Microbiological Etiology in Patients with IE Undergoing Surgery and for Patients with Medical Treatment Only: A Nationwide Study from 2010 to 2020
Abstract
:1. Introduction
- (i)
- To compare the microbiological characteristics of IE in an unselected nationwide cohort based on the treatment choice.
- (ii)
- To identify factors associated with surgery during admission for IE with focus on microbiological etiology.
- (iii)
- To assess the rate of surgery and mortality after discharge according to microbiological etiology and treatment choice.
2. Materials and Methods
2.1. Data Sources
The Danish Microbiology Database (MiBa)
2.2. Study Population
2.3. Outcomes, Follow-Up, and Comorbidities
2.4. Statistics
3. Results
3.1. Baseline Characteristics
3.2. Microbiological Characteristics and Surgery
3.3. Factors Associated with Surgery during Initial Admission for IE
3.4. In-Hospital Mortality Stratified by Microbiological Etiology and Treatment Choice
3.5. Surgery after Initial Episode of IE
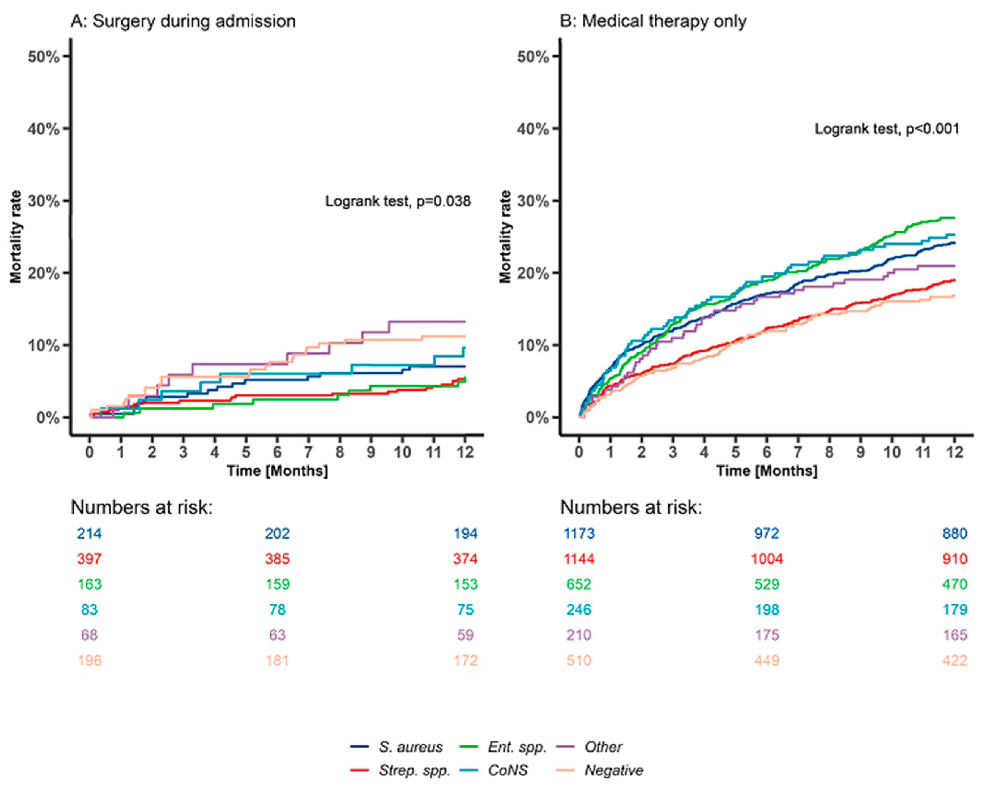
3.6. Twelve-Month Mortality Rates after IE Discharge in Patients Surviving the Initial Admission Stratified by Microbiological Etiologies and Treatment Choice
4. Discussion
Limitations
5. Conclusions
Supplementary Materials
Author Contributions
Funding
Data Availability Statement
Conflicts of Interest
References
- Murdoch, D.R. Clinical Presentation, Etiology, and Outcome of Infective Endocarditis in the 21st Century. Arch. Intern. Med. 2009, 169, 463–473. [Google Scholar] [CrossRef] [PubMed]
- Østergaard, L.; Oestergaard, L.B.; Lauridsen, T.K.; Dahl, A.; Chaudry, M.; Gislason, G.; Torp-Pedersen, C.; Bruun, N.E.; Valeur, N.; Køber, L.; et al. Long-Term Causes of Death in Patients with Infective Endocarditis Who Undergo Medical Therapy Only or Surgical Treatment: A Nationwide Population-Based Study. Eur. J. Cardio Thorac Surg. 2018, 54, 860–866. [Google Scholar] [CrossRef]
- Jensen, A.D.; Bundgaard, H.; Butt, J.H.; Bruun, N.E.; Voldstedlund, M.; Torp-Pedersen, C.; Gislason, G.; Iversen, K.; Chamat, S.; Dahl, A.; et al. Temporal Changes in the Incidence of Infective Endocarditis in Denmark 1997–2017: A Nationwide Study. Int. J. Cardiol. 2020, 326, 145–152. [Google Scholar] [CrossRef] [PubMed]
- Erichsen, P.; Gislason, G.H.; Bruun, N.E. The Increasing Incidence of Infective Endocarditis in Denmark, 1994–2011. Eur. J. Intern. Med. 2016, 35, 95–99. [Google Scholar] [CrossRef]
- Olmos, C.; Vilacosta, I.; Fernández-Pérez, C.; Bernal, J.L.; Ferrera, C.; García-Arribas, D.; Pérez-García, C.N.; San Román, J.A.; Maroto, L.; Macaya, C.; et al. The Evolving Nature of Infective Endocarditis in Spain: A Population-Based Study (2003 to 2014). J. Am. Coll. Cardiol. 2017, 70, 2795–2804. [Google Scholar] [CrossRef] [PubMed]
- Dayer, M.J.; Jones, S.; Prendergast, B.; Baddour, L.M.; Lockhart, P.B.; Thornhill, M.H. Incidence of Infective Endocarditis in England, 2000–13: A Secular Trend, Interrupted Time-Series Analysis. Lancet 2015, 385, 1219–1228. [Google Scholar] [CrossRef] [PubMed]
- Pant, S.; Patel, N.J.; Deshmukh, A.; Golwala, H.; Patel, N.; Badheka, A.; Hirsch, G.A.; Mehta, J.L. Trends in Infective Endocarditis Incidence, Microbiology, and Valve Replacement in the United States From 2000 to 2011. J. Am. Coll. Cardiol. 2015, 65, 2070–2076. [Google Scholar] [CrossRef]
- Habib, G.; Lancellotti, P.; Antunes, M.J.; Bongiorni, M.G.; Casalta, J.-P.; Del Zotti, F.; Dulgheru, R.; El Khoury, G.; Erba, P.A.; Iung, B.; et al. 2015 ESC Guidelines for the Management of Infective Endocarditis. Eur. Heart J. 2015, 36, 3075–3128. [Google Scholar] [CrossRef]
- Otto, C.M.; Nishimura, R.A.; Bonow, R.O.; Carabello, B.A.; Erwin, J.P.; Gentile, F.; Jneid, H.; Krieger, E.V.; Mack, M.; McLeod, C.; et al. 2020 ACC/AHA Guideline for the Management of Patients with Valvular Heart Disease: A Report of the American College of Cardiology/American Heart Association Joint Committee on Clinical Practice Guidelines. Circulation 2021, 143, e35–e71. [Google Scholar] [CrossRef]
- Baddour, L.M.; Wilson, W.R.; Bayer, A.S.; Fowler, V.G.; Tleyjeh, I.M.; Rybak, M.J.; Barsic, B.; Lockhart, P.B.; Gewitz, M.H.; Levison, M.E.; et al. Infective Endocarditis in Adults: Diagnosis, Antimicrobial Therapy, and Management of Complications. Circulation 2015, 132, 1435–1486. [Google Scholar] [CrossRef]
- Jensen, A.D.; Østergaard, L.; Petersen, J.K.; Graversen, P.; Butt, J.H.; Bundgaard, H.; Moser, C.; Smerup, M.H.; Modrau, I.S.; Iversen, K.; et al. Surgical Treatment of Patients with Infective Endocarditis: Changes in Temporal Use, Patient Characteristics, and Mortality—A Nationwide Study. BMC Cardiovasc. Disord. 2022, 22, 338. [Google Scholar] [CrossRef] [PubMed]
- Habib, G.; Erba, P.A.; Iung, B.; Donal, E.; Cosyns, B.; Laroche, C.; Popescu, B.A.; Prendergast, B.; Tornos, P.; Sadeghpour, A.; et al. Clinical Presentation, Aetiology and Outcome of Infective Endocarditis. Results of the ESC-EORP EURO-ENDO (European Infective Endocarditis) Registry: A Prospective Cohort Study. Eur. Heart J. 2019, 40, 3222–3232. [Google Scholar] [CrossRef] [PubMed]
- Lalani, T.; Cabell, C.H.; Benjamin, D.K.; Lasca, O.; Naber, C.; Fowler, V.G.; Corey, G.R.; Chu, V.H.; Fenely, M.; Pachirat, O.; et al. Analysis of the Impact of Early Surgery on In-Hospital Mortality of Native Valve Endocarditis. Circulation 2010, 121, 1005–1013. [Google Scholar] [CrossRef] [PubMed]
- Vikram, H.R.; Buenconsejo, J.; Hasbun, R.; Quagliarello, V.J. Impact of Valve Surgery on 6-Month Mortality in Adults With Complicated, Left-Sided Native Valve Endocarditis. JAMA 2003, 290, 3207. [Google Scholar] [CrossRef] [PubMed]
- Cabell, C.H.; Abrutyn, E.; Fowler, V.G.; Hoen, B.; Miro, J.M.; Corey, G.R.; Olaison, L.; Pappas, P.; Anstrom, K.J.; Stafford, J.A.; et al. Use of Surgery in Patients with Native Valve Infective Endocarditis: Results from the International Collaboration on Endocarditis Merged Database. Am. Heart J. 2005, 150, 1092–1098. [Google Scholar] [CrossRef] [PubMed]
- Tleyjeh, I.M.; Ghomrawi, H.M.K.; Steckelberg, J.M.; Hoskin, T.L.; Mirzoyev, Z.; Anavekar, N.S.; Enders, F.; Moustafa, S.; Mookadam, F.; Huskins, W.C.; et al. The Impact of Valve Surgery on 6-Month Mortality in Left-Sided Infective Endocarditis. Circulation 2007, 115, 1721–1728. [Google Scholar] [CrossRef] [PubMed]
- Schmidt, M.; Pedersen, L.; Sørensen, H.T. The Danish Civil Registration System as a Tool in Epidemiology. Eur. J. Epidemiol. 2014, 29, 541–549. [Google Scholar] [CrossRef]
- Schmidt, M.; Schmidt, S.A.J.; Sandegaard, J.L.; Ehrenstein, V.; Pedersen, L.; Sørensen, H.T. The Danish National Patient Registry: A Review of Content, Data Quality, and Research Potential. Clin. Epidemiol. 2015, 7, 449–490. [Google Scholar] [CrossRef]
- Kildemoes, W.H.; Sørensen, T.H.; Hallas, J. The Danish National Prescription Registry. Scand. J. Public Health 2011, 39, 38–41. [Google Scholar] [CrossRef]
- Helweg-Larsen, K. The Danish Register of Causes of Death. Scand. J. Public Health 2011, 39, 26–29. [Google Scholar] [CrossRef]
- Voldstedlund, M.; Haarh, M.; Mølbak, K. MiBa Board of Representatives The Danish Microbiology Database (MiBa) 2010 to 2013. Eurosurveillance 2014, 19, 20667. [Google Scholar] [CrossRef] [PubMed]
- Østergaard, L.; Adelborg, K.; Sundbøll, J.; Pedersen, L.; Fosbøl, L.E.; Schmidt, M. Positive Predictive Value of Infective Endocarditis in the Danish National Patient Registry: A Validation Study. Epidemiol. Infect. 2018, 146, 1965–1967. [Google Scholar] [CrossRef] [PubMed]
- Sundbøll, J.; Adelborg, K.; Munch, T.; Frøslev, T.; Sørensen, H.T.; Bøtker, H.E.; Schmidt, M. Positive Predictive Value of Cardiovascular Diagnoses in the Danish National Patient Registry: A Validation Study. BMJ Open 2016, 6, e012832. [Google Scholar] [CrossRef] [PubMed]
- Østergaard, L.; Voldstedlund, M.; Bruun, N.E.; Bundgaard, H.; Iversen, K.; Køber, N.; Christensen, J.J.; Rosenvinge, F.S.; Jarløv, J.O.; Moser, C.; et al. Temporal Changes, Patient Characteristics, and Mortality, According to Microbiological Cause of Infective Endocarditis: A Nationwide Study. J. Am. Heart Assoc. 2022, 11, e025801. [Google Scholar] [CrossRef] [PubMed]
- Bannay, A.; Hoen, B.; Duval, X.; Obadia, J.F.; Selton-Suty, C.; Le Moing, V.; Tattevin, P.; Iung, B.; Delahaye, F.; Alla, F. The Impact of Valve Surgery on Short-and Long-Term Mortality in Left-Sided Infective Endocarditis: Do Differences in Methodological Approaches Explain Previous Conflicting Results? Eur. Heart J. 2011, 32, 2003–2015. [Google Scholar] [CrossRef] [PubMed]
- Chu, V.H.; Park, L.P.; Athan, E.; Delahaye, F.; Freiberger, T.; Lamas, C.; Miro, J.M.; Mudrick, D.W.; Strahilevitz, J.; Tribouilloy, C.; et al. Association Between Surgical Indications, Operative Risk, and Clinical Outcome in Infective Endocarditis. Circulation 2015, 131, 131–140. [Google Scholar] [CrossRef] [PubMed]
- Selton-Suty, C.; Célard, M.; Le Moing, V.; Doco-Lecompte, T.; Chirouze, C.; Iung, B.; Strady, C.; Revest, M.; Vandenesch, F.; Bouvet, A.; et al. Preeminence of Staphylococcus Aureus in Infective Endocarditis: A 1-Year Population-Based Survey. Clin. Infect. Dis. 2012, 54, 1230–1239. [Google Scholar] [CrossRef] [PubMed]
- N’Guyen, Y.; Duval, X.; Revest, M.; Saada, M.; Erpelding, M.; Selton-Suty, C.; Bouchiat, C.; Delahaye, F.; Chirouze, C.; Alla, F.; et al. Time Interval between Infective Endocarditis First Symptoms and Diagnosis: Relationship to Infective Endocarditis Characteristics, Microorganisms and Prognosis. Ann. Med. 2017, 49, 117–125. [Google Scholar] [CrossRef]
- Ludvigsen, L.U.P.; Dalgaard, L.S.; Wiggers, H.; Jensen-Fangel, S.; Jespersen, B.; Ellermann-Eriksen, S.; Østergaard, L.; Søgaard, O.S. Infective Endocarditis in Patients Receiving Chronic Hemodialysis: A 21-Year Observational Cohort Study in Denmark. Am. Heart J. 2016, 182, 36–43. [Google Scholar] [CrossRef]
- Bhatia, N.; Agrawal, S.; Garg, A.; Mohananey, D.; Sharma, A.; Agarwal, M.; Garg, L.; Agrawal, N.; Singh, A.; Nanda, S.; et al. Trends and Outcomes of Infective Endocarditis in Patients on Dialysis. Clin. Cardiol. 2017, 40, 423–429. [Google Scholar] [CrossRef]
- Dickerman, S.A.; Abrutyn, E.; Barsic, B.; Bouza, E.; Cecchi, E.; Moreno, A.; Doco-Lecompte, T.; Eisen, D.P.; Fortes, C.Q.; Fowler, V.G.; et al. The Relationship between the Initiation of Antimicrobial Therapy and the Incidence of Stroke in Infective Endocarditis: An Analysis from the ICE Prospective Cohort Study (ICE-PCS). Am. Heart J. 2007, 154, 1086–1094. [Google Scholar] [CrossRef] [PubMed]
- DeSimone, D.C.; Baddour, L.M.; Lahr, B.D.; Chung, H.H.; Wilson, W.R.; Steckelberg, J.M. Euthermic Endocarditis. PLoS ONE 2013, 8, e80144. [Google Scholar] [CrossRef] [PubMed]
- Liesman, R.M.; Pritt, B.S.; Maleszewski, J.J.; Patel, R. Laboratory Diagnosis of Infective Endocarditis. J. Clin. Microbiol. 2017, 55, 2599–2608. [Google Scholar] [CrossRef] [PubMed]
- Sunder, S.; Grammatico-Guillon, L.; Lemaignen, A.; Lacasse, M.; Gaborit, C.; Boutoille, D.; Tattevin, P.; Denes, E.; Guimard, T.; Dupont, M.; et al. Incidence, Characteristics, and Mortality of Infective Endocarditis in France in 2011. PLoS ONE 2019, 14, e0223857. [Google Scholar] [CrossRef] [PubMed]
- García-Cabrera, E.; Fernández-Hidalgo, N.; Almirante, B.; Ivanova-Georgieva, R.; Noureddine, M.; Plata, A.; Lomas, J.M.; Gálvez-Acebal, J.; Hidalgo-Tenorio, C.; Ruíz-Morales, J.; et al. Neurological Complications of Infective Endocarditis. Circulation 2013, 127, 2272–2284. [Google Scholar] [CrossRef] [PubMed]
- Thuny, F.; Avierinos, J.-F.; Tribouilloy, C.; Giorgi, R.; Casalta, J.-P.; Milandre, L.; Brahim, A.; Nadji, G.; Riberi, A.; Collart, F.; et al. Impact of Cerebrovascular Complications on Mortality and Neurologic Outcome during Infective Endocarditis: A Prospective Multicentre Study. Eur. Heart J. 2007, 28, 1155–1161. [Google Scholar] [CrossRef] [PubMed]
- Østergaard, L.; Voldstedlund, M.; Bruun, N.E.; Bundgaard, H.; Iversen, K.; Pries-Heje, M.M.; Hadji-Turdeghal, K.; Graversen, P.L.; Moser, C.; Andersen, C.Ø.; et al. Recurrence of Bacteremia and Infective Endocarditis According to Bacterial Species of Index Endocarditis Episode. Infection 2023, 1–9. [Google Scholar] [CrossRef]
- MRSA—Disease Prevalence Report 2021. Available online: https://en.ssi.dk/surveillance-and-preparedness/surveillance-in-denmark/annual-reports-on-disease-incidence/mrsa-2021 (accessed on 1 September 2023).







| Variables | Medical Therapy Only (N = 4979 a) | Surgery during Admission (N = 1276) | p-Value b |
|---|---|---|---|
| Males | 3238 (65.0) | 973 (76.3) | <0.001 |
| Age | 74 [65–81] | 65 [54–72] | <0.001 |
| Length of hospital stay (days) | 35 [24–47] | 46 [35–58] | <0.001 |
| Length of hospital stay among patients alive at discharge (days) | 40 [30–48] | 46 [39–59] | <0.001 |
| Time from admission to surgery (days) | - | 7 [3–15] | - |
| Microbiological etiology c | <0.001 | ||
| Staphylococcus aureus | 1662 (33.4) | 262 (20.5) | |
| Streptococcus | 1305 (26.2) | 447 (35.0) | |
| Enterococcus | 799 (16.0) | 183 (14.3) | |
| CoNS | 322 (6.5) | 92 (7.2) | |
| Other | 250 (5.0) | 77 (6.0) | |
| Negative | 641 (12.9) | 215 (16.8) | |
| Prior prosthesis | 1051 (21.1) | 248 (19.4) | 0.189 |
| Cardiac implantable electrical devices (CIEDs) | 1020 (20.5) | 70 (5.5) | <0.001 |
| Aortic valve disease | 1224 (24.6) | 362 (28.4) | 0.006 |
| Mitral valve disease | 327 (6.6) | 124 (9.7) | <0.001 |
| Atrial fibrillation (AF) | 1300 (26.1) | 189 (14.8) | <0.001 |
| Heart failure (HF) | 1062 (21.3) | 156 (12.2) | <0.001 |
| Ischemic heart disease (IHD) | 1428 (28.7) | 226 (17.7) | <0.001 |
| Cerebrovascular disease (CVD) | 760 (15.3) | 149 (11.7) | 0.001 |
| Dementia | 123 (2.5) | ≤3 d | <0.001 |
| Hypertension | 2813 (56.5) | 512 (40.1) | <0.001 |
| Chronic kidney disease (CKD) | 510 (10.2) | 78 (6,1) | <0.001 |
| Dialysis | 293 (5.9) | 53 (4.2) | 0.004 |
| Diabetes | 1249 (24.9) | 202 (15.8) | <0.001 |
| Liver disease | 290 (5.8) | 35 (2.7) | <0.001 |
| Chronic obstructive pulmonary disease (COPD) | 581 (11.7) | 76 (6.0) | <0.001 |
| Charlson comorbidity index | <0.001 | ||
| 0 | 1642 (33.0) | 709 (55.6) | |
| 1–2 | 1847 (37.1) | 413 (32.4) | |
| >2 | 1490 (29.9) | 154 (12.1) | |
| Anticoagulants | 1641 (33.0) | 260 (20.4) | <0.001 |
| Beta blockers | 2072 (41.6) | 336 (26.3) | <0.001 |
| Lipid-lowering medication | 2116 (42.5) | 409 (32.1) | <0.001 |
| RAS inhibitors | 2180 (43.8) | 464 (36.4) | <0.001 |
Disclaimer/Publisher’s Note: The statements, opinions and data contained in all publications are solely those of the individual author(s) and contributor(s) and not of MDPI and/or the editor(s). MDPI and/or the editor(s) disclaim responsibility for any injury to people or property resulting from any ideas, methods, instructions or products referred to in the content. |
© 2023 by the authors. Licensee MDPI, Basel, Switzerland. This article is an open access article distributed under the terms and conditions of the Creative Commons Attribution (CC BY) license (https://creativecommons.org/licenses/by/4.0/).
Share and Cite
Graversen, P.L.; Østergaard, L.; Voldstedlund, M.; Wandall-Holm, M.F.; Smerup, M.H.; Køber, L.; Fosbøl, E.L. Microbiological Etiology in Patients with IE Undergoing Surgery and for Patients with Medical Treatment Only: A Nationwide Study from 2010 to 2020. Microorganisms 2023, 11, 2403. https://doi.org/10.3390/microorganisms11102403
Graversen PL, Østergaard L, Voldstedlund M, Wandall-Holm MF, Smerup MH, Køber L, Fosbøl EL. Microbiological Etiology in Patients with IE Undergoing Surgery and for Patients with Medical Treatment Only: A Nationwide Study from 2010 to 2020. Microorganisms. 2023; 11(10):2403. https://doi.org/10.3390/microorganisms11102403
Chicago/Turabian StyleGraversen, Peter Laursen, Lauge Østergaard, Marianne Voldstedlund, Malthe Faurschou Wandall-Holm, Morten Holdgaard Smerup, Lars Køber, and Emil Loldrup Fosbøl. 2023. "Microbiological Etiology in Patients with IE Undergoing Surgery and for Patients with Medical Treatment Only: A Nationwide Study from 2010 to 2020" Microorganisms 11, no. 10: 2403. https://doi.org/10.3390/microorganisms11102403
APA StyleGraversen, P. L., Østergaard, L., Voldstedlund, M., Wandall-Holm, M. F., Smerup, M. H., Køber, L., & Fosbøl, E. L. (2023). Microbiological Etiology in Patients with IE Undergoing Surgery and for Patients with Medical Treatment Only: A Nationwide Study from 2010 to 2020. Microorganisms, 11(10), 2403. https://doi.org/10.3390/microorganisms11102403

