Genetic Analysis of a Large-Scale Phaeocystis globosa Bloom Offshore Qingdao, China
Abstract
:1. Introduction
2. Materials and Methods
2.1. Field Sampling
2.2. Morphological Observation
2.3. DNA Preparation
2.4. PCR Amplification, Cloned and Sanger Sequencing
2.5. Phylogenetic Analyses
2.6. Network Construction Using TCS
2.7. Correlation Analysis between Genotypes and Environmental Factors
3. Results
3.1. Description of the First Large-Scale P. globosa Bloom Recorded Offshore Qingdao
3.2. Genetic Dissection of P. globosa Bloom Development Using pgcp1
3.3. Phaeocystis globosa Genotype Composition during Bloom Development Revealed Using cox1
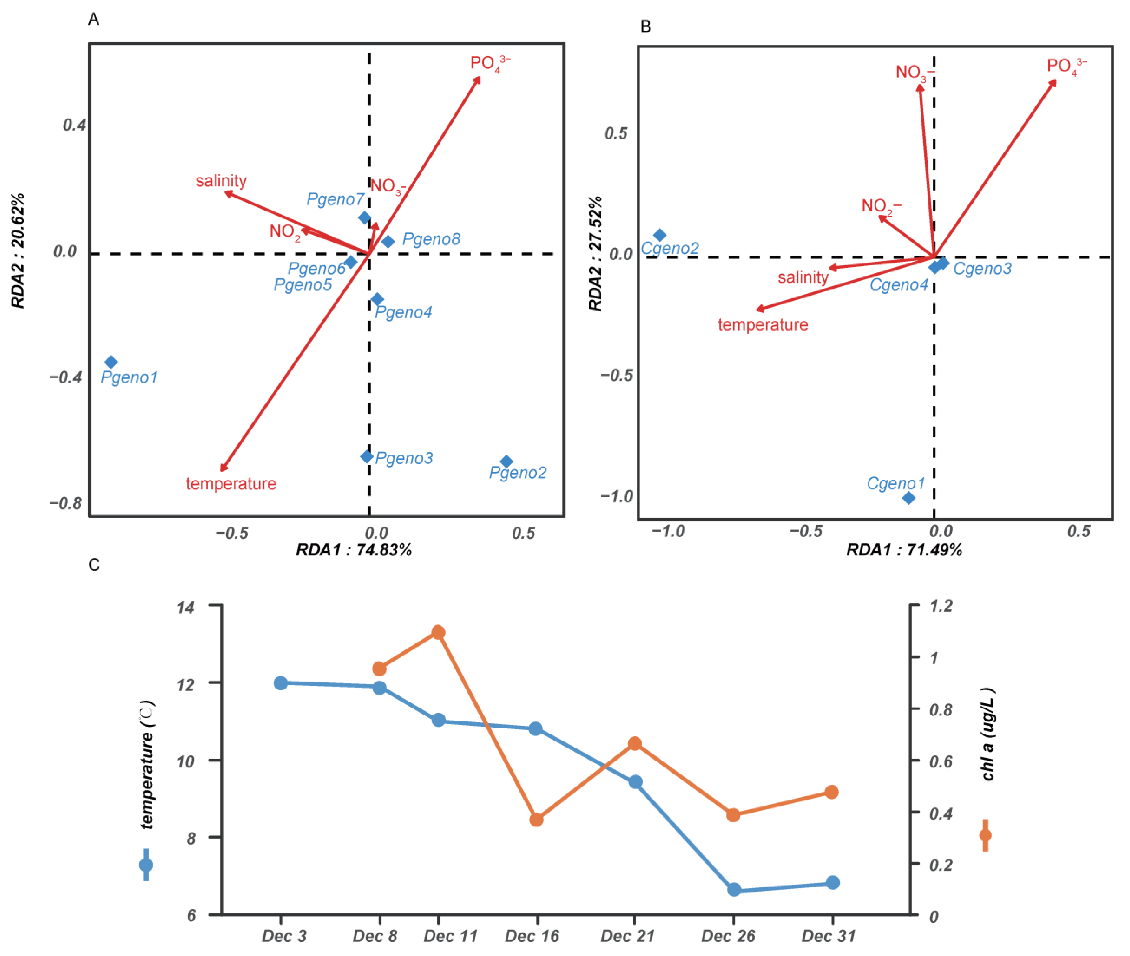
3.4. Environmental Factors and Their Influence on P. globosa Genotype Composition
4. Discussion
4.1. An Unusual P. globosa Bloom Event Observed Offshore Qingdao, China
4.2. Genetic Uniqueness of P. globosa in Bloom Development
4.3. Source of P. globosa Strains Driving the Bloom Offshore Qingdao, China
5. Conclusions
Supplementary Materials
Author Contributions
Funding
Data Availability Statement
Conflicts of Interest
References
- Spilmont, N.; Denis, L.; Artigas, L.F.; Caloin, F.; Courcot, L.; Créach, A.; Desroy, N.; Gevaert, F.; Hacquebart, P.; Hubas, C.; et al. Impact of the Phaeocystis globosa spring bloom on the intertidal benthic compartment in the eastern English Channel: A synthesis. Mar. Pollut. Bull. 2009, 58, 55–63. [Google Scholar] [CrossRef]
- Chen, J.; Xu, N.; Jiang, T.; Wang, Y.; Wang, Z.; Qi, Y. A report of Phaeocystis globosa bloom in coastal water of southeast China. J. Jinan Univ. 1999, 20, 124–129, (In Chinese, with English abstract). [Google Scholar]
- Liu, J.S.; Van Rijssel, M.; Yang, W.D.; Peng, X.C.; Lu, S.H.; Wang, Y.; Chen, J.F.; Wang, Z.H.; Qi, Y.Z. Negative effects of Phaeocystis globosa on microalgae. Chin. J. Oceanol. Limnol. 2010, 28, 911–916. [Google Scholar] [CrossRef]
- Peperzak, L.; Poelman, M. Mass mussel mortality in The Netherlands after a bloom of Phaeocystis globosa (prymnesiophyceae). J. Sea Res. 2008, 60, 220–222. [Google Scholar] [CrossRef]
- Cao, X.Y.Z.; Qiu, L. Field experiment and emergent application of modified clays for Phaeocystis globosa blooms mitigation. Oceanol. Limnol. Sin. 2017, 48, 753–759, (In Chinese, with English abstract). [Google Scholar]
- Madhupratap, M.; Sawant, S.; Gauns, M. A first report on a bloom of the marine prymnesiophycean, Phaeocystis globosa from the Arabian Sea. Oceanol. Acta 2000, 23, 83–90. [Google Scholar] [CrossRef]
- Cadée, G.C. Accumulation and sedimentation of Phaeocystis globosa in the Dutch Wadden Sea. Oceanogr. Lit. Rev. 1997, 8, 848. [Google Scholar] [CrossRef]
- Breton, E.; Rousseau, V.; Parent, J.-Y.; Ozer, J.; Lancelot, C. Hydroclimatic modulation of diatom/Phaeocystis blooms in nutrient-enriched Belgian coastal waters (North Sea). Limnol. Oceanogr. 2006, 51, 1401–1409. [Google Scholar] [CrossRef]
- Hai, D.-N.; Lam, N.-N.; Dippner, J.W. Development of Phaeocystis globosa blooms in the upwelling waters of the South Central coast of Viet Nam. J. Mar. Syst. 2010, 83, 253–261. [Google Scholar] [CrossRef]
- Long, J.D.; Frischer, M.E.; Robertson, C.Y. A Phaeocystis globosa bloom associated with upwelling in the subtropical South Atlantic Bight. J. Plankton Res. 2007, 29, 769–774. [Google Scholar] [CrossRef]
- Qi, Y.Z.; Chen, J.F.; Wang, Z.H.; Xu, N.; Wang, Y.; Shen, P.P.; Lu, S.H.; Hodgkiss, I.J. Some observations on harmful algal bloom (HAB) events along the coast of Guangdong, southern China in 1998. Hydrobiologia 2004, 512, 209–214. [Google Scholar] [CrossRef]
- Tu, J.; Zhang, Q.; Xu, Y.; Hu, Y.; Shi, H. Preliminary analysis of Phaeocystis globosa Scherffel red tide in Tianjin coastal sea areas of Bohai Bay. Mar. Sci. Bull. 2011, 30, 334–337, (In Chinese, with English abstract). [Google Scholar]
- Wang, X.; Song, H.; Wang, Y.; Chen, N. Research on the biology and ecology of the harmful algal bloom species Phaeocystis globosa in China: Progresses in the last 20 years. Harmful Algae 2021, 107, 102057. [Google Scholar] [CrossRef]
- Wang, K.; Chen, B.H.; Gao, Y.H.; Lin, H. Harmful algal blooms caused by Phaeocystis globosa from 1997 to 2018 in Chinese coastal waters. Mar. Pollut. Bull. 2021, 173, 112949. [Google Scholar] [CrossRef] [PubMed]
- Seuront, L.; Vincent, D.; Mitchell, J.G. Biologically induced modification of seawater viscosity in the Eastern English Channel during a Phaeocystis globosa spring bloom. J. Mar. Syst. 2006, 61, 118–133. [Google Scholar] [CrossRef]
- Tang, D.L.; Kawamura, H.; Doan-Nhu, H.; Takahashi, W. Remote sensing oceanography of a harmful algal bloom off the coast of southeastern Vietnam. J. Geophys. Res. Earth Surf. 2004, 109, C03014. [Google Scholar] [CrossRef]
- Medlin, L.; Zingone, A. A taxonomic review of the genus Phaeocystis. Biogeochemistry 2007, 83, 3–18. [Google Scholar] [CrossRef]
- Kornmann, P. Beobachtungen anPhaeocystis-Kulturen. Helgol. Mar. Res. 1955, 5, 218–233. [Google Scholar] [CrossRef]
- Jahnke, J.; Baumann, M. Differentiation between Phaeocystis pouchetii (Har.) Lagerheim and Phaeocystis globosa ScherVel. I. Colony shapes and temperature tolerances. Hydrobiol. Bull. 1987, 21, 141–147. [Google Scholar] [CrossRef]
- Song, H.Y.; Liu, F.; Li, Z.L.; Xu, Q.; Chen, Y.; Yu, Z.M.; Chen, N.S. Development of a high-resolution molecular marker for tracking Phaeocystis globosa genetic diversity through comparative analysis of chloroplast genomes. Harmful Algae 2020, 99, 101911. [Google Scholar] [CrossRef]
- Song, Y.; Chen, Y.; Gibson, K.; Liu, S.Y.; Yu, Z.M.; Chen, N.S. High genetic diversity of the harmful algal bloom species Phaeocystis globosa revealed using the molecular marker COX1. Harmful Algae 2021, 107, 102065. [Google Scholar] [CrossRef] [PubMed]
- Lange, M.; Chen, Y.-Q.; Medlin, L.K. Molecular genetic delineation of Phaeocystis species (Prymnesiophyceae) using coding and non-coding regions of nuclear and plastid genomes. Eur. J. Phycol. 2002, 37, 77–92. [Google Scholar] [CrossRef]
- Huang, Y.; Niu, B.F.; Gao, Y.; Fu, L.M.; Li, W.Z. CD-HIT Suite: A web server for clustering and comparing biological sequences. Bioinformatics 2010, 26, 680–682. [Google Scholar] [CrossRef] [PubMed]
- Katoh, K.; Standley, D.M. MAFFT Multiple Sequence Alignment Software Version 7: Improvements in Performance and Usability. Mol. Biol. Evol. 2013, 30, 772–780. [Google Scholar] [CrossRef]
- Kumar, S.; Stecher, G.; Tamura, K. MEGA7: Molecular Evolutionary Genetics Analysis Version 7.0 for Bigger Datasets. Mol. Biol. Evol. 2016, 33, 1870–1874. [Google Scholar] [CrossRef]
- Leigh, J.W.; Bryant, D. POPART: Full-feature software for haplotype network construction. Methods Ecol. Evol. 2015, 6, 1110–1116. [Google Scholar] [CrossRef]
- Li, D.M.; Xue, Y.; Song, Q.S.; Cui, F.X.; Ma, Y.J.; Tong, M.M.; Shen, P.P. First Report on Large-Scale Phaeocystis globosa Bloom in the Southern Yellow Sea, China. Front. Mar. Sci. 2022, 9, 880984. [Google Scholar] [CrossRef]




| Genotype | Geographic Origin of Water Samples | Geographic Origin of Strains | GenBank Accession or SRA Read Numbers |
|---|---|---|---|
| pgeno1 | Qingdao, China | Beibu Gulf, China; Fujian, China | ON080925 |
| pgeno2 | Qingdao, China | Beibu Gulf, China; Lianyungang, China; Daya Bay, China; Fujian, China | ON080928 |
| pgeno3 | Qingdao, China | Beibu Gulf, China | ON080929 |
| pgeno4 | Qingdao, China | ON080930 | |
| pgeno5 | Qingdao, China | ON080931 | |
| pgeno6 | Qingdao, China | ON080932 | |
| pgeno7 | Qingdao, China | ON080933 | |
| pgeno8 | Qingdao, China | ON080934 | |
| pgeno9 | Qingdao, China | Thailand; the South China Sea; South Pacific | MT448570 |
| pgeno10 | Beibu Gulf, China; the South China Sea | MT591390 | |
| pgeno11 | Gulf of Mexico; Ocean North Atlantic; NA | ON080938 | |
| pgeno12 | Beibu Gulf, China | MT591360 | |
| pgeno13 | Ocean North Atlantic | ON080939 | |
| pgeno14 | Viet Nam | MT448598 | |
| pgeno15 | the South China Sea | ON080926 | |
| pgeno16 | the South China Sea | ON080927 | |
| pgeno17 | Ocean North Atlantic; Europe’s North Sea | NC_021637 | |
| pgeno18 | NA | NA | SRR192667.99032.2 |
| pgeno19 | NA | NA | SRR192554.305016.2 |
| Genotype | Geographic Origin of Water Samples | Geographic Origin of Strains | GenBank Accession |
|---|---|---|---|
| cgeno1 | Qingdao, China; Beibu Gulf, China | Beibu Gulf, China | ON080911 |
| cgeno2 | Qingdao, China; Beibu Gulf, China | Beibu Gulf, China; Lianyungang, China; Daya Bay, China; Fujian, China | ON080912 |
| cgeno3 | Qingdao, China | Beibu Gulf, China | ON080913 |
| cgeno4 | Qingdao, China | ON080914 | |
| cgeno5 | Qingdao, China | ON080915 | |
| cgeno6 | Qingdao, China | ON080916 | |
| cgeno7 | Beibu Gulf, China | Beibu Gulf, China; Thailand; Viet Nam; the South China Sea; North Pacific; South Pacific | ON080935 |
| cgeno8 | Ocean North Atlantic; Europe’s North Sea | KC967226 | |
| cgeno9 | Ocean North Atlantic | ON080936 | |
| cgeno10 | Gulf of Mexico; Ocean North Atlantic; NA | ON080937 | |
| cgeno11 | Viet Nam | ON080917 | |
| cgeno12 | the South China Sea | ON080918 | |
| cgeno13 | Beibu Gulf, China | ON080919 | |
| cgeno14 | Beibu Gulf, China | ON080920 | |
| cgeno15 | Beibu Gulf, China | ON080921 | |
| cgeno16 | Beibu Gulf, China | ON080922 | |
| cgeno17 | Beibu Gulf, China | ON080923 | |
| cgeno18 | Beibu Gulf, China | ON080924 |
Publisher’s Note: MDPI stays neutral with regard to jurisdictional claims in published maps and institutional affiliations. |
© 2022 by the authors. Licensee MDPI, Basel, Switzerland. This article is an open access article distributed under the terms and conditions of the Creative Commons Attribution (CC BY) license (https://creativecommons.org/licenses/by/4.0/).
Share and Cite
Song, H.; Wang, Y.; Ding, X.; Chen, N. Genetic Analysis of a Large-Scale Phaeocystis globosa Bloom Offshore Qingdao, China. Microorganisms 2022, 10, 1723. https://doi.org/10.3390/microorganisms10091723
Song H, Wang Y, Ding X, Chen N. Genetic Analysis of a Large-Scale Phaeocystis globosa Bloom Offshore Qingdao, China. Microorganisms. 2022; 10(9):1723. https://doi.org/10.3390/microorganisms10091723
Chicago/Turabian StyleSong, Huiyin, Yiqi Wang, Xiangxiang Ding, and Nansheng Chen. 2022. "Genetic Analysis of a Large-Scale Phaeocystis globosa Bloom Offshore Qingdao, China" Microorganisms 10, no. 9: 1723. https://doi.org/10.3390/microorganisms10091723
APA StyleSong, H., Wang, Y., Ding, X., & Chen, N. (2022). Genetic Analysis of a Large-Scale Phaeocystis globosa Bloom Offshore Qingdao, China. Microorganisms, 10(9), 1723. https://doi.org/10.3390/microorganisms10091723

