The Benefits of Toxicity: M. smegmatis VapBC TA Module Is Induced by Tetracycline Exposure and Promotes Survival
Abstract
1. Introduction
2. Materials and Methods
2.1. Bacterial Strains, Media, and Growth Conditions
2.2. DNA Manipulation
2.3. Determination of the Minimum Inhibitory Concentrations
2.4. Heat Shock, Antibiotic Treatment, MPN Test
2.5. Protein Extraction, LC-MS/MS Analysis
2.6. Protein Identification and Quantitation
2.7. Isolation of RNA, RNA Electrophoresis, qRT-PCR
2.8. Statistical Analysis
3. Results
3.1. VapC Overexpression Leads to Proteomic Changes in Abundance of Proteins Involved in Primary Metabolism and Stress Response
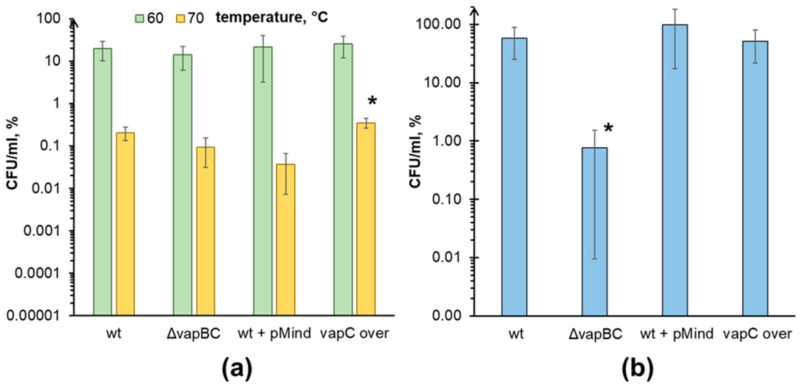
3.2. VapC Influences M. smegmatis Susceptibility to Some Stressful Conditions
3.3. vapBC and mazEF TA Systems of M. smegmatis Show Different Effects under Tetracycline Treatment
3.4. vapC and mazF Expression Levels Are Increased under Tetracycline Treatment
4. Discussion
5. Conclusions
Author Contributions
Funding
Data Availability Statement
Conflicts of Interest
Appendix A

| Name | Sequence | Direction |
|---|---|---|
| UpMazLDel | AGAAGCTTCCGCGGATGCTGCCCAACGAAGAC | Forward |
| LowMazLDel | GAGTGCGCGGCCGGCGAAATTCGGGTGCATTCA | Reverse |
| UpMazRDel | ATTTCGCCGGCCGCGCACTCCTGGTTTTTCT | Forward |
| LowMazRDel | CAGGATCCACGATGGGCGGATTGTTGACG | Reverse |
| maz_RT_F | CTCATCATCCAGGACGACCGA | Forward |
| maz_RT_R | GCGTTGGCTCGATTCGAATT | Reverse |
| vapC_RT_F | GACACTTCTGCCCTCGTTGCCA | Forward |
| vapC_RT_R | CAGATACGACGCGGTGGACAT | Reverse |
| 16SMSM_RTUp | GCAGGTCTCTGGGCTGTAAC | Forward |
| 16SMSM_RTLow | CGTTTACGGCATGGACTACC | Reverse |
References
- Harms, A.; Brodersen, D.E.; Mitarai, N.; Gerdes, K. Toxins, Targets, and Triggers: An Overview of Toxin-Antitoxin Biology. Mol. Cell 2018, 70, 768–784. [Google Scholar] [CrossRef] [PubMed]
- Page, R.; Peti, W. Toxin-antitoxin systems in bacterial growth arrest and persistence. Nat. Chem. Biol. 2016, 12, 208–214. [Google Scholar] [CrossRef] [PubMed]
- Sala, A.; Bordes, P.; Genevaux, P. Multiple toxin-antitoxin systems in Mycobacterium tuberculosis. Toxins 2014, 6, 1002–1020. [Google Scholar] [CrossRef]
- Akarsu, H.; Bordes, P.; Mansour, M.; Bigot, D.J.; Genevaux, P.; Falquet, L. TASmania: A bacterial Toxin-Antitoxin Systems database. PLoS Comput. Biol. 2019, 15, e1006946. [Google Scholar] [CrossRef]
- Lelovic, N.; Mitachi, K.; Yang, J.; Lemieux, M.R.; Ji, Y.; Kurosu, M. Application of Mycobacterium smegmatis as a surrogate to evaluate drug leads against Mycobacterium tuberculosis. J. Antibiot. 2020, 73, 780–789. [Google Scholar] [CrossRef] [PubMed]
- Zhang, L.Y.; Wang, C.L.; Yan, M.Y.; Geng, Y.M.; Yin, H.; Jia, H.Y.; Zhu, C.Z.; Li, Z.H.; Ren, G.X.; Pan, L.P.; et al. Toxin-Antitoxin Systems Alter Adaptation of Mycobacterium smegmatis to Environmental Stress. Microbiol. Spectr. 2022, 10, e0281522. [Google Scholar] [CrossRef]
- Akimova, N.I.; Bekker, O.B.; Danilenko, V.N. Functional Significance of Mycolicibacterium smegmatis Toxin–Antitoxin Module in Resistance to Antibiotics and Oxidative Stress. Russ. J. Genet. 2022, 58, 547–557. [Google Scholar] [CrossRef]
- Bajaj, R.A.; Arbing, M.A.; Shin, A.; Cascio, D.; Miallau, L. Crystal structure of the toxin Msmeg_6760, the structural homolog of Mycobacterium tuberculosis Rv2035, a novel type II toxin involved in the hypoxic response. Acta Crystallogr. F Struct. Biol. Commun. 2016, 72, 863–869. [Google Scholar] [CrossRef]
- Barth, V.C.; Woychik, N.A. The Sole Mycobacterium smegmatis MazF Toxin Targets tRNALys to Impart Highly Selective, Codon-Dependent Proteome Reprogramming. Front. Genet. 2020, 10, 1356. [Google Scholar] [CrossRef]
- Robson, J.; McKenzie, J.L.; Cursons, R.; Cook, G.M.; Arcus, V.L. The vapBC operon from Mycobacterium smegmatis is an autoregulated toxin-antitoxin module that controls growth via inhibition of translation. J. Mol. Biol. 2009, 390, 353–367. [Google Scholar] [CrossRef]
- Zamakhaev, M.; Grigorov, A.; Bespyatykh, J.; Azhikina, T.; Goncharenko, A.; Shumkov, M. VapC toxin switches M. smegmatis cells into dormancy through 23S rRNA cleavage. Arch. Microbiol. 2022, 205, 28. [Google Scholar] [CrossRef] [PubMed]
- Demidenok, O.I.; Kaprelyants, A.S.; Goncharenko, A.V. Toxin-antitoxin vapBC locus participates in the formation of the dormant state in Mycobacterium smegmatis. FEMS Microbiol. Lett. 2014, 352, 69–77. [Google Scholar] [CrossRef] [PubMed]
- Lipuma, J.; Cinege, G.; Bodogai, M.; Oláh, B.; Kiers, A.; Endre, G.; Dupont, L.; Dusha, I. A vapBC-type toxin-antitoxin module of Sinorhizobium meliloti influences symbiotic efficiency and nodule senescence of Medicago sativa. Environ. Microbiol. 2014, 16, 3714–3729. [Google Scholar] [CrossRef] [PubMed]
- Helaine, S.; Cheverton, A.M.; Watson, K.G.; Faure, L.M.; Matthews, S.A.; Holden, D.W. Internalization of Salmonella by macrophages induces formation of nonreplicating persisters. Science 2014, 343, 204–208. [Google Scholar] [CrossRef]
- Cruz, J.W.; Woychik, N.A. tRNAs taking charge. Pathog. Dis. 2016, 74, ftv117. [Google Scholar] [CrossRef][Green Version]
- Culviner, P.H.; Laub, M.T. Global Analysis of the E. coli Toxin MazF Reveals Widespread Cleavage of mRNA and the Inhibition of rRNA Maturation and Ribosome Biogenesis. Mol. Cell 2018, 70, 868–880.e10. [Google Scholar] [CrossRef]
- Bezrukov, F.; Prados, J.; Renzoni, A.; Panasenko, O.O. MazF toxin causes alterations in Staphylococcus aureus transcriptome, translatome and proteome that underlie bacterial dormancy. Nucleic Acids Res. 2021, 49, 2085–2101. [Google Scholar] [CrossRef]
- Jain, S.; Bhowmick, A.; Jeong, B.; Bae, T.; Ghosh, A. Unravelling the physiological roles of mazEF toxin-antitoxin system on clinical MRSA strain by CRISPR RNA-guided cytidine deaminase. J. Biomed. Sci. 2022, 29, 28. [Google Scholar] [CrossRef]
- Tiwari, P.; Arora, G.; Singh, M.; Kidwai, S.; Narayan, O.P.; Singh, R. MazF ribonucleases promote Mycobacterium tuberculosis drug tolerance and virulence in guinea pigs. Nat. Commun. 2015, 6, 6059. [Google Scholar] [CrossRef] [PubMed]
- Parish, T.; Stoker, N.G. Use of a flexible cassette method to generate a double unmarked Mycobacterium tuberculosis tlyA plcABC mutant by gene replacement. Microbiology 2000, 146, 1969–1975. [Google Scholar] [CrossRef]
- de Man, J.C. MPN tables, corrected. Eur. J. Appl. Microbiol. Biotechnol. 1983, 17, 301–305. [Google Scholar] [CrossRef]
- Bespyatykh, J.; Arapidi, G.; Shitikov, E. Proteogenomic Approach for Mycobacterium tuberculosis Investigation. Methods Mol. Biol. 2021, 2259, 191–201. [Google Scholar] [CrossRef] [PubMed]
- Kessner, D.; Chambers, M.; Burke, R.; Agus, D.; Mallick, P. ProteoWizard: Open source software for rapid proteomics tools development. Bioinformatics 2008, 24, 2534–2536. [Google Scholar] [CrossRef]
- Benjamini, Y.; Hochberg, Y. Controlling the False Discovery Rate: A Practical and Powerful Approach to Multiple Testing. J. R. Stat. 1995, 57, 89–300. [Google Scholar] [CrossRef]
- Rustad, T.R.; Roberts, D.M.; Liao, R.P.; Sherman, D.R. Isolation of mycobacterial RNA. Methods Mol. Biol. 2009, 465, 13–21. [Google Scholar] [CrossRef]
- Kaprelyants, A.S.; Mukamolova, G.V.; Kell, D.B. Estimation of dormant Micrococcus luteus cells by penicillin lysis and by resuscitation in cell-free spent culture medium at high dilution. FEMS Microbiol. Lett. 1994, 115, 347–352. [Google Scholar] [CrossRef]
- Gottesman, S. Trouble is coming: Signaling pathways that regulate general stress responses in bacteria. J. Biol. Chem. 2019, 294, 11685–11700. [Google Scholar] [CrossRef]
- Amato, S.M.; Orman, M.A.; Brynildsen, M.P. Metabolic control of persister formation in Escherichia coli. Mol. Cell 2013, 50, 475–487. [Google Scholar] [CrossRef]
- Zou, J.; Peng, B.; Qu, J.; Zheng, J. Are Bacterial Persisters Dormant Cells Only? Front. Microbiol. 2022, 12, 708580. [Google Scholar] [CrossRef]
- Balaban, N.Q.; Helaine, S.; Lewis, K.; Ackermann, M.; Aldridge, B.; Andersson, D.I.; Brynildsen, M.P.; Bumann, D.; Camilli, A.; Collins, J.J.; et al. Definitions and guidelines for research on antibiotic persistence. Nat. Rev. Microbiol. 2019, 17, 441–448. [Google Scholar] [CrossRef]
- McKinney, J.D.; Höner zu Bentrup, K.; Muñoz-Elías, E.J.; Miczak, A.; Chen, B.; Chan, W.T.; Swenson, D.; Sacchettini, J.C.; Jacobs, W.R., Jr.; Russell, D.G. Persistence of Mycobacterium tuberculosis in macrophages and mice requires the glyoxylate shunt enzyme isocitrate lyase. Nature 2000, 406, 735–738. [Google Scholar] [CrossRef]
- Ehrt, S.; Schnappinger, D.; Rhee, K.Y. Metabolic principles of persistence and pathogenicity in Mycobacterium tuberculosis. Nat. Rev. Microbiol. 2018, 16, 496–507. [Google Scholar] [CrossRef]
- Deb, C.; Lee, C.M.; Dubey, V.S.; Daniel, J.; Abomoelak, B.; Sirakova, T.D.; Pawar, S.; Rogers, L.; Kolattukudy, P.E. A novel in vitro multiple-stress dormancy model for Mycobacterium tuberculosis generates a lipid-loaded, drug-tolerant, dormant pathogen. PLoS ONE 2009, 4, e6077. [Google Scholar] [CrossRef]
- Sartain, M.J.; Dick, D.L.; Rithner, C.D.; Crick, D.C.; Belisle, J.T. Lipidomic analyses of Mycobacterium tuberculosis based on accurate mass measurements and the novel “Mtb LipidDB”. J. Lipid Res. 2011, 52, 861–872. [Google Scholar] [CrossRef]
- Nikitushkin, V.D.; Shleeva, M.O.; Zinin, A.I.; Trutneva, K.A.; Ostrovsky, D.N.; Kaprelyants, A.S. The main pigment of the dormant Mycobacterium smegmatis is porphyrin. FEMS Microbiol. Lett. 2016, 363, fnw206. [Google Scholar] [CrossRef]
- Rittershaus, E.S.; Baek, S.H.; Sassetti, C.M. The normalcy of dormancy: Common themes in microbial quiescence. Cell Host Microbe 2013, 13, 643–651. [Google Scholar] [CrossRef]
- Baker, T.; Sauer, R.T. ClpXP, an ATP-powered unfolding and protein-degradation machine. Biochim. Biophys. Acta 2012, 1823, 15–28. [Google Scholar] [CrossRef]
- Cheetham, M.E.; Caplan, A.J. Structure function and evolution of DnaJ: Conservation and adaptation of chaperone function. Cell Stress Chaperones 1998, 3, 28–36. [Google Scholar] [CrossRef] [PubMed]
- Langer, T.; Lu, C.; Echols, H.; Flanagan, J.; Hayer, M.K.; Hartl, F.U. Successive action of DnaK, DnaJ and GroEL along the pathway of chaperone-mediated protein folding. Nature 1992, 356, 683–689. [Google Scholar] [CrossRef] [PubMed]
- Zietkiewicz, S.; Krzewska, J.; Liberek, K. Successive and synergistic action of the Hsp70 and Hsp100 chaperones in protein disaggregation. J. Biol. Chem. 2004, 279, 44376–44383. [Google Scholar] [CrossRef] [PubMed]
- Larosa, V.; Remacle, C. Insights into the respiratory chain and oxidative stress. Biosci. Rep. 2018, 38, BSR20171492. [Google Scholar] [CrossRef]
- Schurig-Briccio, L.A.; Farías, R.N.; Rodríguez-Montelongo, L.; Rintoul, M.R.; Rapisarda, V.A. Protection against oxidative stress in Escherichia coli stationary phase by a phosphate concentration-dependent genes expression. Arch. Biochem. Biophys. 2009, 483, 106–110. [Google Scholar] [CrossRef] [PubMed]
- Arnér, E.S.; Holmgren, A. Physiological functions of thioredoxin and thioredoxin reductase. Eur. J. Biochem. 2000, 267, 6102–6109. [Google Scholar] [CrossRef]
- Hirabayashi, K.; Yuda, E.; Tanaka, N.; Katayama, S.; Iwasaki, K.; Matsumoto, T.; Kurisu, G.; Outten, F.W.; Fukuyama, K.; Takahashi, Y.; et al. Functional Dynamics Revealed by the Structure of the SufBCD Complex, a Novel ATP-binding Cassette (ABC) Protein That Serves as a Scaffold for Iron-Sulfur Cluster Biogenesis. J. Biol. Chem. 2015, 290, 29717–29731. [Google Scholar] [CrossRef]
- Piddington, D.L.; Fang, F.C.; Laessig, T.; Cooper, A.M.; Orme, I.M.; Buchmeier, N.A. Cu,Zn superoxide dismutase of Mycobacterium tuberculosis contributes to survival in activated macrophages that are generating an oxidative burst. Infect. Immun. 2001, 69, 4980–4987. [Google Scholar] [CrossRef] [PubMed]
- Seaver, L.C.; Imlay, J.A. Alkyl hydroperoxide reductase is the primary scavenger of endogenous hydrogen peroxide in Escherichia coli. J. Bacteriol. 2001, 183, 7173–7181. [Google Scholar] [CrossRef] [PubMed]
- Hui, D.; Khaiat, S.; Uy, T.; Xu, H. Partial Confirmation of Single katG and katE Knockouts and Double katG/katE Knockouts Created from Isogenic Background of Escherichia coli K-12 Strains. JEMI 2014, 18, 139–145. [Google Scholar]
- Kumar, A.; Farhana, A.; Guidry, L.; Saini, V.; Hondalus, M.; Steyn, A.J. Redox homeostasis in mycobacteria: The key to tuberculosis control? Expert. Rev. Mol. Med. 2011, 13, e39. [Google Scholar] [CrossRef]
- Shastri, M.D.; Shukla, S.D.; Chong, W.C.; Dua, K.; Peterson, G.M.; Patel, R.P.; Hansbro, P.M.; Eri, R.; O’Toole, R.F. Role of Oxidative Stress in the Pathology and Management of Human Tuberculosis. Oxid. Med. Cell Longev. 2018, 2018, 7695364. [Google Scholar] [CrossRef]
- Potrykus, K.; Cashel, M. (p)ppGpp: Still magical? Annu. Rev. Microbiol. 2008, 62, 35–51. [Google Scholar] [CrossRef]
- Jaishankar, J.; Srivastava, P. Molecular Basis of Stationary Phase Survival and Applications. Front. Microbiol. 2017, 8, 2000. [Google Scholar] [CrossRef]
- Weiss, L.A.; Stallings, C.L. Essential roles for Mycobacterium tuberculosis Rel beyond the production of (p)ppGpp. J. Bacteriol. 2013, 195, 5629–5638. [Google Scholar] [CrossRef]
- Reitzer, L. Nitrogen assimilation and global regulation in Escherichia coli. Annu. Rev. Microbiol. 2003, 57, 155–176. [Google Scholar] [CrossRef] [PubMed]
- Reitzer, L. Catabolism of Amino Acids and Related Compounds. EcoSal Plus 2005, 1. [Google Scholar] [CrossRef] [PubMed]
- Nürenberg-Goloub, E.; Tampé, R. Ribosome recycling in mRNA translation, quality control, and homeostasis. Biol. Chem. 2019, 401, 47–61. [Google Scholar] [CrossRef]
- Harper, C.J.; Hayward, D.; Kidd, M.; Wiid, I.; van Helden, P. Glutamate dehydrogenase and glutamine synthetase are regulated in response to nitrogen availability in Myocbacterium smegmatis. BMC Microbiol. 2010, 10, 138. [Google Scholar] [CrossRef] [PubMed]
- De Biase, D.; Pennacchietti, E. Glutamate decarboxylase-dependent acid resistance in orally acquired bacteria: Function, distribution and biomedical implications of the gadBC operon. Mol. Microbiol. 2012, 86, 770–786. [Google Scholar] [CrossRef] [PubMed]
- Nix, D.E.; DeVito, J.M. Ciprofloxacin and norfloxacin, two fluoroquinolone antimicrobials. Clin. Pharm. 1987, 6, 105–117. [Google Scholar] [PubMed]
- Timmins, G.S.; Deretic, V. Mechanisms of action of isoniazid. Mol. Microbiol. 2006, 62, 1220–1227. [Google Scholar] [CrossRef]
- Chopra, I.; Roberts, M. Tetracycline antibiotics: Mode of action, applications, molecular biology, and epidemiology of bacterial resistance. Microbiol. Mol. Biol. Rev. 2001, 65, 232–260. [Google Scholar] [CrossRef]
- Zhu, L.; Sharp, J.D.; Kobayashi, H.; Woychik, N.A.; Inouye, M. Noncognate Mycobacterium tuberculosis toxin-antitoxins can physically and functionally interact. J. Biol. Chem. 2010, 285, 39732–39738. [Google Scholar] [CrossRef] [PubMed]



| Strain | Minimum Inhibitory Concentration, µg/mL | ||
|---|---|---|---|
| Tetracycline | Ciprofloxacin | Isoniazid | |
| wt | 0.313 | 0.250 | 0.940 |
| ΔvapBC | 0.313 | 0.250 | 0.940 |
| ΔmazEF | 0.313 | 0.250 | 0.940 |
| ΔvapBCΔmazEF | 0.313 | 0.250 | 0.940 |
| wt + pMind | 0.313 | 0.250 | 0.940 |
| vapC over | 0.313 | 0.250 | 0.940 |
| Strain | CFU, % | MPN, % | CFU/MPN |
|---|---|---|---|
| wt | 15.384 ± 6.747 | 22.9 ± 4.351 × 10−15 | 1.489 |
| ΔvapBC | 0.099 ± 0.060 | 1.548 ± 0.701 | 15.635 |
| ΔmazEF | 51.167 ± 24.197 | 43.75 ± 10.825 | 0.855 |
| ΔvapBCΔmazEF | 47.012 ± 4.530 | 72.9 ± 26.443 | 1.551 |
Disclaimer/Publisher’s Note: The statements, opinions and data contained in all publications are solely those of the individual author(s) and contributor(s) and not of MDPI and/or the editor(s). MDPI and/or the editor(s) disclaim responsibility for any injury to people or property resulting from any ideas, methods, instructions or products referred to in the content. |
© 2023 by the authors. Licensee MDPI, Basel, Switzerland. This article is an open access article distributed under the terms and conditions of the Creative Commons Attribution (CC BY) license (https://creativecommons.org/licenses/by/4.0/).
Share and Cite
Zamakhaev, M.; Bespyatykh, J.; Goncharenko, A.; Shumkov, M. The Benefits of Toxicity: M. smegmatis VapBC TA Module Is Induced by Tetracycline Exposure and Promotes Survival. Microorganisms 2023, 11, 2863. https://doi.org/10.3390/microorganisms11122863
Zamakhaev M, Bespyatykh J, Goncharenko A, Shumkov M. The Benefits of Toxicity: M. smegmatis VapBC TA Module Is Induced by Tetracycline Exposure and Promotes Survival. Microorganisms. 2023; 11(12):2863. https://doi.org/10.3390/microorganisms11122863
Chicago/Turabian StyleZamakhaev, Mikhail, Julia Bespyatykh, Anna Goncharenko, and Mikhail Shumkov. 2023. "The Benefits of Toxicity: M. smegmatis VapBC TA Module Is Induced by Tetracycline Exposure and Promotes Survival" Microorganisms 11, no. 12: 2863. https://doi.org/10.3390/microorganisms11122863
APA StyleZamakhaev, M., Bespyatykh, J., Goncharenko, A., & Shumkov, M. (2023). The Benefits of Toxicity: M. smegmatis VapBC TA Module Is Induced by Tetracycline Exposure and Promotes Survival. Microorganisms, 11(12), 2863. https://doi.org/10.3390/microorganisms11122863

