Improvement of Alternaria Leaf Blotch and Fruit Spot of Apple Control through the Management of Primary Inoculum
Abstract
1. Introduction
2. Materials and Methods
2.1. Field Trials Design and Conditions
2.2. Spore Release
2.3. Disease Assessment
2.4. Weather Conditions
2.5. Data Analysis
3. Results
3.1. Effect of Treatments on Spore Release
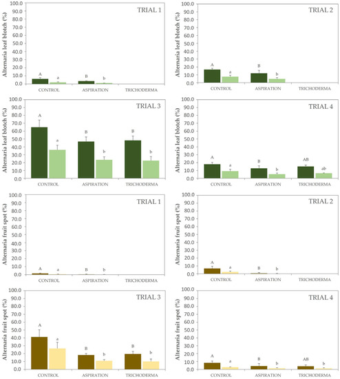
3.2. Effects of Treatments on Alternaria Leaf Blotch and Fruit Spot
4. Discussion
5. Conclusions
Author Contributions
Funding
Institutional Review Board Statement
Informed Consent Statement
Data Availability Statement
Acknowledgments
Conflicts of Interest
References
- Gao, L.L.; Zhang, Q.; Sun, X.Y.; Jiang, L.; Zhang, R.; Sun, G.Y.; Zha, Y.L.; Biggs, A.R. Etiology of moldy core, core browning, and core rot of Fuji apple in China. Plant Dis. 2013, 97, 510–516. [Google Scholar] [CrossRef] [PubMed]
- Johnson, R.D.; Johnson, L.; Kohmoto, K.; Otani, H.; Lane, C.R.; Kodama, M. A Polymerase chain reaction-based method to specifically detect Alternaria alternata apple pathotype (A. mali), the causal agent of Alternaria blotch of apple. Phytopathology 2000, 90, 973–976. [Google Scholar] [CrossRef] [PubMed]
- Gur, L.; Reuveni, M.; Cohen, Y. Occurrence and etiology of Alternaria leaf blotch and fruit spot of apple caused by Alternaria alternata f. sp. mali on cv. Pink Lady in Israel. Eur. J. Plant Pathol. 2017, 147, 695–708. [Google Scholar] [CrossRef]
- Grove, G.G.; Eastwell, K.C.; Jones, A.L.; Sutton, T.B. Diseases of apple. In Apples: Botany, Production and Uses; Feree, D.C., Warrington, I.J., Eds.; CABI Publishing: Cambridge, MA, USA, 2003; Chapter 18; pp. 459–488. [Google Scholar] [CrossRef]
- Roberts, J.W. Morphological characters of Alternaria mali. J. Agric. Res. 1924, 25, 699–708. [Google Scholar]
- Wenneker, M.; Pham, K.T.K.; Woudenberg, J.H.C.; Thomma, B.P.H.J. First report of Alternaria arborescens species complex causing leaf blotch and associated premature leaf drop of ‘Golden Delicious’ apple trees in the Netherlands. Plant Dis. 2018, 102, 1654. [Google Scholar] [CrossRef]
- Toome-Heller, M.; Baskarathevan, J.; Burnip, G.; Alexander, B. First Report of apple leaf blotch caused by Alternaria arborescens complex in New Zealand. N. Z. J. Crop Hortic. Sci. 2018, 46, 354–359. [Google Scholar] [CrossRef]
- Rotondo, F.; Collina, M.; Brunelli, A.; Pryor, B.M. Comparison of Alternaria spp. collected in Italy from apple with A. mali and other AM-toxin producing strains. Phytopathology 2012, 102, 1130–1142. [Google Scholar] [CrossRef]
- Filajdic, N.; Sutton, T.B. Influence of temperature and wetness duration on infection of apple leaves and virulence of different isolates of Alternaria mali. Phytopathology 1992, 82, 1279–1283. [Google Scholar] [CrossRef]
- Harteveld, D.O.C.; Akinsanmi, O.A.; Drenth, A. Multiple Alternaria species groups are associated with leaf blotch and fruit spot diseases of apple in Australia. Plant Pathol. 2013, 62, 289–297. [Google Scholar] [CrossRef]
- Fontaine, K.; Fourrier-Jeandel, C.; Armitage, A.D.; Boutigny, A.L.; Crépet, M.; Caffier, V.; Gnide, D.C.; Shiller, J.; Cam, B.L.; Giraud, M.; et al. Identification and pathogenicity of Alternaria species associated with leaf blotch disease and premature defoliation in French apple orchards. PeerJ 2021, 9, e12496. [Google Scholar] [CrossRef]
- Bulajic, A. First report of Alternaria mali on apples in Yugoslavia. Plant Dis. 1996, 80, 709. [Google Scholar] [CrossRef]
- Marschall, K.; Bertagnoll, M. Alternaria alternata, causal agent of lenticel rot and leaf necrosis on apple in Italy [Malus pumila Mill.; South Tyrol]. In Proceedings of the Atti delle Giornate Fitopatologiche, Bologna, Italy, 27–29 March 2006. [Google Scholar]
- Vilardell, P. Una nueva enfermedad causada por Alternaria afecta a plantaciones de manzana en Girona. Vida Rural. 2018, 448, 30–33. [Google Scholar]
- Generalitat de Catalunya de Departament d’Acció Climàtica, Alimentació i Agenda Rural. Estadístiques Defin. De Conreus. Available online: https://agricultura.gencat.cat/ca/departament/estadistiques/agricultura/estadistiques-definitives-conreus (accessed on 19 December 2022).
- Jung, K.-H. Growth inhibition effect of pyroligneous acid on pathogenic fungus, Alternaria mali, the agent of Alternaria blotch of apple. Biotechnol. Bioprocess Eng. 2007, 12, 318–322. [Google Scholar] [CrossRef]
- Filajdic, N.; Sutton, T.B.; Walgenbach, J.F.; Unrath, C.R. The influence of European red mites on intensity of Alternaria blotch of apple and fruit quality and yield. Plant Dis. 1995, 79, 683–690. [Google Scholar] [CrossRef]
- Cooke, T.; Persley, D.; House, S. (Eds.) Diseases of Fruit Crops in Australia; CSIRO Publishing: Collingwood, Australia, 2019; p. 279. ISBN 9780643069718. [Google Scholar] [CrossRef]
- Stern, R.; Ben-Arie, R.; Ginzberg, I. Reducing the incidence of calyx cracking in ‘Pink Lady’ apple using a combination of cytokinin 6-benzyladenine and gibberellins (GA4+7). J. Hortic. Sci. Biotechnol. 2013, 88, 147–153. [Google Scholar] [CrossRef]
- Madhu, G.S.; Sajad, U.N.; Mir, J.I.; Raja, W.H.; Sheikh, M.A.; Sharma, M.A.; Singh, D.B. Alternaria leaf and fruit spot in apple: Symptoms, cause and management. Eur. J. Biotechnol. Biosci. 2020, 8, 24–26. [Google Scholar]
- Rozo, M.E.B.; Pinto, V.F.; Pose, G. Especies de Alternaria asociadas a cultivos de manzana y pera en la región del Alto Valle del Río Negro, Argentina. Cult. Cient. 2019, 17, 18–31. [Google Scholar] [CrossRef]
- Linares, C.D.; Belmonte, J.; Canela, M.; de la Guardia, C.D.; Alba-Sanchez, F.; Sabariego, S.; Alonso-Pérez, S. Dispersal patterns of Alternaria conidia in Spain. Agric. For. Meteorol. 2010, 150, 1491–1500. [Google Scholar] [CrossRef]
- Harteveld, D.O.C.; Akinsanmi, O.A.; Chandra, K.; Drenth, A. Timing of infection and development of Alternaria diseases in the canopy of apple trees. Plant Dis. 2014, 98, 401–408. [Google Scholar] [CrossRef]
- Kim, Y.C.; Lee, J.H.; Bae, Y.-S.; Sohn, B.-K.; Park, S.K. Development of effective environmentally-friendly approaches to control Alternaria blight and anthracnose diseases of Korean ginseng. Eur. J. Plant Pathol. 2010, 127, 443–450. [Google Scholar] [CrossRef]
- Gomez, C.; Brun, L.; Chauffour, D.; Vallée, D.D.L. Effect of leaf litter management on scab development in an organic apple orchard. Agric. Ecosyst. Environ. 2007, 118, 249–255. [Google Scholar] [CrossRef]
- Filajdic, N.; Sutton, T.B. Overwintering of Alternaria mali, the causal agent of Alternaria blotch of apple. Plant Dis. 1995, 79, 695–698. [Google Scholar] [CrossRef]
- Harteveld, D.O.C.; Akinsanmi, O.A.; Dullahide, S.; Drenth, A. Sources and seasonal dynamics of Alternaria inoculum associated with leaf blotch and fruit spot of apples. Crop Prot. 2014, 59, 35–42. [Google Scholar] [CrossRef]
- Almaguer, M.; Díaz, L.; Fernández-González, M.; Valdéz, E. Allergenic fungal spores and hyphal fragments in the aerosol of Havana, Cuba. Aerobiologia 2020, 36, 441–448. [Google Scholar] [CrossRef]
- Scherm, H.; Savelle, A.T.; Boozer, R.T.; Foshee, W.G. Seasonal dynamics of conidial production potential of Fusicladium carpophilum on twig lesions in southeastern peach orchards. Plant Dis. 2008, 92, 47–50. [Google Scholar] [CrossRef]
- Bassimba, D.D.M.; Mira, J.L.; Vicent, A. Inoculum sources, infection periods, and effects of environmental factors on Alternaria brown spot of mandarin in mediterranean climate conditions. Plant Dis. 2014, 98, 409–417. [Google Scholar] [CrossRef]
- Jamar, L.; Cavelier, M.; Lateur, M. Primary scab control using a “during-infection” spray timing and the effect on fruit quality and yield in organic apple production. Biotechnol. Agron. Soc. Environ. 2010, 14, 423–439. [Google Scholar]
- Caffi, T.; Rossi, V.; Bugiani, R. Evaluation of a warning system for controlling primary infections of grapevine downy mildew. Plant Dis. 2010, 94, 709–716. [Google Scholar] [CrossRef]
- Llorente, I.; Vilardell, A.; Vilardell, P.; Pattori, E.; Bugiani, R.; Rossi, V.; Montesinos, E. Control of brown spot of pear by reducing the overwintering inoculum through sanitation. Eur. J. Plant Pathol. 2010, 128, 127–141. [Google Scholar] [CrossRef]
- Holb, I.J. Effect of six sanitation treatments on leaf litter density, ascospore production of Venturia inaequalis and scab incidence in integrated and organic apple orchards. Eur. J. Plant Pathol. 2006, 115, 293–307. [Google Scholar] [CrossRef]
- Beckerman, J.; Abbott, C. Comparative Studies on the effect of adjuvants with urea to reduce the overwintering inoculum of Venturia inaequalis. Plant Dis. 2019, 103, 531–537. [Google Scholar] [CrossRef] [PubMed]
- Sutton, D.K.; MacHardy, W.E.; Lord, W.G. Effects of shredding or treating apple leaf litter with urea on ascospore dose of Venturia inaequalis and disease buildup. Plant Dis. 2000, 84, 1319–1326. [Google Scholar] [CrossRef] [PubMed]
- Vincent, C.; Rancourt, B.; Carisse, O. Apple leaf shredding as a non-chemical tool to manage apple scab and spotted tentiform leafminer. Agric. Ecosyst. Environ. 2004, 104, 595–604. [Google Scholar] [CrossRef]
- Llorente, I.; Vilardell, A.; Montesinos, E. Infection potential of Pleospora allii and evaluation of methods for reduction of the overwintering inoculum of brown spot of pear. Plant Dis. 2006, 90, 1511–1516. [Google Scholar] [CrossRef] [PubMed][Green Version]
- Moragrega, C.; Carmona, A.; Llorente, I. Biocontrol of Stemphylium vesicarium and Pleospora allii on pear by Bacillus subtilis and Trichoderma spp.: Preventative and curative effects on inoculum production. Agronomy 2021, 11, 1455. [Google Scholar] [CrossRef]
- Rossi, V.; Pattori, E. Inoculum reduction of Stemphylium vesicarium, the causal agent of brown spot of pear, through application of Trichoderma-based products. Biol. Control. 2009, 49, 52–57. [Google Scholar] [CrossRef]
- Kexiang, G.; Xiaoguang, L.; Yonghong, L.; Tianbo, Z.; Shuliang, W. Potential of Trichoderma harzianum and T. Atroviride to Control Botryosphaeria berengeriana f. sp. piricola, the cause of apple ring rot. J. Phytopathol. 2002, 150, 271–276. [Google Scholar] [CrossRef]
- Valetti, L.; Lima, N.B.; Cazón, L.I.; Crociara, C.; Ortega, L.; Pastor, S. Mycoparasitic Trichoderma isolates as a biocontrol agent against Valsa ceratosperma, the causal agent of apple valsa canker. Eur. J. Plant Pathol. 2022, 163, 923–935. [Google Scholar] [CrossRef]
- Vu, T.X.; Tran, T.B.; Hoang, C.Q.; Nguyen, H.T.; Do, L.M.; Dinh, M.T.; Thai, D.H.; Tran, T.V. Potential of Trichoderma asperellum as a biocontrol agent against citrus diseases caused by Penicillium digitatum and Colletotrichum gloeosporioides. Int. J. Agric. Technol. 2021, 1, 2005–2020. [Google Scholar]
- Llorente, I.; Vilardell, A.; Vilardell, P.; Montesinos, E. Evaluation of new methods in integrated control of brown spot of pear (Stemphylium vesicarium, teleomorph Pleospora allii). Acta Hortic. 2008, 800, 825–832. [Google Scholar] [CrossRef]



| Trial | Year | Country | Orchard Location | Cultivar | Plot Size | Sanitation Strategy 1 |
|---|---|---|---|---|---|---|
| 1 | 2019 | Spain | Sant Pere Pescador | Gala | 2000 m2 | ASP |
| 2 | 2019 | Spain | Garrigàs | Golden | 2000 m2 | ASP |
| 3 | 2020 | Spain | Garrigàs | Golden | 3000 m2 | ASP, TRI |
| 4 | 2021 | Spain | Garrigàs | Golden | 3000 m2 | ASP, TRI |
| Trial | Year | Treatment | Action Date | Fungicide Application Dates 1 | Disease Evaluations 2 |
|---|---|---|---|---|---|
| 1 | 2019 | CNT | - | 10/06; 12/07; 29/07 | 11/07; 09/08 |
| ASP | 06-March | ||||
| 2 | 2019 | CNT | - | 10/06; 12/07; 29/07; 21/08 | 11/07; 09/08 |
| ASP | 06-March | ||||
| 3 | 2020 | CNT | - | 09/06; 26/06; 08/07; 22/07; 09/08 | 27/07; 03/09 |
| ASP | 04-Feb | ||||
| TRI | 14-April | ||||
| 4 | 2021 | CNT ASP TRI | - 23-March 03-May | 18/06; 07/07; 20/07; 02/08 | 29/07; 13/09 |
| Trial | Year | AUSRC–CNT 1 | AUSRC-ASP 1 | F-Ratio | p-Value > F |
|---|---|---|---|---|---|
| 3 | 2020 | 131.09 | 94.14 | 8.1021 | 0.0291 |
| 4 | 2021 | 63.40 | 44.97 | 6.2126 | 0.0470 |
Disclaimer/Publisher’s Note: The statements, opinions and data contained in all publications are solely those of the individual author(s) and contributor(s) and not of MDPI and/or the editor(s). MDPI and/or the editor(s) disclaim responsibility for any injury to people or property resulting from any ideas, methods, instructions or products referred to in the content. |
© 2022 by the authors. Licensee MDPI, Basel, Switzerland. This article is an open access article distributed under the terms and conditions of the Creative Commons Attribution (CC BY) license (https://creativecommons.org/licenses/by/4.0/).
Share and Cite
Cabrefiga, J.; Salomon, M.V.; Vilardell, P. Improvement of Alternaria Leaf Blotch and Fruit Spot of Apple Control through the Management of Primary Inoculum. Microorganisms 2023, 11, 101. https://doi.org/10.3390/microorganisms11010101
Cabrefiga J, Salomon MV, Vilardell P. Improvement of Alternaria Leaf Blotch and Fruit Spot of Apple Control through the Management of Primary Inoculum. Microorganisms. 2023; 11(1):101. https://doi.org/10.3390/microorganisms11010101
Chicago/Turabian StyleCabrefiga, Jordi, Maria Victoria Salomon, and Pere Vilardell. 2023. "Improvement of Alternaria Leaf Blotch and Fruit Spot of Apple Control through the Management of Primary Inoculum" Microorganisms 11, no. 1: 101. https://doi.org/10.3390/microorganisms11010101
APA StyleCabrefiga, J., Salomon, M. V., & Vilardell, P. (2023). Improvement of Alternaria Leaf Blotch and Fruit Spot of Apple Control through the Management of Primary Inoculum. Microorganisms, 11(1), 101. https://doi.org/10.3390/microorganisms11010101

