Water-Soluble Fullerene C60 Derivatives Are Effective Inhibitors of Influenza Virus Replication
Abstract
1. Introduction
2. Materials and Methods
2.1. Cells and Viruses
2.2. Test Compounds
2.3. Culture Medium
2.4. Synthesis of Water-Soluble Fullerenes
2.5. Cytotoxicity Assay
2.6. CPE Reduction Assay
2.7. Time-of-Addition Experiments
2.8. Virus Yield Reduction Assay
2.9. Statistical Analysis
3. Results
3.1. Anti-Influenza Activity of Fullerene Derivatives
![]() | ||||||
|---|---|---|---|---|---|---|
| # | R | X | CC50 (µg/mL) a | IC50 (µg/mL) b | SI c | Reference for Synthesis and Characterization |
| 1 | ![]() | H | >300 | 6.3 ± 2.5 | 48 | [16,23] |
| 2 | ![]() | Cl | >300 | 4.73 ± 2.47 | 64 | [19] |
| 3 | ![]() | H | >300 | 5.53 ± 1.72 | 55 | this work |
| 4 | ![]() | Cl | >300 | 6.67 ± 2.44 | 45 | [19] |
| 5 | ![]() | H | 33.37 ± 9.42 | 0.39 ± 0.07 | 84 | [18] |
| 6 | ![]() | H | >300 | 106.0 ± 8.54 | 3 | [24] |
| 7 | ![]() | Cl | 35.13 ± 1.06 | >30 | 1 | [15,25,26] |
| 8 | ![]() | H | 14.8 ± 2.10 | >11 | 1 | [26] |
| 9 | ![]() | H | >300 | >300 | 1 | [26] |
| 10 | ![]() | H | >300 | 31.33 ± 8.66 | 10 | [24] |
| 11 | ![]() | H | >200 | 34.10 ± 8.91 | 6 | [15,16,23] |
| 12 | ![]() | Cl | <3 | <3 | <1 | [23] |
| 13 | ![]() | Cl | >300 | 158.03 ± 13.71 | 2 | [19] |
| 14 | ![]() | Cl | >300 | >300 | 1 | [19] |
| 15 | ![]() | Cl | >300 | 83.30 ± 7.67 | 4 | [19] |
| 16 | ![]() | H | >300 | 40.17 ± 8.26 | 7 | [19] |
| 17 | ![]() | H | 200.00 ± 5.00 | >100 | 2 | [15,16] |
| 18 | ![]() | Cl | >200 | 63.00 ± 10.64 | 3 | [23] |
| 19 | ![]() | Cl | >300 | 33.03 ± 9.87 | 9 | [23,27] |
| 20 | ![]() | Cl | 57.83 ± 6.86 | 45.07 ± 7.19 | 1 | [23] |
| 21 | ![]() | Cl | 14.70 ± 2.57 | >10 | 1 | [23] |
| 22 | ![]() | Cl | 33.60 ± 6.51 | >30 | 1 | [17,19] |
| 23 | ![]() | Cl | 30.50 ± 4.86 | 6.93 ± 2.80 | 4 | [28] |
| 24 | ![]() | Me | 43.60 ± 6.55 | >12.5 | 3 | [29] |
| 25 | ![]() | iPr | 14.70 ± 3.75 | >11 | 1 | [29] |
| 26 | ![]() | Bu | 24.13 ± 4.01 | >12.5 | 2 | [29] |
| 27 | ![]() | Cl | 12.23 ± 3.15 | >11 | 1 | [30] |
| 28 | ![]() | Cl | >300 | >300 | 1 | [31] |
| 29 | ![]() | Cl | 11.87 ± 4.47 | 4.00 ± 1.67 | 3 | [29] |
| 30 | ![]() | H | 9.70 ± 2.40 | 3.70 ± 1.01 | 3 | [29] |
| 31 | ![]() | Et | 3.67 ± 2.10 | >3 | 1 | [29] |
| 32 | ![]() | Cl | 33.00 ± 9.53 | 10.33 ± 2.60 | 3 | [28,32] |
| 33 | ![]() | ![]() | 36.60 ± 6.62 | 1.10 ± 0.26 | 33 | [32] |
| 34 | ![]() | H | 32.37 ± 7.07 | 11.13 ± 1.95 | 3 | [32] |
| 35 | ![]() | Cl | >300 | 213.07 ± 13.62 | 1 | [28] |
| 36 | ![]() | Cl | 23.23 ± 7.68 | 5.47 ± 2.00 | 4 | [33] |
| 37 | ![]() | Cl | 1.47 ± 0.81 | 0.24 ± 0.08 | 6 | this work |
| 38 | ![]() | Cl | 21.03 ± 7.38 | 6.97 ± 1.45 | 3 | [17] |
| 39 | ![]() | Et | 126.07 ± 5.25 | 96.87 ± 5.85 | 1 | this work |
| 40 | ![]() | Me | 3.70 ± 1.05 | >3 | 1 | [18] |
| 41 | ![]() | Et | 13.80 ± 4.00 | >11 | 1 | [18] |
| 42 | ![]() | H | 11.60 ± 5.60 | >11 | 1 | [18] |
| 43 | ![]() | Cl | 3.63 ± 1.16 | 1.03 ± 0.40 | 4 | [18] |
| 44 | ![]() | Cl | 102.27 ± 10.89 | 15.83 ± 1.60 | 6 | [17,19] |
| 45 | ![]() | Cl | >300 | 31.30 ± 5.83 | 10 | [17,19] |
| Oseltamivir carboxylate | >200 d | 0.3 ± 0.02 d | >667 | N/A | ||
3.2. Time-of-Addition Experiments
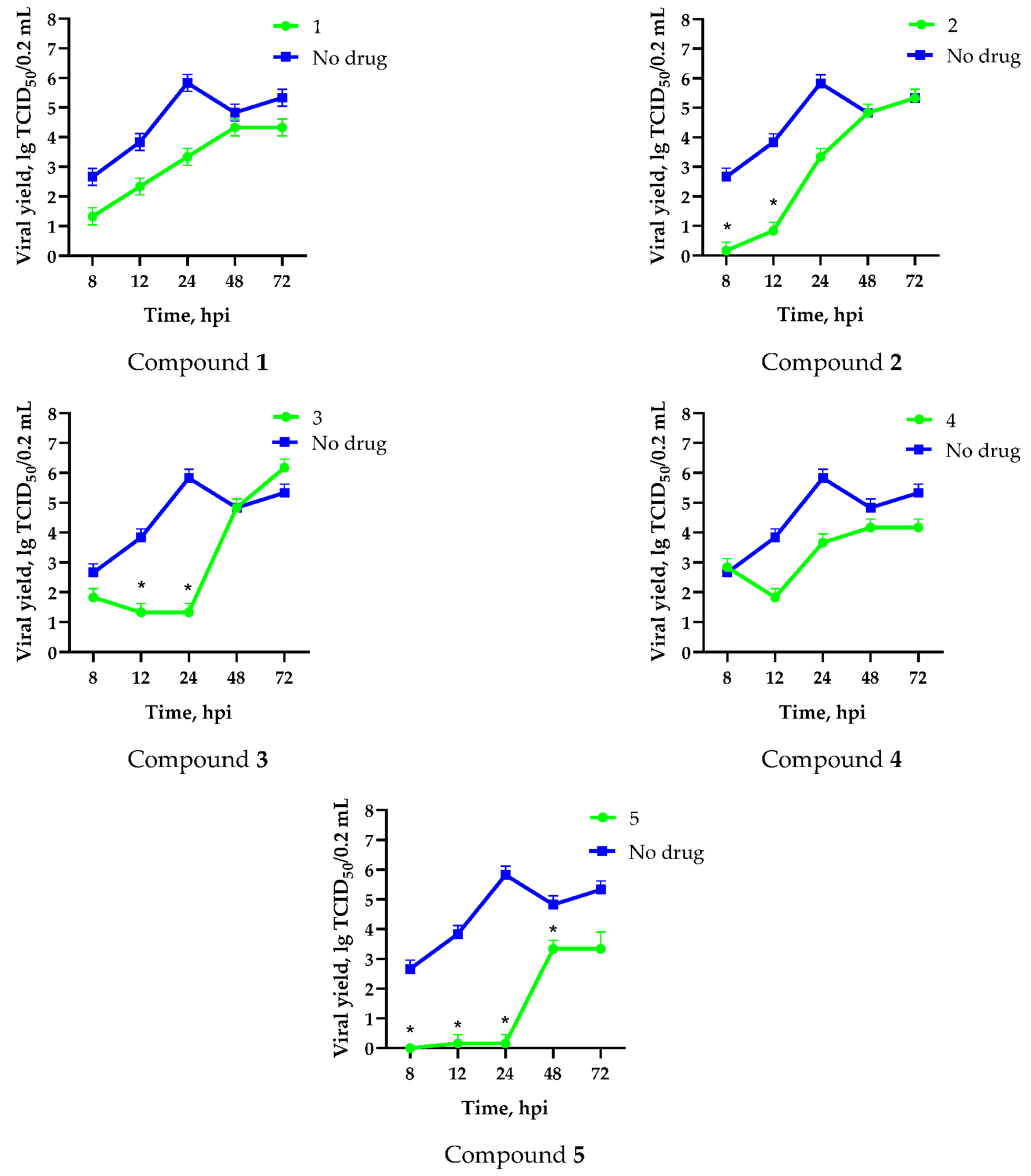
3.3. One-Step Growth Curve in the Presence of the Most Active Compounds 1– 5
4. Discussion
Supplementary Materials
Author Contributions
Funding
Institutional Review Board Statement
Data Availability Statement
Acknowledgments
Conflicts of Interest
References
- Influenza (Seasonal). Available online: www.who.int/mediacentre/factsheets/fs211/en/ (accessed on 11 October 2022).
- Clark, A.M.; DeDiego, M.L.; Anderson, C.S.; Wang, J.; Yang, H.; Nogales, A.; Martinez-Sobrido, L.; Zand, M.S.; Sangster, M.Y.; Topham, D.J. Antigenicity of the 2015–2016 Seasonal H1N1 Human Influenza Virus HA and NA Proteins. PLoS ONE 2017, 12, e0188267. [Google Scholar] [CrossRef]
- Ison, M.G. Antivirals and Resistance: Influenza Virus. Curr. Opin. Virol. 2011, 1, 563–573. [Google Scholar] [CrossRef] [PubMed]
- Kroto, H.W.; Heath, J.R.; O’Brien, S.C.; Curl, R.F.; Smalley, R.E. C60: Buckminsterfullerene. Nature 1985, 318, 162–163. [Google Scholar] [CrossRef]
- Kolosnjaj, J.; Szwarc, H.; Moussa, F. Toxicity Studies of Fullerenes and Derivatives; Springer: New York, NY, USA, 2007; pp. 168–180. [Google Scholar]
- Aschberger, K.; Johnston, H.J.; Stone, V.; Aitken, R.J.; Tran, C.L.; Hankin, S.M.; Peters, S.A.K.; Christensen, F.M. Review of Fullerene Toxicity and Exposure—Appraisal of a Human Health Risk Assessment, Based on Open Literature. Regul. Toxicol. Pharmacol. 2010, 58, 455–473. [Google Scholar] [CrossRef] [PubMed]
- Lin, C.-M.; Lu, T.-Y. C60 fullerene derivatized nanoparticles and their application to therapeutics. Recent Pat. Nanotechnol. 2012, 6, 105–113. [Google Scholar]
- Injac, R.; Prijatelj, M.; Strukelj, B. Fullerenol Nanoparticles: Toxicity and Antioxidant Activity; Humana Press: Totowa, NJ, USA, 2013; pp. 75–100. [Google Scholar]
- Zhou, Y.; Li, J.; Ma, H.; Zhen, M.; Guo, J.; Wang, L.; Jiang, L.; Shu, C.; Wang, C. Biocompatible [60]/[70] Fullerenols: Potent Defense against Oxidative Injury Induced by Reduplicative Chemotherapy. ACS Appl. Mater. Interfaces 2017, 9, 35539–35547. [Google Scholar] [CrossRef] [PubMed]
- Mashino, T. Development of Bio-Active Fullerene Derivatives Suitable for Drug. Yakugaku Zasshi J. Pharm. Soc. Jpn. 2022, 142, 165–179. [Google Scholar] [CrossRef]
- Hui, M.; Jia, X.; Li, X.; Lazcano-Silveira, R.; Shi, M. Anti-Inflammatory and Antioxidant Effects of Liposoluble C60 at the Cellular, Molecular, and Whole-Animal Levels. J. Inflamm. Res. 2023, 16, 83–93. [Google Scholar] [CrossRef]
- Mizuno, K.; Zhiyentayev, T.; Huangv, L.; Khalil, S.; Nasim, F. Antimicrobial Photodynamic Therapy with Functionalized Fullerenes: Quantitative Structure-Activity Relationships. J. Nanomed. Nanotechnol. 2011, 2, 1–9. [Google Scholar] [CrossRef]
- Misra, C.; Kumar, M.; Sharma, G.; Kumar, R.; Singh, B.; Katare, O.P.; Raza, K. Glycinated Fullerenes for Tamoxifen Intracellular Delivery with Improved Anticancer Activity and Pharmacokinetics. Nanomedicine 2017, 12, 1011–1023. [Google Scholar] [CrossRef]
- Piotrovsky, L.B.; Kiselev, O.I. Fullerenes and Viruses. Fuller. Nanotub. Carbon Nanostruct. 2005, 12, 397–403. [Google Scholar] [CrossRef]
- Kornev, A.B.; Khakina, E.A.; Troyanov, S.I.; Kushch, A.A.; Peregudov, A.; Vasilchenko, A.; Deryabin, D.G.; Martynenko, V.M.; Troshin, P.A. Facile Preparation of Amine and Amino Acid Adducts of [60]Fullerene Using Chlorofullerene C60Cl6 as a Precursor. Chem. Commun. 2012, 48, 5461–5463. [Google Scholar] [CrossRef]
- Hsieh, F.-Y.; Zhilenkov, A.V.; Voronov, I.I.; Khakina, E.A.; Mischenko, D.V.; Troshin, P.A.; Hsu, S. Water-Soluble Fullerene Derivatives as Brain Medicine: Surface Chemistry Determines If They Are Neuroprotective and Antitumor. ACS Appl. Mater. Interfaces 2017, 9, 11482–11492. [Google Scholar] [CrossRef]
- Kraevaya, O.A.; Peregudov, A.S.; Godovikov, I.A.; Shchurik, E.V.; Martynenko, V.M.; Shestakov, A.F.; Balzarini, J.; Schols, D.; Troshin, P.A. Direct Arylation of C60Cl6 and C70Cl8 with Carboxylic Acids: A Synthetic Avenue to Water-Soluble Fullerene Derivatives with Promising Antiviral Activity. Chem. Commun. 2020, 56, 1179–1182. [Google Scholar] [CrossRef]
- Kraevaya, O.A.; Peregudov, A.S.; Fedorova, N.E.; Klimova, R.R.; Godovikov, I.A.; Mishchenko, D.V.; Shestakov, A.F.; Schols, D.; Kushch, A.A.; Troshin, P.A. Thiophene-Based Water-Soluble Fullerene Derivatives as Highly Potent Antiherpetic Pharmaceuticals. Org. Biomol. Chem. 2020, 18, 8702–8708. [Google Scholar] [CrossRef]
- Huang, H.-J.; Chetyrkina, M.; Wong, C.-W.; Kraevaya, O.A.; Zhilenkov, A.V.; Voronov, I.I.; Wang, P.-H.; Troshin, P.A.; Hsu, S. Identification of Potential Descriptors of Water-Soluble Fullerene Derivatives Responsible for Antitumor Effects on Lung Cancer Cells via QSAR Analysis. Comput. Struct. Biotechnol. J. 2021, 19, 812–825. [Google Scholar] [CrossRef] [PubMed]
- Yu, W.; Cheng, L.P.; Pang, W.; Ling Guo, L. Design, Synthesis and Biological Evaluation of Novel 1,3,4-Oxadiazole Derivatives as Potent Neuraminidase Inhibitors. Bioorg. Med. Chem. 2022, 57, 116647. [Google Scholar] [CrossRef]
- Hu, Y.; Zhang, J.; Musharrafieh, R.G.; Ma, C.; Hau, R.; Wang, J. Discovery of Dapivirine, a Nonnucleoside HIV-1 Reverse Transcriptase Inhibitor, as a Broad-Spectrum Antiviral against Both Influenza A and B Viruses. Antivir. Res. 2017, 145, 103–113. [Google Scholar] [CrossRef] [PubMed]
- Mosmann, T. Rapid Colorimetric Assay for Cellular Growth and Survival: Application to Proliferation and Cytotoxicity Assays. J. Immunol. Methods 1983, 65, 55–63. [Google Scholar] [CrossRef] [PubMed]
- Wong, C.-W.; Zhilenkov, A.V.; Kraevaya, O.A.; Mischenko, D.V.; Troshin, P.A.; Hsu, S. Toward Understanding the Antitumor Effects of Water-Soluble Fullerene Derivatives on Lung Cancer Cells: Apoptosis or Autophagy Pathways? J. Med. Chem. 2019, 62, 7111–7125. [Google Scholar] [CrossRef] [PubMed]
- Khakina, E.A.; Yurkova, A.A.; Peregudov, A.S.; Troyanov, S.I.; Trush, V.V.; Vovk, A.I.; Mumyatov, A.V.; Martynenko, V.M.; Balzarini, J.; Troshin, P.A. Highly Selective Reactions of C60Cl6 with Thiols for the Synthesis of Functionalized [60]Fullerene Derivatives. Chem. Commun. 2012, 48, 7158–7160. [Google Scholar] [CrossRef]
- Zhilenkov, A.V.; Khakina, E.A.; Troshin, P.A.; Inchagova, K.S.; Deryabin, D.G. Synthesis and Antibacterial Activity of Hybrid Supramolecular Complexes Based on Tetracycline/Doxycycline and Water-Soluble C60-Fullerene Derivatives. Pharm. Chem. J. 2017, 50, 637–641. [Google Scholar] [CrossRef]
- Deryabin, D.G.; Efremova, L.V.; Vasilchenko, A.S.; Saidakova, E.V.; Sizova, E.A.; Troshin, P.A.; Zhilenkov, A.V.; Khakina, E.A. A Zeta Potential Value Determines the Aggregate’s Size of Penta-Substituted [60]Fullerene Derivatives in Aqueous Suspension Whereas Positive Charge Is Required for Toxicity against Bacterial Cells. J. Nanobiotechnol. 2015, 13, 50. [Google Scholar] [CrossRef]
- Soldatova, Y.V.; Kotelnikova, R.A.; Zhilenkov, A.V.; Faingold, I.I.; Troshin, P.A.; Kozlova, M.A.; Areshidze, D.A.; Aldoshin, S.M. Potassium Salt of Fullerenylpenta-N-Dihydroxytyrosine Effects on Type 2 Diabetes Mellitus Therapeutic Targets. Dokl. Biochem. Biophys. 2019, 488, 320–323. [Google Scholar] [CrossRef]
- Fedorova, N.E.; Klimova, R.R.; Tulenev, Y.A.; Chichev, E.V.; Kornev, A.B.; Troshin, P.A.; Kushch, A.A. Carboxylic Fullerene C60 Derivatives: Efficient Microbicides Against Herpes Simplex Virus And Cytomegalovirus Infections In Vitro. Mendeleev Commun. 2012, 22, 254–256. [Google Scholar] [CrossRef]
- Kraevaya, O.A.; Peregudov, A.S.; Troyanov, S.I.; Godovikov, I.; Fedorova, N.E.; Klimova, R.R.; Sergeeva, V.A.; Kameneva, L.V.; Ershova, E.S.; Martynenko, V.M.; et al. Diversion of the Arbuzov Reaction: Alkylation of C–Cl Instead of Phosphonic Ester Formation on the Fullerene Cage. Org. Biomol. Chem. 2019, 17, 7155–7160. [Google Scholar] [CrossRef] [PubMed]
- Troshina, O.A.; Troshin, P.A.; Peregudov, A.S.; Kozlovskiy, V.I.; Balzarini, J.; Lyubovskaya, R.N. Chlorofullerene C60Cl6: A Precursor for Straightforward Preparation of Highly Water-Soluble Polycarboxylic Fullerene Derivatives Active against HIV. Org. Biomol. Chem. 2007, 5, 2783. [Google Scholar] [CrossRef] [PubMed]
- Kotelnikova, R.A.; Smolina, A.V.; Grigoryev, V.V.; Faingold, I.I.; Mischenko, D.V.; Rybkin, A.Y.; Poletayeva, D.A.; Vankin, G.I.; Zamoyskiy, V.L.; Voronov, I.I.; et al. Influence of Water-Soluble Derivatives of [60]Fullerene on Therapeutically Important Targets Related to Neurodegenerative Diseases. Medchemcomm 2014, 5, 1664–1668. [Google Scholar] [CrossRef]
- Huang, H.-J.; Kraevaya, O.A.; Voronov, I.I.; Troshin, P.A.; Hsu, S. Fullerene Derivatives as Lung Cancer Cell Inhibitors: Investigation of Potential Descriptors Using QSAR Approaches. Int. J. Nanomed. 2020, 15, 2485–2499. [Google Scholar] [CrossRef] [PubMed]
- Voronov, I.I.; Martynenko, V.M.; Chernyak, A.V.; Godovikov, I.; Peregudov, A.S.; Balzarini, J.; Shestakov, A.F.; Schols, D.; Troshin, P.A. Synthesis, Characterization and Anti-HIV Activity of Polycarboxylic [60]Fullerene Derivatives Obtained in the Reaction of C60Cl6 with a Hydroquinone Ether. Tetrahedron Lett. 2020, 61, 151598. [Google Scholar] [CrossRef]
- Pochkaeva, E.I.; Podolsky, N.E.; Zakusilo, D.N.; Petrov, A.V.; Charykov, N.A.; Vlasov, T.D.; Penkova, A.V.; Vasina, L.V.; Murin, I.V.; Sharoyko, V.V.; et al. Fullerene Derivatives with Amino Acids, Peptides and Proteins: From Synthesis to Biomedical Application. Prog. Solid State Chem. 2020, 57, 100255. [Google Scholar] [CrossRef]
- Du, C.-X.; Xiong, H.-R.; Ji, H.; Liu, Q.; Xiao, H.; Yang, Z.-Q. The Antiviral Effect of Fullerene-Liposome Complex against Influenza Virus (H1N1) in Vivo. Sci. Res. Essays 2012, 7, 7111–7125. [Google Scholar]
- Sushko, E.S.; Vnukova, N.G.; Churilov, G.N.; Kudryasheva, N.S. Endohedral Gd-Containing Fullerenol: Toxicity, Antioxidant Activity, and Regulation of Reactive Oxygen Species in Cellular and Enzymatic Systems. Int. J. Mol. Sci. 2022, 23, 5152. [Google Scholar] [CrossRef] [PubMed]
- Mikheev, I.V.; Sozarukova, M.M.; Izmailov, D.Y.; Kareev, I.E.; Proskurnina, E.V.; Proskurnin, M.A. Antioxidant Potential of Aqueous Dispersions of Fullerenes C60, C70, and Gd@C82. Int. J. Mol. Sci. 2021, 22, 5838. [Google Scholar] [CrossRef]
- Mikheev, I.V.; Sozarukova, M.M.; Proskurnina, E.V.; Kareev, I.E.; Proskurnin, M.A. Non-Functionalized Fullerenes and Endofullerenes in Aqueous Dispersions as Superoxide Scavengers. Molecules 2020, 25, 2506. [Google Scholar] [CrossRef]
- Kovel, E.S.; Kicheeva, A.G.; Vnukova, N.G.; Churilov, G.N.; Stepin, E.A.; Kudryasheva, N.S. Toxicity and Antioxidant Activity of Fullerenol C60,70 with Low Number of Oxygen Substituents. Int. J. Mol. Sci. 2021, 22, 6382. [Google Scholar] [CrossRef] [PubMed]





Disclaimer/Publisher’s Note: The statements, opinions and data contained in all publications are solely those of the individual author(s) and contributor(s) and not of MDPI and/or the editor(s). MDPI and/or the editor(s) disclaim responsibility for any injury to people or property resulting from any ideas, methods, instructions or products referred to in the content. |
© 2023 by the authors. Licensee MDPI, Basel, Switzerland. This article is an open access article distributed under the terms and conditions of the Creative Commons Attribution (CC BY) license (https://creativecommons.org/licenses/by/4.0/).
Share and Cite
Sinegubova, E.O.; Kraevaya, O.A.; Volobueva, A.S.; Zhilenkov, A.V.; Shestakov, A.F.; Baykov, S.V.; Troshin, P.A.; Zarubaev, V.V. Water-Soluble Fullerene C60 Derivatives Are Effective Inhibitors of Influenza Virus Replication. Microorganisms 2023, 11, 681. https://doi.org/10.3390/microorganisms11030681
Sinegubova EO, Kraevaya OA, Volobueva AS, Zhilenkov AV, Shestakov AF, Baykov SV, Troshin PA, Zarubaev VV. Water-Soluble Fullerene C60 Derivatives Are Effective Inhibitors of Influenza Virus Replication. Microorganisms. 2023; 11(3):681. https://doi.org/10.3390/microorganisms11030681
Chicago/Turabian StyleSinegubova, Ekaterina O., Olga A. Kraevaya, Aleksandrina S. Volobueva, Alexander V. Zhilenkov, Alexander F. Shestakov, Sergey V. Baykov, Pavel A. Troshin, and Vladimir V. Zarubaev. 2023. "Water-Soluble Fullerene C60 Derivatives Are Effective Inhibitors of Influenza Virus Replication" Microorganisms 11, no. 3: 681. https://doi.org/10.3390/microorganisms11030681
APA StyleSinegubova, E. O., Kraevaya, O. A., Volobueva, A. S., Zhilenkov, A. V., Shestakov, A. F., Baykov, S. V., Troshin, P. A., & Zarubaev, V. V. (2023). Water-Soluble Fullerene C60 Derivatives Are Effective Inhibitors of Influenza Virus Replication. Microorganisms, 11(3), 681. https://doi.org/10.3390/microorganisms11030681
















































