CrossRef]
- Widness, J.A. Treatment and Prevention of Neonatal Anemia. Neoreviews 2008, 9, e526–e533. [Google Scholar] [CrossRef] [PubMed]
- Dierikx, T.H.; van Kaam, A.H.L.C.; de Meij, T.G.J.; de Vries, R.; Onland, W.; Visser, D.H. Umbilical cord blood culture in neonatal early-onset sepsis: A systematic review and meta-analysis. Pediatr. Res. 2021, 92, 362–372. [Google Scholar] [CrossRef] [PubMed]


| High | Low | |||
|---|---|---|---|---|
| Ct | MC Load | Ct | MC Load | |
| Enterococcus faecalis | 24.89 | 199,345 | 35.55 | 8548 |
| Enterococcus faecium | 28.46 | 114,870 | 36.05 | 11,143 |
| Escherichia coli | 26.77 | 134,370 | 34.03 | 27,040 |
| Klebsiella pneumoniae | 21.75 | 413,780 | 33.84 | 33,867 |
| Morganella morganii | 32.55 | 13,174 | ||
| Pseudomonas aeruginosa | 29.57 | 67,570 | 37.68 | 500 |
| Salmonella enteritidis | 27.33 | 100,043 | ||
| Staphylococcus aureus | 31.1 | 123,076 | 37.64 | 0 |
| Streptococcus pneumoniae | 27.71 | 75,570 | ||
| Controls (n = 21) | Clinical EOS Cases (n = 17) | |
|---|---|---|
| Gestational age, median [IQR], weeks + days | 38+1 [36+0–40+6] | 40+2 [38+6–41+1] |
| Birthweight, median [IQR], grams | 3300 [2697–3835] | 3676 [3353–4126] |
| Female gender, n (%) | 9 (43%) | 4 (24%) |
| Vaginal delivery, n (%) | 6 (29%) | 8 (47%) |
| C-reactive protein, median [IQR], mg/L | 6.8 [1.7–17.0] | 48.0 [32.5–70.0] |
| Maternal age, mean (sd), years | 32.0 [30.0–34.0] | 34.0 [29.3–35.5] |
| 5 min Apgar score, median [IQR] | 10 [10–10] | 9 [7–10] |
| Maternal fever, n (%) * | 9 (43%) | 10 (59%) |
| Maternal GBS colonization, n (%) | 6 (29%) | 1 (6%) |
| PROM, n (%) ** | 14 (67%) | 8 (47%) |
| Maternal IAP, n (%) | 10 (48%) | 7 (41%) |
| Well-appearing at inclusion, n (%) *** | 11 (52%) | 1 (6%) |
Disclaimer/Publisher’s Note: The statements, opinions and data contained in all publications are solely those of the individual author(s) and contributor(s) and not of MDPI and/or the editor(s). MDPI and/or the editor(s) disclaim responsibility for any injury to people or property resulting from any ideas, methods, instructions or products referred to in the content. |
© 2023 by the authors. Licensee MDPI, Basel, Switzerland. This article is an open access article distributed under the terms and conditions of the Creative Commons Attribution (CC BY) license (https://creativecommons.org/licenses/by/4.0/).
Share and Cite
Dierikx, T.; Budding, A.; Bos, M.; van Laerhoven, H.; van der Schoor, S.; Niemarkt, H.; Benninga, M.; van Kaam, A.; Visser, D.; de Meij, T. Potential of Molecular Culture in Early Onset Neonatal Sepsis Diagnosis: A Proof of Principle Study. Microorganisms 2023, 11, 960. https://doi.org/10.3390/microorganisms11040960
Dierikx T, Budding A, Bos M, van Laerhoven H, van der Schoor S, Niemarkt H, Benninga M, van Kaam A, Visser D, de Meij T. Potential of Molecular Culture in Early Onset Neonatal Sepsis Diagnosis: A Proof of Principle Study. Microorganisms. 2023; 11(4):960. https://doi.org/10.3390/microorganisms11040960
Chicago/Turabian StyleDierikx, Thomas, Andries Budding, Martine Bos, Henriëtte van Laerhoven, Sophie van der Schoor, Hendrik Niemarkt, Marc Benninga, Anton van Kaam, Douwe Visser, and Tim de Meij. 2023. "Potential of Molecular Culture in Early Onset Neonatal Sepsis Diagnosis: A Proof of Principle Study" Microorganisms 11, no. 4: 960. https://doi.org/10.3390/microorganisms11040960
APA StyleDierikx, T., Budding, A., Bos, M., van Laerhoven, H., van der Schoor, S., Niemarkt, H., Benninga, M., van Kaam, A., Visser, D., & de Meij, T. (2023). Potential of Molecular Culture in Early Onset Neonatal Sepsis Diagnosis: A Proof of Principle Study. Microorganisms, 11(4), 960. https://doi.org/10.3390/microorganisms11040960

