Gut Microbiota Composition Changes following Discontinuation of Exclusive Enteral Nutrition in Children with Crohn’s Disease
Abstract
1. Introduction
2. Materials and Methods
2.1. Patients and Study Design
2.2. Microbiota Analysis
2.3. Statistics
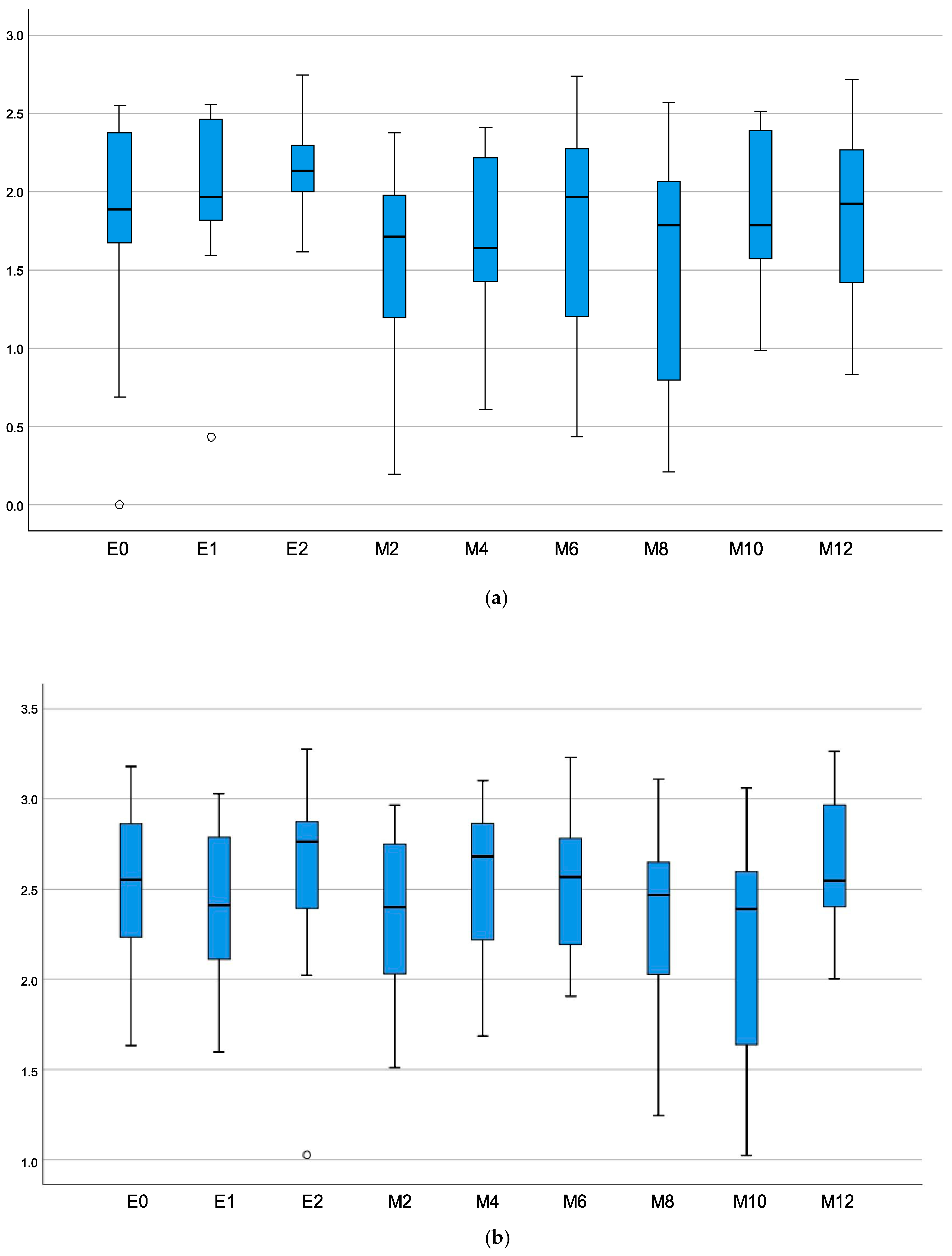
3. Results


- N—sustained remission; F—non-sustained remission.
- N1/F1—patients at baseline; N2/F2—patients on day 2 of EEN; N3/F3—patients at the end of EEN; N4/F4—2 months after the cessation of EEN; and N5/F5—4 months after the cessation of EEN.
4. Discussion
5. Conclusions
Author Contributions
Funding
Institutional Review Board Statement
Informed Consent Statement
Data Availability Statement
Conflicts of Interest
References
- Kellermayer, R.; Zilbauer, M. The Gut Microbiome and the Triple Environmental Hit Concept of Inflammatory Bowel Disease Pathogenesis. J. Pediatr. Gastroenterol. Nutr. 2020, 71, 589–595. [Google Scholar] [CrossRef]
- Horwat, P.; Kopeć, S.; Garczyk, A.; Kaliciak, I.; Staręga, Z.; Drogowski, K.; Mardas, M.; Stelmach-Mardas, M. Influence of Enteral Nutrition on Gut Microbiota Composition in Patients with Crohn’s Disease: A Systematic Review. Nutrients 2020, 12, 2551. [Google Scholar] [CrossRef]
- Gong, D.; Yu, X.; Wang, L.; Kong, L.; Gong, X.; Dong, Q. Exclusive Enteral Nutrition Induces Remission in Pediatric Crohn’s Disease via Modulation of the Gut Microbiota. BioMed Res. Int. 2017, 2017, 8102589. [Google Scholar] [CrossRef] [PubMed]
- Assa, A.; Shamir, R. Exclusive enteral nutrition for inducing remission in inflammatory bowel disease in paediatric patients. Curr. Opin. Clin. Nutr. Metab. Care 2017, 20, 384–389. [Google Scholar] [CrossRef] [PubMed]
- MacLellan, A.; Connors, J.; Grant, S.; Cahill, L.; Langille, M.; Van Limbergen, J. The Impact of Exclusive Enteral Nutrition (EEN) on the Gut Microbiome in Crohn’s Disease: A Review. Nutrients 2017, 9, 447. [Google Scholar] [CrossRef] [PubMed]
- Van Rheenen, P.F.; Aloi, M.; Assa, A.; Bronsky, J.; Escher, J.C.; Fagerberg, U.L.; Gasparetto, M.; Gerasimidis, K.; Griffiths, A.; Henderson, P.; et al. The Medical Management of Paediatric Crohn’s Disease: An ECCO-ESPGHAN Guideline Update. J. Crohn’s Colitis 2021, 15, 171–194. [Google Scholar] [CrossRef] [PubMed]
- Sila, S.; Jelić, M.; Trivić, I.; Tambić Andrašević, A.; Kolaček, S.; Hojsak, I. Healthy Siblings of Children with Crohn’s Disease Exhibit More Rapid Changes in Microbiota Composition as a Response to Exclusive Enteral Nutrition. J. Parenter. Enter. Nutr. 2021, 45, 1352–1363. [Google Scholar] [CrossRef] [PubMed]
- Gerasimidis, K.; Bertz, M.; Hanske, L.; Junick, J.; Biskou, O.; Aguilera, M.; Garrick, V.; Russell, R.K.; Blaut, M.; McGrogan, P.; et al. Decline in presumptively protective gut bacterial species and metabolites are paradoxically associated with disease improvement in pediatric Crohn’s disease during enteral nutrition. Inflamm. Bowel Dis. 2014, 20, 861–871. [Google Scholar] [CrossRef] [PubMed]
- Kaakoush, N.O.; Day, A.S.; Leach, S.T.; Lemberg, D.A.; Nielsen, S.; Mitchell, H.M. Effect of exclusive enteral nutrition on the microbiota of children with newly diagnosed Crohn’s disease. Clin. Transl. Gastroenterol. 2015, 6, e71. [Google Scholar] [CrossRef] [PubMed]
- Lewis, J.D.; Chen, E.Z.; Baldassano, R.N.; Otley, A.R.; Griffiths, A.M.; Lee, D.; Bittinger, K.; Bailey, A.; Friedman, E.S.; Hoffmann, C.; et al. Inflammation, Antibiotics, and Diet as Environmental Stressors of the Gut Microbiome in Pediatric Crohn’s Disease. Cell Host Microbe 2017, 22, 247. [Google Scholar] [CrossRef]
- Quince, C.; Ijaz, U.Z.; Loman, N.; Eren, A.M.; Saulnier, D.; Russell, J.; Haig, S.J.; Calus, S.T.; Quick, J.; Barclay, A.; et al. Extensive Modulation of the Fecal Metagenome in Children with Crohn’s Disease during Exclusive Enteral Nutrition. Am. J. Gastroenterol. 2015, 110, 1718–1729. [Google Scholar] [CrossRef] [PubMed]
- Dunn, K.A.; Moore-Connors, J.; MacIntyre, B.; Stadnyk, A.W.; Thomas, N.A.; Noble, A.; Mahdi, G.; Rashid, M.; Otley, A.R.; Bielawski, J.P.; et al. Early Changes in Microbial Community Structure Are Associated with Sustained Remission after Nutritional Treatment of Pediatric Crohn’s Disease. Inflamm. Bowel Dis. 2016, 22, 2853–2862. [Google Scholar] [CrossRef] [PubMed]
- Guinet-Charpentier, C.; Lepage, P.; Morali, A.; Chamaillard, M.; Peyrin-Biroulet, L. Effects of enteral polymeric diet on gut microbiota in children with Crohn’s disease. Gut. 2017, 66, 194–195. [Google Scholar] [CrossRef] [PubMed]
- Leach, S.T.; Mitchell, H.M.; Eng, W.R.; Zhang, L.; Day, A.S. Sustained modulation of intestinal bacteria by exclusive enteral nutrition used to treat children with Crohn’s disease. Aliment. Pharmacol. Ther. 2008, 28, 724–733. [Google Scholar] [CrossRef] [PubMed]
- Schwerd, T.; Frivolt, K.; Clavel, T.; Lagkouvardos, I.; Katona, G.; Mayr, D.; Uhlig, H.H.; Haller, D.; Koletzko, S.; Bufler, P. Exclusive enteral nutrition in active pediatric Crohn disease: Effects on intestinal microbiota and immune regulation. J. Allergy Clin. Immunol. 2016, 138, 592–596. [Google Scholar] [CrossRef] [PubMed]
- Shiga, H.; Kajiura, T.; Shinozaki, J.; Takagi, S.; Kinouchi, Y.; Takahashi, S.; Negoro, K.; Endo, K.; Kakuta, Y.; Suzuki, M.; et al. Changes of faecal microbiota in patients with Crohn’s disease treated with an elemental diet and total parenteral nutrition. Dig. Liver Dis. 2012, 44, 736–742. [Google Scholar] [CrossRef]
- Jones, C.M.; Connors, J.; Dunn, K.A.; Bielawski, J.P.; Comeau, A.M.; Langille, M.G.; Van Limbergen, J. Bacterial Taxa and Functions Are Predictive of Sustained Remission Following Exclusive Enteral Nutrition in Pediatric Crohn’s Disease. Inflamm. Bowel Dis. 2020, 26, 1026–1037. [Google Scholar] [CrossRef]
- Diederen, K.; Li, J.V.; Donachie, G.E.; de Meij, T.G.; de Waart, D.R.; Hakvoort, T.B.M.; Kindermann, A.; Wagner, J.; Auyeung, V.; Velde, A.A.T.; et al. Exclusive enteral nutrition mediates gut microbial and metabolic changes that are associated with remission in children with Crohn’s disease. Sci. Rep. 2020, 10, 18879. [Google Scholar] [CrossRef]
- Frivolt, K.; Schwerd, T.; Werkstetter, K.J.; Schwarzer, A.; Schatz, S.B.; Bufler, P.; Koletzko, S. Repeated exclusive enteral nutrition in the treatment of paediatric Crohn’s disease: Predictors of efficacy and outcome. Aliment. Pharmacol. Ther. 2014, 39, 1398–1407. [Google Scholar] [CrossRef]
- de Bie, C.; Kindermann, A.; Escher, J. Use of exclusive enteral nutrition in paediatric Crohn’s disease in The Netherlands. J. Crohn’s Colitis 2013, 7, 263–270. [Google Scholar] [CrossRef]
- Cameron, F.L.; Gerasimidis, K.; Papangelou, A.; Missiou, D.; Garrick, V.; Cardigan, T.; Buchanan, E.; Barclay, A.R.; McGrogan, P.; Russell, R.K. Clinical progress in the two years following a course of exclusive enteral nutrition in 109 paediatric patients with Crohn’s disease. Aliment. Pharmacol. Ther. 2013, 37, 622–629. [Google Scholar] [CrossRef] [PubMed]
- Lambert, B.; Lemberg, D.A.; Leach, S.T.; Day, A.S. Longer-term outcomes of nutritional management of Crohn’s disease in children. Dig. Dis. Sci. 2012, 57, 2171–2177. [Google Scholar] [CrossRef] [PubMed]
- Levine, A.; Wine, E.; Assa, A.; Boneh, R.S.; Shaoul, R.; Kori, M.; Cohen, S.; Peleg, S.; Shamaly, H.; On, A.; et al. Crohn’s Disease Exclusion Diet Plus Partial Enteral Nutrition Induces Sustained Remission in a Randomized Controlled Trial. Gastroenterology 2019, 157, 440–450.e8. [Google Scholar] [CrossRef] [PubMed]
- Svolos, V.; Hansen, R.; Nichols, B.; Quince, C.; Ijaz, U.Z.; Papadopoulou, R.T.; Edwards, C.A.; Watson, D.; Alghamdi, A.; Brejnrod, A.; et al. Treatment of Active Crohn’s Disease with an Ordinary Food-based Diet That Replicates Exclusive Enteral Nutrition. Gastroenterology 2019, 156, 1354–1367.e6. [Google Scholar] [CrossRef] [PubMed]
- Levine, A.; Koletzko, S.; Turner, D.; Escher, J.C.; Cucchiara, S.; de Ridder, L.; Kolho, K.-L.; Veres, G.; Russell, R.K.; Paerregaard, A.; et al. ESPGHAN revised porto criteria for the diagnosis of inflammatory bowel disease in children and adolescents. J. Pediatr. Gastroenterol. Nutr. 2014, 58, 795–806. [Google Scholar] [CrossRef] [PubMed]
- Levine, A.; Griffiths, A.; Markowitz, J.; Wilson, D.C.; Turner, D.; Russell, R.K.; Fell, J.; Ruemmele, F.M.; Walters, T.; Sherlock, M.; et al. Pediatric modification of the Montreal classification for inflammatory bowel disease: The Paris classification. Inflamm. Bowel Dis. 2011, 17, 1314–1321. [Google Scholar] [CrossRef] [PubMed]
- Turner, D.; Griffiths, A.M.; Walters, T.D.; Seah, T.; Markowitz, J.; Pfefferkorn, M.; Keljo, D.; Waxman, J.; Otley, A.; LeLeiko, N.S.; et al. Mathematical weighting of the pediatric Crohn’s disease activity index (PCDAI) and comparison with its other short versions. Inflamm. Bowel Dis. 2012, 18, 55–62. [Google Scholar] [CrossRef]
- Hart, L.; Farbod, Y.; Szamosi, J.C.; Yamamoto, M.; Britz-McKibbin, P.; Halgren, C.; Zachos, M.; Pai, N. Effect of Exclusive Enteral Nutrition and Corticosteroid Induction Therapy on the Gut Microbiota of Pediatric Patients with Inflammatory Bowel Disease. Nutrients 2020, 12, 1691. [Google Scholar] [CrossRef] [PubMed]



| Patients with Crohn’s Disease (n = 14) | |
|---|---|
| Age (years), median (minimum, maximum) | 16.0 (13.2, 18.0) |
| Gender, female, n (%) | 6 (42.9%) |
| Duration of symptoms before diagnosis (months), median (minimum, maximum) | 3 (0, 9) |
| Disease location, n (%) | |
| L1 | 5 (35.7%) |
| L2 | 1 (7.1%) |
| L3 | 8 (57.1%) |
| Upper gastrointestinal disease, n (%) | 7 (50.0%) |
| wPCDAI, median (minimum, maximum) | 42.5 (32.5, 110) |
| Maintenance therapy, n (%) | |
| Azathioprine | 11 (78.6%) |
| Methotrexate | 1 (7.1%) |
| None | 2 (14.3%) |
| BW z-score, median (minimum, maximum) | −0.0 (−2.0, 1.3) |
| BH z-score, median (minimum, maximum) | −0.1 (−1.2, 2.0) |
| BMI z-score, median (minimum, maximum) | 0.1 (−3.4, 1.2) |
| Duration of EEN (weeks), median (minimum, maximum) | 6 (2, 8) |
| Daily amount of EEN formula, median (minimum, maximum) | 1900 (1500, 2400) |
| Partial enteral nutrition in the first year after diagnosis, n (%) | 3 (21.4%) |
| Number of relapses in the first year from diagnosis (in EEN non-failures), median (minimum, maximum) | 0 (0, 4) |
| Time to the first relapse (months) (in EEN non-failures), median (minimum, maximum) | 2 (0, 6) |
Disclaimer/Publisher’s Note: The statements, opinions and data contained in all publications are solely those of the individual author(s) and contributor(s) and not of MDPI and/or the editor(s). MDPI and/or the editor(s) disclaim responsibility for any injury to people or property resulting from any ideas, methods, instructions or products referred to in the content. |
© 2023 by the authors. Licensee MDPI, Basel, Switzerland. This article is an open access article distributed under the terms and conditions of the Creative Commons Attribution (CC BY) license (https://creativecommons.org/licenses/by/4.0/).
Share and Cite
Sila, S.; Jelić, M.; Trivić, I.; Tambić Andrašević, A.; Kolaček, S.; Hojsak, I. Gut Microbiota Composition Changes following Discontinuation of Exclusive Enteral Nutrition in Children with Crohn’s Disease. Microorganisms 2023, 11, 505. https://doi.org/10.3390/microorganisms11020505
Sila S, Jelić M, Trivić I, Tambić Andrašević A, Kolaček S, Hojsak I. Gut Microbiota Composition Changes following Discontinuation of Exclusive Enteral Nutrition in Children with Crohn’s Disease. Microorganisms. 2023; 11(2):505. https://doi.org/10.3390/microorganisms11020505
Chicago/Turabian StyleSila, Sara, Marko Jelić, Ivana Trivić, Arjana Tambić Andrašević, Sanja Kolaček, and Iva Hojsak. 2023. "Gut Microbiota Composition Changes following Discontinuation of Exclusive Enteral Nutrition in Children with Crohn’s Disease" Microorganisms 11, no. 2: 505. https://doi.org/10.3390/microorganisms11020505
APA StyleSila, S., Jelić, M., Trivić, I., Tambić Andrašević, A., Kolaček, S., & Hojsak, I. (2023). Gut Microbiota Composition Changes following Discontinuation of Exclusive Enteral Nutrition in Children with Crohn’s Disease. Microorganisms, 11(2), 505. https://doi.org/10.3390/microorganisms11020505

