Abstract
Integrative and conjugative elements (ICEs) are mobile DNA molecules that can be transferred through excision, conjugation, and integration into chromosomes. They contribute to the horizontal transfer of genomic islands across bacterial species. ICEs carrying genes encoding aromatic compound degradation pathways are of interest because of their contribution to environmental remediation. Recent advances in DNA sequencing technology have increased the number of newly discovered ICEs in bacterial genomes and have enabled comparative analysis of their evolution. The two different families of ICEs carry various aromatic compound degradation pathway genes. ICEclc and its related ICEs contain a number of members with diverse catabolic capabilities. In addition, the Tn4371 family, which includes ICEs that carry the chlorinated biphenyl catabolic pathway, has been identified. It is apparent that they underwent evolution through the acquisition, deletion, or exchange of modules to adapt to an environmental niche. ICEs have the property of both stability and mobility in the chromosome. Perspectives on the use of ICEs in environmental remediation are also discussed.
1. Introduction
Bacteria can adapt to environmental niches by acquiring preexisting phenotypes from bacterial genetic resources. This is accomplished by the coordinated activities of mobile genetic elements, including insertion sequences, transposons, integrons, other cell-to-cell transmissible plasmids, and chromosomally integrated mobile genetic elements (ICEs) that transfer within or between DNA molecules [1]. ICEs are genetic elements consisting of several tens to 200 kb of DNA that carry genes involved in drug resistance, pathogenicity, metabolism, and symbiosis with plants. They contribute considerably to the genomic evolution of environmental microorganisms because they are horizontally transfered via conjugation across bacterial species. Although many ICEs involved in drug resistance and virulence have been identified in clinically isolated bacteria [2], there are limited reports on ICEs containing other functional genes [3,4]. A group of ICEs, that contain cargo genes involved in the degradation of aromatic compounds, can contribute to environmental remediation. Some genes encoding aromatic degradation pathways are chromosomally encoded, whereas some are encoded by plasmids. For example, the bph genes encoding the biphenyl and chlorobiphenyl meta-cleavage degradation pathways in Cupriavidus oxalacticus A5 (formerly Alcaligenes eutrophus A5) [5], Acidovorax sp. KKS102 [6], and various Pseudomonas species [7] are located on the chromosome, whereas multiple bph genes from the Gram-positive bacterium Rhodococcus jostii RHA1 are located on a large linear plasmid [8]. Genome sequence analysis has revealed that a larger part of chromosomally encoded bph genes are located on ICEs.
‘Degradative ICEs’ comprise a set of genes that encode enzymes that are essential for the catabolism of various toxic chemicals. These degradative ICEs are large mobile genetic elements that contain a complete set of genes encoding components necessary for chromosomal excision, integration and conjugative transmission with the donor strain [3,4]. ICEs can be transferred from one strain to another via horizontal gene transfer (HGT); thus, ICE-encoded catabolic pathways enable the transfer of specific catabolic genes in microbial populations, thereby enabling microbial adaptation to toxic organic pollutants in the environment. The transmission of catabolic genes between communities helps bacterial strains to survive in environmental niches and plays an important role in the evolution of catabolic pathways. Although many ICEs have also been found in several Gram-positive bacteria [3], ICEs involved in the degradation of aromatic compounds are rarely found from the Gram-positive bacteria. Among the degradative ICEs responsible for the degradation of aromatic compounds, the ”ICEclc family”, which includes ICEclcB13 [9], the most well-studied degradative ICE, includes ICEs involved in most degradation pathways reported to date. The “Tn4371 family” comprises a group encompassing several ICEs that exhibit relatively broad host specificity and carry genes involved in chlorinated-biphenyl degradation [6,10]. A phn island that encodes the phenanthrene catabolic pathway as a cargo gene contains a core region belonging to an unidentified family [11].
With recent advances in genome sequencing technology, new ICEs are being discovered [12,13]. Recently, several ICEbph-sals and ICEbphs have been identified from the genome sequences of biphenyl/PCB -degrading bacteria, and their entire structures have been elucidated [7]. Another new degradative ICE, ICEnahCSV86 from a well-characterized aromatic degrader, Pseudomonas bharatica, was also reported [14]. It is becoming clear that ICEs are diversifying through the acquisition and rearrangement of cargo genes and contributing to environmental remediation. This article reviews the structure, functions and the evolution of previously reported ICEs involved in aromatic degradation.
2. Metabolic Pathway Genes Transported by ICEs
2.1. Aromatic Hydrocarbons
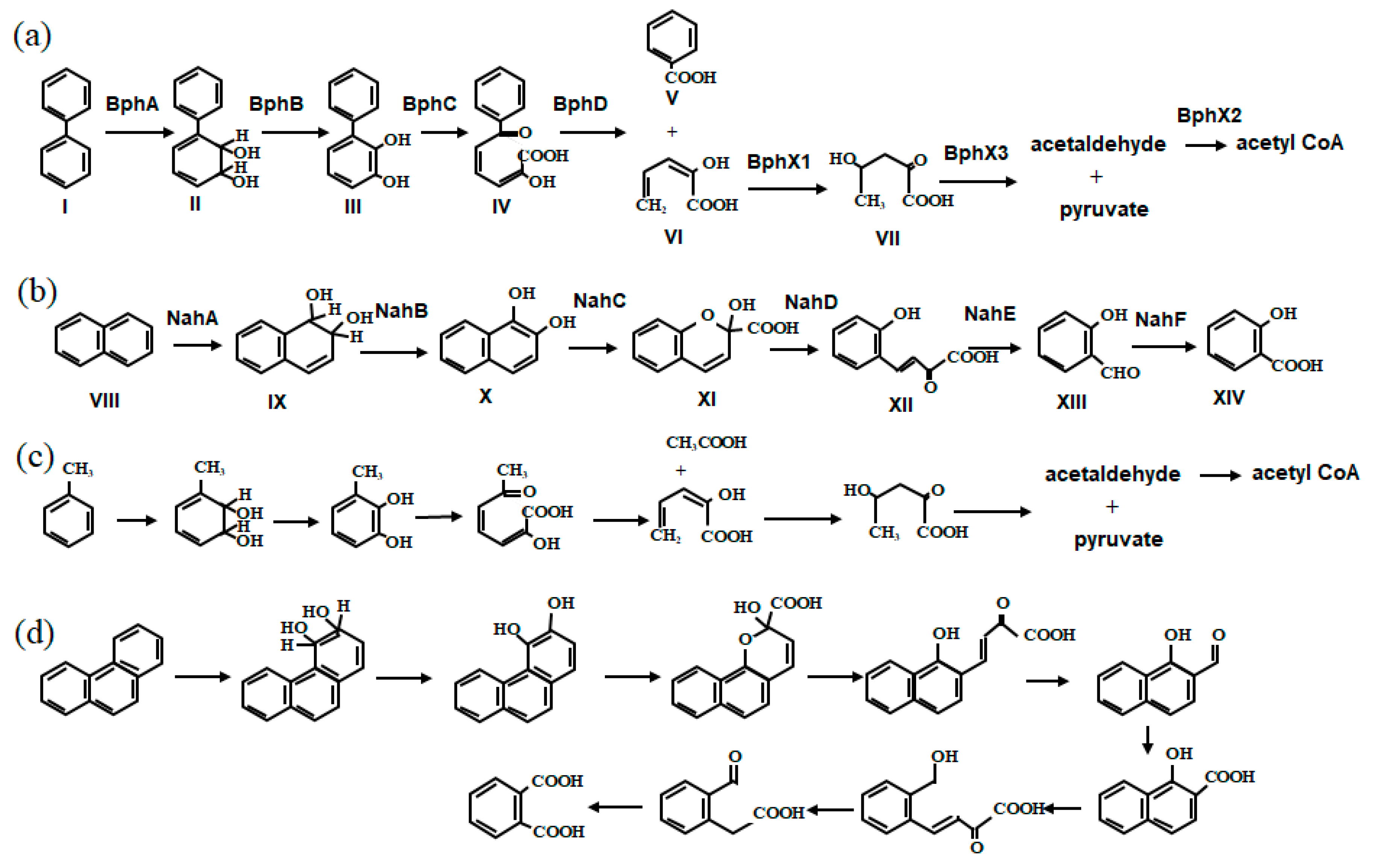
Many aromatic hydrocarbon-utilizing bacteria have been isolated and characterized. The ICEs identified in their genomes are involved in the dissimilation of biphenyl (Figure 1a), naphthalene (Figure 1b), toluene (Figure 1c) and phenanthrene (Figure 1d), which are aromatic hydrocarbons in petroleum and coal. The metabolism of aromatic compounds by degradation pathway genes, including those located in ICEs, generally consists of two processes: (1) introduction of a hydroxyl group to an aromatic ring, and (2) cleavage of a hydroxylated aromatic ring [15].
- Aromatic ring hydroxylation: Hydroxylation of the aromatic ring is catalyzed by a dioxygenase that introduces two oxygen atoms into the ring or by a monooxygenase that introduces one oxygen atom. The former introduces two hydroxyl groups into an aromatic ring, whereas the latter introduces one hydroxyl group into an aromatic ring or a side-chain alyl-group. Both dioxygenase and monooxygenase encoded by genes in ICEs are multi-component enzymes [16].
- Aromatic ring cleavage: The cleavage of the aromatic ring can be grouped into two modes. The first is meta-cleavage, in which the carbon-carbon bond between the 2- and 3-positions of the catechol is cleaved by the addition of molecular oxygen, producing an intermediate that is generally yellow. The second is ortho-cleavage, in which the bond between the two hydroxyl groups is cleaved to produce a colorless intermediate [16].
Figure 1.
Aerobic degradation pathways for aromatic hydrocarbons encoded on degradative ICEs: (a) biphenyl, (b) naphthalene, (c) toluene, and (d) phenanthrene. The names of the intermediate compounds are as follows: biphenyl (I), cis-2,3-dihydroxy-4-phenylhexa-4,6-diene (dihydrodiol compound, II), 2,3-dihydroxybiphenyl (III), 2-hydroxy-6-oxo-6-phenylhexa-2,4-dienoic acid (IV), benzoic aid (V), 2-hydroxypenta-2,4-dienoic acid (VI), 4-hydoxy-2-oxovaleric acid (VII), naphthalene (VIII), cis-1,2-dihydroxy-1,2-dihydronaphthalene (IX), 1,2-dihydroxynaphthalene (X), 2-hydroxychromene-2-carboxylate (XI), o-hydroxybenzylidenepyruvate (XII), salicylaldehyde (XIII), and salicylic acid (XIV). Enzyme names on each arrow are as follows: BphA, biphenyl 2,3-dioxygenase; BphB, 2,3-dihydro-2,3-dihydroxybiphenyl dehydrogenase; BphC, 2,3-dihydroxybiphenyl 1,2-dioxygenase; BphD, 2-hydroxy-6-oxo-6-phenylhexa-2,4-dienoate hydrolase; BphX1, 2-hydroxypenta-2,4-dienoate hydratase; BphX2, acetaldehyde dehydrogenase; BphX3, 4-hydoxy-2-oxovalerate aldolase; NahA, naphthalene 1,2-dioxygenase; NahB, 1,2-dihydroxy-1,2-dihydronaphthalene dehydrogenase; NahC, 1,2-dihydroxynaphthalene dioxygenase; NahD, 2-hydroxychromene-2-carboxylate isomerase; NahE, trans-o-hydroxybenzylidenepyruvate hydratase-aldolase; and NahF, salicylaldehyde dehydrogenase. The intermediate compound names and enzyme names in (c,d) are described in references [17] and [11], respectively.
Figure 1.
Aerobic degradation pathways for aromatic hydrocarbons encoded on degradative ICEs: (a) biphenyl, (b) naphthalene, (c) toluene, and (d) phenanthrene. The names of the intermediate compounds are as follows: biphenyl (I), cis-2,3-dihydroxy-4-phenylhexa-4,6-diene (dihydrodiol compound, II), 2,3-dihydroxybiphenyl (III), 2-hydroxy-6-oxo-6-phenylhexa-2,4-dienoic acid (IV), benzoic aid (V), 2-hydroxypenta-2,4-dienoic acid (VI), 4-hydoxy-2-oxovaleric acid (VII), naphthalene (VIII), cis-1,2-dihydroxy-1,2-dihydronaphthalene (IX), 1,2-dihydroxynaphthalene (X), 2-hydroxychromene-2-carboxylate (XI), o-hydroxybenzylidenepyruvate (XII), salicylaldehyde (XIII), and salicylic acid (XIV). Enzyme names on each arrow are as follows: BphA, biphenyl 2,3-dioxygenase; BphB, 2,3-dihydro-2,3-dihydroxybiphenyl dehydrogenase; BphC, 2,3-dihydroxybiphenyl 1,2-dioxygenase; BphD, 2-hydroxy-6-oxo-6-phenylhexa-2,4-dienoate hydrolase; BphX1, 2-hydroxypenta-2,4-dienoate hydratase; BphX2, acetaldehyde dehydrogenase; BphX3, 4-hydoxy-2-oxovalerate aldolase; NahA, naphthalene 1,2-dioxygenase; NahB, 1,2-dihydroxy-1,2-dihydronaphthalene dehydrogenase; NahC, 1,2-dihydroxynaphthalene dioxygenase; NahD, 2-hydroxychromene-2-carboxylate isomerase; NahE, trans-o-hydroxybenzylidenepyruvate hydratase-aldolase; and NahF, salicylaldehyde dehydrogenase. The intermediate compound names and enzyme names in (c,d) are described in references [17] and [11], respectively.

2.2. Aromatic Carboxylic Acids
Bacteria that utilize aromatic carboxylic acids such as benzoic acid and salicylic acid are widely distributed in nature. Some of the genes involved in the degradation of aromatic carboxylic acids are cargo genes in ICEs. Benzoic acid is a metabolic intermediate of biphenyl (Figure 1a), whereas salicylic acid is an intermediate of the naphthalene metabolic pathway (Figure 1b). In addition, phthalates are intermediates of phenanthrene degradation (Figure 1d) [11]. Aromatic compounds undergo cleavage reactions to become aliphatic products, which then enter the tricarboxylic acid cycle through reactions such as hydrolysis, decarboxylation, isomerization, and aldol cleavage to acetyl-CoA and pyruvate (Figure 2). The intermediates generated via meta-cleavage of catechol usually follow two branched pathways (Figure 2a,b). One pathway via oxidation of a ring-cleavage product to oxalocrotonate is a possible pathway for the degradation of p-toluic acid, an intermediate of p-xylene degradation, whereas the other short-circuit pathway via hydrolysis of a ring-cleavage product is dedicated to the dissmilation of m-toluic acid, an intermediate of m-xylene [18]. It is also known that an intermediate via the meta-cleavage pathway of monochlorobenzoic acid forms a dead-end intermediate from chlorocatechol [19]. This branched meta-cleavage pathway of catechol is commonly encoded by several ICEclc family members. In constrast, monochlorobenzoic acid can be completely degraded through the ortho-cleavage pathway to β-ketoadipic acid, especially in bacterial strains carrying ICEclcB13 (Figure 2c). Protocatechuic acid (3,4-dihydroxybenzoic acid) (Figure 2e) is a common metabolic intermediate of phthalic acid (Figure 2d), isoeugenol, ferulic acid, and vanillic acid [20]. The catabolic pathway via protocatechuic acid has not been reported to involve enzymes encoded by an ICE, except for phthalic acid pathway in the phn island [11].
Figure 2.
Aerobic degradation pathways for aromatic carboxylic acids (a) salicyliate (b) benzoate (meta-pathway), (c) benzoate (ortho-pathway), (d) phthalate and (e) protocatechuate encoded on degradative ICEs. The names of the intermediate compounds are as follows: salicylic acid (XIV), catechol (XV), 2-hydroxy-cis,cis-muconate semialdehyde (XVI), 2-hydroxy-hexa-2,4-diene-1,6-dioic acid (XVII), 2-oxohex-4-ene-1,6-dioic acid (4-oxalocrotonate) (XVIII), cis-1,6-dihydroxy-2,4-cyclohexadiene-1-carboxylic acid (XIX), cis,cis-muconate (XX), muconolactone (XXI), 3-oxoadipate enol-lactone (XXII), and 3-oxoadipic acid (XXIII). The compound names of (V), (VI), and (VII) are same as those in Figure 1. The Enzyme names on each arrow are: SalAB/NahGT, salicylate hydroxylase; BzaA, benzoate 1,2-dioxygenase; BzaB, 2-hydro-1,2-dihydroxybenzoate dehydrogenase (benzoate cis-diol dehydrogenase); SalC/NahH/BzaC, catechol 2,3-dioxygenase; SalD/NahI/BzaD, hydroxymuconic semialdehyde dehydrogenase; SalE/NahN/BzaE, 2-hydroxymuconate semialdehyde hydrolase; SalJ/NahJ/BzaJ, 4-oxalocrotonate isomerase; SalI/NahK/BzaI, 4-oxalocrotonate decarboxylase; SalF/ NahL,/BzaF, 2-oxopent-4-enoate hydratase; SalH/NahM/ BzaH, 2-oxo-4-hydroxypentanoate aldolase; SalG/NahO/BzaG, acetaldehyde dehydrogenase; ClcA, catechol 1,2-dioxygenase; ClcB, muconate cycloisomerase; ClcD, muconolactone D-isomerase; and ClcE, 3-oxoadipate enol-lactonase. The intermediate compounds names and enzyme names in (d,e) are described in reference [11].
2.3. Halogenated Aromatic Compounds
Halogenated hydrocarbons such as PCBs are degraded by the co-metabolism of bacteria possessing the degradadative ICEs described above. This process involves dehalogenation reactions during degradation. In particular, ICE, which has the bph gene encoding the biphenyl degradation pathway, plays an important role in the degradation of polychlorinated biphenyls (PCBs) in the environment [6,7,10]. The less-chlorinated homologs of PCB are converted to chlorobenzoic acids, whereas heavily chlorinated congeners produce dead-end intermediates [21]. Several ICEs have been discovered to carry the PCB degradation pathway as a cargo gene [6,7]. In contrast, 3-chlorobenzoic acid is mineralized by a series of chlorocatecholytic enzymes encoded by ICEclc [22].
3. Components Required for Conjugal Transfer of Degradative ICEs
3.1. Integrase
ICEs exist in two distinct states: an integrated state in which the DNA is located on the host chromosome, and a conjugative state in which the DNA is excised from the host chromosome and can potentially conjugate to a new cell. Integration results from site-specific recombination between two direct repeats that are a part of the attachment site (att), attB of the host chromosome and attP of the circular ICE. The integration reaction is catalyzed by integrase, and site-specific recombination results in the formation of the direct repeats attL (left end) and attR (right end) (usually 8–60 bp each) at both ends of the integrated ICE. The reverse reaction (excision) is also a site-specific recombination, leading to the integrated ICE’s release as closed circular DNA and putative repair of the chromosomal attachment site between the conserved repeats within attL and attR. Integrase is an essential component of both the integration and excision reactions. Known ICE integrases include tyrosine recombinase, serine recombinase and DDO transposase, whereas the ICEclc and Tn4371 family members, which include degradative ICEs, possess tyrosine recombinase [3].
3.2. Transmission Module
The key components involved in conjugative transfer of degradative ICEs do not differ between ICEs and other mobile genetic elements such as transmissible plasmids. The transfer module is necessary for the transfer of an ICE from a donor to a recipient that forms the type IV secretion system (T4SS). It consists of a relaxase (MOB) and mating pair formation system (MPF)-coupled protein. MOB binds to the oriT of the circular intermediate of ICE to cleave one strand and binds to the 5’ end to pass through the MPF, a channel between the recipient and donor, leading to the transfer of single-stranded ICEs. Several MOB and MPF family members have been found in ICEs and transmissible plasmids, with different combinations of MOB and MPF between the ICEclc and Tn4371 families [3].
3.3. Integration Site
ICEs transferred from a donor to a recipient bacterium form a circular intermediate that is integrated into the chromosome by integrase. The targets of ICE integration often differ among ICEs; they are located at the 5’ or 3’ ends of tRNA genes or other genes that encode housekeeping proteins. The integration sites of the ICEclc and Tn4371 family members are the 3’ ends of the tRNA-Gly and tRNA-Leu genes, respectively [3]. The integration of ICE into the target attB sequence results in the formation of 8 to 60 nucleotide direct repeat sequences, attL and attR. In addition, ICEs of the same family may show specificity for integration into tRNA-Gly containing different anticodons (e.g., tRNA-Gly-CCC and tRNA-Gly-GCC) [7]. ICEs belonging to the Tn4371 family can be integrated into sites other than tRNA genes in certain hosts [6].
4. ICEclc Family
4.1. ICEclcB13
ICEclcB13 carries genes involved in the chlorobenzoic acid and aminophenol degradation pathways as cargo genes. It was first discovered as a clc element present on the chromosome of Pseudomonas knackmussii B13 [9,22] that confers the ability to degrade chlorobenzoic acid. The presence of a mobile degradative element that uses a phage-like integrase was identified and considered the first degradative ICE [22]. ICEclcB13 transposes to various hosts belonging to Betaproteobacteria and Gammaproteobacteria, including Pseudomonas and Cupriavidus spp. [23,24,25]. Sequencing has revealed the overall structure of ICEclcB13 [26]: ICE integration sites are in the tRNA-Gly, integrase (tyrosine recombinase), 2-aminophenol catabolic gene cluster (amnBACDFEHG) and chlorocatechol catabolic gene cluster (clcRABCDE). The T4SS (VirB4, and VirD4) required for conjugative transfer of ICE, anthranilate 1,2-dioxygenase, drug efflux pumps, and putative DNA helicase genes have also been detected [26]. ICEclcB13 is excised through site-specific recombination of two 18-bp direct repeat sequences (attL and attR; 5′-GTCTCGTTTCCCGCTCCA-3′) flanking the integrated form, and then integrated into the chromosome [26].
P. knackmussii B13, the source of ICEclcB13, was originally discovered as a bacterium that can grow on 3-chlorobenzoic acid and 4-chlorobenzoic acid as its sole carbon sources [27]. 3- and 4-chlorobenzoic acids are converted to 3- or 4-chlorocatechol, respectively, by benzene or toluate dioxygenase and the subsequent dihydrodiol dihydrogenase, encoded in regions other than ICEclcB13, followed by conversion to β-adipate by the ortho-cleavage pathway encoded by the clc locus on ICEclcB13 [26]. Most of the aromatic ring-catabolic enzymes encoded by the cargo genes of degradative ICEs involve the meta-cleavage pathway, but ICEclcB13 is exceptional in that it encodes catabolic enzymes involved in the ortho-cleavage pathway and favors the degradation of chlorocatechol. ICEclcB13 contains a 2-aminophenol degradation gene involved in a pathway common to the meta-cleavage degradation of benzoic acid. ICEclc-carrying Pseudomonas aeruginosa uses 2-aminophenol as a carbon source, whereas P. knackmussii B13, the source of ICEclcB13, does not grow on 2-aminophenol [26]. This may result from metabolic pathway misroutes or the formation of toxic intermediates.
A remarkable feature of ICEclcB13 is its high transfer frequency from the donor to recipient cells. The transfer efficiency per donor cell reaches 1 × 10−2. ICEclcB13 can form multiple copies within the same chromosome [25,28]. InrR [29] and MfsR and TciR [30] have been identified as transcriptional regulators that govern the transfer frequency of ICEclc. Among these, MfsR has been suggested as a factor responsible for the highly efficient transfer of ICEclcB13 [4,30]. ICEclcB13 has two replication origins, oriT, both of which are known to be functional. The presence of duplicated oriTs appears to contribute to the high transfer frequency [31]. ICEclcB13 provides a good experimental model for investigating the mechanism of conjugative transfer of ICEs owing to its high transfer efficiency. By exploiting this property of ICEclcB13, the regulatory network of ICEclcB13 has been elucidated; ICEclcB13 is activated only in stationary-phase cells where activation is dependent on TciR transcriptional activator, and TciR stimulates unknown bistability generators, whose activation promotes the excision and transfer of ICEclcB13 [4,30].
4.2. ICEclcJB2 and ICEclcLB400
ICEclcJB2 [32] and ICEclcLB400 [26,33] are subspecies of ICEclc discovered by genomic sequence analysis of the o-chlorobenzoate-degrading bacterium P. aeruginosa JB2 and PCB-degrading bacterium Paraburkholderia xenovorans LB400 (formerly Burkholderia xenovorans LB400), respectively. ICEclcJB2 and ICEclcLB400 have almost the same core region as ICEclcB13 but have a unique structure of genes involved in the degradation of aromatic compounds that constitute their variable regions. ICEclcJB2 lacks amn gene cluster involved in aminophenol catabolism that is found on ICEclcB13 and ICEclcLB400, but instead possesses a duplicated hyb gene cluster required for salicylic acid utilization [34], which is absent in ICEclcB13 and ICEclcLB400 [32]. Additionally, ICEclcJB2 lacks an operon of regulatory genes (tciR-marR-mfsR) that is present in the other two ICEclc and which controls excision from the host [32]. These divergences in ICEclc are consistent with rearrangements through the acquisition, deletion, and duplication of aromatic compound gene modules.
4.3. ICEXTD
ICEXTD is an ICE derived from Azoarcus sp. CIB, a bacterium that can degrade m-xylene, toluene and cumene both anaerobically and aerobically and has a core region shared by ICEclc [17]. In addition to the ortholog of the aerobic toluene-degrading tod gene from Pseudomonas putida F1, ICEXTD possesses bss and bzd genes encoding the toluene-degrading pathway enzymes, which are often found in bacteria that degrade aromatic compounds anaerobically. The metabolic pathway involving enzymes encoded by the tod gene cluster is initiated by a reaction catalyzed by toluene dioxygenase (Figure 1c) and is distinct from that initiated by toluene monooxygenation of the side chain of toluene which is affiliated with the toluene catabolic plasmid pWW0. The reaction is followed by an attack by dioxygenase and meta-cleavage. The meta-cleavage compounds are degraded to TCA cycle intermediates through a metabolic pathway common to the downstream aerobic degradation pathways of biphenyl (Figure 1a). In addition, the toluene degradation pathway involving enzymes encoded by the bss and bzd gene clusters is a metabolic pathway initiated by the coupling of toluene with CoA via β-oxidation to produce acetyl-CoA [17]. A remarkable feature of this ICE is that it contains genes for both aerobic and anaerobic toluene degradation pathways. The transfer of ICEXTD confers Cupriavidus pinatubonensis, which originally does not degrade aromatic compounds under anaerobic conditions, with the ability to grow on m-xylene under anaerobic conditions [17]. The circular form of ICEXTD was formed by the recombination between two 23-bp direct repeat sequences (attL and attR; 5′-TTCGATTCCCATCGCCCGCTCCA -3′) [17]. The conjugative transfer frequency of ICEXTD from Azoarcus sp. CIB to C. pinatubonensis is 4.8 × 10−7 per donor strain. These results suggest that ICE are key elements for the survival of anaerobic bacteria in polluted environments.
4.4. ICEbph-sal
Several ICEbph-sal, which are regarded as members of a subfamily of ICEclc that share a core region with ICEclc, harbor the bph-sal gene cluster that encodes enzymes of the degradation pathways via the meta-cleavage of biphenyl and salicylic acid [7,35]. It consists of the bph gene cluster bphRA1A2A3A4BCX0X1X2X3D and sal gene cluster salABCDEFGHIJ in ICEbph-sal [7]. In the biphenyl catabolic pathway encoded by the bph gene, biphenyl dioxygenase, a multicomponent enzyme encoded by bphA1A2A3A4, catalyzes the initial oxygenation of biphenyl and converts it to dihydrodiol (Figure 1a). Here, bphA1 and bphA2 encode the large and small subunits of terminal dioxygenase, respectively. bphA3 encodes ferredoxin, and bphA4 encodes ferredoxin reductase. The dihydrodiol compound is then converted to a dihydroxy compound by dehydrogenase encoded by bphB. The dihydroxy compound is then cleaved into 2-hydroxy-6-oxo-6-phenylhexa-2,4-dienoic acid by a ring-cleavage dioxygenase encoded by bphC. The ring meta-cleavage product is then cleaved into benzoic acid and 2-hydroxypenta-2,4-dienoic acid by a hydrolase encoded by bphD. BphX1, X2 and X3 further degrade 2-hydroxypenta-2,4-dienoic acid into acetyl-CoA and pyruvate. In the salicylate carabolic pathway encoded by the sal gene, salicylate hydroxylase, a binary enzyme encoded by salAB, catalyzes the hydroxylation of salicylate and converts it to catechol (Figure 2a). Catechol is then degraded to 2-hydroxymuconate semialdehyde by a ring-cleavage dioxygenase encoded by salC. The ring meta-cleavage product is then catabolized through two branching pathways. One ring-cleavage product is degraded to 2-hydroxypenta-2,4-dienoic acid via oxidation to oxalocrotonate by oxidase SalD and isomerization by SalJ. In contrast, the ring-cleavage product is hydrolyzed by SalE and converted directly to 2-hydroxypenta-2,4-dienoic acid. SalG, SalH, and SalF further degrade 2-hydroxypenta-2,4-dienoic acid to acetyl CoA and pyruvate. These structural bph and sal genes are coordinately regulated by bphR located in the bph gene cluster and salR located in the sal gene cluster [36]. Highly conserved ICEbph-sals (ICEbph-salKF701, ICEbph-salKF702, ICEbph-salKF703, ICEbph-salKF707, ICEbph-salKF710, and ICEbph-salKF716) have been found in the genomes of six different biphenyl/PCB degrading Pseudomonas spp., for which whole-genome sequencing has been performed. Among these, ICEbph-salKF716, which is located in the chromosome of Pseudomonas stutzeri KF716, forms a circular intermediate excised from the strain that is transferred to P. aeruginosa at a relatively high frequency [35]. ICEbph-salKF716 is excised by site-specific recombination of two 18-bp direct repeat sequences (attL and attR; 5′-TTCCCTTCGCCCGCTCCA-3′) at both ends of the integrated form, and then integrated into the chromosome in the same manner as ICEclcB13 [26]. This direct repeat sequence differs by two bases between ICEbph-sal and ICEclc. The attB site, which is the closed form of the chromosome excised from the ICE, and the attP site, which is formed by linking the attL and attR sites of the excised ICE, are generated [35]. All six ICEbph-sals were found only in Pseudomonas spp., likely reflecting the strict host specificity of conjugative transfer. This is in contrast to the relatively broad host specificity of Tn4371 and ICEKKS1024677, which are other biphenyl-degrading ICEs described below [6,10]. The overall structure of ICEbph-sal is well conserved, but parts of the structures are different (Figure 3). ICEbph-sals except for ICEbph-salKF716 has a bzaABCDEFGHIJ gene cluster encoding enzymes of the benzoate meta-cleavage pathway (Figure 2b). They have a homolog of the lower xyl operon on the toluene degradative plasmid pWW0 [37], and the carboxylic acid transporter that is not present in pWW0. In contrast, ICEbph-salKF716 lacks the bza cluster. In addition, ICEbph-salKF710 and ICEbph-salKF716 have ybh gene cluster, an orthologue of the Escherichia coli YbhFSR ABC-type efflux transporter [38], whereas other ICEbph-sals do not (Figure 3). ICEbph-sals, except for ICEbph-salKF716, have three sets of aromatic ring meta-cleavage pathway genes: biphenyl (bph), salicylic acid (sal), and benzoic acid (bza). Most of them are duplicated or triplicated (Figure 1a, and 2ab) [7]. ICEbph-salKF702 undergoes partial structural inversion owing to recombination between homologous genes duplicated between sal and bza. These findings indicate that ICEbph-sals rearrange through cargo gene module acquisition, exchange, and recombination [7]. A degradative ICE containing a highly conserved core region almost identical to that of ICEbph-salKF716 has been found in silico suggesting the existence of an ”ICEbph-sal subfamily”; they include ICE members located on the chromosome of naphthalene-degrading bacterium P. stutzeri AN10 and toluene/xylene and phenol-degrading bacterium P. stutzeri 2A20 [35]. All of these ICEs have been found in P. stutzeri, suggesting that P. stutzeri is the preferred host of the ICEbph-sal subfamily [39].
Figure 3.
Organization of the ICEbph-sals [7]. Genes on each arrow encode: attL and attR, ICE integration sites; int, integrase; bph, proteins involved in biphenyl catabolism; sal, proteins involved in salycilate catabolism; traI, relaxase (MOB); virB4, TSS4 component VirB4; bza, proteins involved in benzoate catabolism; virD4, TSS4 component VirD4; and ybh, YbhFSR ABC-type transporter.
A mobile element carrying a conserved bph-sal cluster identical to that of ICEbph-sals is the large IncP-9 family plasmid pKF715A (483-kb) derived from P. putida KF715 [40]. The major part of pKF715A behaves like ICE, being chromosomally integrated into host cells, and a mixture of circular and chromosomally integrated plasmids has been detected in P. putida KF715. pKF715A is transferred from P. putida KF715 to P. putida F1 and integrated into the chromosome [7]. pKF715A contains an integrase homologous to that of ICEbph-sals as well as a replication gene (rep), an origin of transfer (oriT) sequence, a plasmid conjugal transfer gene (tra), and a plasmid partitioning gene (par) homologous to those of the toluene catabolic plasmid pWW0.
4.5. ICEnahCSV86
ICEnahCSV86 from P. bharatica CSV86 was recently reported to be an ICEclc family member [14]. ICEnahCSV86 carries the nah gene encoding the naphthalene degradation pathway and the sal gene encoding the salicylate meta-cleavage degradation pathway, corresponding to the downstream naphthalene degradation pathway. The nah gene cluster on ICEnahCSV86 shows common structure with the nah gene cluster on the naphthalene degradative plasmid NAH7, consisting of the upper nah gene (nahAaAbAcAdBFCED) and lower nah gene (nahRGTHINLOMKJX) [14]. The upper nah gene is responsible for the conversion of naphthalene to salicylic acid (Figure 1b). The nahRGTHINLOMKJX cluster, which encodes the lower nah genes responsible for the dissimilation of salicylic acid to pyruvate and acetyl-CoA, exhibits almost the same sequence and gene organization as the sal gene cluster included in ICEbph-sals (Figure 2a). A transcriptional regulator encoded by nahR, located between the upper and lower nah gene clusters, regulates both the upper and lower nah genes [14]. An ICE of length approximately 100 kb, which is thought to be involved in naphthalene degradation and with a conserved structure homologous to that of ICEnahCSV86, has been found in the genomes of six other naphthalene-degrading bacteria [14], suggesting that ICEs or genomic islands similar to ICEnahCSV86 are widely distributed in the environment. The sal gene and most of the core region were almost identical between these ICEs carrying naphthalene catabolic nah genes and ICEbph-sal. Therefore, they can be considered members of the ICEbph-sal subfamily. After repeated growth, the unselective pressure of the ICE-encoded gene, ICEnahCSV86, was stably retained on the chromosome, together with the other two genomic islands, and did not affect naphthalene utilization [14]. This genetic stability appears to be a feature of ICEnahCSV86.
5. Tn4371 Family
5.1. Tn4371
Tn4371, from C. oxalaticus A5, is an early discovered degradative ICE that is still referred to as a transposon. It satisfies the requirements of an ICE because it has genes involved in integration and genes involved in conjugal transfer. The latter genes display similarities to a conjugative gene on the Ti plasmid and IncP broad host range plasmid [10]. The 51-kb Tn4371 was initially identified as IncP-1 plasmid pSS50, which is essential for the metabolism of 4-chlorobiphenyl to chlorobenzoic acid [41,42] but was later identified as a catabolic transposon that was inserted into the conjugative plasmid RP4 [5]. The RP4::Tn4371 plasmid was maintained in different hosts, including Acinetobacter, Chromobacterium, and Pseudomonas species. It confers biphenyl/4-chlorobiphenyl degradability only to C. oxalaticus and Acinetobacter sp. but not to other species [43]. It was speculated that this results from the lack of regulatory elements or uptake systems. DNA sequencing revealed that Tn4371 is a chromosomally integrated mobile genetic element with integrase (tyrosine recombinase), a T4SS common to IncP and Ti plasmids, and a gene cluster encoding biphenyl meta-cleavage enzymes [10]. Many putative ICEs that share a core region with Tn4371 have been found in the genome sequences of at least nine different bacterial species belonging to Betaproteobacteria and ten different species belonging to Gammaproteobacteria [6,43,44], of which ICEs from Burkholderia, Bordetella, Polaromonas and Stenotrophomonas contained putative degradative genes for aromatic compounds [43]. They are thought to be widely distributed in the genomes of bacteria in the environment.
5.2. ICETn43716054
Cupriavidus metallidurans CH34 harbors at least three Tn4371 family members on its genome: ICETn43716054, ICETn43716055 and ICETn43716056. ICETn43716054 is the second reported Tn4371 family member of degradative ICEs [45,46]. ICETn43716054 contains genes encoding meta-cleavage-degrading enzymes including toluene monooxygenase as the intial oxygenase. It contains the hydrogenase gene adjacent to the catabolic cluster, as a cargo gene, which is presumed to be involved in the chemolithotrophic growth of this strain [47]. Information regarding the functions of this genetic element, such as its mobilization and catabolic capabilities is limited
5.3. ICEKKS1024677
ICEKKS1024677 is a Tn4371 family member ICE identified using genome sequence analysis of the PCB/biphenyl-degrading bacterium Acidovorax sp. strain KKS102 [6]. Each component of the biphenyl catabolic enzymes of the bphSEGFVA1A2A3BCDWA4 gene cluster on ICEKKS1024677 shares similarities with those of the bphRA1A2A3A4BCX0X1X2X3D gene cluster on ICEbph-sal; however, the gene organization and regulatory mechanisms differ significantly between the bph genes [6]. The bph gene in ICEKKS1024677 is regulated by the transcriptional repressors BphS [48] and a two-component regulatory system of BphPQ [49]. ICEKKS1024677 was transferred to a wide range of hosts, including Pseudomonas, Burkholderia, and Sphingobium, and integrated into the chromosome. Although the main target for chromosomal integration is the tRNA-Leu gene, it can integrate at different sites, depending on the host [6]. The ratio of circular intermediates of ICEKKS1024677 excised from the chromosome to those integrated into the chromosome was reported to be 1 × 10−5. The transfer efficiency per donor cell of ICEKKS1024677 from Acidovorax sp. KKS102 to P. putida KT2440 is reportedly 5.8 × 10−10, which is considerably lower than the transfer frequency of other ICEs [6]. The reason for the low transfer frequency of ICEKKS1024677 remains unknown.
5.4. ICEbphKF708 and ICEbphKF712
ICEbphKF708 and ICEbphKF712 are 61.8 kb and 59.4 kb, respectively, and are Tn4371 family members of the biphenyl/PCB-degrading bacteria Cupriavidus basilensis KF708 and Comamonas testosteroni KF712, respectively [7]. ICEbphKF708 is closely related to ICEKKS1024677 and ICEbphKF712 to Tn4371; the ICE integration (the att sequence) site of ICEbphKF708 and ICEKKS1024677 is 5’-GATTTTAAG-3’, and that of ICEbphKF712 and Tn4371 is 5’-TTTTTCAT-3’. In addition, ICEbphKF708 and ICEKKS1024677 carry a putative arsenic resistance gene cluster 15.5 to 18.5 kb downstream from the attL site, whereas ICEbphKF712 and Tn4371 do not [7]. The sequence of the core region covering 40 to 43 kb of the total, including bph and trb genes of these Tn4371-type ICEs, is highly conserved, but 10 to 20 kb of the attL site, except for the int gene encoding integrase, is a so-called junk region that encodes many unidentified proteins, and its sequence is not conserved among ICEbphKF708, ICEbphKF712 and Tn4371 [7].
6. ICE Belonging to an Unidentified Family
phn Island
The phn island is derived from the phenanthrene-degrading bacterium Delftia acidovorans Cs1-4 [11,50] and shares no core regions with ICEs belonging to known families. It can be considered to be an ICE because the genome of D. acidovorans SPH1 does not contain a phn island and carries a group of components characteristic of an ICE, such as P4-type phage integrase and Tra proteins that constitute T4SS. The phn island internally encodes a LexA-like protein, a prophage repressor protein involved in the SOS response, and FlhC protein, a flagellar transcriptional activator of SXT/R391, an ICE family member found in Vibriobacteriaceae and Enterobacteriaceae [51], but their functions remain unclear. The phn includes (1) the phn cluster involved in the catabolism of phenanthrene to o-phthalate via the meta-cleavage pathway (Figure 1d), (2) the oph cluster involving the catabolism of o-phthalate to protocatechuate (Figure 2d), and (3) the pmd cluster, which is involved in the catabolism of protocatechuate to pyruvate and oxaloacetate via the meta-cleavage pathway (Figure 2e). The phenanthrene-converting function of phn has been confirmed with experiments using a phn deletion mutant and heterologous expression in Escherichia coli. The GC content of the phn gene cluster is significantly lower than that of other regions of the phn island, suggesting the exogenous nature of the phn gene cluster.
7. Evolution of Degradative ICEs
The degradative ICEs in the ICEclc family and Tn4371 family are listed in Table 1 and Table 2, respectively. Between the ICE families, the accumulation of sequence data has enabled comparative analysis of the evolution of the ICEclc family members. Differences in the substructures of several degradation ICEs indicate that these genetic elements evolve through module exchange, insertion, and rearrangement to adapt to an environmental niche. Mobile elements such as IS and transposons contribute to the exchange of modules between ICEs. The multiple mobile genes encoding transposases and a retron encoding retron-type reverse transcriptases are inserted upstream and downstream of the sal gene in the bph-sal clusters of ICEbph-sals [40]. It has been speculated that they contribute to the exchange of the bph gene with the upper nah operon, the counterpart of the bph gene in the nah-sal cluster which is involved in naphthalene catabolism on the ICE [35]. However, the mechanisms governing the module exchange between ICEs are largely unknown. It has been pointed out that gene exchange between ICEs and plasmids greatly contributes to the evolution of ICEs [3]. The nah-sal gene cluster of ICEnahCSV84 and sal gene cluster of ICEbph-sals exhibit similarities with those of naphthalene degradation plasmids such as NAH7 and pND6-1 [14]. It has also been found that the bza gene cluster on ICEbph-sal is highly conserved with lower xyl genes on the TOL plasmid pWW0. The phylogenetic trees of VirB4, which constitute the T4SS encoded by the core region of ICE, were mixed with conjugative plasmids and ICE derivations at large phylogenetic distances [52]. This suggests an exchange of conjugative modules between plasmids and ICEs along the evolutionary history. Therefore, it can be concluded that the evolution of degradative ICEs and degradative plasmids is closely related in aromatic compound-degrading bacteria. Unlike plasmids, ICEs are integrated into the chromosome, and many microorganisms have multiple ICEs as genomic islands [14,28,32,33,45]. ICEs greatly contribute to genome evolution of aromatic compound-degrading bacteria. Further efforts on genome mining and functional analysis are expected to provide insights into the evolution of ICEs.
Table 1.
ICEclc family members.
Table 2.
Tn4371 family degradative ICE members.
Although both ortho- and meta-cleavage pathways function in many aromatic-degrading bacteria, the degradation pathways encoded on the previously discovered degradative ICEs are all meta-cleavage pathways, except for the ortho-cleavage pathway of chlorocatechol involving a gene on ICEclc [6,7,11,14,17,26]. The meta-cleavage pathway is disadvantageous because of the production of toxic aldehydes and dead-end products in the degradation of chlorocatechol as catabolic intermediates [19]. The question that needs to be addressed is why degradative ICEs are recruiting meta-cleavage pathways. One hypothesis is that the branching pathway from the ring-cleavage product (Figure 2a,b), which is commonly facilitated by the meta-cleavage pathways encoded on many degradative ICEs, enables the dissimilation of a wide range of substrates. It should also be noted that many degradable ICEs of the ICEclc family possess genes that encode multiple redundant meta-cleavage pathways for two or more different substrates, as shown in Table 1. For example, the biphenyl, salicylate, and benzoate metabolic enzymes encoded by the bph, sal, and bza gene clusters present on ICEbph-sals catalyze overlapping reactions (Figure 1a and Figure 2a,b) [7]. The acquisition of such redundancy in cargo genes is common in the evolution of degradable ICEs.
8. Prospects for Use in Bioremediation
ICEs, which carry genes encoding aromatic compound degradation pathways, contribute to environmental remediation. In particular, ICEs which has bph gene that encodes the biphenyl degradation pathway, play an important role in the degradation of PCBs in the environment. In contaminated sites, bacteria with mobile genetic elements such as plasmids and ICEs can transfer mobile genetic elements to different strains. They help bacterial strains adapt to new environments and transform them to exhibit diverse phenotypes in response to selective pressure. This mechanism spreads catabolic genes to bacterial populations in contaminated sites [53]. Gunsch et al. proposed genetic (plasmid-mediated) bioaugmentation to introduce donor bacteria harboring self-transferable catabolic plasmids into the soil matrix to increase the likelihood and rate of contaminant degradation by pre-existing bacterial populations through HGT [54]. In cellular bioaugmentation, the inoculated strains are expected to degrade xenobiotics, whereas in genetic bioaugmentation, catabolic genes placed in mobile genetic elements are expected to be transferred to local microbial communities. Thus, one of the major limitations of cell bioaugmentation, the low viability of inoculated microorganisms, should be overcome via genetic bioaugmentation. Plasmid genes are susceptible to deletion and are unstable; however, ICEs are often stably maintained in the host without deletion. In addition, unlike indigenous genes on the chromosome, they also have mobility which makes heterologous transformation possible [6,23,25]. As ICEs do not exhibit plasmid-like incompatibility, they can be integrated multiple times into the chromosome [25,29]. In fact, many bacteria in the environment have multiple different ICEs on their chromosomes [14,28,32,33,45]. By exploiting such properties of ICEs, it is possible to enhance the degradation of pollutants by transducing multiple degradable ICEs with different aromatic compound-degrading properties. As ICEs occur naturally, heterologous transconjugants of ICEs obtained through conjugative transfer are essentially non-recombinant bacteria. Therefore, they can be applied to environmental remediation without the regulations applicable for genetically modified organisms. An early study bred chlorobiphenyl-degrading bacteria via the heterologous introduction of Tn4371 into chlorobenzoate-degrading bacteria [55]. Using the latest bioinformatic, proteomic, and metabolomic methods, molecular breeding via heterologous introduction of ICEs can be achieved in a more sophisticated manner [24]. The introduction of ICE-carrying degrading bacteria in contaminated sites is expected to result in genetic bioaugmentation through HGT of degrading genes. The transfer of Mini-ICEBs1 in soil has been demonstrated [56]. From the above point of view, it seems necessary to control the stability and mobility of ICE to some extent if degradative ICEs are applied to environmental remediation. Disruption of the ICEclc transcriptional regulator has been reported to alter the mobility of ICEclcB13, but it has not yet been successfully controlled [29,30]. In the future, ICEs can be controlled by elucidating the role of all factors that control the mobility of ICEs.
A problem with the remediation of contaminated sites with halogenated compounds such as PCBs is the difficulty in degrading heavily chlorinated compounds [21,57], but dechlorination by anaerobic reduction is possible to some extent. These compounds are reported to be easily degraded by a combination of anaerobic and aerobic processes [58,59]. ICEXTD carries genes involved in both aerobic and anaerobic aromatic hydrocarbon degradation pathways as cargo genes and has been confirmed to confer anaerobic toluene-degrading ability to other bacteria through conjugative transfer [17]. ICEs such as ICEXTD are likely to facilitate the remediation of such heavily chlorinated contaminants.
9. Conclusions
The degradative ICEs belonging to two families, Tn4371 and ICEclc, have been listed. Undoubtedly, they are deeply involved in the HGT of aromatic compound degradation pathways in environmental bacteria. Among the ICE families, the accumulation of sequence data has enabled comparative analyses of the evolution of the ICEclc family members. It is clear that genes evolve in the environment through rearrangement and modification through acquisition, deletion and exchange of modules to adapt to environmental niches. Further elucidation of the structure and function of ICEs is expected to provide insights into the diversity and evolution of ICEs. In addition, environmental remediation that does not use recombinant microorganisms could be achieved by exploiting the characteristics of ICEs, which exhibit both stability and mobility in the chromosome.
Funding
This research was funded by the University of Miyazaki.
Acknowledgments
The author thanks Hiroto Fujinami for helping with data curation.
Conflicts of Interest
The author declares no conflict of interest.
References
- Rodríguez-Beltrán, J.; Sørum, V.; Toll-Riera, M.; de la Vega, C.; Peña-Miller, R.; San Millán, Á. Genetic dominance governs the evolution and spread of mobile genetic elements in bacteria. Proc. Natl. Acad. Sci. USA 2020, 117, 15755–15762. [Google Scholar] [CrossRef]
- Botelho, J.; Schulenburg, H. The role of integrative and conjugative elements in antibiotic resistance evolution. Trends Microbiol. 2021, 29, 8–18. [Google Scholar] [CrossRef]
- Bellanger, X.; Payot, S.; Leblond-Bourget, N.; Guédon, G. Conjugative and mobilizable genomic islands in bacteria: Evolution and diversity. FEMS Microbiol. Rev. 2014, 38, 720–760. [Google Scholar] [CrossRef] [PubMed]
- Delavat, F.; Miyazaki, R.; Carraro, N.; Pradervand, N.; van der Meer, J.R. The hidden life of integrative and conjugative elements. FEMS Microbiol. Rev. 2017, 41, 512–537. [Google Scholar] [CrossRef]
- Springael, D.; Kreps, S.; Mergeay, M. Identification of a catabolic transposon, Tn4371, carrying biphenyl and 4-chlorobiphenyl degradation genes in Alcaligenes eutrophus A5. J. Bacteriol. 1993, 175, 1674–1681. [Google Scholar] [CrossRef]
- Ohtsubo, Y.; Ishibashi, Y.; Naganawa, H.; Hirokawa, S.; Atobe, S.; Nagata, Y.; Tsuda, M. Conjugal transfer of polychlorinated biphenyl/biphenyl degradation genes in Acidovorax sp. strain KKS102, which are located on an integrative and conjugative element. J. Bacteriol. 2012, 194, 4237–4248. [Google Scholar] [CrossRef]
- Hirose, J.; Fujihara, H.; Watanabe, T.; Kimura, N.; Suenaga, H.; Futagami, T.; Goto, M.; Suyama, A.; Furukawa, K. Biphenyl/PCB degrading bph genes of ten bacterial strains isolated from biphenyl-contaminated soil in Kitakyushu, Japan: Comparative and dynamic features as integrative conjugative elements (ICEs). Genes 2019, 10, 404. [Google Scholar] [CrossRef]
- Shimizu, S.; Kobayashi, H.; Masai, E.; Fukuda, M. Characterization of the 450-Kb linear plasmid in a polychlorinated biphenyl degrader, Rhodococcus sp. strain RHA1. Appl. Environ. Microbiol. 2001, 67, 2021–2028. [Google Scholar] [CrossRef] [PubMed]
- Ravatn, R.; Studer, S.; Springael, D.; Zehnder, A.J.B.; van der Meer, J.R. Chromosomal integration, tandem amplification, and deamplification in Pseudomonas putida F1 of a 105-kilobase genetic element containing the chlorocatechol degradative genes from Pseudomonas sp. strain B13. J. Bacteriol. 1998, 180, 4360–4369. [Google Scholar] [CrossRef]
- Toussaint, A.; Merlin, C.; Monchy, S.; Benotmane, M.A.; Leplae, R.; Mergeay, M.; Springael, D. The biphenyl- and 4-chlorobiphenyl-catabolic transposon Tn4371, a member of a new family of genomic islands related to IncP and Ti plasmids. Appl. Environ. Microbiol. 2003, 69, 4837–4845. [Google Scholar] [CrossRef] [PubMed]
- Hickey, W.; Chen, S.; Zhao, J. The phn island: A new genomic island encoding catabolism of polynuclear aromatic hydrocarbons. Front. Microbiol. 2012, 3, 125. [Google Scholar] [CrossRef]
- Liu, M.; Li, X.; Xie, Y.; Bi, D.; Sun, J.; Li, J.; Tai, C.; Deng, Z.; Ou, H.-Y. ICEberg 2.0: An updated database of bacterial integrative and conjugative elements. Nucleic Acids Res 2019, 47, D660–D665. [Google Scholar] [CrossRef]
- Gonçalves, O.S.; de Assis, J.C.S.; Santana, M.F. Breaking the ICE: An easy workflow for identifying and analyzing integrative and conjugative elements in bacterial genomes. Funct. Integr. Genom. 2022, 22, 1139–1145. [Google Scholar] [CrossRef]
- Mohapatra, B.; Malhotra, H.; Phale, P.S. Life within a contaminated niche: Comparative genomic analyses of an integrative conjugative element ICEnahCSV86 and two genomic islands from Pseudomonas bharatica CSV86T suggest probable role in colonization and adaptation. Front. Microbiol. 2022, 13, 928848. [Google Scholar] [CrossRef]
- Dennis, J.J. The evolution of IncP catabolic plasmids. Curr. Opin. Biotechnol. 2005, 16, 291–298. [Google Scholar] [CrossRef]
- Harayama, S.; Kok, M.; Neidle, E.L. Functional and evolutionary relationships among diverse oxygenases. Annu. Rev. Microbiol. 1992, 46, 565–601. [Google Scholar] [CrossRef]
- Zamarro, M.T.; Martín-Moldes, Z.; Díaz, E. The ICEXTDof Azoarcus sp. CIB, an integrative and conjugative element with aerobic and anaerobic catabolic properties. Environ. Microbiol. 2016, 18, 5018–5031. [Google Scholar] [CrossRef]
- Harayama, S.; Mermod, N.; Rekik, M.; Lehrbach, P.R.; Timmis, K.N. Roles of the divergent branches of the meta-cleavage pathway in the degradation of benzoate and substituted benzoates. J. Bacteriol. 1987, 169, 558–564. [Google Scholar] [CrossRef]
- Bartels, I.; Knackmuss, H.-J.; Reineke, W. Suicide inactivation of catechol 2,3-dioxygenase from Pseudomonas putida mt-2 by 3-halocatechols. Appl. Environ. Microbiol. 1984, 47, 500–505. [Google Scholar] [CrossRef] [PubMed]
- Hirose, J.; Tsukimata, R.; Miyatake, M.; Yokoi, H. Identification of the gene responsible for lignin-derived low-molecular-weight compound catabolism in Pseudomonas sp. strain LLC-1. Genes 2020, 11, 1416. [Google Scholar] [CrossRef]
- Furukawa, K.; Tomizuka, N.; Kamibayashi, A. Metabolic breakdown of Kaneclors (polychlorobiphenyls) and their products by Acinetobacter sp. Appl. Environ. Microbiol. 1983, 46, 140–145. [Google Scholar] [CrossRef] [PubMed]
- van der Meer, J.R.; Ravatn, R.; Sentchilo, V. The clc element of Pseudomonas sp. strain B13 and other mobile degradative elements employing phage-like integrases. Arch. Microbiol. 2001, 175, 79–85. [Google Scholar] [CrossRef]
- Springael, D.; Peys, K.; Ryngaert, A.; Roy, S.V.; Hooyberghs, L.; Ravatn, R.; Heyndrickx, M.; van der Meer, J.-R.; Vandecasteele, C.; Mergeay, M.; et al. Community shifts in a seeded 3-chlorobenzoate degrading membrane biofilm reactor: Indications for involvement of in situ horizontal transfer of the clc-element from inoculum to contaminant bacteria. Environ. Microbiol. 2002, 4, 70–80. [Google Scholar] [CrossRef]
- Gaillard, M.; Pernet, N.; Vogne, C.; Hagenbüchle, O.; van der Meer, J.R. Host and invader impact of transfer of the clc genomic island into Pseudomonas aeruginosa PAO1. Proc. Natl. Acad. Sci. USA 2008, 105, 7058–7063. [Google Scholar] [CrossRef] [PubMed]
- Sentchilo, V.; Czechowska, K.; Pradervand, N.; Minoia, M.; Miyazaki, R.; van der Meer, J.R. Intracellular excision and reintegration dynamics of the ICEclc genomic island of Pseudomonas knackmussii sp. Strain B13. Mol. Microbiol. 2009, 72, 1293–1306. [Google Scholar] [CrossRef]
- Gaillard, M.; Vallaeys, T.; Vorhölter, F.J.; Minoia, M.; Werlen, C.; Sentchilo, V.; Pühler, A.; van der Meer, J.R. The clc element of Pseudomonas sp. strain B13, a genomic island with various catabolic properties. J. Bacteriol. 2006, 188, 1999–2013. [Google Scholar] [CrossRef]
- Dorn, E.; Hellwig, M.; Reineke, W.; Knackmuss, H.J. Isolation and characterization of a 3-chlorobenzoate degrading Pseudomonad. Arch. Microbiol. 1974, 99, 61–70. [Google Scholar] [CrossRef]
- Miyazaki, R.; Bertelli, C.; Benaglio, P.; Canton, J.; De Coi, N.; Gharib, W.H.; Gjoksi, B.; Goesmann, A.; Greub, G.; Harshman, K.; et al. Comparative genome analysis of Pseudomonas knackmussii B13, the first bacterium known to degrade chloroaromatic compounds. Environ. Microbiol. 2015, 17, 91–104. [Google Scholar] [CrossRef] [PubMed]
- Minoia, M.; Gaillard, M.; Reinhard, F.; Stojanov, M.; Sentchilo, V.; van der Meer, J.R. Stochasticity and bistability in horizontal transfer control of a genomic island in Pseudomonas. Proc. Natl. Acad. Sci. USA 2008, 105, 20792–20797. [Google Scholar] [CrossRef]
- Pradervand, N.; Sulser, S.; Delavat, F.; Miyazaki, R.; Lamas, I.; van der Meer, J.R. An operon of three transcriptional regulators controls horizontal gene transfer of the integrative and conjugative element ICEclc in Pseudomonas knackmussii B13. PLOS Genet. 2014, 10, e1004441. [Google Scholar] [CrossRef]
- Miyazaki, R.; van der Meer, J.R. A dual functional origin of transfer in the ICEclc genomic island of Pseudomonas knackmussii B13. Mol. Microbiol. 2011, 79, 743–758. [Google Scholar] [CrossRef]
- Obi, C.C.; Vayla, S.; de Gannes, V.; Berres, M.E.; Walker, J.; Pavelec, D.; Hyman, J.; Hickey, W.J. The integrative conjugative element clc (ICEclc) of Pseudomonas aeruginosa JB2. Front. Microbiol. 2018, 9, 1532. [Google Scholar] [CrossRef]
- Chain, P.S.G.; Denef, V.J.; Konstantinidis, K.T.; Vergez, L.M.; Agulló, L.; Reyes, V.L.; Hauser, L.; Córdova, M.; Gómez, L.; González, M.; et al. Burkholderia xenovorans LB400 harbors a multi-replicon, 9.73-Mbp genome shaped for versatility. Proc. Natl. Acad. Sci. USA 2006, 103, 15280–15287. [Google Scholar] [CrossRef]
- Hickey, W.J.; Sabat, G.; Yuroff, A.S.; Arment, A.R.; Pérez-Lesher, J. Cloning, nucleotide sequencing, and functional analysis of a novel, mobile cluster of biodegradation genes from Pseudomonas aeruginosa strain JB2. Appl. Environ. Microbiol. 2001, 67, 4603–4609. [Google Scholar] [CrossRef]
- Hirose, J.; Watanabe, T.; Futagami, T.; Fujihara, H.; Kimura, N.; Suenaga, H.; Goto, M.; Suyama, A.; Furukawa, K. A new ICEclc subfamily integrative and conjugative element responsible for horizontal transfer of biphenyl and salicylic acid catabolic pathway in the PCB-degrading strain Pseudomonas stutzeri KF716. Microorganisms 2021, 9, 2462. [Google Scholar] [CrossRef]
- Fujihara, H.; Yoshida, H.; Matsunaga, T.; Goto, M.; Furukawa, K. Cross-regulation of biphenyl- and salicylate-catabolic genes by two regulatory systems in Pseudomonas pseudoalcaligenes KF707. J. Bacteriol. 2006, 188, 4690–4697. [Google Scholar] [CrossRef]
- Kim, J.; Pérez-Pantoja, D.; Silva-Rocha, R.; Oliveros, J.C.; de Lorenzo, V. High-resolution analysis of the m-xylene/toluene biodegradation subtranscriptome of Pseudomonas putida mt-2. Environ. Microbiol. 2016, 18, 3327–3341. [Google Scholar] [CrossRef] [PubMed]
- Yamanaka, Y.; Shimada, T.; Yamamoto, K.; Ishihama, A. Transcription factor CecR (YbiH) regulates a set of genes affecting the sensitivity of Escherichia coli against cefoperazone and chloramphenicol. Microbiology 2016, 162, 1253–1264. [Google Scholar] [CrossRef] [PubMed]
- de Sousa, L.P. Mobile genetic elements in Pseudomonas stutzeri. Curr. Microbiol. 2020, 77, 179–184. [Google Scholar] [CrossRef] [PubMed]
- Suenaga, H.; Fujihara, H.; Kimura, N.; Hirose, J.; Watanabe, T.; Futagami, T.; Goto, M.; Shimodaira, J.; Furukawa, K. Insights into the genomic plasticity of Pseudomonas putida KF715, a strain with unique biphenyl-utilizing activity and genome instability properties. Environ. Microbiol. Rep. 2017, 9, 589–598. [Google Scholar] [CrossRef]
- Hooper, S.W.; Dockendorff, T.C.; Sayler, G.S. Characteristics and restriction analysis of the 4-chlorobiphenyl catabolic plasmid, pSS50. Appl. Environ. Microbiol. 1989, 55, 1286–1288. [Google Scholar] [CrossRef]
- Layton, A.C.; Sanseverino, J.; Wallace, W.; Corcoran, C.; Sayler, G.S. Evidence for 4-chlorobenzoic acid dehalogenation mediated by plasmids related to pSS50. Appl. Environ. Microbiol. 1992, 58, 399–402. [Google Scholar] [CrossRef]
- Ryan, M.P.; Pembroke, J.T.; Adley, C.C. Novel Tn4371-ICE like element in Ralstonia pickettiiand genome mining for comparative elements. BMC Microbiol. 2009, 9, 242. [Google Scholar] [CrossRef]
- Van Houdt, R.; Toussaint, A.; Ryan, M.P.; Pembroke, J.T.; Mergeay, M.; Adley, C.C. The Tn4371 ICE Family of Bacterial Mobile Genetic Elements. In Bacterial Integrative Mobile Genetic Elements; Roberts, A.P., Mullany, P., Eds.; Landes Bioscience: Austin, TX, USA, 2012. Available online: http://www.ncbi.nlm.nih.gov/books/NBK63532/ (accessed on 1 February 2023).
- Van Houdt, R.; Monchy, S.; Leys, N.; Mergeay, M. New mobile genetic elements in Cupriavidus metallidurans CH34, their possible roles and occurrence in other bacteria. Antonie Van Leeuwenhoek 2009, 96, 205–226. [Google Scholar] [CrossRef]
- Van Houdt, R.; Monsieurs, P.; Mijnendonckx, K.; Provoost, A.; Janssen, A.; Mergeay, M.; Leys, N. Variation in genomic islands contribute to genome plasticity in Cupriavidus metallidurans. BMC Genom. 2012, 13, 111. [Google Scholar] [CrossRef]
- Mergeay, M.; Nies, D.; Schlegel, H.G.; Gerits, J.; Charles, P.; Van Gijsegem, F. Alcaligenes eutrophus CH34 is a facultative chemolithotroph with plasmid-bound resistance to heavy metals. J Bacteriol 1985, 162, 328–334. [Google Scholar] [CrossRef] [PubMed]
- Ohtsubo, Y.; Delawary, M.; Kimbara, K.; Takagi, M.; Ohta, A.; Nagata, Y. BphS, a key transcriptional regulator of bph genes involved in polychlorinated biphenyl/biphenyl degradation in Pseudomonas sp. KKS102. J. Biol. Chem. 2001, 276, 36146–36154. [Google Scholar] [CrossRef]
- Ohtsubo, Y.; Goto, H.; Nagata, Y.; Kudo, T.; Tsuda, M. Identification of a response regulator gene for catabolite control from a PCB-degrading β-proteobacteria, Acidovorax sp. KKS102. Mol. Microbiol. 2006, 60, 1563–1575. [Google Scholar] [CrossRef]
- Shetty, A.R.; de Gannes, V.; Obi, C.C.; Lucas, S.; Lapidus, A.; Cheng, J.-F.; Goodwin, L.A.; Pitluck, S.; Peters, L.; Mikhailova, N.; et al. Complete genome sequence of the phenanthrene-degrading soil bacterium Delftia acidovorans Cs1-4. Stand. Genom. Sci. 2015, 10, 55. [Google Scholar] [CrossRef]
- Bioteau, A.; Durand, R.; Burrus, V. Redefinition and unification of the SXT/R391 family of integrative and conjugative elements. Appl. Environ. Microbiol. 2018, 84, e00485-18. [Google Scholar] [CrossRef] [PubMed]
- Guglielmini, J.; Quintais, L.; Garcillán-Barcia, M.P.; de la Cruz, F.; Rocha, E.P.C. The repertoire of ICE in prokaryotes underscores the unity, diversity, and ubiquity of conjugation. PLOS Genet. 2011, 7, e1002222. [Google Scholar] [CrossRef]
- Bhatt, P.; Bhandari, G.; Bhatt, K.; Maithani, D.; Mishra, S.; Gangola, S.; Bhatt, R.; Huang, Y.; Chen, S. Plasmid-mediated catabolism for the removal of xenobiotics from the environment. J. Hazard. Mater. 2021, 420, 126618. [Google Scholar] [CrossRef]
- Garbisu, C.; Garaiyurrebaso, O.; Epelde, L.; Grohmann, E.; Alkorta, I. Plasmid-mediated bioaugmentation for the bioremediation of contaminated soils. Front. Microbiol. 2017, 8, 1966. [Google Scholar] [CrossRef]
- Mokross, H.; Schmidt, E.; Reineke, W. Degradation of 3-chlorobiphenyl by in vivo constructed hybrid Pseudomonads. FEMS Microbiol. Lett. 1990, 71, 179–185. [Google Scholar] [CrossRef]
- Brophy, J.A.N.; Triassi, A.J.; Adams, B.L.; Renberg, R.L.; Stratis-Cullum, D.N.; Grossman, A.D.; Voigt, C.A. Engineered integrative and conjugative elements for efficient and inducible DNA transfer to undomesticated bacteria. Nat. Microbiol. 2018, 3, 1043–1053. [Google Scholar] [CrossRef]
- Xiang, Y.; Xing, Z.; Liu, J.; Qin, W.; Huang, X. Recent advances in the biodegradation of polychlorinated biphenyls. World J. Microbiol. Biotechnol. 2020, 36, 145. [Google Scholar] [CrossRef]
- Potrawfke, T.; Löhnert, T.-H.; Timmis, K.N.; Wittich, R.-M. Mineralization of low-chlorinated biphenyls by Burkholderia sp. strain LB400 and by a two-membered consortium upon directed interspecies transfer of chlorocatechol pathway genes. Appl. Microbiol. Biotechnol. 1998, 50, 440–446. [Google Scholar] [CrossRef]
- Hu, J.; Qian, M.; Zhang, Q.; Cui, J.; Yu, C.; Su, X.; Shen, C.; Hashmi, M.Z.; Shi, J. Sphingobium fuliginis HC3: A novel and robust isolated biphenyl- and polychlorinated biphenyls-degrading bacterium without dead-end intermediates accumulation. PLoS ONE 2015, 10, e0122740. [Google Scholar] [CrossRef]
Disclaimer/Publisher’s Note: The statements, opinions and data contained in all publications are solely those of the individual author(s) and contributor(s) and not of MDPI and/or the editor(s). MDPI and/or the editor(s) disclaim responsibility for any injury to people or property resulting from any ideas, methods, instructions or products referred to in the content. |
© 2023 by the author. Licensee MDPI, Basel, Switzerland. This article is an open access article distributed under the terms and conditions of the Creative Commons Attribution (CC BY) license (https://creativecommons.org/licenses/by/4.0/).

